Sediment Connectivity in Human-Impacted vs. Natural Conditions: A Case Study in a Landslide-Affected Catchment
Abstract
1. Introduction
2. Study Area
2.1. Geological and Geomorphological Setting

2.2. Land Use Patterns
2.3. Shallow Landslide Distribution
3. Materials and Methods
3.1. Connectivity Index with and Without Anthropogenic Disturbances
3.1.1. Lidar Data–DTM Data
3.1.2. DTM Pre-Processing
3.1.3. Terrace Removal and DTM Smoothing
- From DTMT, the Terrain Ruggedness Index (TRI) is derived and classified using two thresholds, one for the terraces and another for the terrace walls, as determined via QGIS.
- The newly created binary masks and the original DTM are used in Python 1.2.1 to generate central/skeleton lines and skeleton line points for the terraces and terrace walls.
- The points for the terraces and terrace walls are input in QGIS and merged to create the points used in the interpolation of the new raster.
- The smoothed raster (DTMNoT) is created by interpolating the merged set of points.
- zc represents the elevation of the central cell.
- zi represents the elevation of one of the eight neighboring cells (i = 1, 2, …, 8).
3.1.4. Connectivity Index Calculations
- Cell size: Set to 0.5 map units, matching the DTM spatial resolution of 0.5 m.
- Moving window size: Defined as 5 pixels, which is the optimal setting for capturing local terrain variations.
3.1.5. Connectivity Index Scenarios
- The catchment outlet (without a specific target) scenario represents the baseline sediment connectivity, where no specific transport pathway is defined. It allows for the observation of general connectivity trends based solely on terrain characteristics.
- Hydrographic network target scenario: This scenario models sediment connectivity toward the hydrographic networks, assessing how sediment is likely to be transported toward drainage systems under different conditions.
- Road network target scenario: In this case, sediment transport is modeled toward roads, reflecting how infrastructure influences connectivity by either acting as a sediment sink or a conduit for sediment displacement.
- Land use weighting scenario: Unlike the other scenarios, which use DTM-derived weights [4] as impedance factors, this scenario applies land use as a weighting factor, using Manning’s flow resistance [16] table (Table 2). This approach provides a more process-based evaluation of sediment transport based on different land cover types.
- The original DTM, which includes terraces and roads.
- The modified DTM, where terraces were removed.
3.2. Statistical Analysis of Sediment Connectivity and Correlations with Shallow Landslides
- Across the entire basin to capture overall differences in connectivity.
- Within landslide trigger point polygons to evaluate how terrain modifications influence connectivity in unstable areas.
4. Results
4.1. Connectivity Index Results for Different Target Scenarios
4.2. Land Use-Weighted Connectivity Index
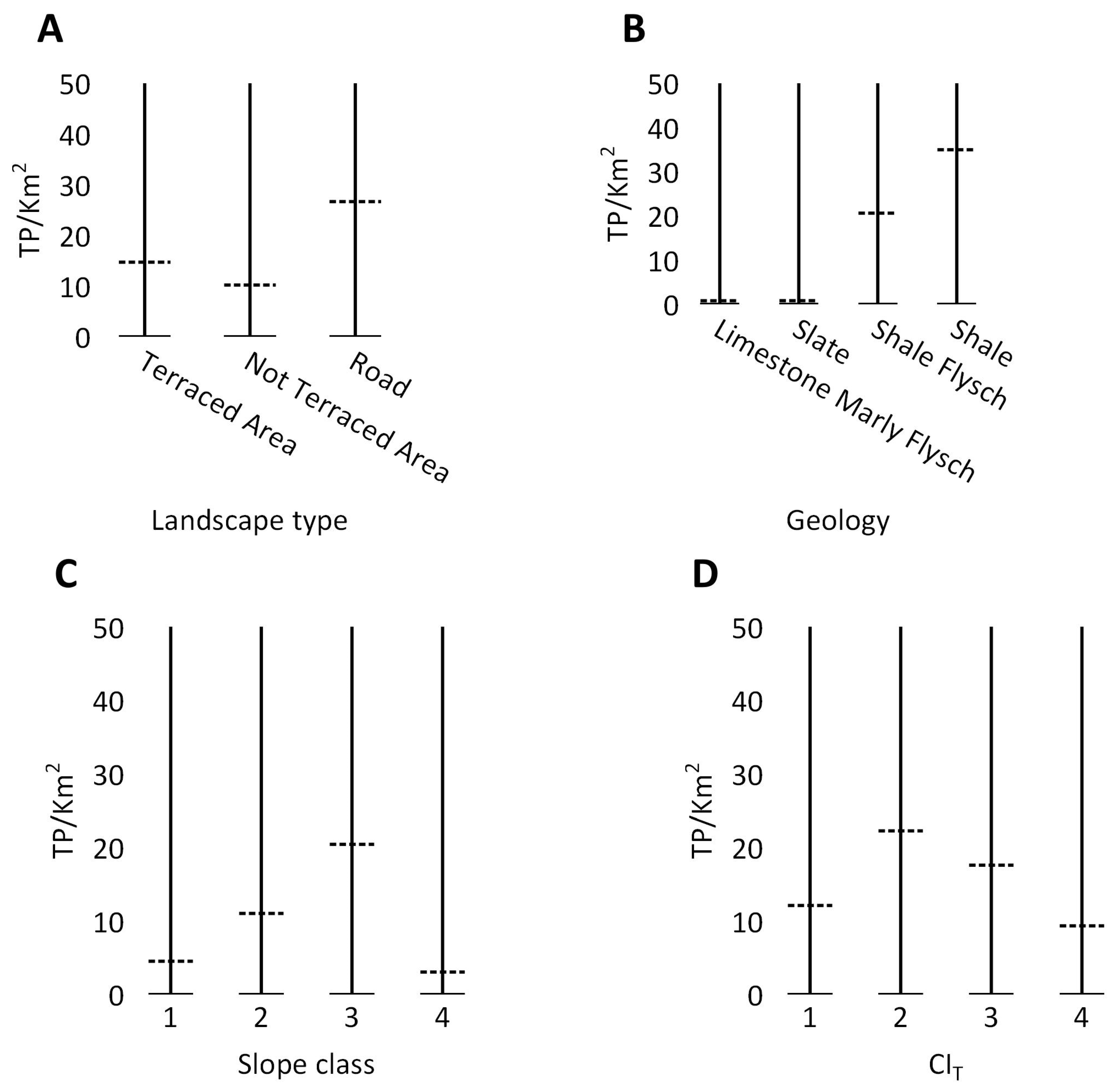
4.3. Influence of Lithology on CI
5. Discussion
6. Conclusions
Supplementary Materials
Author Contributions
Funding
Data Availability Statement
