Three-Dimensional Architecture of Foreland Basins from Seismic Noise Recording: Tectonic Implications for the Western End of the Guadalquivir Basin
Abstract
1. Introduction
2. Geographical and Geological Setting
- Hard rocks:
- 2.
- Soft rocks:
3. Methodology
4. Results and Interpretations
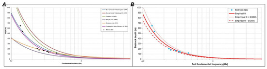
4.1. Empirical Equation for the Estimation of the Basement Depth from Vs and f0 for the Western Guadalquivir Basin
4.2. H/V Graphs, f0, and Estimated Basement Depth
- (a)
- High-frequency H/V peaks (>1 Hz): Characteristic of areas where the bedrock is closer to the surface.
- (b)
- Low-frequency H/V peaks (<1 Hz): Indicative of deep-seated bedrock.
- (c)
- Broad peaks: Potentially associated with irregular bedrock surfaces, such as fault zones, which are critical areas for further study.
- (d)
- Multiple peaks (at least two exceeding 2 H/V): Typically found in marshlands or areas with significant lithological contrast between unconsolidated Quaternary sediments and other types of Neogene sediments.
- (e)
- Flat response (no peaks exceeding 2 H/V): Classified as “rock”, characteristic of shallow or exposed bedrock.
4.3. Profiles
5. Discussion
5.1. Geology and Passive Seismic Results
5.2. Boreholes
5.3. Three-Dimensional Architecture and Tectonic Implications
5.4. Potential Future Applications of the HVSR Technique
6. Conclusions
Author Contributions
Funding
Acknowledgments
Conflicts of Interest
Appendix A
| Station | Coordinates | Fundamental Frequency (f0) (Hz) | Thickness (m) | Elevation (m) | Interpretation | |
|---|---|---|---|---|---|---|
| LAT (°) | LONG (°) | |||||
| HVAME2 | 37.2888 | −6.9326 | 0.74 | 125 | −84 | LOW F0 PEAK |
| HVAME3 | 37.2859 | −6.9255 | 0.77 | 118 | −79 | LOW F0 PEAK |
| HVAME4 | 37.2817 | −6.9108 | 0.71 | 133 | −106 | LOW F0 PEAK |
| HVAME10 | 37.2265 | −6.9096 | 0.43 | 280 | −276 | TWO PEAKS |
| HVAME11 | 37.2202 | −6.9057 | 0.38 | 336 | −321 | LOW F0 PEAK |
| HVAME12 | 37.2171 | −6.8987 | 0.37 | 349 | −311 | LOW F0 PEAK |
| HVAME13 | 37.1654 | −6.8418 | 0.28 | 527 | −506 | LOW F0 PEAK |
| HVAME14 | 37.2121 | −6.8932 | 0.36 | 364 | −345 | LOW F0 PEAK |
| HVAME15 | 37.2151 | −6.8977 | 0.38 | 336 | −298 | LOW F0 PEAK |
| HVAME5 | 37.2714 | −6.8980 | 0.7 | 136 | −127 | LOW F0 PEAK |
| HVAME7 | 37.2391 | −6.9268 | 0.47 | 245 | −241 | LOW F0 PEAK |
| HVAME8 | 37.2347 | −6.9225 | 0.46 | 253 | −246 | LOW F0 PEAK |
| HVAME9 | 37.2472 | −6.9346 | 0.5 | 224 | −222 | BROAD PEAK |
| HVAME16 | 37.1391 | −6.8149 | 0.25 | 624 | −585 | LOW F0 PEAK |
| HVAME17 | 37.1975 | −6.8746 | 0.33 | 414 | −382 | LOW F0 PEAK |
| HVAME18 | 37.2079 | −6.8889 | 0.39 | 323 | −319 | TWO PEAKS |
| HVAME19 | 37.3162 | −6.5948 | 0.44 | 270 | −159 | BROAD PEAK |
| HVAME20 | 37.3021 | −6.6058 | 0.37 | 349 | −246 | LOW F0 PEAK |
| HVAME21 | 37.2910 | −6.6163 | 0.33 | 414 | −316 | LOW F0 PEAK |
| HVAME22 | 37.2639 | −6.6438 | 0.3 | 476 | −376 | LOW F0 PEAK |
| HVAME23 | 37.2365 | −6.6689 | 0.29 | 501 | −413 | LOW F0 PEAK |
| HVAME24 | 37.2894 | −7.0182 | 0.83 | 106 | −74 | LOW F0 PEAK |
| HVAME25 | 37.2861 | −7.0071 | 0.75 | 123 | −114 | LOW F0 PEAK |
| HVAME26 | 37.2832 | −6.9984 | 0.71 | 133 | −120 | BROAD PEAK |
| HVAME27 | 37.2820 | −6.9937 | 0.62 | 163 | −156 | BROAD PEAK |
| HVAME28 | 37.1143 | −6.7674 | 0.24 | 663 | −619 | LOW F0 PEAK |
| HVAME29 | 37.1781 | −6.7219 | 0.27 | 557 | −512 | LOW F0 PEAK |
| HVAME30 | 37.2195 | −6.6871 | 0.29 | 501 | −429 | LOW F0 PEAK |
| HVAME31 | 37.2664 | −7.0064 | 0.76 | 120 | −116 | BROAD PEAK |
| HVAME32 | 37.2737 | −7.0145 | 0.89 | 95 | −91 | BROAD PEAK |
| HVAME33 | 37.2755 | −7.0293 | 1.35 | 51 | −46 | BROAD PEAK |
| HVAME34 | 37.2640 | −7.0180 | 0.68 | 142 | −132 | BROAD PEAK |
| HVAME35 | 37.2680 | −6.9864 | 0.56 | 189 | −187 | BROAD PEAK |
| HVAME36 | 37.2679 | −6.9968 | 0.69 | 139 | −136 | BROAD PEAK |
| HVAME37 | 37.2702 | −7.0029 | 0.8 | 112 | −109 | BROAD PEAK |
| HVAME38 | 37.2804 | −6.9873 | 0.58 | 180 | −174 | LOW F0 PEAK |
| HVAME39 | 37.1533 | −6.8994 | 0.31 | 454 | −451 | LOW F0 PEAK |
| HVAME40 | 37.1746 | −6.9311 | 0.34 | 396 | −393 | TWO PEAKS |
