Relationship Between Ethical Climate and Burnout: A New Approach Through Work Autonomy
Abstract
1. Introduction
1.1. Contextualization of the Study
1.2. Objective and Hypotheses
2. Materials and Methods
2.1. Data Collection and Sample
2.2. Instruments
2.3. Data Analysis
3. Results
3.1. Preliminary Analyses
3.1.1. Descriptive Statistics
3.1.2. Confirmatory Analysis
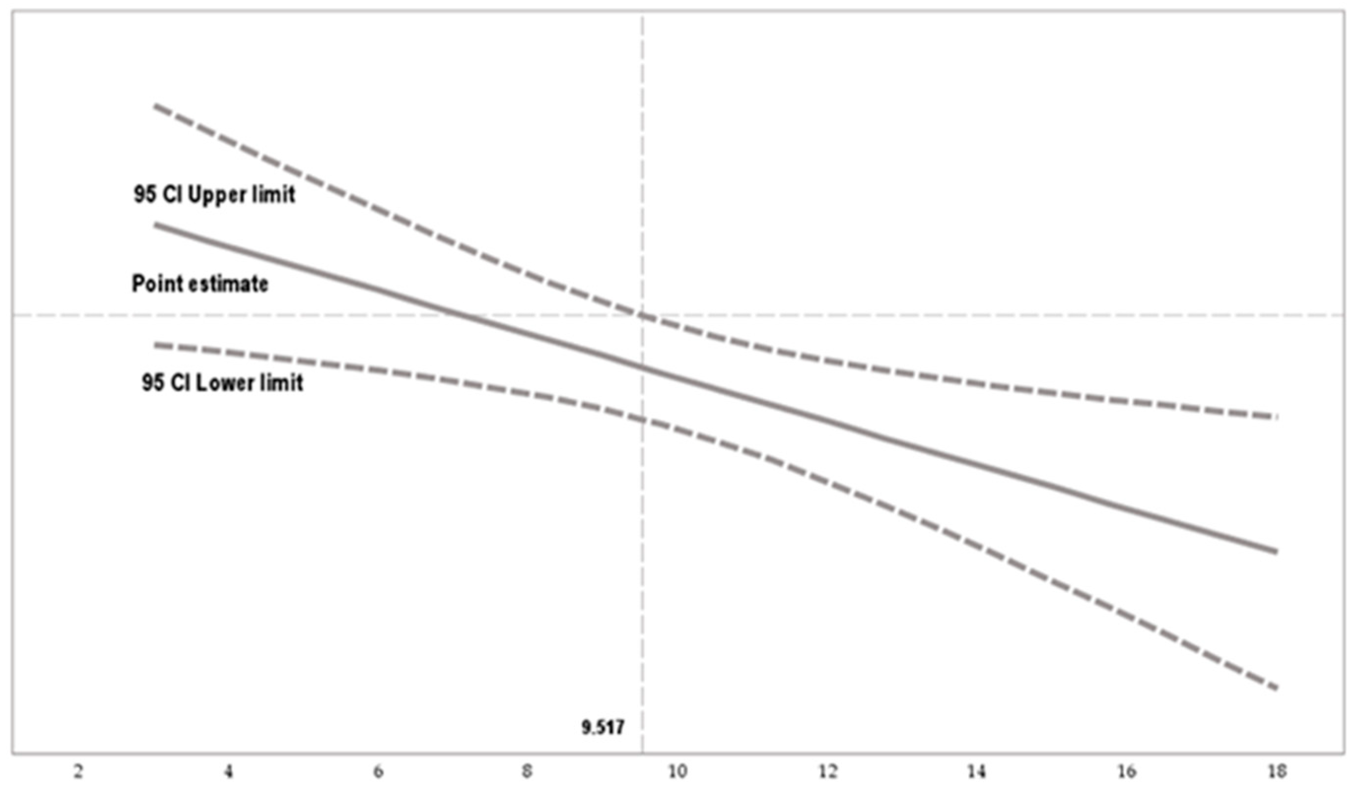
3.2. Moderation Analysis
4. Discussion
4.1. Theoretical Implications
4.2. Practical Implications
5. Limitations and Future Research
6. Conclusions
Author Contributions
Funding
Institutional Review Board Statement
Informed Consent Statement
Data Availability Statement
Conflicts of Interest
References
- Adams, N., Little, T. D., & Ryan, R. M. (2017). Self-determination theory. In M. Wehmeyer, K. Shogren, T. Little, & S. Lopez (Eds.), Development of self-determination through the life-course (pp. 47–54). Springer. [Google Scholar] [CrossRef]
- Aguinis, H., Edwards, J. R., & Bradley, K. J. (2017). Improving our understanding of moderation and mediation in strategic management research. Organizational Research Methods, 20(4), 665–685. [Google Scholar] [CrossRef]
- Artz, B., Kaya, I., & Kaya, O. (2022). Gender role perspectives and job burnout. Review of Economics of the Household, 20(2), 447–470. [Google Scholar] [CrossRef]
- Asgari, S., Shafipour, V., Taraghi, Z., & Yazdani-Charati, J. (2019). Relationship between moral distress and ethical climate with job satisfaction in nurses. Nursing Ethics, 26(2), 346–356. [Google Scholar] [CrossRef]
- Atabay, G., Çangarli, B. G., & Penbek, Ş. (2015). Impact of ethical climate on moral distress revisited. Nursing Ethics, 22(1), 103–116. [Google Scholar] [CrossRef]
- Ayub, A., Khan, A. J., Ahmed, T., & Ansari, M. A. A. (2022). Examining the relationship between ethical climate and burnout using role stress theory. Review of Education, Administration & Law, 5(1), 01–09. [Google Scholar] [CrossRef]
- Bagozzi, R. P., Yi, Y., & Nassen, K. D. (1998). Representation of measurement error in marketing variables: Review of approaches and extension to three-facet designs. Journal of Econometrics, 89(1–2), 393–421. [Google Scholar] [CrossRef]
- Bakker, A. B., & Demerouti, E. (2017). Job demands–resources theory: Taking stock and looking forward. Journal of Occupational Health Psychology, 22(3), 273–285. [Google Scholar] [CrossRef]
- Bao, Y., Vedina, R., Moodie, S., & Dolan, S. (2013). The relationship between value incongruence and individual and organizational well-being outcomes: An exploratory study among Catalan nurses. Journal of Advanced Nursing, 69(3), 631–641. [Google Scholar] [CrossRef] [PubMed]
- Barr, P. (2021). Moral distress and considering leaving in NICU nurses: Direct effects and indirect effects mediated by burnout and the hospital ethical climate. Neonatology, 117(5), 646–649. [Google Scholar] [CrossRef] [PubMed]
- Bernuzzi, C., Setti, I., Maffoni, M., & Sommovigo, V. (2022). From moral distress to burnout through work-family conflict: The protective role of resilience and positive refocusing. Ethics & Behavior, 32(7), 578–600. [Google Scholar] [CrossRef]