Conflicts of Interest
References
- Marchi, L.; Dalla Fontana, G. GIS Morphometric Indicators for the Analysis of Sediment Dynamics in Mountain Basins. Environ. Geol. 2005, 48, 218–228. [Google Scholar] [CrossRef]
- Tiranti, D.; Cavalli, M.; Crema, S.; Zerbato, M.; Graziadei, M.; Barbero, S.; Cremonini, R.; Silvestro, C.; Bodrato, G.; Tresso, F. Semi-Quantitative Method for the Assessment of Debris Supply from Slopes to River in Ungauged Catchments. Sci. Total Environ. 2016, 554–555, 337–348. [Google Scholar] [CrossRef] [PubMed]
- Surian, N.; Righini, M.; Lucía, A.; Nardi, L.; Amponsah, W.; Benvenuti, M.; Borga, M.; Cavalli, M.; Comiti, F.; Marchi, L.; et al. Channel Response to Extreme Floods: Insights on Controlling Factors from Six Mountain Rivers in Northern Apennines, Italy. Geomorphology 2016, 272, 78–91. [Google Scholar] [CrossRef]
- Martini, L.; Cavalli, M.; Picco, L. Predicting Sediment Connectivity in a Mountain Basin: A Quantitative Analysis of the Index of Connectivity. Earth Surf. Process. Landf. 2022, 47, 1500–1513. [Google Scholar] [CrossRef]
- Bordoni, M.; Persichillo, M.G.; Meisina, C.; Crema, S.; Cavalli, M.; Bartelletti, C.; Galanti, Y.; Barsanti, M.; Giannecchini, R.; D’Amato Avanzi, G. Estimation of the Susceptibility of a Road Network to Shallow Landslides with the Integration of the Sediment Connectivity. Nat. Hazards Earth Syst. Sci. 2018, 18, 1735–1758. [Google Scholar] [CrossRef]
- Hooke, J. Coarse Sediment Connectivity in River Channel Systems: A Conceptual Framework and Methodology. Geomorphology 2003, 56, 79–94. [Google Scholar] [CrossRef]
- Heckmann, T.; Cavalli, M.; Cerdan, O.; Foerster, S.; Javaux, M.; Lode, E.; Smetanová, A.; Vericat, D.; Brardinoni, F. Indices of Sediment Connectivity: Opportunities, Challenges and Limitations. Earth-Sci. Rev. 2018, 187, 77–108. [Google Scholar] [CrossRef]
- Wohl, E.; Brierley, G.; Cadol, D.; Coulthard, T.; Covino, T.; Fryirs, K.; Grant, G.; Hilton, R.; Lane, S.; Magilligan, F.; et al. Connectivity as an Emergent Property of Geomorphic Systems: Geomorphic Connectivity. Earth Surf. Process. Landf. 2018, 44, 4–26. [Google Scholar] [CrossRef]
- Cavalli, M.; Trevisani, S.; Comiti, F.; Marchi, L. Geomorphometric Assessment of Spatial Sediment Connectivity in Small Alpine Catchments. Geomorphology 2013, 188, 31–41. [Google Scholar] [CrossRef]
- Heckmann, T.; Schwanghart, W. Geomorphic Coupling and Sediment Connectivity in an Alpine Catchment—Exploring Sediment Cascades Using Graph Theory. Geomorphology 2013, 182, 89–103. [Google Scholar] [CrossRef]
- Baartman, J.E.M.; Masselink, R.; Keesstra, S.D.; Temme, A.J.A.M. Linking Landscape Morphological Complexity and Sediment Connectivity. Earth Surf. Process. Landf. 2013, 38, 1457–1471. [Google Scholar] [CrossRef]
- Borselli, L.; Cassi, P.; Torri, D. Prolegomena to Sediment and Flow Connectivity in the Landscape: A GIS and Field Numerical Assessment. Catena 2008, 75, 268–277. [Google Scholar] [CrossRef]
- Cammeraat, L.H. A Review of Two Strongly Contrasting Geomorphological Systems within the Context of Scale. Earth Surf. Process. Landf. 2002, 27, 1201–1222. [Google Scholar] [CrossRef]