| HVAME41 | 37.2049 | −6.9522 | 0.38 | 336 | −331 | LOW F0 PEAK |
| HVAME42 | 37.1915 | −6.9443 | 0.36 | 364 | −361 | LOW F0 PEAK |
| HVAME43 | 37.2134 | −6.9660 | 0.39 | 323 | −320 | TWO PEAKS |
| HVAME44 | 37.2530 | −6.9677 | 0.52 | 211 | −207 | TWO PEAKS |
| HVAME45 | 37.2257 | −7.0604 | 0.56 | 189 | −159 | BROAD PEAK |
| HVAME46 | 37.2218 | −7.0524 | 0.5 | 224 | −211 | BROAD PEAK |
| HVAME47 | 37.1989 | −6.9804 | 0.37 | 349 | −345 | LOW F0 PEAK |
| HVAME48 | 37.1973 | −6.9692 | 0.38 | 336 | −331 | LOW F0 PEAK |
| HVAME49 | 37.1724 | −6.9509 | 0.33 | 414 | −410 | LOW F0 PEAK |
| HVAME50 | 37.1849 | −6.9655 | 0.36 | 364 | −359 | LOW F0 PEAK |
| HVAME51 | 37.2985 | −6.9427 | 1.17 | 64 | −62 | HIGH F0 PEAK |
| HVAME52 | 37.2329 | −7.0664 | 0.58 | 180 | −155 | LOW F0 PEAK |
| HVAME53 | 37.2434 | −7.0832 | 0.55 | 194 | −156 | LOW F0 PEAK |
| HVAME54 | 37.1952 | −6.9947 | 0.39 | 323 | −317 | LOW F0 PEAK |
| HVAME55 | 37.1897 | −6.9749 | 0.36 | 364 | −359 | LOW F0 PEAK |
| HVAME56 | 37.2584 | −7.1073 | 0.93 | 89 | −32 | LOW F0 PEAK |
| HVAME57 | 37.2640 | −7.1146 | 0.83 | 106 | −46 | LOW F0 PEAK |
| HVAME58 | 37.2046 | −7.0267 | 0.42 | 289 | −281 | LOW F0 PEAK |
| HVAME59 | 37.2719 | −7.1266 | 1.38 | 50 | −32 | HIGH F0 PEAK |
| HVAME60 | 37.2784 | −7.1339 | 1.51 | 44 | −20 | BROAD PEAK |
| HVAME61 | 37.2975 | −7.1619 | 1.69 | 37 | −22 | BROAD PEAK |
| HVAME62 | 37.3038 | −7.1705 | 8.55 | 3 | 20 | HIGH F0 PEAK |
| HVAME63 | 37.3060 | −7.1755 | 4.05 | 10 | 23 | HIGH F0 PEAK |
| HVAME64 | 37.3124 | −7.1861 | - | - | 33 | ROCK |
| HVAME65 | 37.3194 | −7.1936 | 5.39 | 7 | 56 | HIGH F0 PEAK |
| HVAME66 | 37.3178 | −7.0867 | 1.59 | 40 | 16 | HIGH F0 PEAK |
| HVAME67 | 37.2663 | −6.8902 | 0.62 | 163 | −152 | LOW F0 PEAK |
| HVAME68 | 37.2489 | −7.0930 | 0.65 | 152 | −120 | LOW F0 PEAK |
| HVAME69 | 37.2553 | −7.0979 | 0.81 | 109 | −69 | BROAD PEAK |
| HVAME70 | 37.2824 | −7.1416 | 1.5 | 44 | −18 | BROAD PEAK |
| HVAME71 | 37.2924 | −7.1550 | 1.37 | 50 | −25 | TWO PEAKS |
| HU1 | 37.2746 | −6.9403 | 0.62 | 163 | −98 | LOW F0 PEAK |
| HU2 | 37.2725 | −6.9404 | 0.6 | 171 | −123 | LOW F0 PEAK |
| HU3 | 37.2779 | −6.9464 | 0.77 | 118 | −97 | BROAD PEAK |
| HU4 | 37.2739 | −6.9535 | 0.76 | 120 | −117 | LOW F0 PEAK |
| HU5 | 37.2693 | −6.9621 | 0.66 | 148 | −146 | TWO PEAKS |
| HU6 | 37.2502 | −6.9436 | 0.5 | 224 | −223 | BROAD PEAK |
| HU7 | 37.2709 | −6.9254 | 0.67 | 145 | −125 | LOW F0 PEAK |
| HU8 | 37.2793 | −6.9386 | 0.65 | 152 | −102 | INDETERMINED |
| HU9 | 37.2764 | −6.9361 | 0.66 | 148 | −108 | LOW F0 PEAK |
| HU10 | 37.2717 | −6.9332 | 0.62 | 163 | −132 | LOW F0 PEAK |
| HU11 | 37.2735 | −6.9306 | 0.66 | 148 | −119 | LOW F0 PEAK |
| HU12 | 37.2787 | −6.9506 | 0.86 | 100 | −95 | BROAD PEAK |
| HU13 | 37.2758 | −6.9498 | 0.81 | 109 | −103 | BROAD PEAK |
| HU14 | 37.2684 | −6.9552 | 0.67 | 145 | −141 | TWO PEAKS |
| HU15 | 37.2602 | −6.9601 | 0.55 | 194 | −190 | BROAD PEAK |
| HU16 | 37.2549 | −6.9579 | 0.55 | 194 | −190 | TWO PEAKS |
| HU17 | 37.2607 | −6.9272 | 0.54 | 200 | −193 | LOW F0 PEAK |
| HU18 | 37.2577 | −6.9253 | 0.52 | 211 | −205 | LOW F0 PEAK |
| HU19 | 37.2605 | −6.9227 | 0.55 | 194 | −188 | LOW F0 PEAK |
| HU20 | 37.2561 | −6.9302 | 0.5 | 224 | −216 | LOW F0 PEAK |
| HU21 | 37.2535 | −6.9351 | 0.47 | 245 | −235 | LOW F0 PEAK |
| HU22 | 37.2522 | −6.9380 | 0.46 | 253 | −249 | LOW F0 PEAK |
| HU23 | 37.2583 | −6.9358 | 0.48 | 238 | −222 | LOW F0 PEAK |
| HU24 | 37.2599 | −6.9385 | 0.48 | 238 | −219 | LOW F0 PEAK |
| HU25 | 37.2664 | −6.9390 | 0.53 | 205 | −173 | LOW F0 PEAK |
| HU26 | 37.2639 | −6.9393 | 0.5 | 224 | −194 | LOW F0 PEAK |
| HU27 | 37.2693 | −6.9302 | 0.61 | 167 | −141 | LOW F0 PEAK |
| HU28 | 37.2674 | −6.9462 | 0.53 | 205 | −158 | LOW F0 PEAK |
| HU29 | 37.2742 | −6.9454 | 0.61 | 167 | −100 | LOW F0 PEAK |
| HU30 | 37.2649 | −6.9512 | 0.53 | 205 | −198 | LOW F0 PEAK |
| HU31 | 37.2624 | −6.9457 | 0.5 | 224 | −184 | LOW F0 PEAK |
| HU32 | 37.2605 | −6.9452 | 0.49 | 230 | −196 | LOW F0 PEAK |
| HU33 | 37.2513 | −6.9567 | 0.48 | 238 | −235 | BROAD PEAK |