- Besser-Jones, L. (2008). Personal integrity, morality and psychological well-being: Justifying the demands of morality. Journal of Moral Philosophy, 5(3), 361–383. [Google Scholar] [CrossRef]
- Borrelli, I., Rossi, M. F., Melcore, G., Perrotta, A., Santoro, P. E., Gualano, M. R., & Moscato, U. (2023). Workplace ethical climate and workers’ burnout: A systematic review. Clinical Neuropsychiatry, 20(5), 405–414. [Google Scholar] [CrossRef] [PubMed]
- Borry, E. L. (2017). Ethical climate and rule bending: How organizational norms contribute to unintended rule consequences. Public Administration, 95(1), 78–96. [Google Scholar] [CrossRef]
- Brislin, R. W. (1980). Cross-cultural research methods. In I. Altman, A. Rapoport, & J. F. Wohlwill (Eds.), Environment and culture. Human behavior and environment (Vol. 4, pp. 47–82). Springer. [Google Scholar] [CrossRef]
- Byrne, B. M. (2001). Structural equation modeling with AMOS, EQS, and LISREL: Comparative approaches to testing for the factorial validity of a measuring instrument. International Journal of Yesting, 1(1), 55–86. [Google Scholar] [CrossRef]
- Chi, S.-C. S., & Liang, S. G. (2013). When do subordinates’ emotion-regulation strategies matter? Abusive supervision, subordinates’ emotional exhaustion, and work withdrawal. The Leadership Quarterly, 24(1), 125–137. [Google Scholar] [CrossRef]
- Chin, W. W. (1998). The partial least squares approach to structural equation modeling. In G. A. Marcoulides (Ed.), Modern methods for business research (pp. 295–358). Lawrence Erlbaum Associates. [Google Scholar]
- Dal Corso, L., Carluccio, F., Scarcella, M., Bartolucci, G. B., Bizzotto, R., Vianello, L., Magosso, D., & De Carlo, N. A. (2019). How to improve performance and prevent burnout in safety representatives. La Medicina Del Lavoro, 110(2), 142–154. [Google Scholar] [CrossRef]
- Deci, E. L., Olafsen, A. H., & Ryan, R. M. (2017). Self-determination theory in work organizations: The state of a science. Annual Review of Organizational Psychology and Organizational Behavior, 4(1), 19–43. [Google Scholar] [CrossRef]
- Delcea, C., Rad, D., Toderici, O. F., & Bululoi, A. S. (2023). Posttraumatic growth, maladaptive cognitive schemas and psychological distress in individuals involved in road traffic accidents—A conservation of resources theory perspective. Healthcare, 11(22), 2959. [Google Scholar] [CrossRef]
- Demir, S. (2022). Comparison of normality tests in terms of sample sizes under different skewness and Kurtosis coefficients. International Journal of Assessment Tools in Education, 9(2), 397–409. [Google Scholar] [CrossRef]
- Dolan, S. L., Diez-Pinol, M., Fernandez-Alles, M., Martin-Prius, A., & Martinez-Fierro, S. (2004). Exploratory study of within-country differences in work and life values: The case of Spanish business students. International Journal of Cross-Cultural Management, 4(2), 157–180. [Google Scholar] [CrossRef]
