Salivary Cortisol and Periodontitis Severity: A Cross-Sectional Biomarker-Based Assessment of Stress and Inflammation
Abstract
1. Introduction
2. Materials and Methods
- The Stage I/II group comprised individuals with CAL ≤4 mm, radiographic bone loss limited to the coronal third (<33%) of the root, and PPD ≤5 mm;
- The Stage III/IV group included patients with CAL ≥5 mm, bone loss extending to the middle/apical third of the root, PPD ≥6 mm, vertical bone loss ≥3 mm, Class II/III furcation involvement, and tooth loss due to periodontitis or masticatory dysfunction.
3. Results
3.1. Demographic Characteristics
3.2. Comparison of Salivary Biomarkers Between Stages and Grades
3.3. Multivariate Logistic Regression Predicting Severe (Stage III/IV) and Grade C Periodontitis
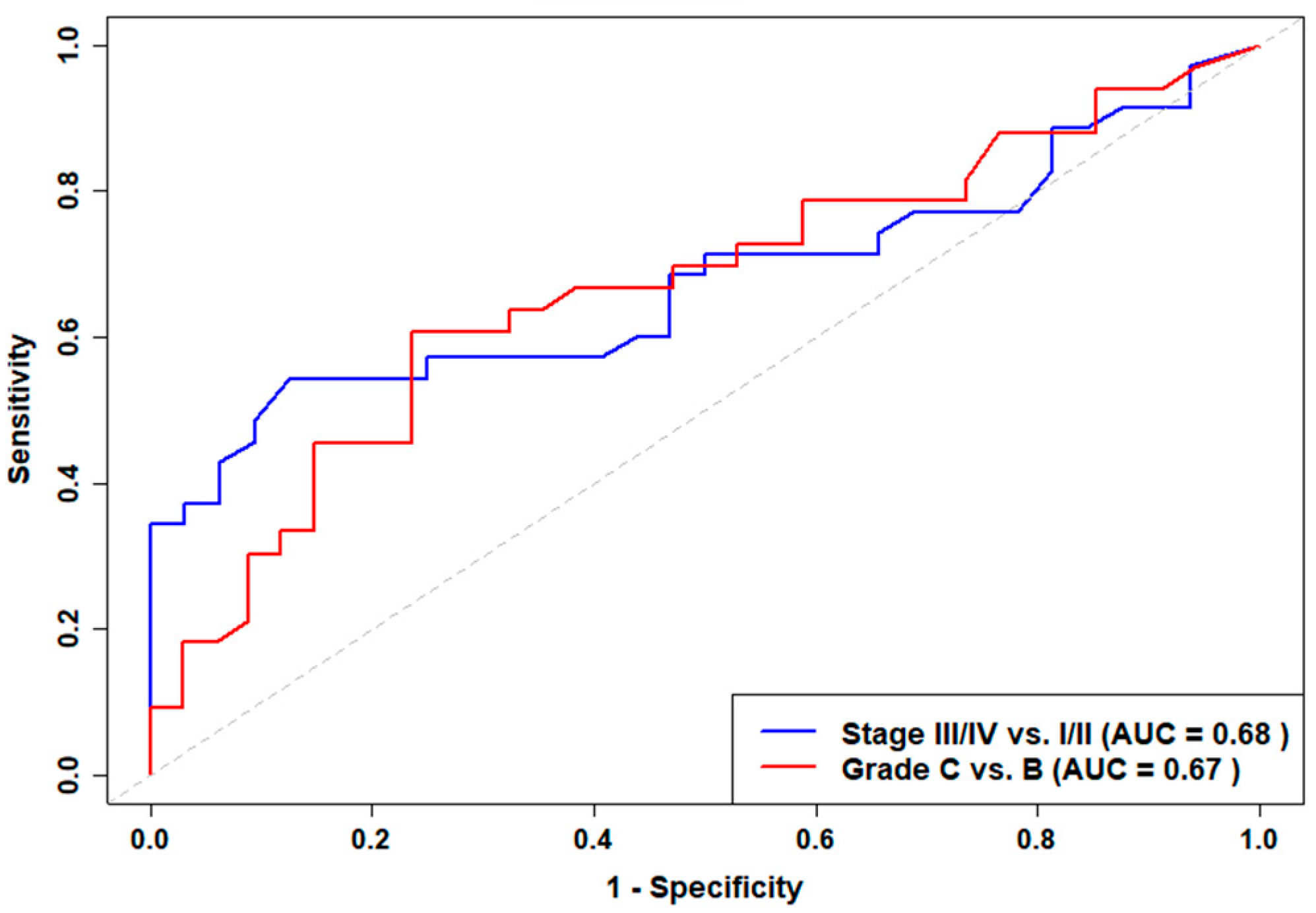
3.4. Receiver Operating Characteristic (ROC) Curve Analysis for Salivary Cortisol
3.5. Correlations Between Salivary Biomarkers and Periodontal Measures
4. Discussion
5. Conclusions
Author Contributions
Funding
Institutional Review Board Statement
Informed Consent Statement
Data Availability Statement
Conflicts of Interest
Abbreviations
| HPA | Hypothalamic-pituitary-adrenal |
| NSPT | non-surgical periodontal therapy |
| IL-1β | interleukin 1-β |
| IL-6 | interleukin 6 |
| FMPS | Full Mouth Plaque Score |
| FMBS | Full Mouth Bleeding Score |
| PPD | probing pocket depth |
| CAL | clinical attachment level |
| BoP | bleeding on probing |
References
- Chen, M.X.; Zhong, Y.J.; Dong, Q.Q.; Wong, H.M.; Wen, Y.F. Global, Regional, and National Burden of Severe Periodontitis, 1990–2019: An Analysis of the Global Burden of Disease Study 2019. J. Clin. Periodontol. 2021, 48, 1165–1188. [Google Scholar] [CrossRef]
- Meyle, J.; Chapple, I. Molecular Aspects of the Pathogenesis of Periodontitis. Periodontology 2000 2015, 69, 7–17. [Google Scholar] [CrossRef]
- Duseja, S.; Parikh, H.A.; Duseja, S. Evaluating the Clinico-Biochemical Association between Stress and Chronic Periodontitis by Estimation of Serum Cortisol and Serum Chromogranin A Levels. Adv. Hum. Biol. 2025, 15, 73–80. [Google Scholar] [CrossRef]