| HU34 | 37.2642 | −6.9582 | 0.54 | 200 | −197 | BROAD PEAK |
| HU35 | 37.2811 | −6.9412 | 0.71 | 133 | −106 | BROAD PEAK |
| HU36 | 37.2784 | −6.9280 | 0.69 | 139 | −106 | LOW F0 PEAK |
| HU37 | 37.2619 | −6.9474 | 0.5 | 224 | −191 | LOW F0 PEAK |
| HU38 | 37.2578 | −6.9469 | 0.48 | 238 | −199 | BROAD PEAK |
| HU39 | 37.2578 | −6.9489 | 0.48 | 238 | −212 | LOW F0 PEAK |
| HU40 | 37.1774 | −6.7842 | 0.27 | 557 | −500 | LOW F0 PEAK |
| HU41 | 37.1774 | −6.7842 | 0.27 | 557 | −500 | LOW F0 PEAK |
| HU42 | 37.1446 | −6.8867 | 0.29 | 501 | −494 | LOW F0 PEAK |
| G9-10 HU3 | 37.2440 | −6.9662 | 0.5 | 224 | −222 | TWO PEAKS |
| G25-26 HU3 | 37.2439 | −6.9667 | 0.48 | 238 | −236 | TWO PEAKS |
| G40 HU3 | 37.2439 | −6.9671 | 0.5 | 224 | −222 | TWO PEAKS |
| R0S1 | 37.2503 | −6.9504 | 0.44 | 270 | −266 | TWO PEAKS |
| R1S2 | 37.2504 | −6.9506 | 0.46 | 253 | −249 | TWO PEAKS |
| R1S3 | 37.2505 | −6.9502 | 0.47 | 245 | −241 | TWO PEAKS |
| R1S4 | 37.2501 | −6.9503 | 0.46 | 253 | −249 | TWO PEAKS |
| R2S5 | 37.2507 | −6.9505 | 0.38 | 336 | −331 | LOW F0 PEAK |
| R2S6 | 37.2502 | −6.9498 | 0.47 | 245 | −241 | TWO PEAKS |
| R2S7 | 37.2500 | −6.9507 | 0.47 | 245 | −241 | LOW F0 PEAK |
| R3S2 | 37.2507 | −6.9514 | 0.48 | 238 | −234 | LOW F0 PEAK |
| R3S3 | 37.2509 | −6.9495 | 0.46 | 253 | −249 | LOW F0 PEAK |
| R3S4 | 37.2494 | −6.9501 | 0.47 | 245 | −240 | LOW F0 PEAK |
| R4S5 | 37.2523 | −6.9514 | 0.49 | 230 | −227 | LOW F0 PEAK |
| R4S6 | 37.2496 | −6.9479 | 0.47 | 245 | −241 | LOW F0 PEAK |
| R4S7 | 37.2488 | −6.9528 | 0.48 | 238 | −234 | LOW F0 PEAK |
| R5S2 | 37.2505 | −6.9547 | 0.44 | 270 | −266 | BROAD PEAK |
| R5S3 | 37.2528 | −6.9474 | 0.43 | 280 | −275 | BROAD PEAK |
| R5S4 | 37.2467 | −6.9494 | 0.48 | 238 | −234 | BROAD PEAK |
| R0S1 | 37.2696 | −6.9232 | 0.64 | 155 | −140 | LOW F0 PEAK |
| R1S2 | 37.2696 | −6.9230 | 0.65 | 152 | −137 | LOW F0 PEAK |
| R1S3 | 37.2698 | −6.9233 | 0.66 | 148 | −133 | LOW F0 PEAK |
| R1S4 | 37.2695 | −6.9235 | 0.66 | 148 | −133 | LOW F0 PEAK |
| R2S5 | 37.2699 | −6.9228 | 0.65 | 152 | −137 | LOW F0 PEAK |
| R2S6 | 37.2697 | −6.9238 | 0.64 | 155 | −139 | LOW F0 PEAK |
| R2S7 | 37.2692 | −6.9231 | 0.64 | 155 | −140 | LOW F0 PEAK |
| R3S2 | 37.2694 | −6.9221 | 0.64 | 155 | −141 | LOW F0 PEAK |
| R3S3 | 37.2705 | −6.9234 | 0.66 | 148 | −132 | LOW F0 PEAK |
| R3S4 | 37.2691 | −6.9241 | 0.64 | 155 | −139 | LOW F0 PEAK |
| R4S5 | 37.2711 | −6.9214 | 0.67 | 145 | −131 | LOW F0 PEAK |
| R4S6 | 37.2703 | −6.9259 | 0.64 | 155 | −134 | LOW F0 PEAK |
| R4S7 | 37.2673 | −6.9226 | 0.63 | 159 | −146 | LOW F0 PEAK |
| R0S1 | 37.2659 | −6.9295 | 0.58 | 180 | −163 | LOW F0 PEAK |
| R1S2 | 37.2660 | −6.9292 | 0.57 | 184 | −167 | LOW F0 PEAK |
| R1S3 | 37.2661 | −6.9297 | 0.58 | 180 | −162 | LOW F0 PEAK |
| R1S4 | 37.2657 | −6.9295 | 0.57 | 184 | −168 | LOW F0 PEAK |
| R2S5 | 37.2664 | −6.9294 | 0.58 | 180 | −161 | LOW F0 PEAK |
| R2S6 | 37.2656 | −6.9292 | 0.58 | 180 | −164 | LOW F0 PEAK |
| R2S7 | 37.2658 | −6.9300 | 0.58 | 180 | −164 | LOW F0 PEAK |
| R3S2 | 37.2662 | −6.9284 | 0.58 | 180 | −163 | LOW F0 PEAK |
| R3S3 | 37.2665 | −6.9303 | 0.58 | 180 | −161 | LOW F0 PEAK |
| R3S4 | 37.2650 | −6.9299 | 0.56 | 189 | −175 | LOW F0 PEAK |
| R0S1 | 37.2775 | −6.9251 | 0.68 | 142 | −122 | LOW F0 PEAK |
| R1S2 | 37.2776 | −6.9248 | 0.68 | 142 | −122 | LOW F0 PEAK |
| R1S3 | 37.2776 | −6.9253 | 0.68 | 142 | −121 | LOW F0 PEAK |
| R1S4 | 37.2772 | −6.9251 | 0.69 | 139 | −119 | LOW F0 PEAK |
| R2S5 | 37.2779 | −6.9250 | 0.68 | 142 | −121 | LOW F0 PEAK |
| R2S6 | 37.2772 | −6.9247 | 0.69 | 139 | −120 | LOW F0 PEAK |
| R2S7 | 37.2773 | −6.9257 | 0.68 | 142 | −118 | LOW F0 PEAK |
| HU43 | 37.2898 | −6.9889 | 0.83 | 106 | −93 | BROAD PEAK |
| HU44 | 37.2928 | −6.9943 | 0.97 | 84 | −68 | LOW F0 PEAK |
| HU46 | 37.2935 | −7.0013 | 0.95 | 86 | −68 | BROAD PEAK |
| HU47 | 37.2951 | −7.0085 | 1.06 | 74 | −51 | BROAD PEAK |
| HU48 | 37.2956 | −7.0154 | 1 | 80 | −67 | BROAD PEAK |
| HU49 | 37.2680 | −6.9497 | 0.55 | 194 | −180 | BROAD PEAK |
| HU50 | 37.2597 | −6.9552 | 0.53 | 205 | −202 | BROAD PEAK |
