The Influence of State Authenticity on the Sense of Meaning in Life of Middle School Students: Evidence from a Daily Diary Investigation and an Authenticity Enhancement Experiment
Abstract
1. Introduction
2. Study 1: The Influence of State Authenticity on the Sense of Meaning in Life of Middle School Students—Evidence from Daily Diary Method
2.1. Methods and Measures
2.1.1. Participants
2.1.2. Procedure
2.1.3. Measures
Daily State Authenticity Questionnaire (DSAQ)
Daily Meaning in Life Questionnaire (DMILQ)
Daily Basic Psychological Needs Questionnaire (DBPNQ)
Daily Life Satisfaction Questionnaire (DLSQ)
2.1.4. Data Analysis
Common Method Variance
Statistical Analysis
2.2. Results
2.2.1. Descriptive Statistical Analysis
2.2.2. Intermediary Effect Analysis
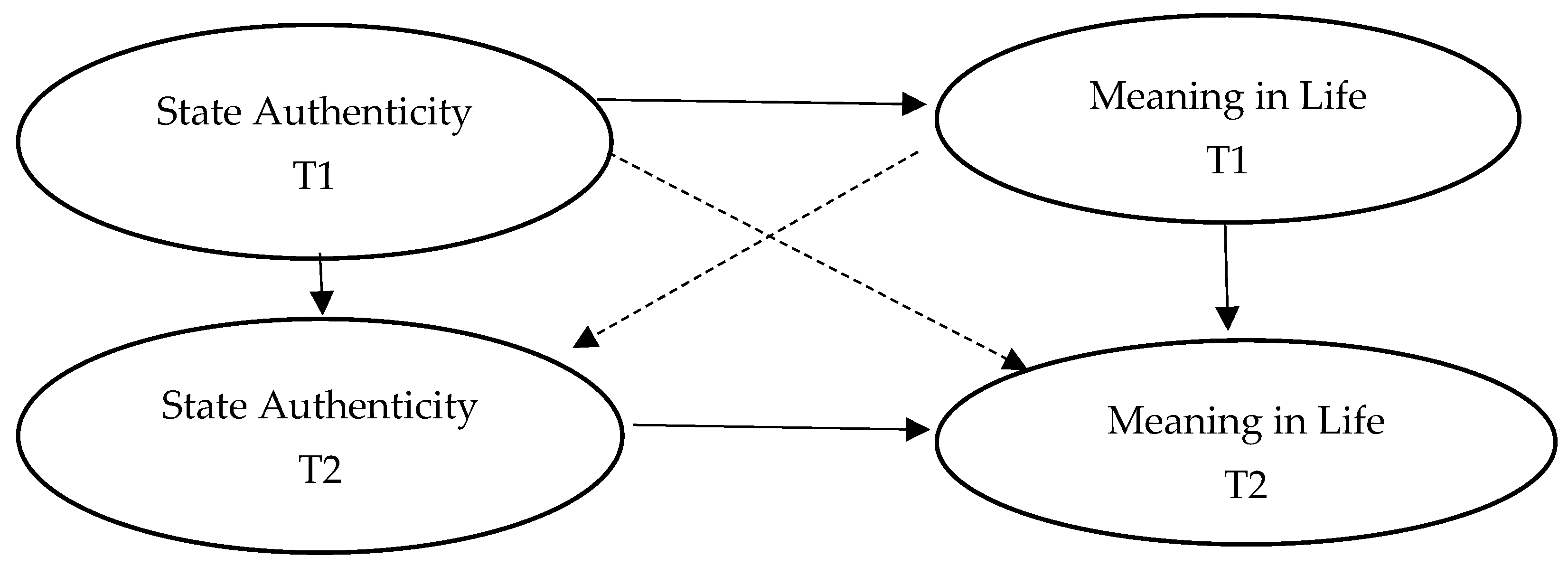
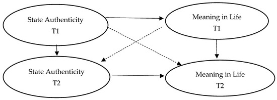
2.2.3. Multi-level Hysteresis Effect Analysis
3. Study 2: The Impact of State Authenticity on Middle School Students’ Sense of Meaning in Life—Evidence from Experiments on Enhancement of Authenticity Level
3.1. Methods and Measures
3.1.1. Participants
3.1.2. Procedure
3.1.3. Measures
Authenticity Questionnaire (AQ)
Meaning in Life Questionnaire (MIL)
3.1.4. Manipulation Check
3.2. Results
3.2.1. Validity Check of Enhancement Experiment
3.2.2. Analysis of the Enhancement of the Authenticity
3.2.3. Comparison of Sense of Meaning in Life
4. Discussion
5. Conclusions
Author Contributions
Funding
Institutional Review Board Statement
Informed Consent Statement
Data Availability Statement
Conflicts of Interest
References
- Harter, S. The Construction of the Self: Developmental and Sociocultural Foundations; Guilford: New York, NY, USA, 2012. [Google Scholar]
- Schlegel, R.J.; Hicks, J.A. Feeling like you know who you are: Perceived true self knowledge and meaning in life. Personal. Soc. Psychol. Bull. 2011, 6, 745–756. [Google Scholar] [CrossRef] [PubMed]
- Schlegel, R.J.; Hicks, J.A.; Christy, A.G. The eudaimonics of the true self. In Handbook of Eudaimonic Well-Being; Vittersø, J., Ed.; Springer: Berlin/Heidelberg, Germany, 2016; pp. 205–213. [Google Scholar]
- Fisher, C.D.; To, M.L. Using experience sampling methodology in organizational behavior. J. Organ. Behav. 2012, 33, 865–877. [Google Scholar] [CrossRef]
- Rivera, G.N.; Christy, A.G. Understanding the Relationship Between Perceived Authenticity and Well-Being. Rev. Gen. Psychol. 2019, 23, 113–126. [Google Scholar] [CrossRef]
- Schlegel, R.J.; Hicks, J.A.; Davis, W.E.; Hirsch, K.A.; Smith, C.M. The dynamic interplay between perceived true self-knowledge and decision satisfaction. J. Personal. Soc. Psychol. 2013, 104, 542–558. [Google Scholar] [CrossRef] [PubMed]
- Wood, A.M.; Linley, P.A.; Maltby, J.; Baliousis, M.; Joseph, S. The authentic personality: A theoretical and empirical conceptualization, and the development of the Authenticity Scale. J. Couns. Psychol. 2008, 55, 385–399. [Google Scholar] [CrossRef]