- Dzeng, E., & Curtis, J. R. (2018). Understanding ethical climate, moral distress, and burnout: A novel tool and a conceptual framework. BMJ Quality & Safety, 27(10), 766–770. [Google Scholar] [CrossRef]
- Edú-Valsania, S., Laguía, A., & Moriano, J. A. (2022). Burnout: A review of theory and measurement. International Journal of Environmental Research and Public Health, 19(3), 1780. [Google Scholar] [CrossRef] [PubMed]
- Elçi, M., & Alpkan, L. (2009). The impact of perceived organizational ethical climate on work satisfaction. Journal of Business Ethics, 84(3), 297–311. [Google Scholar] [CrossRef]
- Elçi, M., Karabay, M. E., & Akyüz, B. (2015). Investigating the mediating effect of ethical climate on organizational justice and burnout: A study on Ffnancial sector. Procedia—Social and Behavioral Sciences, 207(1), 587–597. [Google Scholar] [CrossRef]
- Farfán, J., Peña, M., Fernández-Salinero, S., & Topa, G. (2020). The moderating role of extroversion and neuroticism in the relationship between autonomy at work, burnout, and job satisfaction. International Journal of Environmental Research and Public Health, 17(21), 8166. [Google Scholar] [CrossRef]
- Fernet, C., Austin, S., Trépanier, S.-G., & Dussault, M. (2013). How do job characteristics contribute to burnout? Exploring the distinct mediating roles of perceived autonomy, competence, and relatedness. European Journal of Work and Organizational Psychology, 22(2), 123–137. [Google Scholar] [CrossRef]
- Fornell, C., & Larcker, D. F. (1981). Structural equation models with unobservable variables and measurement error: Algebra and statistics. Journal of Marketing Research, 18(3), 382–388. [Google Scholar] [CrossRef]
- Galindo-Domínguez, H. (2019). El análisis de moderación en el ámbito socioeducativo a través de la macro Process en SPSS Statistics. REIRE Revista d’Innovació i Recerca en Educació, 12(1), 1–11. [Google Scholar] [CrossRef]
- Ghasempour Ganji, S. F., Johnson, L. W., Babazadeh Sorkhan, V., & Banejad, B. (2021). The effect of employee empowerment, organizational support, and ethical climate on turnover intention: The mediating role of job satisfaction. Interdisciplinary Journal of Management Studies (Formerly known as Iranian Journal of Management Studies), 14(2), 311–329. [Google Scholar] [CrossRef]
- Hair, J. F., Jr., Sarstedt, M., Matthews, L. M., & Ringle, C. M. (2016). Identifying and treating unobserved heterogeneity with FIMIX-PLS: Part I—Method. European Business Review, 28(1), 63–76. [Google Scholar] [CrossRef]
- Hlubocky, F. J., Taylor, L. P., Marron, J. M., Spence, R. A., McGinnis, M. M., Brown, R. F., McFarland, D. C., Tetzlaff, E. D., Gallagher, C. M., Rosenberg, A. R., Popp, B., Dragnev, K., Bosserman, L. D., Dudzinski, D. M., Smith, S., Chatwal, M., Patel, M. I., Markham, M. J., Levit, K., & Kamal, A. H. (2020). A call to action: Ethics committee roundtable recommendations for addressing burnout and moral distress in oncology. JCO Oncology Practice, 16(4), 191–199. [Google Scholar] [CrossRef] [PubMed]
- Hobfoll, S. E., & Lilly, R. S. (1993). Resource conservation as a strategy for community psychology. Journal of Community Psychology, 21(2), 128–148. [Google Scholar] [CrossRef]