| HU51 | 37.2629 | −6.9345 | 0.52 | 211 | −187 | LOW F0 PEAK |
| HU52 | 37.2562 | −6.9539 | 0.5 | 224 | −218 | BROAD PEAK |
| HU53 | 37.2547 | −6.9406 | 0.46 | 253 | −239 | LOW F0 PEAK |
| HU54 | 37.2566 | −6.9470 | 0.48 | 238 | −228 | LOW F0 PEAK |
| Odiel1 | 37.2837 | −6.9497 | 0.88 | 97 | −95 | BROAD PEAK/TWO PEAKS |
| Odiel2 | 37.2836 | −6.9501 | 0.91 | 92 | −90 | BROAD PEAK/TWO PEAKS |
| Odiel3 | 37.2835 | −6.9503 | 0.89 | 95 | −93 | BROAD PEAK/TWO PEAKS |
| R0S1 | 37.2738 | −6.9306 | 0.65 | 152 | −124 | LOW F0 PEAK |
| R1S2 | 37.2740 | −6.9304 | 0.65 | 152 | −124 | LOW F0 PEAK |
| R1S3 | 37.2735 | −6.9306 | 0.65 | 152 | −123 | LOW F0 PEAK |
| R1S4 | 37.2738 | −6.9308 | 0.65 | 152 | −123 | LOW F0 PEAK |
| R2S5 | 37.2742 | −6.9309 | 0.65 | 152 | −123 | LOW F0 PEAK |
| R2S6 | 37.2737 | −6.9301 | 0.65 | 152 | −124 | LOW F0 PEAK |
| R2S7 | 37.2734 | −6.9311 | 0.64 | 155 | −124 | LOW F0 PEAK |
| R3S2 | 37.2743 | −6.9298 | 0.66 | 148 | −121 | LOW F0 PEAK |
| R3S3 | 37.2729 | −6.9305 | 0.65 | 152 | −123 | LOW F0 PEAK |
| R3S4 | 37.2737 | −6.9317 | 0.66 | 148 | −117 | LOW F0 PEAK |
| ARNO-G12 (L1) | 37.0991 | −6.7319 | 0.23 | 706 | −660 | LOW F0 PEAK |
| ARNO-G12 (L2) | 37.0989 | −6.7326 | 0.23 | 706 | −661 | LOW F0 PEAK |
| ARNO-G2 (L1) | 37.0988 | −6.7321 | 0.24 | 663 | −661 | LOW F0 PEAK |
| WALJ_09 | 37.2468 | −7.0293 | 0.53 | 205 | −188 | BROAD PEAK |
| RIN_15 | 37.2360 | −7.0309 | 0.51 | 220 | −199 | BROAD PEAK |
| RIN_14 | 37.2384 | −7.0329 | 0.51 | 220 | −211 | BROAD PEAK |
| RIN_13 | 37.2430 | −7.0400 | 0.57 | 183 | −146 | BROAD PEAK |
| RIN_07 | 37.2588 | −7.0584 | 0.75 | 123 | −88 | LOW F0 PEAK |
| RIN_08 | 37.2572 | −7.0560 | 0.73 | 129 | −96 | LOW F0 PEAK |
| WALJ_01 | 37.2652 | −7.0370 | 0.66 | 148 | −112 | BROAD PEAK |
| WALJ_02 | 37.2628 | −7.0362 | 0.53 | 203 | −176 | BROAD PEAK |
| WALJ_03 | 37.2611 | −7.0354 | 0.52 | 211 | −188 | BROAD PEAK |
| WALJ_04 | 37.2594 | −7.0346 | 0.56 | 187 | −165 | BROAD PEAK |
| WALJ_06 | 37.2565 | −7.0336 | 0.51 | 217 | −197 | BROAD PEAK |
| WALJ_05 | 37.2574 | −7.0340 | 0.51 | 217 | −192 | BROAD PEAK |
| WALJ_07 | 37.2552 | −7.0333 | 0.48 | 241 | −211 | BROAD PEAK/TWO PEAKS |
| WALJ_08 | 37.2536 | −7.0326 | 0.49 | 228 | −212 | BROAD PEAK/TWO PEAKS |
| EALJ_01.5 | 37.2743 | −7.0167 | 1.10 | 70 | −66 | BROAD PEAK |
| EALJ_02.5 | 37.2695 | −7.0156 | 1.01 | 79 | −75 | BROAD PEAK |
| EALJ_03 | 37.2681 | −7.0120 | 0.78 | 116 | −111 | BROAD PEAK/TWO PEAKS |
| EALJ_03.5 | 37.2666 | −7.0110 | 0.77 | 117 | −112 | BROAD PEAK/TWO PEAKS |
| EALJ_04 | 37.2656 | −7.0078 | 0.75 | 122 | −112 | BROAD PEAK |
| EALJ_05 | 37.2644 | −7.0067 | 0.74 | 126 | −115 | BROAD PEAK/TWO PEAKS |
| RIN_12 | 37.2455 | −7.0419 | 0.52 | 212 | −189 | BROAD PEAK |
| RIN_11 | 37.2481 | −7.0455 | 0.51 | 215 | −188 | BROAD PEAK |
| RIN_10 | 37.2507 | −7.0483 | 0.57 | 185 | −167 | BROAD PEAK |
| RIN_01 | 37.2996 | −7.1075 | 1.40 | 49 | −4 | BROAD PEAK |
| RIN_02 | 37.2924 | −7.0990 | 1.14 | 66 | −37 | TWO PEAKS |
| RIN_03 | 37.2854 | −7.0918 | 1.01 | 79 | −40 | LOW F0 PEAK |
| RIN_04 | 37.2761 | −7.0797 | 0.67 | 145 | −78 | LOW F0 PEAK |
| RIN_05 | 37.2675 | −7.0688 | 0.72 | 129 | −84 | BROAD PEAK |
| RIN_09 | 37.2531 | −7.0514 | 0.60 | 171 | −150 | BROAD PEAK |
| CEP_13A | 37.2480 | −7.0916 | 0.63 | 157 | −128 | LOW F0 PEAK |
| CEP_13B | 37.2451 | −7.0877 | 0.56 | 191 | −150 | LOW F0 PEAK |
| CEP_14A | 37.2391 | −7.0782 | 0.62 | 163 | −134 | BROAD PEAK/TWO PEAKS |
| CEP_14B | 37.2361 | −7.0737 | 0.57 | 182 | −160 | BROAD PEAK/TWO PEAKS |
| GO_08.5 | 37.3120 | −6.9817 | 1.48 | 45 | −41 | HIGH F0 PEAK |
| GO_07.5 | 37.3157 | −6.9894 | 1.50 | 44 | −39 | HIGH F0 PEAK |
| GO_06.5 | 37.3196 | −6.9956 | 1.78 | 34 | −27 | HIGH F0 PEAK |
| GO_05.5 | 37.3243 | −7.0043 | 2.20 | 25 | −14 | HIGH F0 PEAK |
| GO_04.5 | 37.3275 | −7.0111 | 2.10 | 27 | −14 | HIGH F0 PEAK |
| GO_05 | 37.3384 | −7.0061 | 1.99 | 29 | 11 | HIGH F0 PEAK |
| GO_04 | 37.3446 | −7.0117 | 2.62 | 19 | 16 | BROAD PEAK |
| GO_03 | 37.3478 | −7.0155 | 2.27 | 24 | 21 | HIGH F0 PEAK |
| GO_02 | 37.3559 | −7.0250 | 2.74 | 18 | 36 | HIGH F0 PEAK |