- Maltby, J.; Wood, A.L.; Day, L.; Pinto, D. The position of authenticity within extant models of personality. Personal. Individ. Differ. 2012, 52, 269–273. [Google Scholar] [CrossRef][Green Version]
- Sedikides, C. State Authenticity. Curr. Dir. Psychol. Sci. 2017, 26, 521–525. [Google Scholar] [CrossRef]
- Lenton, A.P.; Slabu, L.; Sedikides, S.; Power, K. I feel good, therefore I am real: Testing the causal influence of mood on state authenticity. Cogn. Emot. 2013, 27, 1202–1224. [Google Scholar] [CrossRef] [PubMed]
- Strohminger, N.; Knobe, J.; Newman, G. The true self: A psychological concept distinct from the self. Perspect. Psychol. Sci. 2017, 12, 551–560. [Google Scholar] [CrossRef]
- Heppner, W.L.; Kernis, M.H. Within-Person relation hips among daily self-esteem, need satisfaction, and authenticity. Psychol. Sci. 2008, 19, 1140–1145. [Google Scholar] [CrossRef]
- Ariza-Montes, A.; Giorgi, G.; Leal-Rodriguez, A.; Ramirez-Sobrino, J. Authenticity and subjective well-being within the context of a religious organization. Front. Psychol. 2017, 8, 1–14. [Google Scholar] [CrossRef] [PubMed]
- Wang, Y.; Li, Z. Authenticity as a mediator of the relationship between power contingent self-esteem and subjective well-being. Front. Psychol. 2018, 9, 1–9. [Google Scholar] [CrossRef]
- Song, L.; Wang, Y.; Zhao, Y. Reliability and validity test of authenticity scale in Chinese adolescents. Chin. J. Clin. Psychol. 2020, 28, 344–347+260. [Google Scholar]
- Ionescu, D.; Iacob, C.I. Self—Authenticity, optimism, and neuroticism in relation to basic psychological needs. Rom. J. Psychol. 2019, 1, 28–34. [Google Scholar]
- Deci, E.L.; Ryan, R.M. The “what” and “why” of goal pursuits: Human needs and the self-determination of behavior. Psychol. Inq. 2000, 11, 227–268. [Google Scholar] [CrossRef]
- Vansteenkiste, M.; Ryan, R.M. Psychological Growth and Vulnerability: The Unified Principle of Basic Psychological needs Satisfaction and needs Frustration. J. Integr. Psychother. Intergration 2013, 23, 263–280. [Google Scholar] [CrossRef]
- Xiang, Y. Research on the Relationship between Life Goal Pursuit, Basic Psychological Needs and Subjective Well-being of Junior Middle School Students and Its Intervention. Master’s Thesis, Shanghai Normal University, Shanghai, China, 2018. [Google Scholar]
- Boyraz, G.; Waits, J.B.; Felix, V.A. Authenticity, life satisfaction, and distress: A longitudinal analysis. J. Couns. Psychol. 2014, 61, 498–505. [Google Scholar] [CrossRef] [PubMed]
- Lopez, F.G.; Ramos, K.; Nisenbaum, M.; Thind, N.; Ortiz Rodriguez, T. Predicting the presence and search for life meaning: Test of an attachment theory—Driven model. J. Happiness Stud. 2015, 16, 103–116. [Google Scholar] [CrossRef]
- Liu, Q.-Q.; Sun, X.-J.; Zhou, Z.-K.; Niu, G.-F.; Kong, F.-C.; Lian, S.-L. The impact of authentic self-presentation on life satisfaction in social networking sites: The chain mediating role of online positive feedback and general self-concept. Psychol. Sci. 2016, 2, 406–411. [Google Scholar]