- Hobfoll, S. E., Halbesleben, J., Neveu, J.-P., & Westman, M. (2018). Conservation of resources in the organizational Context: The reality of resources and their consequences. Annual Review of Organizational Psychology and Organizational Behavior, 5(1), 103–128. [Google Scholar] [CrossRef]
- Huhtala, M., Kaptein, M., Muotka, J., & Feldt, T. (2022). Longitudinal patterns of ethical organisational culture as a context for leaders’ well-being: Cumulative effects over 6 years. Journal of Business Ethics, 177(2), 421–442. [Google Scholar] [CrossRef]
- Jammalamadaka, S. R., Taufer, E., & Terdik, G. H. (2021). On multivariate skewness and kurtosis. Sankhya A, 83, 607–644. [Google Scholar] [CrossRef]
- Johlke, M. C., & Iyer, R. (2013). A model of retail job characteristics, employee role ambiguity, external customer mind-set, and sales performance. Journal of Retailing and Consumer Services, 20(1), 58–67. [Google Scholar] [CrossRef]
- Karasek, R. A. (1979). Job demands, job decision latitude, and mental strain: Implications for job redesign. Administrative Science Quarterly, 24(2), 285–308. [Google Scholar] [CrossRef]
- Kubicek, B., Paškvan, M., & Bunner, J. (2017). The bright and dark sides of job autonomy. In C. Korunka, & B. Kubicek (Eds.), Job demands in a changing world of work (pp. 45–63). Springer International Publishing. [Google Scholar] [CrossRef]
- Lee, N., & Wu, Y. K. (2024). Work-related stress and psychological distress among law enforcement officers: The carolina blue project. Healthcare, 12(6), 688. [Google Scholar] [CrossRef]
- Liang, Y., Wu, T. J., & Wang, Y. (2024). Forced shift to teleworking: How abusive supervision promotes counterproductive work behavior when employees experience COVID-19 corporate social responsibility. Journal of Organizational Change Management, 37(1), 192–213. [Google Scholar] [CrossRef]
- Lindeberg, S. I., Rosvall, M., Choi, B., Canivet, C., Isacsson, S.-O., Karasek, R., & Ostergren, P.-O. (2011). Psychosocial working conditions and exhaustion in a working population sample of Swedish middle-aged men and women. The European Journal of Public Health, 21(2), 190–196. [Google Scholar] [CrossRef]
- Luna, D., Figuerola-Escoto, R. P., Sienra-Monge, J. J. L., Hernández-Roque, A., Soria-Magaña, A., Hernández-Corral, S., & Toledano-Toledano, F. (2023). Burnout and its relationship with work engagement in healthcare professionals: A latent profile analysis approach. Healthcare, 11(23), 3042. [Google Scholar] [CrossRef]
- Lyon, T. R., & Galbraith, A. (2023). Mindful self-compassion as an antidote to burnout for mental health practitioners. Healthcare, 11(20), 2715. [Google Scholar] [CrossRef] [PubMed]
- Maffoni, M., Sommovigo, V., Giardini, A., Velutti, L., & Setti, I. (2022). Well-being and professional efficacy among health care professionals: The role of resilience through the mediation of ethical vision of patient care and the moderation of managerial support. Evaluation & the Health Professions, 45(4), 381–396. [Google Scholar] [CrossRef]