| GO_01 | 37.3630 | −7.0330 | 4.85 | 8 | 40 | HIGH F0 PEAK |
| E_01 | 37.2685 | −7.0305 | 0.71 | 134 | −105 | BROAD PEAK |
| E_02 | 37.2748 | −7.0256 | 1.06 | 74 | −68 | BROAD PEAK |
| PAT_01 | 37.4722 | −6.4158 | 17.99 | 1 | 111 | HIGH F0 PEAK/ALMOST ROCK |
| PAT_02 | 37.4635 | −6.4087 | 3.80 | 11 | 83 | HIGH F0 PEAK |
| PAT_03 | 37.4531 | −6.3999 | 1.82 | 33 | 47 | TWO PEAKS |
| PAT_04 | 37.4456 | −6.3941 | 1.31 | 54 | 25 | HIGH F0 PEAK |
| PAT_05 | 37.4345 | −6.3845 | 0.78 | 116 | −40 | BROAD PEAK |
| PAT_06 | 37.4263 | −6.3788 | 0.68 | 142 | −66 | TWO PEAKS |
| PAT_07 | 37.4144 | −6.3688 | 0.53 | 205 | −117 | TWO PEAKS |
| AZN_01 | 37.5127 | −6.2633 | 7.73 | 4 | 106 | HIGH F0 PEAK |
| AZN_02 | 37.5010 | −6.2550 | 2.71 | 18 | 61 | BROAD PEAK |
| AZN_03 | 37.4933 | −6.2512 | 1.44 | 47 | 33 | HIGH F0 PEAK |
| AZN_04 | 37.4810 | −6.2425 | 0.92 | 91 | −17 | BROAD PEAK |
| AZN_05 | 37.4736 | −6.2385 | 0.72 | 130 | −63 | LOW F0 PEAK |
| AZN_06 | 37.4654 | −6.2320 | 0.58 | 180 | −122 | LOW F0 PEAK |
| AZN_07 | 37.4513 | −6.2248 | 0.53 | 205 | −149 | LOW F0 PEAK |
| AZN_08 | 37.4386 | −6.2175 | 0.47 | 245 | −215 | BROAD PEAK |
| AZN_09 | 37.4309 | −6.2100 | 0.38 | 336 | −304 | BROAD PEAK |
| AZN_11 | 37.4047 | −6.1933 | 0.30 | 476 | −319 | BROAD PEAK |
| AZN_12 | 37.3993 | −6.1886 | 0.26 | 589 | −425 | BROAD PEAK |
| AZN_13A | 37.3899 | −6.1837 | 0.26 | 589 | −441 | LOW F0 PEAK |
| E_03 | 37.2685 | −7.0305 | 0.71 | 134 | −105 | BROAD PEAK |
| AZN_17 | 37.4861 | −6.2789 | 1.77 | 34 | 36 | TWO PEAKS |
| AZN_16 | 37.4936 | −6.2754 | 2.77 | 18 | 52 | TWO PEAKS |
| AZN_15 | 37.4982 | −6.2740 | 5.68 | 6 | 70 | BROAD PEAK |
| AZN_13B | 37.5059 | −6.2717 | 7.62 | 4 | 89 | TWO PEAKS |
| AZN_14 | 37.5016 | −6.2724 | 5.47 | 6 | 78 | TWO PEAKS |
| SLM_01 | 37.4059 | −6.2417 | 0.36 | 367 | −326 | BROAD PEAK |
| SLM_02 | 37.4014 | −6.2350 | 0.36 | 370 | −342 | BROAD PEAK |
| SLM_03 | 37.3997 | −6.2324 | 0.35 | 386 | −363 | LOW F0 PEAK |
| SLM_04 | 37.3968 | −6.2287 | 0.36 | 365 | −343 | BROAD PEAK |
| SLM_05 | 37.3957 | −6.2249 | 0.32 | 427 | −404 | BROAD PEAK |
| SLM_06 | 37.3934 | −6.2211 | 0.30 | 481 | −447 | BROAD PEAK |
| HVA_01 | 37.3520 | −6.2674 | 0.28 | 536 | −479 | BROAD PEAK |
| HVA_02 | 37.3487 | −6.2592 | 0.27 | 551 | −515 | LOW F0 PEAK |
| HVA_03 | 37.3456 | −6.2512 | 0.27 | 558 | −531 | BROAD PEAK |
| HVA_04 | 37.3418 | −6.2418 | 0.27 | 567 | −550 | BROAD PEAK |
| HVA_06 | 37.3363 | −6.2255 | 0.24 | 670 | −564 | BROAD PEAK |
| HVA_07 | 37.3337 | −6.2223 | 0.23 | 694 | −596 | BROAD PEAK |
| HVA_08 | 37.3248 | −6.2002 | 0.23 | 707 | −620 | LOW F0 PEAK |
| PiAz_01 | 37.3036 | −6.2786 | 0.24 | 647 | −601 | LOW F0 PEAK |
| PiAz_02 | 37.3000 | −6.2698 | 0.24 | 658 | −638 | BROAD PEAK |
| PiAz_03 | 37.3011 | −6.2625 | 0.24 | 667 | −653 | LOW F0 PEAK |
| PiAz_04 | 37.2954 | −6.2576 | 0.24 | 653 | −621 | LOW F0 PEAK |
| PiAz_05 | 37.2916 | −6.2522 | 0.23 | 694 | −658 | BROAD PEAK |
| PiAz_06 | 37.2902 | −6.2497 | 0.23 | 701 | −672 | TWO PEAKS |
| VL_01 | 37.3173 | −7.3219 | 4.68 | 8 | 123 | HIGH F0 PEAK |
| VL_02 | 37.3132 | −7.3176 | 4.17 | 10 | 103 | HIGH F0 PEAK |
| VL_03 | 37.2993 | −7.2981 | 4.34 | 9 | 55 | HIGH F0 PEAK |
| VL_04 | 37.2893 | −7.2837 | 4.29 | 9 | 59 | HIGH F0 PEAK |
| VL_05 | 37.2816 | −7.2744 | 4.52 | 9 | 58 | HIGH F0 PEAK |
| VL_06 | 37.2642 | −7.2499 | 2.97 | 16 | 29 | HIGH F0 PEAK |
| VL_08 | 37.2526 | −7.2344 | 1.43 | 47 | −3 | HIGH F0 PEAK |
| VL_10 | 37.2455 | −7.2242 | 1.39 | 49 | −8 | BROAD PEAK |
| VL_12 | 37.2369 | −7.2123 | 0.99 | 82 | 25 | LOW F0 PEAK |
| VL_14 | 37.2262 | −7.1975 | 0.77 | 119 | −89 | BROAD PEAK |
| VL_16 | 37.2190 | −7.1877 | 0.67 | 146 | −144 | TWO PEAKS |
| AYA_01 | 37.2406 | −7.3789 | 7.73 | 4 | 16 | HIGH F0 PEAK/ALMOST ROCK |
| AYA_02 | 37.2409 | −7.3782 | 13.22 | 2 | 11 | BROAD PEAK/ALMOST ROCK |
| AYA_03 | 37.2426 | −7.3782 | 10.36 | 3 | 41 | HIGH F0 PEAK/ALMOST ROCK |
| AYA_04 | 37.2354 | −7.4055 | 6.34 | 5 | −5 | HIGH F0 PEAK |
| DAN_01 | 37.1995 | −6.9219 | 0.39 | 319 | −318 | TWO PEAKS |
| DAN_02 | 37.2064 | −6.9281 | 0.40 | 311 | −307 | TWO PEAKS |
