You are currently viewing a new version of our website. To view the old version click .
Geosciences
  • Article
  • Open Access

1 March 2025

A Descriptive Analysis of the Morphology and Movement of the Golden Gate Sand Waves

Earth, Environmental, and Geospatial Sciences, Saint Louis University, Saint Louis, MO 63108, USA

Abstract

High-resolution bathymetric surveys are interpreted to describe the morphology and movement of a field of sand waves near San Francisco, CA, USA. The sand wave size, shape, orientation, and migration are described. Portions of the field are nearly two dimensional, but the overall field is three dimensional, with changes in sand wave size, orientation, and structure. The trough-to-crest height of individual sand waves ranges from 2 to 9 m. There are a range of wavelengths and orientations. The dominant wavelength ranges from 90 to 100 m, and the orientation clusters around two directions: 40 and 68 degrees. The field is found to be highly dynamic but with stable characteristics over at least decadal timescales. A previously demonstrated paradox between sand wave shape asymmetry and migration direction is revisited using new measurements, showing that reversals in shape asymmetry were accompanied by changes in crest migration direction in one of seven surveys.

1. Introduction

Bedforms are dynamic features formed at the interface of a moving fluid and unconsolidated sediment. Commonly recognized examples are sand ripples at a beach or sand dunes in deserts. The spatial scales and three-dimensional patterns of bedforms are extremely diverse. Since the seminal observations of [1], a great variety of bedforms have been documented for a similarly great variety of applications. These include, for example, the interpretation of small-scale (e.g., 0.1 to 10 m wavelengths) ripples for paleo-environment reconstruction related to fossil fuel exploration. Larger-scale (10 to 1000 m wavelengths) bedforms such as wind-blown sand dunes or marine sand waves represent significant threats to infrastructure due to their migration.
Marine sand waves are large bedforms commonly found worldwide in shallow marine environments such as tidal inlets and tidal banks with ample amounts of sand and strong tidal currents as well as in some estuaries, submarine canyons, and deep-shelf environments [2,3,4,5,6,7]. They are sometimes important to navigation and the design and placement of submarine cables, pipelines, and wind power stations, which are frequently located in the same environments. The unintended exposure of a buried pipeline or cable to water, waves, and currents due to the growth or migration of sand waves can cause catastrophic failure resulting in high costs and destructive ecological impacts (e.g., [8]). The dynamic migration of crests into shallow shipping channels can render navigational charts inaccurate and be hazardous to shipping and small boats. For example, in the North Sea and the Bisanseto Sea in Japan, it is known that the crests of sand waves can harm navigation, leading to a need for accurate monitoring and possibly intervention by dredging [9]. The Golden Gate sand waves considered in this project are located directly onshore of the San Francisco shipping channel, which requires periodic and expensive dredging. An improved understanding of sand wave dynamics and the associated sediment transport processes would help inform such dredging activities and sediment management in the region.
Marine sand waves are also fascinating features from a basic science viewpoint. The body of literature addressing sand waves is quite large; a few examples are provided here. Refs. [10,11] provided conceptual models for the origin, internal structure, and shape of asymmetric sand waves, with the basic mechanism described as secondary circulation cells induced by the interactions between the flow, water surface, and sloped seabed. Refs. [12,13] presented models for the evolution and migration of sand waves. Refs. [14,15] described the relationships between tidal hydrodynamics and the morphology and orientation of sand waves and larger sand banks in the North Sea. As high-resolution multibeam echo soundings (MBES) and high-resolution process-based numerical models (PBNMs) have become more common, e.g., ref. [16], sand waves have received increasing attention (e.g., see Special Issue in [17]). Even though the morpho-metrics of sand waves are now more accurately observable and quantifiable [18], the mechanisms of sand wave formation and their morphodynamic response to different environmental conditions and changes in hydrodynamic forcing are still controversial (e.g., [19,20]). The technical and safety-related challenges are still considerable for conducting process-based experimental observations near sand waves in field conditions, especially in storm or high wave conditions.