- Maslach, C., Schaufeli, W. B., & Leiter, M. P. (2001). Job burnout. Annual Review of Psychology, 52(1), 397–422. [Google Scholar] [CrossRef]
- Mazmanian, M., Orlikowski, W. J., & Yates, J. (2013). The autonomy paradox: The implications of mobile email devices for knowledge professionals. Organization Science, 24(5), 1337–1357. [Google Scholar] [CrossRef]
- McDaniel, C. (1997). Development and psychometric properties of the ethics environment questionnaire. Medical Care, 35(9), 901–914. [Google Scholar] [CrossRef]
- McLinton, S. S., Jamieson, S. D., Tuckey, M. R., Dollard, M. F., & Owen, M. S. (2023). Evidence for a negative loss spiral between co-worker social support and burnout: Can psychosocial safety climate break the cycle? Healthcare, 11(24), 3168. [Google Scholar] [CrossRef]
- Mulki, J. P., Jaramillo, J. F., & Locander, W. B. (2008). Effect of ethical climate on turnover intention: Linking attitudinal- and stress theory. Journal of Business Ethics, 78(4), 559–574. [Google Scholar] [CrossRef]
- Newey, W., & Stouli, S. (2021). Control variables, discrete instruments, and identification of structural functions. Journal of Econometrics, 222(1), 73–88. [Google Scholar] [CrossRef]
- Ng, T. W. H., & Feldman, D. C. (2015). The moderating effects of age in the relationships of job autonomy to work outcomes. Work, Aging and Retirement, 1(1), 64–78. [Google Scholar] [CrossRef]
- Noh, Y. G., & Kim, S. Y. (2024). Factors of hospital ethical climate among hospital nurses in Korea: A systematic review and meta-analysis. Healthcare, 12(3), 372. [Google Scholar] [CrossRef] [PubMed]
- Okpara, J. O., & Wynn, P. (2008). The impact of ethical climate on job satisfaction, and commitment in Nigeria. Journal of Management Development, 27(9), 935–950. [Google Scholar] [CrossRef]
- Olson, L. L. (1998). Hospital nurses’ perceptions of the ethical climate of their work setting. Journal of Nursing Scholarship, 30(4), 345–349. [Google Scholar] [CrossRef]
- Pérez-Zapata, O., Pascual, A. S., Álvarez-Hernández, G., & Collado, C. C. (2016). Knowledge work intensification and self-management: The autonomy paradox. Work Organisation, Labour and Globalisation, 10(2), 27–49. [Google Scholar] [CrossRef]
- Plouffe, R. A., Nazarov, A., Forchuk, C. A., Gargala, D., Deda, E., Le, T., Bourret-Gheysen, J., Jackson, B., Soares, V., Hosseiny, F., Smith, P., Roth, M., MacDougall, A. G., Marlborough, M., Jetly, R., Heber, A., Albuquerque, J., Lanius, R., Balderson, K., & Richardson, J. D. (2021). Impacts of morally distressing experiences on the mental health of Canadian health care workers during the COVID-19 pandemic. European Journal of Psychotraumatology, 12(1), 1984667. [Google Scholar] [CrossRef]
- Podsakoff, P. M., Podsakoff, N. P., Williams, L. J., Huang, C., & Yang, J. (2024). Common method bias: It’s bad, it’s complex, it’s widespread, and it’s not easy to fix. Annual Review of Organizational Psychology and Organizational Behavior, 11(1), 17–61. [Google Scholar] [CrossRef]