| DAN_03 | 37.2099 | −6.9286 | 0.43 | 283 | −279 | TWO PEAKS |
| DAN_04 | 37.2092 | −6.9266 | 0.43 | 277 | −272 | TWO PEAKS |
| DAN_05 | 37.2296 | −6.9409 | 0.44 | 274 | −268 | TWO PEAKS |
| DAN_06 | 37.2180 | −6.9386 | 0.45 | 266 | −264 | TWO PEAKS |
| DAN_07 | 37.2446 | −6.9404 | 0.46 | 255 | −252 | TWO PEAKS |
| DAN_08 | 37.2124 | −6.9409 | 0.44 | 275 | −275 | TWO PEAKS |
| DAN_09 | 37.2710 | −6.8624 | 0.65 | 153 | −150 | TWO PEAKS |
| DAN_10 | 37.2764 | −6.8557 | 0.70 | 137 | −135 | TWO PEAKS |
| DAN_11 | 37.2818 | −6.8500 | 0.81 | 110 | −107 | LOW F0 PEAK |
| DAN_12 | 37.2660 | −6.8645 | 0.62 | 165 | −160 | TWO PEAKS |
| DAN_13 | 37.2633 | −6.8694 | 0.59 | 174 | −171 | TWO PEAKS |
| DAN_14 | 37.2630 | −6.8761 | 0.59 | 175 | −173 | LOW F0 PEAK |
| DAN_15 | 37.2589 | −6.8737 | 0.51 | 218 | −215 | TWO PEAKS |
| DAN_16 | 37.2541 | −6.8772 | 0.49 | 230 | −227 | TWO PEAKS |
| DAN_17 | 37.2497 | −6.8822 | 0.44 | 275 | −273 | TWO PEAKS |
| DAN_18 | 37.2477 | −6.8775 | 0.44 | 271 | −250 | LOW F0 PEAK |
| DAN_19 | 37.2159 | −6.9230 | 0.43 | 284 | −282 | BROAD PEAK |
| DAN_20 | 37.2210 | −6.9177 | 0.40 | 308 | −306 | TWO PEAKS |
| DAN_21 | 37.2275 | −6.9101 | 0.43 | 280 | −277 | TWO PEAKS |
| DAN_22 | 37.2323 | −6.9015 | 0.43 | 280 | −277 | TWO PEAKS |
| DAN_23 | 37.2526 | −6.9480 | 0.44 | 273 | −268 | BROAD PEAK |
| QUI_01 | 37.1777 | −6.9573 | 0.34 | 394 | −387 | LOW F0 PEAK |
| QUI_02 | 37.2158 | −7.0803 | 0.62 | 163 | −145 | BROAD PEAK |
| QUI_03 | 37.2141 | −7.0648 | 0.53 | 205 | −195 | BROAD PEAK |
| QUI_04 | 37.1995 | −7.0056 | 0.39 | 319 | −313 | LOW F0 PEAK |
| ZPC_01 | 37.2799 | −6.9425 | 0.75 | 124 | −86 | LOW F0 PEAK |
| IC_01 | 37.1981 | −7.3095 | 0.81 | 109 | −105 | TWO PEAKS |
| IC_02 | 37.1976 | −7.3117 | 0.79 | 115 | −112 | TWO PEAKS |
| IC_03 | 37.1991 | −7.3121 | 0.85 | 102 | −99 | TWO PEAKS |
| IC_05 | 37.2004 | −7.3150 | 0.85 | 103 | −99 | LOW F0 PEAK |
| IC_07 | 37.1963 | −7.3187 | 0.71 | 134 | −131 | BROAD PEAK? |
| IC_08 | 37.1974 | −7.3231 | 0.72 | 131 | −127 | TWO PEAKS |
| IC_10 | 37.2008 | −7.3177 | 0.81 | 109 | −104 | LOW F0 PEAK |
| IC_11 | 37.2007 | −7.3248 | 0.72 | 129 | −125 | LOW F0 PEAK |
| IC_13 | 37.2005 | −7.3275 | 0.73 | 129 | −127 | LOW F0 PEAK |
| IC_14 | 37.2042 | −7.3223 | 0.89 | 96 | −93 | LOW F0 PEAK |
| IC_20 | 37.1934 | −7.3315 | 0.80 | 112 | −109 | LOW F0 PEAK |
| IC_3G | 37.1970 | −7.3203 | 0.71 | 134 | −131 | LOW F0 PEAK |
| IC_21 | 37.2238 | −7.3138 | 1.06 | 74 | −72 | HIGH F0 PEAK |
| IC_22 | 37.2286 | −7.3118 | 1.36 | 51 | −21 | HIGH F0 PEAK |
| IC_23 | 37.2370 | −7.3092 | 1.14 | 66 | −29 | HIGH F0 PEAK |
References
- Nogoshi, M.; Igarashi, T. On the propagation characteristics of microtremors. J. Seismol. Soc. JPN 1970, 23, 264–280. [Google Scholar]
- Nogoshi, M.; Igarashi, T. On the amplitude characteristics of microtremor (Part 2). J. Seismol. Soc. JPN 1971, 24, 26–40. [Google Scholar]
- Nakamura, Y. A Method for Dynamic Characteristics Estimation of Subsurface Using Microtremor on the Ground Surface; Quarterly Report of Railway Technical Research Institute (RTRI); Railway Technical Research Institute/Tetsudo Gijutsu Kenkyujo: Tokyo, Japan, 1989; Volume 30, pp. 25–33. [Google Scholar]
- Lermo, J.; Chavez-Garcia, F.J. Site effect evaluation using spectral ratios with only one station. Bull. Seismol. Soc. Am. 1993, 83, 1574–1594. [Google Scholar] [CrossRef]
- Ibs-von Seht, M.; Wohlenberg, J. Microtremor measurements used to map thickness of soft sediments. Bull. Seismol. Soc. Am. 1999, 89, 250–259. [Google Scholar] [CrossRef]
- Yamazaki, F.; Ansary, M.A. Horizontal-to-vertical spectrum ratio of earthquake ground motion for site characterization. Earthq. Eng. Struct. Dyn. 2008, 26, 671–689. [Google Scholar] [CrossRef]
- Bard, P.Y.; SESAME-Team. Guidelines for the Implementation of the H/V Spectral Ratio Technique on Ambient Vibrations-Measurements, Processing and Interpretations, SESAME European Research Project EVG1-CT-2000-00026, Deliverable D23.12. 2004. Available online: https://www.earth-prints.org/entities/publication/dcfd9f70-c00e-490f-82f6-239082ebc5cf (accessed on 1 June 2025).