- Jaiswal, R.; Shenoy, N.; Thomas, B. Evaluation of Association Between Psychological Stress and Serum Cortisol Levels in Patients with Chronic Periodontitis—Estimation of Relationship Between Psychological Stress and Periodontal Status. J. Indian Soc. Periodontol. 2016, 20, 381–385. [Google Scholar] [CrossRef] [PubMed]
- Ball, J.; Darby, I. Mental Health and Periodontal and Peri-Implant Diseases. Periodontology 2000 2022, 90, 106–124. [Google Scholar] [CrossRef] [PubMed]
- Obulareddy, V.T.; Chava, V.K.; Nagarakanti, S. Association of Stress, Salivary Cortisol, and Chronic Periodontitis: A Clinico-Biochemical Study. Contemp. Clin. Dent. 2018, 9 (Suppl. S2), S299–S304. [Google Scholar] [CrossRef]
- Hensel, A.L.J.; Nicholson, K.; Anderson, K.K.; Gomaa, N.A. Biopsychosocial factors in oral and systemic diseases: A scoping review. Front. Oral. Health 2024, 5, 1378467. [Google Scholar] [CrossRef]
- Lee, Y.-H.; Suk, C.; Shin, S.-I.; Hong, J.-Y. Salivary Cortisol, Dehydroepiandrosterone, and Chromogranin A Levels in Patients with Gingivitis and Periodontitis and a Novel Biomarker for Psychological Stress. Front. Endocrinol. 2023, 14, 1147739. [Google Scholar] [CrossRef]
- Mengel, R.; Bacher, M.; Flores-De-Jacoby, L. Interactions between Stress, Interleukin-1β, Interleukin-6 and Cortisol in Periodontally Diseased Patients. J. Clin. Periodontol. 2002, 29, 1012–1022. [Google Scholar] [CrossRef]
- Savita, A.M.; Sunil, S.; Tejashwini, M.A.; Pallavi Nanaiah, K. Comparative Evaluation of Salivary Cortisol Levels and Peripheral Blood Neutrophil Functions in Chronic Periodontitis Patients with and without Stress—A Case Control Study. RGUHS J. Dent. Sci. 2021, 13, 23–29. [Google Scholar] [CrossRef]
- Hingorjo, M.R.; Owais, M.; Siddiqui, S.U.; Nazar, S.; Ali, Y.S. The Impact of Psychological Stress on Salivary Cortisol Levels in Periodontitis Patients: A Case-Control Study. BMC Oral Health 2025, 25, 276. [Google Scholar] [CrossRef] [PubMed]
- Castro, M.M.L.; Ferreira, R.O.; Fagundes, N.C.F.; Almeida, A.P.C.P.S.C.; Maia, L.C.; Lima, R.R. Association between Psychological Stress and Periodontitis: A Systematic Review. Eur. J. Dent. 2020, 14, 171–179. [Google Scholar] [CrossRef] [PubMed]