- Potard, C., & Landais, C. (2021). Relationships between frustration intolerance beliefs, cognitive emotion regulation strategies and burnout among geriatric nurses and care assistants. Geriatric Nursing, 42(3), 700–707. [Google Scholar] [CrossRef]
- Rego, A., Yam, K. C., Owens, B. P., Story, J. S., Pina e Cunha, M., Bluhm, D., & Lopes, M. P. (2019). Conveyed leader PsyCap predicting leader effectiveness through positive energizing. Journal of Management, 45(4), 1689–1712. [Google Scholar] [CrossRef]
- Rivaz, M., Asadi, F., & Mansouri, P. (2020). Assessment of the relationship between nurses’ perception of ethical climate and job burnout in intensive care units. Investigación y educación Enfermería, 38(3), e12. [Google Scholar] [CrossRef] [PubMed]
- Ryan, R. M., & Deci, E. L. (2000). Intrinsic and extrinsic motivations: Classic definitions and new directions. Contemporary Educational Psychology, 25(1), 54–67. [Google Scholar] [CrossRef]
- Ryan, R. M., & Deci, E. L. (2019). Research on intrinsic and extrinsic motivation is alive, well, and reshaping 21st-century management approaches: Brief reply to Locke and Schattke (2019). Motivation Science, 5(4), 291–294. [Google Scholar] [CrossRef]
- Ryan, R. M., Deci, E. L., Vansteenkiste, M., & Soenens, B. (2021). Building a science of motivated persons: Self-determination theory’s empirical approach to human experience and the regulation of behavior. Motivation Science, 7(2), 97–110. [Google Scholar] [CrossRef]
- Salanova, M., & Schaufeli, W. B. (2000). Exposure to information technology and its relation to burnout. Behaviour & Information Technology, 19(5), 385–392. [Google Scholar] [CrossRef]
- Saleh, T. A., Sarwar, A., Islam, M. A., Mohiuddin, M., & Su, Z. (2022). Effects of leader conscientiousness and ethical leadership on employee turnover intention: The mediating role of individual ethical climate and emotional exhaustion. International Journal of Environmental Research and Public Health, 19(15), 8959. [Google Scholar] [CrossRef]
- Santiago-Torner, C. (2023a). Selfish Ethical Climate and Teleworking in the Colombian Electricity Sector. The Moderating Role of Ethical Leadership. Acta Colombiana de Psicología, 26(2), 169–182. [Google Scholar] [CrossRef]
- Santiago-Torner, C. (2023b). Ethical leadership and benevolent climate. The mediating effect of creative self-efficacy and the moderator of continuance commitment. Revista Galega de Economía, 32(3), 1–29. [Google Scholar] [CrossRef]
- Santiago-Torner, C. (2023c). Liderazgo ético y compromiso organizacional. El rol inesperado de la motivación intrínseca. Revista Universidad y Empresa, 25(45), 1–31. [Google Scholar] [CrossRef]
- Schaufeli, W. B., Leiter, M. P., Maslach, C. Y., & Jackson, S. E. (1996). Maslach Burnout Inventory—General Survey. In C. Maslach, S. E. Jackson, & M. P. Leiter (Eds.), The maslach burnout inventory-test manual (3rd ed.). Consulting Psychologists Press. [Google Scholar]
- Shevchuk, A., Strebkov, D., & Davis, S. N. (2019). The autonomy paradox: How night work undermines subjective well-being of Internet-based freelancers. ILR Review, 72(1), 75–100. [Google Scholar] [CrossRef]