- Rathi, N.; Lee, K. Does It Pay to Be Authentic? Implications of Authenticity for Life Satisfaction and Psychological Well-Being in a Collectivist Culture. J. Happiness Stud. 2020, 22, 147–161. [Google Scholar] [CrossRef]
- Guo, Q. Research on the Relationship between Self-Presentation, Self-Esteem and Life Satisfaction of Junior Middle School Students in Social Networking Sites. Ph.D. Thesis, Chongqing Normal University, Chongqing, China, 2021. [Google Scholar]
- Wilt, J.A. Authenticity, presence of meaning, and struggle with ultimate meaning: Nuanced between-and within-person associations. J. Res. Personal. 2021, 93, 104. [Google Scholar] [CrossRef]
- Li, X. The impact of authentic Self on the sense of meaning in life of Middle school students: The chain mediating role of basic psychological needs and self-esteem. Educ. Rev. 2022, 23, 14–17+40. [Google Scholar]
- Du, L. Status quo and influencing factors of meaning of life among 606 nursing students. J. Nurs. 2019, 22, 47–51. [Google Scholar]
- Christy, A.G.; Seto, E.; Schlegel, R.J.; Vess, M.; Hicks, J.A. Straying from the righteous path and from ourselves: The interplay between perceptions of morality and self-knowledge. Personal. Soc. Psychol. Bull. 2016, 42, 1538–1550. [Google Scholar] [CrossRef] [PubMed]
- Schlegel, R.J.; Hicks, J.A.; Arndt, J.; King, L.A. Thine own self: True self-concept accessibility and meaning in life. J. Personal. Soc. Psychol. 2009, 96, 473–490. [Google Scholar] [CrossRef] [PubMed]
- Paul, K.L. Authenticity, meaning in life, and life satisfaction: A multicomponent investigation of relationships at the trait and state levels. J. Personal. 2022, 3, 541–555. [Google Scholar]
- Guenther, C.L.; Zhang, Y. The Authentic Self Is the Self-Enhancing Self: A Self-Enhancement Framework of Authenticity. Personal. Soc. Psychol. Bull. 2023, 50, 01461672231160653. [Google Scholar] [CrossRef] [PubMed]
- Ohly, S.; Sonnentag, S.; Niessen, C.; Zapf, D. Diary studies in organizational research: An introduction and some practical recommendations. J. Personal. Psychol. 2010, 9, 79–93. [Google Scholar] [CrossRef]
- Oishi, S.; Diener, E.; Choi, D.-W.; Kim-Prieto, C.; Choi, I. The dynamics of daily events and well-being across cultures: When less is more. J. Personal. Soc. Psychol. 2007, 93, 685–698. [Google Scholar] [CrossRef]
- Newman, D.B. The Dynamics of Searching for Meaning and Presence of Meaning in Daily Life. J. Personal. 2018, 86, 368–379. [Google Scholar] [CrossRef] [PubMed]
- Muthén, L.K.; Muthén, B.O. Mplus User’s Guide, 8th ed.; Muthén & Muthén: Los Angeles, CA, USA, 2017. [Google Scholar]
- Muthén, L.K.; Muthén, B.O. Mplus User’s Guide, 7th ed.; Mplus: Los Angeles, CA, USA, 2012. [Google Scholar]
- Preacher, K.J.; Zyphur, M.J.; Zhang, Z. A general multilevel SEM framework for assessing multilevel mediation. Psychol. Methods 2010, 15, 209–233. [Google Scholar] [CrossRef] [PubMed]