- Hilgert, J.B.; Hugo, F.N.; Bandeira, D.R.; Bozzetti, M.C. Stress, Cortisol, and Periodontitis in a Population Aged 50 Years and Over. J. Dent. Res. 2006, 85, 324–328. [Google Scholar] [CrossRef] [PubMed]
- Budala, D.G.; Luchian, I.; Virvescu, D.I.; Tudorici, T.; Constantin, V.; Surlari, Z.; Butnaru, O.; Bosinceanu, D.N.; Bida, C.; Hancianu, M. Salivary Biomarkers as a Predictive Factor in Anxiety, Depression, and Stress. Curr. Issues Mol. Biol. 2025, 47, 488. [Google Scholar] [CrossRef]
- Surdu, A.; Foia, L.G.; Luchian, I.; Trifan, D.; Tatarciuc, M.S.; Scutariu, M.M.; Ciupilan, C.; Budala, D.G. Saliva as a Diagnostic Tool for Systemic Diseases—A Narrative Review. Medicina 2025, 61, 243. [Google Scholar] [CrossRef]
- Chojnowska, S.; Ptaszyńska-Sarosiek, I.; Kępka, A.; Knaś, M.; Waszkiewicz, N. Salivary Biomarkers of Stress, Anxiety and Depression. J. Clin. Med. 2021, 10, 517. [Google Scholar] [CrossRef]
- Constantin, V.; Luchian, I.; Goriuc, A.; Budala, D.G.; Bida, F.C.; Cojocaru, C.; Butnaru, O.-M.; Virvescu, D.I. Salivary Biomarkers Identification: Advances in Standard and Emerging Technologies. Oral 2025, 5, 26. [Google Scholar] [CrossRef]
- Al-Ak’hali, M.S.; Al-Moraissi, E.A.; Fageeh, H.N.; Alakhali, H.S.; Peeran, S.W.; Khurayzi, T.A.; Imran, A.G. Are Salivary Cortisol Levels Elevated in Periodontitis Patients Experiencing Stress Compared to Those without Stress? A Systematic Review and Meta-Analysis. J. Contemp. Dent. Pract. 2025, 26, 206–216. [Google Scholar] [CrossRef]
- Bawankar, P.V.; Kolte, A.P.; Kolte, R.A. Evaluation of Stress, Serum and Salivary Cortisol, and Interleukin-1β Levels in Smokers and Non-Smokers with Chronic Periodontitis. J. Periodontol. 2018, 89, 1061–1068. [Google Scholar] [CrossRef]
- Nouri, P.; Fereidooni, M.; Faramarzi, M.; Sadeghi, S.; Qujeq, D.; Neamati, N. Evaluation of Association between Perceived Stress, Anxiety, Depression, Salivary Alpha-Amylase and Salivary Cortisol with Chronic Periodontitis. J. Dent. Oral Disord. 2021, 7, 1152. [Google Scholar] [CrossRef]