- Foerster, S.; Wilczok, C.; Brosinsky, A.; Segl, K. Assessment of Sediment Connectivity from Vegetation Cover and Topography Using Remotely Sensed Data in a Dryland Catchment in the Spanish Pyrenees. J. Soils Sediments 2014, 14, 1982–2000. [Google Scholar] [CrossRef]
- Tarolli, P.; Sofia, G. Human Topographic Signatures and Derived Geomorphic Processes across Landscapes. Geomorphology 2016, 255, 140–161. [Google Scholar] [CrossRef]
- Persichillo, M.G.; Bordoni, M.; Cavalli, M.; Crema, S.; Meisina, C. The Role of Human Activities on Sediment Connectivity of Shallow Landslides. Catena 2018, 160, 261–274. [Google Scholar] [CrossRef]
- Paliaga, G.; Ward, S.N.; Luino, F.; Faccini, F.; Turconi, L. What If an Intense Rain Event Should Trigger Diffuse Shallow Landslides in a Small Mediterranean Catchment? Numerical Modeling Through Remote Sensing Techniques. Remote Sens. 2024, 16, 4658. [Google Scholar] [CrossRef]
- Varotto, M.; Bonardi, L.; Tarolli, P. World Terraced Landscapes: History, Environment, Quality of Life; Springer: Berlin/Heidelberg, Germany, 2018; Volume 9, ISBN 3-319-96815-7. [Google Scholar]
- Notti, D.; Cignetti, M.; Godone, D.; Giordan, D. Semi-Automatic Mapping of Shallow Landslides Using Free Sentinel-2 Images and Google Earth Engine. Nat. Hazards Earth Syst. Sci. 2023, 23, 2625–2648. [Google Scholar] [CrossRef]
- Llena, M.; Vericat, D.; Cavalli, M.; Crema, S.; Smith, M.W. The Effects of Land Use and Topographic Changes on Sediment Connectivity in Mountain Catchments. Sci. Total Environ. 2019, 660, 899–912. [Google Scholar] [CrossRef]
- Crema, S.; Llena, M.; Calsamiglia, A.; Estrany, J.; Marchi, L.; Vericat, D.; Cavalli, M. Can Inpainting Improve Digital Terrain Analysis? Comparing Techniques for Void Filling, Surface Reconstruction and Geomorphometric Analyses. Earth Surf. Process. Landf. 2020, 45, 736–755. [Google Scholar] [CrossRef]
- Cucchiaro, S.; Paliaga, G.; Fallu, D.J.; Pears, B.R.; Walsh, K.; Zhao, P.; Van Oost, K.; Snape, L.; Lang, A.; Brown, A.G.; et al. Volume Estimation of Soil Stored in Agricultural Terrace Systems: A Geomorphometric Approach. Catena 2021, 207, 105687. [Google Scholar] [CrossRef]
- Godone, D.; Giordan, D.; Baldo, M. Rapid Mapping Application of Vegetated Terraces Based on High Resolution Airborne LiDAR. Geomat. Nat. Hazards Risk 2018, 9, 970–985. [Google Scholar] [CrossRef]
- Brancucci, G.; Paliaga, G. The Hazard Assessment in a Terraced Landscape: Preliminary Result of the Liguria (Italy) Case Study in the Interreg III ALPTER Project; University of Genova: Genova, Italy, 2006. [Google Scholar]
- Molli, G.; Cortecci, G.; Vaselli, L.; Ottria, G.; Cortopassi, A.; Dinelli, E.; Mussi, M.; Barbieri, M. Fault Zone Structure and Fluid-Rock Interaction of a High Angle Normal Fault in Carrara Marble (NW Tuscany, Italy). J. Struct. Geol. 2010, 32, 1334–1348. [Google Scholar] [CrossRef]
- Marroni, M.; Molli, G.; Montanini, A.; Ottria, G.; Pandolfi, L.; Tribuzio, R. The External Ligurian Units (Northern Apennine, Italy) from Rifting to Convergence of a Fossil Ocean-Continent Transition Zone. Ofioliti 2002, 27, 119–131. [Google Scholar]