- Hu, L.; Bentler, P.M. Fit indices in covariance structure modeling: Sensitivity to underparameterized model misspecification. Psychol. Methods 1998, 3, 424–453. [Google Scholar] [CrossRef]
- Browne, M.W.; Cudeck, R. Alternative ways of assessing model fit. Sociol. Methods Res. 1992, 21, 230–258. [Google Scholar] [CrossRef]
- Hamaker, E.L.; Klugkist, I.G. Bayesian estimation in multilevel modeling. In Handbook of Advanced Multilevel Analysis; Hox, J.J., Roberts, J.K., Eds.; Routledge: Milton Park, UK, 2011; pp. 137–161. [Google Scholar]
- Card, N.A. Multilevel mediational analysis in the study of daily lives. In Handbook of Research Methods for Studying Daily Life; Mehl, M.R., Conner, T.S., Eds.; Guilford Press: New York, NY, USA, 2012; pp. 479–494. [Google Scholar]
- Sadikaj, G.; Wright, A.G.; Dunkley, D.M.; Zuroff, D.C.; Moskowitz, D.S. Multilevel structural equation modeling for intensive longitudinal data: A practical guide for personality researchers. In The Handbook of Personality Dynamics and Processes; Academic Press: Cambridge, MA, USA, 2021; pp. 855–885. [Google Scholar]
- Kifer, Y.H.; Heller, D.; Perunovic, W.Q.E.; Galinsky, A.D. The good life of the powerful: The experience of power and authenticity enhances subjective well-being. Psychol. Sci. 2013, 24, 280–288. [Google Scholar] [CrossRef] [PubMed]
- Steger, M.F.; Frazier, P.; Oishi, S.; Kaler, M. The Meaning in Life Questionnaire: Assessing the presence of and search for meaning in life. J. Couns. Psychol. 2006, 53, 80–93. [Google Scholar] [CrossRef]
- Lenton, A.P.; Slabu, L.; Sedikides, C. State authenticity in everyday life. Eur. J. Personal. 2015, 30, 64–82. [Google Scholar] [CrossRef]
- Lenton, A.P.; Bruder, M.; Slabu, L.; Sedikides, C. How does “being real” feel? The experience of state authenticity. J. Personal. 2013, 81, 276–289. [Google Scholar] [CrossRef] [PubMed]
- Deci, E.L.; Ryan, R.M. Human autonomy: The basis for true self-esteem. In Efficacy, Agency, and Self-Esteem; Kernis, M.H., Ed.; Press: Plenum, NY, USA, 1995; pp. 31–49. [Google Scholar]
- Zhang, R.; Li, D. The Way of the Sage, Self Sufficiency: The impact of self-concept on the meaning of Life. Psychol. Sci. 2020, 6, 1506–1513. [Google Scholar]
- Thomaes, S.; Sedikides, C.; van den Bos, N.; Hutteman, R.; Reijntjes, A. Happy to be “me”? Authenticity, psychological need satisfaction, and subjective well-being in adolescence. Child Dev. 2017, 88, 1045–1056. [Google Scholar] [CrossRef]









| M | SDWITHIN | SDBETWEEN | ICC | Authenticity | Sense of Meaning in Life | Basic Psychological Needs | Life Satisfaction | |
|---|---|---|---|---|---|---|---|---|
| Authenticity | 29.76 | 4.703 | 5.761 | 0.611 | 0.421 ** | 0.342 ** | 0.361 *** | |
| Sense of meaning in life | 16.75 | 3.079 | 3.950 | 0.543 | 0.521 *** | 0.739 *** | 0.600 *** | |
| Basic psychological needs | 33.99 | 5.103 | 6.132 | 0.641 | 0.388 *** | 0.674 *** | 0.561 *** | |