- Naghsh, N.; Mogharehabed, A.; Karami, E.; Yaghini, J. Comparative Evaluation of the Cortisol Level of Unstimulated Saliva in Patients with and without Chronic Periodontitis. Dent. Res. J. 2019, 16, 421–427. [Google Scholar] [CrossRef]
- Rai, B.; Kaur, J.; Anand, S.C.; Jacobs, R. Salivary Stress Markers, Stress, and Periodontitis: A Pilot Study. J. Periodontol. 2011, 82, 287–292. [Google Scholar] [CrossRef] [PubMed]
- Haririan, H.; Andrukhov, O.; Böttcher, M.; Pablik, E.; Wimmer, G.; Moritz, A.; Rausch-Fan, X. Salivary Neuropeptides, Stress, and Periodontitis. J. Periodontol. 2018, 89, 9–18. [Google Scholar] [CrossRef]
- Baumeister, S.E.; Reckelkamm, S.L.; Grabe, H.J.; Nauck, M.; Klinger-König, J.; Völzke, H.; Kocher, T.; Friedrich, N.; Holtfreter, B. Cortisol and Periodontitis: Prospective Observational and Mendelian Randomization Studies. Front. Endocrinol. 2023, 14, 1100985. [Google Scholar] [CrossRef] [PubMed]
- Papapanou, P.N.; Sanz, M.; Buduneli, N.; Dietrich, T.; Feres, M.; Fine, D.H.; Flemmig, T.F.; Garcia, R.; Giannobile, W.V.; Graziani, F.; et al. Periodontitis: Consensus Report of Workgroup 2 of the 2017 World Workshop on the Classification of Periodontal and Peri-Implant Diseases and Conditions. J. Periodontol. 2018, 89 (Suppl. S1), S173–S182. [Google Scholar] [CrossRef]
- Tonetti, M.S.; Greenwell, H.; Kornman, K.S. Staging and Grading of Periodontitis: Framework and Proposal of a New Classification and Case Definition. J. Periodontol. 2018, 89 (Suppl. S1), S159–S172. [Google Scholar] [CrossRef]
- Zhang, H.; Chen, B.; Pan, C.; Zhang, A. To Evaluate the Serum Cortisol, Salivary Cortisol, and Serum Interleukin-1β Level in Patients of Chronic Periodontitis with Smoking and Stress and without Smoking and Stress. Medicine 2021, 100, e26757. [Google Scholar] [CrossRef]
- Spector, A.M.; Postolache, T.T.; Akram, F.; Scott, A.J.; Wadhawan, A.; Reynolds, M.A. Psychological Stress: A Predisposing and Exacerbating Factor in Periodontitis. Curr. Oral Health Rep. 2020, 7, 208–215. [Google Scholar] [CrossRef]
- Develioglu, H.; Korkmaz, S.; Dundar, S.; Schlagenhauf, U. Investigation of the Levels of Different Salivary Stress Markers in Chronic Periodontitis Patients. J. Oral Biol. Craniofac. Res. 2020, 10, 514–518. [Google Scholar] [CrossRef]