The shapes and patterns of bedforms are commonly used to estimate the direction of their migration in both modern systems and in paleo reconstructions (e.g., [21]). For asymmetrically shaped bedforms in both oscillatory and unidirectional flows, the migration direction is very commonly from the gently sloping side toward the more steeply sloped side (e.g., [22]). The migration is often directed down the larger-scale bathymetric slope, such as in Monterey Canyon [5]. Sand waves have also been observed to occasionally reverse both their shape asymmetry and migration directions due to changes in hydrodynamic forcing [23,24,25,26]. Generally, the reversal in migration direction is accompanied by a reversal in shape asymmetry. However, the Golden Gate sand waves, which will be introduced below, provide a fascinating counterexample in which the sand waves are basically stable, despite their strong shape asymmetry and the larger-scale bathymetric slope. Their stability is dynamic however, and (as will be shown below), on annual timescales, they can migrate either up or down the larger-scale bathymetric slope, and, on occasion, crests even appear to migrate in the direction opposite to that indicated by their shape asymmetry. Similar dynamics have been found in other locations such as the Irish Sea [27] and the North Sea [28], and these dynamics have been investigated using numerical models (e.g., [29]). The relationship between bedform shape and migration appears to be more complex than previously believed.
The sand waves of the Golden Gate (hereafter abbreviated as GGSWs) are located just seaward of the Golden Gate bridge, near San Francisco, CA, USA, as shown in Figure 1. Sand waves in the region were first described by [3]. The GGSWs were first measured using single-beam echo sounding and side-scan sonar by [30] and later stunningly visualized from multibeam echo soundings by [31]. They reported a field of about 40 large sand waves at depths ranging from approximately 30 to 90 m and covering an area of approximately 8 square km. The height and wavelength of these features ranged from 2 to 9 m and from 30 to 220 m, respectively. Some of the sand waves are longitudinally continuous for up to two km across the dynamic “mouth” of the San Francisco Bay.
Figure 1. Location of the GGSWs, located approximately within the red oval.
The sediment in the vicinity of the sand waves consists of a mixture of shell fragments, sand grains, and gravel, with a median diameter of approximately 1.2 mm. The coarse tail of the distribution is heavy, with smooth gravel up to approximately 2 cm diameter. The sediment size and texture suggest an extremely active sediment-transport environment, consistent with the strong flows in the tidal jet area that sometimes exceed 2.5 m/s. The sediment in the vicinity of the sand waves is considerably coarser than sand found on the nearby ebb-tidal delta (median diameter 0.15 mm) or nearby Ocean Beach (median diameter 0.2 mm).
Subsequent to [31], there have only been a few published investigations of the GGSWs. Ref. [32] examined the formation of the GGSWs within the context of a model that included both oscillatory tidal flows and residual currents. Ref. [33] discussed the migration of crests and the genesis and disappearance of a new inter-field sand wave crest. Despite these publications and some additional surveys, a comprehensive description of the morphology of the GGSWs is lacking. The present work will supplement previous investigations by describing measurements of the morphology, characteristics, and movement of the GGSWs.

2. Methods

The general approach in this work is to examine and interpret existing measurements of bathymetry in the vicinity of the GGSWs to describe the morphology and movement of the sand waves. The depth measurements were collected using various high-resolution multibeam systems, which typically had a horizontal resolution of approximately 1 m and a vertical resolution of approximately 10 cm. This resolution was sufficient to measure the sand wave morphology with high accuracy and confidence. For example, the summer 2009 survey was collected by Fugro Pelagos, Inc., from the ship Pacific Star using a Reson Seabat 7125 and 8125 hull-mounted multibeam system. Seven distinct surveys were collected by various organizations using similar technologies over a period spanning 2004 to 2017. The sand wave movement was estimated and evaluated by comparing bathymetry from surveys taken at different times. Most of the analyses and results to be presented were calculated using Matlab. Specific types of analyses and the results will be presented in the next section.