| Life satisfaction | 11.01 | 1.524 | 2.189 | 0.399 | 0.415 *** | 0.579 *** | 0.572 *** |
| Models | Within | Between | ||||
|---|---|---|---|---|---|---|
| Estimate | SD | p | Estimate | SD | p | |
| Control Variable | ||||||
| Gender → Sense of meaning in life | 0.072 | 0.342 | 0.834 | |||
| Gender → Basic psychological needs | 0.716 | 0.841 | 0.394 | |||
| Gender → Life satisfaction | 0.238 | 0.220 | 0.279 | |||
| Direct Effects | ||||||
| Authenticity → Sense of meaning in life | 0.380 | 0.026 | <0.001 | 0.076 | 0.045 | 0.834 |
| Authenticity → Basic psychological needs | 0.498 | 0.045 | <0.001 | 0.366 | 0.101 | 0.002 |
| Authenticity → Life satisfaction | 0.126 | 0.018 | <0.001 | 0.052 | 0.026 | 0.043 |
| Basic Psychological Needs → Sense of meaning in life | 0.146 | 0.039 | < 0.001 | 0.344 | 0.045 | <0.001 |
| Life satisfaction → Sense of meaning in life | 0.284 | 0.066 | <0.001 | 0.511 | 0.206 | 0.013 |
| Basic Psychological needs → Life satisfaction | 0.226 | 0.021 | <0.001 | 0.143 | 0.027 | <0.001 |
| Models | Estimate | Post.sd | p | 95%CI | |
|---|---|---|---|---|---|
| Lower | Upper | ||||
| Within | |||||
| Authenticity → Basic psychological needs → Sense of Meaning in Life | 0.073 | 0.012 | <0.001 | 0.050 | 0.098 |
| Authenticity → Life Satisfaction → Sense of Meaning in Life | 0.035 | 0.007 | 0.104 | 0.022 | 0.051 |
| Authenticity → Basic Psychological Needs → Life Satisfaction → Sense of Meaning in Life | 0.032 | 0.006 | <0.001 | 0.020 | 0.045 |
| Between | |||||
| Authenticity → Basic Psychological Needs → Sense of Meaning in Life | 0.125 | 0.039 | <0.001 | 0.055 | 0.208 |
| Authenticity → Life Satisfaction → Sense of Meaning in Life | 0.025 | 0.018 | 0.030 | 0.001 | 0.066 |
| Authenticity → Basic Psychological Needs → Life Satisfaction → Sense of Meaning in Life | 0.025 | 0.013 | 0.002 | 0.007 | 0.057 |
| Effects | Variable | Beta. | SE | 95%CI |
|---|---|---|---|---|
| Autoregressive Effect | AuthenticityT1 → Authenticity | 0.478 *** | 0.069 | [0.339, 0.608] |
| Sense of meaning inT1 life → Sense of meaning in life | 0.344 *** | 0.071 | [0.213, 0.485] | |
| Cross Hysteresis Effect | AuthenticityT1 → Sense of meaning in life | 0.233 *** | 0.047 | [0.134, 0.321] |
| SenseT1 of meaning in life → Authenticity | 0.065 | 0.088 | [−0.110, 0.228] |
| Experimental Group (n = 64) | Control Group (n = 64) | t | p | Cohen’s d | |
|---|---|---|---|---|---|
| State Authenticity | 4.61 ± 1.10 | 4.69 ± 0.95 | 0.45 | 0.650 | 0.07 |
| Self-alienation | 4.80 ± 1.21 | 4.72 ± 1.57 | 0.33 | 0.740 | 0.05 |
| Accepting of external influence | 4.10 ± 1.27 | 4.35 ± 1.22 | 1.16 | 0.250 | 0.20 |
| Authentic life | 4.99 ± 1.04 | 5.05 ± 0.9 | 0.34 | 0.736 | 0.06 |
| Pre-Test (n = 64) | Post-Test (n = 64) | t | p | Cohen’s d | |
|---|---|---|---|---|---|
| State Authenticity | 4.69 ± 0.95 | 4.88 ± 1.00 | 1.06 | 0.292 | 0.19 |
| Pre-Test (n = 64) | Post-Test (n = 64) | t | p | Cohen’s d | |