- Scholle, P.A. Sedimentology of Fine-Grained Deep-Water Carbonate Turbidites, Monte Antola Flysch (Upper Cretaceous), Northern Apennines, Italy. Bull. Geol. Soc. Am. 1971, 82, 629–658. [Google Scholar] [CrossRef]
- Marroni, M.; Della Croce, G.; Meccheri, M. Structural Evolution of the Mt. Gottero Unit in the Mt. Zatta-Mt. Ghiffi Sector, Ligurian-Emilian Apennines, Italy. Ofioliti 1988, 13, 29–42. [Google Scholar]
- Elter, F.M.; Gianmarino, S. Carta Geologica Regionale (CGR); Scala 1:25,000, Tav. 231.1, 231.4; University of Genova: Chiavari Recco, Italy, 2005. [Google Scholar]
- Giordan, D.; Cignetti, M.; Baldo, M.; Godone, D. Relationship between Man-Made Environment and Slope Stability: The Case of 2014 Rainfall Events in the Terraced Landscape of the Liguria Region (Northwestern Italy). Geomat. Nat. Hazards Risk 2017, 8, 1833–1852. [Google Scholar] [CrossRef]
- Cignetti, M.; Godone, D.; Giordan, D. Shallow Landslide Susceptibility, Rupinaro Catchment, Liguria (Northwestern Italy). J. Maps 2019, 15, 333–345. [Google Scholar] [CrossRef]
- Galve, J.P.; Cevasco, A.; Brandolini, P.; Soldati, M. Assessment of Shallow Landslide Risk Mitigation Measures Based on Land Use Planning through Probabilistic Modelling. Landslides 2015, 12, 101–114. [Google Scholar] [CrossRef]
- Faccini, F.; Giostrella, P.; Lazzeri, R.; Melillo, M.; Raso, E.; Roccati, A. The 10th November 2014 Flash-Flood Event in Chiavari City (Eastern Liguria, Italy). Rendiconti Online Soc. Geol. Ital. 2015, 35, 124–127. [Google Scholar] [CrossRef]
- Vianello, A.; Cavalli, M.; Tarolli, P. LiDAR-Derived Slopes for Headwater Channel Network Analysis. Catena 2009, 76, 97–106. [Google Scholar] [CrossRef]
- Tarboton, D.G. Terrain Analysis Using Digital Elevation Models (TauDEM); Utah State University: Logan, UT, USA, 2005. [Google Scholar]
- Riley, S.J. Index That Quantifies Topographic Heterogeneity. Intermt. J. Sci. 1999, 5, 23–27. [Google Scholar]
- Srinivasa Rao, P.; Yedukondalu, K. Hardware Implementation of Digital Image Skeletonization Algorithm Using FPGA for Computer Vision Applications. J. Vis. Commun. Image Represent. 2019, 59, 140–149. [Google Scholar] [CrossRef]
- Ghantous, J.; Di Pietra, V. JadGhant/TerraceSmoothing: Source Code. 2025. [Google Scholar]
- Crema, S.; Schenato, L.; Goldin, B.; Marchi, L.; Cavalli, M. Toward the Development of a Stand-Alone Application for the Assessment of Sediment Connectivity. Rendiconti Online Della Soc. Geol. Ital. 2015, 34, 58–61. [Google Scholar] [CrossRef]
- Crema, S.; Cavalli, M. SedInConnect: A Stand-Alone, Free and Open Source Tool for the Assessment of Sediment Connectivity. Comput. Geosci. 2018, 111, 39–45. [Google Scholar] [CrossRef]
- Tarboton, D.G. A New Method for the Determination of Flow Directions and Upslope Areas in Grid Digital Elevation Models. Water Resour. Res. 1997, 33, 309–319. [Google Scholar] [CrossRef]
- Lopes, R.H.C. Kolmogorov-Smirnov Test. In International Encyclopedia of Statistical Science; Lovric, M., Ed.; Springer: Berlin/Heidelberg, Germany, 2011; pp. 718–720. ISBN 978-3-642-04898-2. [Google Scholar]
- Mann–Whitney Test. In The Concise Encyclopedia of Statistics; Springer: New York, NY, USA, 2008; pp. 327–329. ISBN 978-0-387-32833-1.