3. Results

A shaded relief view [34] of a 4 km by 4 km region surveyed in 2009 [35] surrounding the GGSWs is shown in Figure 2, in which the axis represents the N-S and E-W distance in meters. A few observations are identified here that will be returned to in more depth later. Depth profiles along the perpendicular pair of dashed blue lines running northwest to southeast (NW-SE) and southwest to northeast (SW-NE) shown in Figure 2 are shown in Figure 3. The significant gradients in the NW-SE direction are related to the steep submerged slopes of the coastal cliffs in the region. The SW-NE transect runs through the field of sand waves, from a sandy shoal on the SW edge, approximately toward the deep and narrow inlet entrance to the San Francisco estuary on the NE edge.
Figure 2. Shaded relief map of the GGSWs, with delineated regions and transects to be referred to in the text and in other figures.
Figure 3. Depth profiles transecting the region surrounding the GGSWs. Distance is along each profile, marked with a dashed blue line in Figure 2, with a distance of 0 representing the western edge of the profiles and total profile lengths of 4096 M.

3.1. Three Dimensionality

The sand wave crests are aligned approximately perpendicular to the predominant tidal currents in their vicinity, and the overall location of the sand wave field coincides with the strong tidal jet associated with the Golden Gate inlet. The bathymetry of the main region of the GGSWs, identified by the red square in Figure 2, is shown in Figure 4 (with a different color scheme than that in Figure 2). The central portion of the field exhibits long, somewhat two-dimensional crests, but, along the edges of the field, there are considerable changes in orientation, and the structure is more three dimensional. There are a few defects [36], bifurcations, and dislocations spread throughout the field; these are most prevalent along the edges of the field. Superimposed upon the large sand waves are meter-scale dunes. In some areas, the smaller dunes are aligned parallel to the sand waves, but, in other locations, they are aligned oblique to the sand waves.
Figure 4. Bathymetry of main field of sand waves. The region is 1390 M by 1390 M, as shown by the red-lined square in Figure 2.
The sand waves are visualized in another manner by subtracting the field-scale smoothed bed shape from the measured bathymetry to produce detrended bathymetry that will be referred to as the feature bathymetry, as shown in Figure 5. In this work, the field-scale smoothed bathymetry was obtained through the application of the Matlab program smoothdata in both spatial dimensions with a 128 M smoothing filter.
Figure 5. Feature-scale (detrended) bathymetry. The region is the same as in Figure 4, with distance measured from the southwest corner. Yellow and red lines show results from the two-dimensional spectral analysis, as described in the text. The pairs A-B and C-D represent locations along two sand wave troughs.
While qualitatively similar to the visualization of Figure 4, by removing the smoothed (background) bathymetry, the feature bathymetry effectively masks the larger-scale depth changes. This provides quantitative information about the bedform topography, which can be analyzed using various statistical and spectral techniques. For example, the root-mean-square value of the feature bathymetry is 1.28 m, which is related to the sand wave height or physical surface roughness. If the sand waves were perfectly uniform two-dimensional sinusoids, this would indicate a height of 1.82 m. However, the sand waves are neither two dimensional nor sinusoidal, so characterization by a single wavelength or wave height is incomplete.
A more complete characterization of wavelength and orientation is provided by the two-dimensional wavenumber spectra of the feature bathymetry. The spectrum provides information regarding the dominant scales and orientation of the bed features. Spectral analysis has successfully been applied to estimate the scales, migration, and evolution of bedforms (e.g., [37,38,39]). The power spectrum shown in Figure 6 indicates a variety of directions and length scales centered on two dominant values, marked with a “1” and “2”. The increment in wavenumber in either dimension is 2π/1390 M or 0.00452 M-1. For example, a wavenumber index of 10 corresponds to a wavelength along that direction of 139 M. The intensity has been normalized by the maximum value (at point 1). The physical meaning of the spectrum can be seen in Figure 5, in which the two dominant directions and length scales are superimposed upon the feature bathymetry. The primary peak (yellow lines) is directed toward approximately 40 degrees, with a wavelength of 97.8 m, as indicated by the length of the short yellow line segment. The secondary peak (red lines) is directed toward approximately 68 degrees, with a wavelength of 93.5 m, as indicated by the length of the short red line segment. Note that the primary direction (yellow lines) is representative of the sand waves on the northern and southern portions of the field, whereas the secondary direction (red lines) is aligned with the sand waves in the center portion of the field. The dashed red and yellow lines represent the range of directions surrounding the peaks that contain most of the variance in the spectrum.
Figure 6. Two-dimensional wavenumber spectrum of the feature bathymetry. The increment in wavenumber in either dimension is 2π/1390 M or 0.00452 M-1. For example, a wavenumber index of 10 corresponds to a wavelength along that direction of 139 M. Point 1 identifies the highest spectral density value and point 2 identifies the second highest spectral density value. The red and yellow lines represent the directions indicated by points 1 and 2. Spectral density has been normalized by the maximum value (at point 1).