- Atakan, K.; Bard, P.-Y.; Kind, F.; Moreno, B.; Roquette, P.; Tento, A.; SESAME-Team. JSESAME: A standardized software solution for the H/V spectral ration technique. In Proceedings of the 13th World Conference on Earthquake Engineering, Vancouver, BC, Canada, 1–6 August 2004. Paper #2270. [Google Scholar]
- Atakan, K.; Duval, A.-M.; Theodulidis, N.; Guillier, B.; Chatelain, J.-L.; Bard, P.-Y.; SESAME-Team. The H/V spectral ratio technique: Experimental conditions, data processing and empirical reliability assessment. In Proceedings of the 13th World Conference on Earthquake Engineering, Vancouver, BC, Canada, 1–6 August 2004. Paper #2268. [Google Scholar]
- Harinarayan, N.H.; Kumar, A. Site classification of strong motion stations of Uttarakhand, India, based on standard spectral ratio, and horizontal-to-vertical spectral ratio methods. Geohazards 2017, 281, 141–149. [Google Scholar]
- Ji, K.; Ren, Y.; Wen, R. Site classification for National Strong Motion Observation Network System (NSMONS) stations in China using an empirical H/V spectral ratio method. J. Asian Earth Sci. 2017, 147, 79–94. [Google Scholar] [CrossRef]
- Benjumea, B.; Macau, A.; Gabàs, F.; Bellmunt, F.; Figueras, S.; Cirés, J. Integrated geophysical profiles and H/V microtremor measurements for subsoil characterization. Near Surf. Geophys. 2011, 9, 413–425. [Google Scholar]
- Pinzon, L.A.; Pujades, L.G.; Macau, A.; Carreño, E.; Alcalde, J.M. Seismic site classification from the horizontal-to-vertical response spectral ratio: Use of the Spanish strong-motion database. Geosciences 2019, 9, 294. [Google Scholar] [CrossRef]
- Putti, S.P.; Satyam, N. Evaluation of site effects using HVSR microtremor measurements in Vishakhapatnam. Earth Syst. Environ. 2020, 4, 439–454. [Google Scholar] [CrossRef]
- Xu, R.; Wang, L. The Horizontal-to-Vertical spectral ratio and its applications. EURASIP J. Adv. Signal Process. 2021, 2021, 75. [Google Scholar] [CrossRef]
- Institut Cartogràfic i Geològic de Catalunya (ICGC). Caracterización geofísica y microzonificación sísmica de la ciudad de Huelva; Informes técnicos de l’Institut Cartogràfic i Geológic de Catalunya, Generalitat de Catalunya. GA-010/16; Institut Cartogràfic i Geològic de Catalunya (ICGC): Barcelona, Spain, 2016; 69p. [Google Scholar]
- Macau, A.; Figueras, S.; Benjumea, B.; Alonso-Chaves, F.M.; Gabàs, P.; Bellmunt, F.; Roca, A. Microzonificación sísmica de la ciudad de Huelva (ALERTES-RIM). In Proceedings of the 9ª Asamblea Hispano-Portuguesa de Geodesia y Geofísica, Madrid, España, 28–30 June 2016. [Google Scholar]
- Alonso-Chaves, F.M.; Macau, A.; Figueras, S.; Benjumea, B.; Gabàs, A.; Roca, A.; Puig, R.; Sedano, J. Fractures and paleogeography during the Tortonian in the northern border of the Guadalquivir basin inferred from deep wells and passive and active seismicity techniques. In Workshop “Earthquakes and Tsunamis in Iberia (50th Years of the 1969 Saint Vincent Earthquake, M=8.0)“; Universidad Complutense de Madrid: Madrid, Spain, 2019. [Google Scholar]
- Alonso-Chaves, F.M.; Macau, A.; Figueras, S.; Benjumea, S.; Gabàs, A.; Roca, A.; García-Navarro, E.; Puig, R.; Sedano, J. Fracturación cortical inferida a partir de técnicas de sismicidad activa y pasiva: Extensión neógena en el forebulge de la Cuenca del Guadalquivir. Geogaceta 2020, 67, 15–18. [Google Scholar]
- Amador Luna, D. Seismotectonics and Lithospheric-Scale Strain Partitioning in Relation to Complex Plate Convergence Settings. Doctoral Thesis, University of Huelva, Huelva, Spain, 2025. [Google Scholar]
- Viguier, C. Les grands traits de la tectonique du Bassin neogene du Bas–Guadalquivir. Boletín Geológico Y Min. 1977, 88, 39–44. [Google Scholar]
- Civis, J.; Sierro, F.; González, J.; Flores, J.; Andrés, I.; Porta, J.; Valle, M. El Neógeno marino de la provincia de Huelva: Antecedentes y definición de las unidades litoestratigráficas. In Paleontología del Neógeno de Huelva; Civis, J., Ed.; Universidad de Salamanca: Salamanca, Spain, 1987; pp. 9–21. [Google Scholar]
- Baceta, J.I.; Pendón, J.G. Estratigrafía y arquitectura de facies de la Formación Niebla, neógeno superior, sector occidental de la cuenca del Guadalquivir. Rev. Soc. Geológica España 1999, 12, 419–438. [Google Scholar]
- Martínez del Olmo, W.; Torrescusa, S.; Riaza, C.; García, C. Sequence Stratigraphy and Turbidite Reservoir Characterization of Biogenic Gas Fields in the Guadalquivir-Gulf of Cadiz Miocene Basins, SW Spain. In Proceedings of the ABGP/AAPG International Conference and Exhibition, Rio de Janeiro, Brazil, 8–11 November 1998. [Google Scholar]
- Schermerhorn, L. An outline stratigraphy of the Iberian Pyrite Belt. Bol. Geológico Y Min. 1971, 82, 238–268. [Google Scholar]
- Moreno, C.; Sierra, S.; Sáez, R. Evidence for catastrophism at the Famennian-Dinantian boundary in the Iberian Pyrite Belt. Geol. Soc. Lond. Spec. Publ. 1996, 107, 153–162. [Google Scholar] [CrossRef]
- Saez, R.; González, F.; Donaire, T.; Toscano, M.; Yesares, L.; Ruíz de Almodóvar, G.; Moreno, C. Updating Geological Information about the Metallogenesis of the Iberian Pyrite Belt. Minerals 2024, 14, 860. [Google Scholar] [CrossRef]
- Oliveira, J.T. Stratigraphy and synsedimentary tectonism. In Pre-Mesozoic Geology of Iberia; Springer: Berlin/Heidelberg, Germany, 1990; pp. 334–347. [Google Scholar]
- Moreno, C. Postvolcanic Paleozoic of the Iberian pyrite belt; an example of basin morphologic control on sediment distribution in a turbidite basin. J. Sediment. Res. 1993, 63, 1118–1128. [Google Scholar] [CrossRef]
- Coullaut Sáenz de Sicilia, J.L.; Soler Sampere, M.; Portero García, J.M. Mapa Geológico de España, E.:1:50.000 and Memoria, Hoja 961 (11-39) “Aznalcóllar”, IGME. 45 pp. 1978. [Google Scholar]
- Martínez del Olmo, W.; Martín Sánchez, D. Surcos erosivos, sistemas de turbiditas y episodios climáticos en el Tortoniense y Messiniense de la Cuenca del Guadalquivir (SO de España). Rev. Soc. Geológica España 2019, 32, 97–112. [Google Scholar]
- Martínez del Olmo, W. El complejo olistostrómico del Mioceno de la Cuenca del Río Guadalquivir (SO de España). Rev. Soc. Geológica España 2019, 32, 3–16. [Google Scholar]
- Leyva Cabello, F.; Ramírez Copeiro del Villar, J. Mapa Geológico de España E.: 1:50.000 and Memoria, Hoja 983 (11-40) “Sanlúcar la Mayor”, IGME. 18 pp. 1977. Available online: https://info.igme.es/cartografiadigital/geologica/Magna50Hoja.aspx?Id=983&language=es (accessed on 1 August 2025).