|---|---|---|---|---|---|
| State Authenticity | 5.05 ± 0.87 | 4.67 ± 1.13 | 2.14 | 0.034 | 0.38 |
| Post-Test (n = 64) | Pre-Test (n = 64) | t | p | Cohen’s d | |
|---|---|---|---|---|---|
| State Authenticity | 5.04 ± 0.87 | 4.61 ± 1.10 | 2.45 | 0.015 | 0.43 |
| Self-alienation | 5.06 ± 1.05 | 4.80 ± 1.21 | −1.30 | 0.197 | 0.22 |
| Accepting of External Influences | 4.69 ± 0.94 | 4.10 ± 1.27 | −3.02 | 0.003 | 0.53 |
| Authentic Life | 5.41 ± 0.90 | 4.99 ± 1.04 | −2.41 | 0.017 | 0.43 |
| Experimental Group (n = 64) | Control Group (n = 64) | t | p | Cohen’s d | |
|---|---|---|---|---|---|
| Sense of meaning in Life | 4.83 ± 1.00 | 5.05 ± 0.72 | −1.415 | 0.160 | 0.25 |
| Sense of meaning existence | 4.85 ± 1.08 | 4.97 ± 1.18 | −0.607 | 0.545 | 0.11 |
| Sense of meaning seeking | 4.81 ± 1.03 | 5.13 ± 1.09 | −1.679 | 0.096 | 0.30 |
| Post-Test (n = 64) | Pre-Test (n = 64) | t | p | Cohen’s d | |
|---|---|---|---|---|---|
| Sense of meaning in life | 5.52 ± 0.97 | 4.83 ± 1.00 | 3.958 | 0.000 | 0.70 |
| Sense of meaning existence | 5.77 ± 0.88 | 4.85 ± 1.08 | 5.284 | 0.000 | 0.93 |
| Sense of meaning seeking | 5.28 ± 1.21 | 4.81 ± 1.03 | 2.306 | 0.023 | 0.41 |
Disclaimer/Publisher’s Note: The statements, opinions and data contained in all publications are solely those of the individual author(s) and contributor(s) and not of MDPI and/or the editor(s). MDPI and/or the editor(s) disclaim responsibility for any injury to people or property resulting from any ideas, methods, instructions or products referred to in the content. |
© 2024 by the authors. Licensee MDPI, Basel, Switzerland. This article is an open access article distributed under the terms and conditions of the Creative Commons Attribution (CC BY) license (https://creativecommons.org/licenses/by/4.0/).
Share and Cite
Yan, S.; Tang, W. The Influence of State Authenticity on the Sense of Meaning in Life of Middle School Students: Evidence from a Daily Diary Investigation and an Authenticity Enhancement Experiment. Behav. Sci. 2024, 14, 550. https://doi.org/10.3390/bs14070550
Yan S, Tang W. The Influence of State Authenticity on the Sense of Meaning in Life of Middle School Students: Evidence from a Daily Diary Investigation and an Authenticity Enhancement Experiment. Behavioral Sciences. 2024; 14(7):550. https://doi.org/10.3390/bs14070550
Chicago/Turabian StyleYan, Shan, and Weihai Tang. 2024. "The Influence of State Authenticity on the Sense of Meaning in Life of Middle School Students: Evidence from a Daily Diary Investigation and an Authenticity Enhancement Experiment" Behavioral Sciences 14, no. 7: 550. https://doi.org/10.3390/bs14070550
APA StyleYan, S., & Tang, W. (2024). The Influence of State Authenticity on the Sense of Meaning in Life of Middle School Students: Evidence from a Daily Diary Investigation and an Authenticity Enhancement Experiment. Behavioral Sciences, 14(7), 550. https://doi.org/10.3390/bs14070550