- Schilirò, L.; Bosman, A.; Caielli, G.M.; Corazza, A.; Crema, S.; Di Salvo, C.; Gaudiosi, I.; Mancini, M.; Norini, G.; Peronace, E. The May 2023 Rainstorm-Induced Landslides in the Emilia-Romagna Region (Northern Italy): Considerations from UAV Investigations Under Emergency Conditions. Geosciences 2025, 15, 101. [Google Scholar] [CrossRef]
- Sidle, R.C.; Ghestem, M.; Stokes, A. Epic Landslide Erosion from Mountain Roads in Yunnan, China–Challenges for Sustainable Development. Nat. Hazards Earth Syst. Sci. 2014, 14, 3093–3104. [Google Scholar] [CrossRef]











| Parameter | Attribute |
|---|---|
| Type | TIN |
| Method | Linear |
| Vector layer | Merged points |
| Attribute | Elevation values |
| Resolution | 0.5 m |
| Land Use | Manning Roughness | Weight Factor |
|---|---|---|
| abandoned olive | 0.05 | 0.95 |
| Arable land | 0.2 | 0.8 |
| Grasslands | 0.25 | 0.75 |
| Low Urban areas | 0.15 | 0.85 |
| Olive/vineyards | 0.2 | 0.8 |
| Sparse vegetation | 0.05 | 0.95 |
| Uncultivated areas | 0.35 | 0.65 |
| Urban areas | 0.02 | 0.98 |
| Wood | 0.4 | 0.6 |
| Scenario | U Statistic | p-Value |
|---|---|---|
| Scenario Catchment outlet (without a specific target) | 468 | 7.24 × 10−15 |
| Scenario Hydrographic network | 1677 | 2.27 × 10−2 |
| Scenario Road | 852 | 4.44 × 10−9 |
Disclaimer/Publisher’s Note: The statements, opinions and data contained in all publications are solely those of the individual author(s) and contributor(s) and not of MDPI and/or the editor(s). MDPI and/or the editor(s) disclaim responsibility for any injury to people or property resulting from any ideas, methods, instructions or products referred to in the content. |
© 2025 by the authors. Licensee MDPI, Basel, Switzerland. This article is an open access article distributed under the terms and conditions of the Creative Commons Attribution (CC BY) license (https://creativecommons.org/licenses/by/4.0/).
Share and Cite
Ellaithy, M.; Notti, D.; Giordan, D.; Baldo, M.; Ghantous, J.; Di Pietra, V.; Cavalli, M.; Crema, S. Sediment Connectivity in Human-Impacted vs. Natural Conditions: A Case Study in a Landslide-Affected Catchment. Geosciences 2025, 15, 259. https://doi.org/10.3390/geosciences15070259
Ellaithy M, Notti D, Giordan D, Baldo M, Ghantous J, Di Pietra V, Cavalli M, Crema S. Sediment Connectivity in Human-Impacted vs. Natural Conditions: A Case Study in a Landslide-Affected Catchment. Geosciences. 2025; 15(7):259. https://doi.org/10.3390/geosciences15070259
Chicago/Turabian StyleEllaithy, Mohanad, Davide Notti, Daniele Giordan, Marco Baldo, Jad Ghantous, Vincenzo Di Pietra, Marco Cavalli, and Stefano Crema. 2025. "Sediment Connectivity in Human-Impacted vs. Natural Conditions: A Case Study in a Landslide-Affected Catchment" Geosciences 15, no. 7: 259. https://doi.org/10.3390/geosciences15070259
APA StyleEllaithy, M., Notti, D., Giordan, D., Baldo, M., Ghantous, J., Di Pietra, V., Cavalli, M., & Crema, S. (2025). Sediment Connectivity in Human-Impacted vs. Natural Conditions: A Case Study in a Landslide-Affected Catchment. Geosciences, 15(7), 259. https://doi.org/10.3390/geosciences15070259