- Sierro, F.J. Foraminíferos Planctónicos y Bioestratigrafía del Mioceno Superior- Plioceno del Borde Occidental de la Cuenca del Guadalquivir (S.O. de España). Doctoral Thesis, Universidad de Salamanca, Salamanca, Spain, 1984; 391p. [Google Scholar]
- Camacho, M.A.; García-Navarro, E.; Morales, J.A. Study on the consolidation state of sediments in the Huelva Estuary (SW Spain). Bull. Eng. Geol. Environ. 2011, 70, 699–707. [Google Scholar] [CrossRef]
- Mayoral, E.; Pendón, J.G. Icnofacies y Sedimentación en Zona Costera. Plioceno Superior (?), Litoral de Huelva. Acta Geológica Hispánica 1986, 21–22, 507–513. [Google Scholar]
- Bosch-Montoro, A.; Camacho, M.A.; García-Navarro, E.; Alonso-Chaves, F.M. Características geotécnicas de los suelos de la ciudad de Huelva: Parámetros de identificación y ensayos de consolidación. Geogaceta 2006, 39, 79–82. [Google Scholar]
- Martínez del Olmo, W.; Martín, D. El neógeno de la cuenca Guadalquivir-Cádiz (sur de España). Rev. Soc. Geológica España 2016, 29, 35–58. [Google Scholar]
- Civis, J.; Dabrio, C.J.; González-Delgado, J.A.; Groy, J.L.; Ledesma, S.; Pais, J.; Sierro, F.J.; Zazo, C. Cuenca del Guadalquivir. In Geología de España; Vera, J.A., Ed.; Sociedad Geológica de España—Instituto Geológico y Minero de España: Madrid, Spain, 2004; pp. 543–550. [Google Scholar]
- Flinch, J.F.; Bally, A.W.; Wu, S. Emplacement of a passive-margin evaporitic allochthon in the Betic Cordillera of Spain. Tectonics 1996, 15, 89–106. [Google Scholar] [CrossRef]
- Salazar, A.; Larrasoaña, J.C.; Abad, M.; Mayoral, E.; Pérez-Asensio, J.N.; González-Regalado, M.L.; Martín-Banda, R.; Civis, J.; Mata, M.P. Neogene lithological units at the west end of the Guadalquivir Basin and their correlations with the Huelva-1 borehole (Huelva—Spain)/Unidades litológicas del Neógeno en el extremo oeste de la Cuenca del Guadalquivir y su correlación con el sondeo Huelva-1 (Huelva—España). Geo-Temas 2016, 16, 173–176. [Google Scholar]
- Bard, P.Y. Les Effets de Site D’origine Structural: Principaux Resultants Expérimentaux et Théoriques; Genie Parasismique: París, France, 1985; pp. 223–238. [Google Scholar]
- Wathelet, M.; Chatelain, J.L.; Cornou, C.; Di Giulio, G.; Guillier, B.; Ohrnberger, M.; Savvaidis, A. Geopsy: A User-Friendly Open-Source Tool Set for Ambient Vibration Processing. Seismol. Res. Lett. 2020, 91, 1878–1889. [Google Scholar] [CrossRef]
- Delgado, J.; López Casado, C.; Estévez, A.; Giner, J.; Cuenca, A.; Molina, S. Mapping soft soils in the Segura River valley (SE Spain): A case study of microtremors as an exploration tool. J. Appl. Geophys. 2000, 45, 19–32. [Google Scholar] [CrossRef]
- Parolai, S.; Bormann, P.; Milkereit, C. New Relationship between Vs, Thickness of Sediments, and Resonance Frequency Calculated by the H/V Ratio of Seismic Noise for the Cologne Area (Germany). Bull. Seismol. Soc. Am. 2002, 92, 2521–2527. [Google Scholar] [CrossRef]
- Alonso-Chaves, F.M.; García-Navarro, E.; Fernández, C.; Mayoral, E. Tectónica extensional durante el Triásico Superior en el extremo oriental de la cuenca del Algarve (Ayamonte, España) y la reactivación de fallas durante el Plioceno-Cuaternario. Geogaceta 2020, 67, 19–22. [Google Scholar]
- González, F. InSAR-based mapping of ground deformation caused by industrial waste disposals: The case study of the Huelva phosphogypsum stack, SW Spain. Bull. Eng. Geol. Environ. 2022, 81, 304. [Google Scholar] [CrossRef]
- Moreira, V.S. Seismotectonics of Portugal and its adjacent area in the Atlantic. Tectonophysics 1985, 117, 85–96. [Google Scholar] [CrossRef]
- Borges, J.F.; Fitas, A.J.S.; Bezzeghoud, M.; Teves-Costa, P. Seismotectonics of Portugal and its adjacent Atlantic area. Tectonophysics 2001, 331, 373–387. [Google Scholar] [CrossRef]
- Buforn, E.; Pro, C.; Bezzeghoud, M.; Udias, A. Mechanism of 2003, 2007 and 2009 earthquakes (S. Vicente Cape) and implications for the 1755 Lisbon earthquake. In Proceedings of the Geophysical Research Abstracts EGU2012-2634, EGU General Assembly, Vienna, Austria, 22–27 April 2012. [Google Scholar]
- Ferrao, C.; Bezzeghoud, M.; Caldeira, B.; Borges, J.F. The Seismicity of Portugal and Its Adjacent Atlantic Region from 1300 to 2014: Maximum Observed Intensity (MOI) Map. Seismol. Res. Lett. 2016, 87, 743–750. [Google Scholar] [CrossRef]
- Buforn, E.; López Sánchez, C.; Lozano, L.; Martínez-Solares, J.M.; Cesca Oliveira, C.S.; Udías, A. Re-evaluation of Seismic Intensities and Relocation of 1969 Saint Vincent Cape Seismic Sequence: A Comparison with the 1755 Lisbon Earthquake. Pure Appl. Geophys. 2020, 177, 1781–1800. [Google Scholar] [CrossRef]
- Instituto Geográfico Nacional (IGN). Catálogo de Terremotos. 2025. Available online: https://www.ign.es/web/sis-catalogo-terremotos (accessed on 1 August 2025).
- United States Geological Survey (USGS). M 4.8–3 km WNW of Isla Cristina, Spain. Dec 20, 1989, at 04:15 am (Universal Time). USGS Catalog. Available online: https://earthquake.usgs.gov/earthquakes/eventpage/usp00043au/executive (accessed on 1 August 2025).











Disclaimer/Publisher’s Note: The statements, opinions and data contained in all publications are solely those of the individual author(s) and contributor(s) and not of MDPI and/or the editor(s). MDPI and/or the editor(s) disclaim responsibility for any injury to people or property resulting from any ideas, methods, instructions or products referred to in the content. |
© 2025 by the authors. Licensee MDPI, Basel, Switzerland. This article is an open access article distributed under the terms and conditions of the Creative Commons Attribution (CC BY) license (https://creativecommons.org/licenses/by/4.0/).
Share and Cite
Amador Luna, D.; Macau, A.; Fernández, C.; Alonso-Chaves, F.M. Three-Dimensional Architecture of Foreland Basins from Seismic Noise Recording: Tectonic Implications for the Western End of the Guadalquivir Basin. Geosciences 2025, 15, 345. https://doi.org/10.3390/geosciences15090345
Amador Luna D, Macau A, Fernández C, Alonso-Chaves FM. Three-Dimensional Architecture of Foreland Basins from Seismic Noise Recording: Tectonic Implications for the Western End of the Guadalquivir Basin. Geosciences. 2025; 15(9):345. https://doi.org/10.3390/geosciences15090345
Chicago/Turabian StyleAmador Luna, David, Albert Macau, Carlos Fernández, and Francisco M. Alonso-Chaves. 2025. "Three-Dimensional Architecture of Foreland Basins from Seismic Noise Recording: Tectonic Implications for the Western End of the Guadalquivir Basin" Geosciences 15, no. 9: 345. https://doi.org/10.3390/geosciences15090345
APA StyleAmador Luna, D., Macau, A., Fernández, C., & Alonso-Chaves, F. M. (2025). Three-Dimensional Architecture of Foreland Basins from Seismic Noise Recording: Tectonic Implications for the Western End of the Guadalquivir Basin. Geosciences, 15(9), 345. https://doi.org/10.3390/geosciences15090345