- Sillero-Sillero, A., Ayuso Margañon, R., Moreno-Segura, N., Carrasco, J. J., Atef, H., Ayuso Margañon, S., & Marques-Sule, E. (2023). Physiotherapists’ ethical climate and work satisfaction: A STROBE-compliant cross-sectional study. Healthcare, 11(19), 2631. [Google Scholar] [CrossRef]
- Spreitzer, G. M. (1995). Psychological empowerment in the workplace: Dimensions, measurement, and validation. Academy of Management Journal, 38(5), 1442–1465. [Google Scholar] [CrossRef]
- Sürücü, L., Şeşen, H., & Maslakçı, A. (2023). Regression, mediation/moderation, and structural equation modeling with SPSS, AMOS, and PROCESS Macro. Livre de Lyon. [Google Scholar]
- Taherdoost, H. (2019). What is the best response scale for survey and questionnaire design; review of different lengths of rating scale/attitude scale/Likert scale. International Journal of Academic Research in Management, 8(1), 1–10. Available online: https://ssrn.com/abstract=3588604 (accessed on 1 January 2025).
- Tartakovsky, E., & Cohen, E. (2014). Values in the bank: Value preferences of bank frontline workers and branch managers. European Journal of Work and Organizational Psychology, 23(5), 769–782. [Google Scholar] [CrossRef]
- Tehranineshat, B., Torabizadeh, C., & Bijani, M. (2020). A study of the relationship between professional values and ethical climate and nurses’ professional quality of life in Iran. International Journal of Nursing Sciences, 7(3), 313–319. [Google Scholar] [CrossRef]
- Teresi, M., Pietroni, D. D., Barattucci, M., Giannella, V. A., & Pagliaro, S. (2019). Ethical climate(s), organizational identification, and employees’ behavior. Frontiers in Psychology, 10, 1356. [Google Scholar] [CrossRef] [PubMed]
- Tomczak, M. T., & Kulikowski, K. (2024). Toward an understanding of occupational burnout among employees with autism–the job demands-resources theory perspective. Current Psychology, 43(2), 1582–1594. [Google Scholar] [CrossRef]
- Vardaman, J. M., Gondo, M. B., & Allen, D. G. (2014). Ethical climate and pro-social rule breaking in the workplace. Human Resource Management Review, 24(1), 108–118. [Google Scholar] [CrossRef]
- Vargas, C., Cañadas, G. A., Aguayo, R., Fernández, R., & de la Fuente, E. I. (2014). Which occupational risk factors are associated with burnout in nursing? A meta-analytic study. International Journal of Clinical and Health Psychology, 14(1), 28–38. [Google Scholar] [CrossRef]
- Victor, B., & Cullen, J. B. (1988). The organizational bases of ethical work climates. Administrative Science Quarterly, 33(1), 101–125. [Google Scholar] [CrossRef]
- Zeuge, A., Lemmer, K., Klesel, M., Kordyaka, B., Jahn, K., & Niehaves, B. (2023). To be or not to be stressed: Designing autonomy to reduce stress at work. Work, 75(4), 1199–1213. [Google Scholar] [CrossRef]
- Zhang, N., & He, X. (2022). Role stress, job autonomy, and burnout: The mediating effect of job satisfaction among social workers in China. Journal of Social Service Research, 48(3), 365–375. [Google Scholar] [CrossRef]





| Constructs | M | SD | Skewness | Kurtosis |
|---|---|---|---|---|