- Corridore, D.; Saccucci, M.; Zumbo, G.; Fontana, E.; Lamazza, L.; Stamegna, C.; Di Carlo, G.; Vozza, I.; Guerra, F. Impact of Stress on Periodontal Health: Literature Revision. Healthcare 2023, 11, 1516. [Google Scholar] [CrossRef]
- Cakmak, O.; Tasdemir, Z.; Aral, C.A.; Dundar, S.; Koca, H.B. Gingival Crevicular Fluid and Saliva Stress Hormone Levels in Patients with Chronic and Aggressive Periodontitis. J. Clin. Periodontol. 2016, 43, 1024–1031. [Google Scholar] [CrossRef]
- Petit, C.; Anadon-Rosinach, V.; Rettig, L.; Schmidt-Mutter, C.; Tuzin, N.; Davideau, J.L.; Huck, O. Influence of Psychological Stress on Non-Surgical Periodontal Treatment Outcomes in Patients with Severe Chronic Periodontitis. J. Periodontol. 2021, 92, 186–195. [Google Scholar] [CrossRef] [PubMed]
- Dubar, M.; Clerc-Urmès, I.; Baumann, C.; Clément, C.; Alauzet, C.; Bisson, C. Relations of Psychosocial Factors and Cortisol with Periodontal and Bacterial Parameters: A Prospective Clinical Study in 30 Patients with Periodontitis Before and After Non-Surgical Treatment. Int. J. Environ. Res. Public Health 2020, 17, 7651. [Google Scholar] [CrossRef] [PubMed]
- Villafuerte, K.R.V.; Palucci Vieira, L.H.; Santos, K.O.; Rivero-Contreras, E.; Lourenço, A.G.; Motta, A.C.F. Psychological Stress Reduces the Effectiveness of Periodontal Treatment: A Systematic Review. J. Clin. Med. 2025, 14, 1680. [Google Scholar] [CrossRef] [PubMed]
- Bolyarova, T.; Stefanov, L.; Naseva, E.; Stamatov, K.; Dzhenkov, S.; Stoimenov, B.; Pancheva, R.; Dochev, N.; Ishkitiev, N. Pro-Inflammatory Markers in Serum and Saliva in Periodontitis and Hypertension. Medicina 2025, 61, 1024. [Google Scholar] [CrossRef]
- Kolte, A.P.; Kolte, R.A.; Verma, A.S.; Lathiya, V.N.; Shahab, S.A. Anxiety in Periodontally Healthy, Stage III/IV Periodontitis with and without Smoking: A Cross-Sectional Study. BMC Oral Health 2025, 25, 654. [Google Scholar] [CrossRef]
- Ansai, T.; Soh, I.; Ishisaka, A.; Yoshida, A.; Awano, S.; Hamasaki, T.; Sonoki, K.; Takata, Y.; Takehara, T. Determination of Cortisol and Dehydroepiandrosterone Levels in Saliva for Screening of Periodontitis in Older Japanese Adults. Int. J. Dent. 2009, 2009, 280737. [Google Scholar] [CrossRef]
- Katuri, K.K.; Dasari, A.B.; Kurapati, S.; Vinnakota, N.R.; Bollepalli, A.C.; Dhulipalla, R. Association of Yoga Practice and Serum Cortisol Levels in Chronic Periodontitis Patients with Stress-Related Anxiety and Depression. J. Int. Soc. Prev. Community Dent. 2016, 6, 7–14. [Google Scholar] [CrossRef]
- Sudhanshu, A.; Sharma, U.; Vadiraja, H.S.; Rana, R.K.; Singhal, R. Impact of Yoga on Periodontal Disease and Stress Management. Int. J. Yoga 2017, 10, 121–127. [Google Scholar] [CrossRef]
- Vilar Doceda, M.; Petit, C.; Huck, O. Behavioral Interventions on Periodontitis Patients to Improve Oral Hygiene: A Systematic Review. J. Clin. Med. 2023, 12, 2276. [Google Scholar] [CrossRef]




| Stage I/II (n = 32) | Stage III/IV (n = 35) | p-Value | Grade B (n = 34) | Grade C (n = 33) | p-Value | |
|---|---|---|---|---|---|---|
| Mean Age ± SD | 50.4 ± 10.5 | 52.3 ± 8.4 | 0.409 | 52.7 ± 10.1 | 50.1 ± 8.6 | 0.327 |
| Females, n (%) | 19 (59.4%) | 16 (45.7%) | 0.382 | 18 (52.9%) | 17 (51.5%) | 1.000 |
| Males, n (%) | 13 (40.6%) | 19 (54.3%) | 16 (47.1%) | 16 (48.5%) | ||
| Non-Smokers, n (%) | 17 (53.1%) | 15 (42.9%) | 0.551 | 25 (73.5%) | 7 (21.2%) | <0.001 |
| Smokers, n (%) | 15 (46.9%) | 20 (57.1%) | 9 (26.5%) | 26 (78.8%) |
| Predictor | Odds Ratio (OR) | 95% CI | p-Value |
|---|---|---|---|
| Age | 1.04 | 0.98–1.11 | 0.219 |
| Gender | 1.55 | 0.49–4.99 | 0.455 |
| Smoking | 1.39 | 0.72–2.81 | 0.333 |
| Cortisol | 1.23 | 1.07–1.45 | 0.007 |
| IL-1β | 1.01 | 1.00–1.02 | 0.210 |
| IL-6 | 0.99 | 0.97–1.01 | 0.359 |
| Predictor | Odds Ratio (OR) | 95% CI | p-Value |
|---|---|---|---|
| Age | 1.04 | 0.95–1.14 | 0.426 |
| Gender | 2.09 | 0.45–11.80 | 0.366 |
| Smoking | 13.6 | 4.7–61.7 | <0.001 |
| Cortisol | 1.24 | 1.06–1.56 | 0.026 |
| IL-1β | 0.99 | 0.98–1.01 | 0.464 |
| IL-6 | 1.01 | 0.99–1.04 | 0.337 |
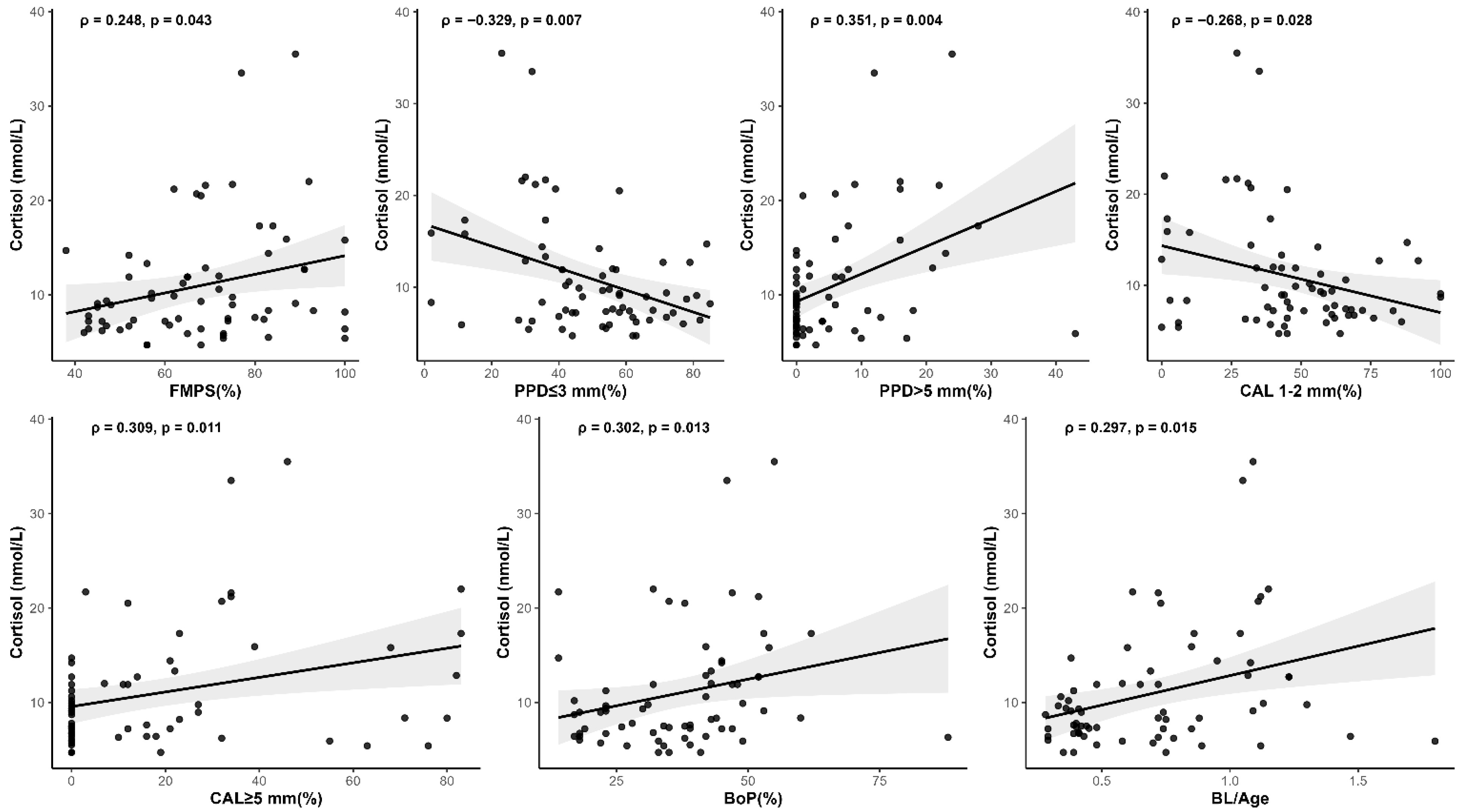
| Biomarker | Clinical Parameter | Spearman’s ρ | p-Value |
|---|---|---|---|
| Cortisol | FMPS (%) | 0.248 | 0.043 |
| PPD ≤ 3 mm (%) | −0.329 | 0.007 | |
| PPD > 5 mm (%) | 0.351 | 0.004 | |
| CAL 1–2 mm (%) | −0.268 | 0.028 | |