| Ethical climate of principles (ECPs) (11) | 49.94 | 2.43 | −0.24 | 1.28 |
| Work autonomy (WA) (3) | 1.91 | 2.54 | −0.33 | 1.27 |
| Emotional exhaustion (EE) (5) | 23.11 | 2.56 | −0.40 | 1.25 |
| Depersonalization (DE) (4) | 20.97 | 3.60 | −0.44 | 1.32 |
| Constructs | N | ECP | WA | EE | DE |
|---|---|---|---|---|---|
| Ethical climate of principles (ECPs) | 11 | 0.72 | |||
| Work autonomy (WA) | 3 | 0.24 * | 0.89 | ||
| Emotional exhaustion (EE) | 5 | 0.16 * | 0.20 * | 0.82 | |
| Depersonalization (DE) | 4 | 0.23 * | 0.14 * | 0.59 * | 0.81 |
| Effect | Route | β | p | t | SE | LLCI | ULCI | |
|---|---|---|---|---|---|---|---|---|
| ECP on EE | a1i | 0.11 | 0.01 | 5.16 | 0.15 | 0.15 | 0.69 | |
| WA on EE | a2i | 0.57 | 0.01 | 5.32 | 0.25 | 0.12 | 0.63 | |
| ECP × WA on EE | a3i | −0.02 | 0.01 | −3.62 | 0.05 | −0.05 | −0.01 | |
| Moderation WA (ECP-EE) | Low (8) | −0.03 | 0.48 | −0.71 | 0.03 | −0.09 | 0.04 | |
| Med. (10) | −0.06 | 0.05 | −1.94 | 0.03 | −0.12 | 0.01 | ||
| High (13) | −0.11 | 0.01 | −2.65 | 0.04 | −0.19 | −0.03 | ||
| Effect | Route | β | p | t | SE | LLCI | ULCI | |
|---|---|---|---|---|---|---|---|---|
| ECP on DE | a1i | 0.12 | 0.01 | 5.34 | 0.17 | 0.23 | 0.79 | |
| WA on DE | a2i | 0.69 | 0.01 | 4.72 | 0.35 | 0.01 | 1.37 | |
| ECP × WA on DE | a3i | −0.02 | 0.01 | −2.75 | 0.01 | −0.03 | −0.01 | |
| Moderation WA (ECP-DE) | Low (8) | −0.01 | 0.54 | −0.61 | 0.02 | −0.06 | 0.03 | |
| Med. (10) | −0.05 | 0.02 | −2.38 | 0.02 | −0.08 | −0.01 | ||
| High (13) | −0.10 | 0.01 | −3.59 | 0.03 | −0.15 | −0.04 | ||
Disclaimer/Publisher’s Note: The statements, opinions and data contained in all publications are solely those of the individual author(s) and contributor(s) and not of MDPI and/or the editor(s). MDPI and/or the editor(s) disclaim responsibility for any injury to people or property resulting from any ideas, methods, instructions or products referred to in the content. |
© 2025 by the authors. Licensee MDPI, Basel, Switzerland. This article is an open access article distributed under the terms and conditions of the Creative Commons Attribution (CC BY) license (https://creativecommons.org/licenses/by/4.0/).
Share and Cite
Santiago-Torner, C.; González-Carrasco, M.; Miranda-Ayala, R. Relationship Between Ethical Climate and Burnout: A New Approach Through Work Autonomy. Behav. Sci. 2025, 15, 121. https://doi.org/10.3390/bs15020121
Santiago-Torner C, González-Carrasco M, Miranda-Ayala R. Relationship Between Ethical Climate and Burnout: A New Approach Through Work Autonomy. Behavioral Sciences. 2025; 15(2):121. https://doi.org/10.3390/bs15020121
Chicago/Turabian StyleSantiago-Torner, Carlos, Mònica González-Carrasco, and Rafael Miranda-Ayala. 2025. "Relationship Between Ethical Climate and Burnout: A New Approach Through Work Autonomy" Behavioral Sciences 15, no. 2: 121. https://doi.org/10.3390/bs15020121
APA StyleSantiago-Torner, C., González-Carrasco, M., & Miranda-Ayala, R. (2025). Relationship Between Ethical Climate and Burnout: A New Approach Through Work Autonomy. Behavioral Sciences, 15(2), 121. https://doi.org/10.3390/bs15020121