| CAL ≥ 5 mm (%) | 0.309 | 0.011 | |
| BoP (%) | 0.302 | 0.013 | |
| BL/Age | 0.297 | 0.015 | |
| IL-1β | FMPS (%) | 0.320 | 0.008 |
| FMBS (%) | 0.296 | 0.015 | |
| PPD ≤ 3 mm (%) | −0.338 | 0.005 | |
| PPD > 5 mm (%) | 0.278 | 0.023 | |
| CAL 1–2 mm (%) | −0.340 | 0.005 | |
| CAL ≥ 5 mm (%) | 0.250 | 0.041 | |
| BoP (%) | 0.469 | <0.001 | |
| BL/Age | 0.312 | 0.010 | |
| IL-6 | PPD ≤ 3 mm (%) | −0.258 | 0.035 |
| BoP (%) | 0.262 | 0.032 | |
| BL/Age | 0.265 | 0.030 |
Disclaimer/Publisher’s Note: The statements, opinions and data contained in all publications are solely those of the individual author(s) and contributor(s) and not of MDPI and/or the editor(s). MDPI and/or the editor(s) disclaim responsibility for any injury to people or property resulting from any ideas, methods, instructions or products referred to in the content. |
© 2025 by the authors. Licensee MDPI, Basel, Switzerland. This article is an open access article distributed under the terms and conditions of the Creative Commons Attribution (CC BY) license (https://creativecommons.org/licenses/by/4.0/).
Share and Cite
Dosseva-Panova, V.; Mlachkova, A.; Miteva, M.; Dimitrov, D. Salivary Cortisol and Periodontitis Severity: A Cross-Sectional Biomarker-Based Assessment of Stress and Inflammation. Med. Sci. 2025, 13, 120. https://doi.org/10.3390/medsci13030120
Dosseva-Panova V, Mlachkova A, Miteva M, Dimitrov D. Salivary Cortisol and Periodontitis Severity: A Cross-Sectional Biomarker-Based Assessment of Stress and Inflammation. Medical Sciences. 2025; 13(3):120. https://doi.org/10.3390/medsci13030120
Chicago/Turabian StyleDosseva-Panova, Velitchka, Antoaneta Mlachkova, Marina Miteva, and Dimitar Dimitrov. 2025. "Salivary Cortisol and Periodontitis Severity: A Cross-Sectional Biomarker-Based Assessment of Stress and Inflammation" Medical Sciences 13, no. 3: 120. https://doi.org/10.3390/medsci13030120
APA StyleDosseva-Panova, V., Mlachkova, A., Miteva, M., & Dimitrov, D. (2025). Salivary Cortisol and Periodontitis Severity: A Cross-Sectional Biomarker-Based Assessment of Stress and Inflammation. Medical Sciences, 13(3), 120. https://doi.org/10.3390/medsci13030120