3.2. Defects and Dislocations

Although the overall sand wave field exhibits some long continuous crests, the deviation from two dimensionality is evidenced by orientation variability, defects, dislocations, and truncations. These are particularly apparent at the northern, southern, and western boundaries of the field, where the waves bifurcate, change directions, reduce in wavelength, and reduce in height. Figure 7 shows the profiles for transects A-B and C-D (from Figure 5), where points A (center) and C (edge) are located on one sand wave trough, and B (center) and D (edge) are also located along a single sand wave trough. The three crests found on transect A-B contrast with five crests on transect C-D, which exhibit shorter wavelengths, shorter heights, and an orientation rotation relative to transect A-B. Examination of the region in Figure 5 indicates the appearance of new crests and the bifurcation of crests, which explains the differences in these transects.
Figure 7. Profiles along transects A-B and C-D (from Figure 5). Distance is measured along each transect.

3.3. Transects Approximately Perpendicular to Crests

Next, the transverse profiles of the sand waves will be described. Figure 8a shows profile 3 from Figure 2. The depth change due to individual sand waves is dominated by the larger-scale depth variations, so it is useful to detrend the profile in a manner similar to the feature bathymetry. Here, the larger-scale profile is approximated by a best-fit polynomial, which can then be removed to result in the detrended profile shown in Figure 8b. This profile indicates a series of sand waves with lengths of approximately 90 m and heights ranging from approximately 2 to 9 m. The rms value of the detrended profile is 1.5 m.
Figure 8. (Panel a) Depth profile (blue) and best-fit curve (red) of the profile for transect 3 (from Figure 2). (Panel b) Detrended profile. For both panels, distance is measured along the transect, starting at the southwestern edge.
The same detrending procedure is applied to the profiles from the eight transects shown in Figure 2, resulting in the detrended profiles shown in Figure 9. Here, the profiles have each been offset by 5 m in order to see them more clearly. Profiles 0 and 1 are partially outside the sand wave field, and the rest of the profiles are within the field. Although the details of each profile vary, they all exhibit similar sizes and lengths of sand waves.
Figure 9. Detrended profiles (from Figure 2), each offset by 5 m for clarity of presentation. Distance for each profile is from the southwest edge of the transect.
One of the notable features of the profiles is that individual sand waves exhibit significant shape asymmetry, with the seaward flanks (facing approximately SW) being steeper than the landward flanks (facing approximately NE). This will be discussed further in Section 4.

3.4. Temporal Stability

There were six surveys of the GGSWs between 2004 and 2009 and also a survey of a portion of the GGSWs in 2017. Figure 10 shows the central profiles (transect 2 from Figure 2) for the six surveys between 2004 and 2009. The profiles differ in exact crest and trough positions from each other, but the overall characteristics of each profile are similar. It is apparent that, even though crests and troughs shift positions from year to year, the overall field remains dynamically stable with similar wavelengths and heights over a 5-year period.
Figure 10. Six profiles collected over a 5-year period, all along the transect of profile 2 from Figure 2. Distance is measured from the southwest edge of the transect.
In 2017, a new survey was collected over a portion of the sand wave field, in connection with the filming of a documentary film. The region of overlap between this survey and the sand wave field is shown by the dashed red rectangle in Figure 2. The bathymetry from 2017 is shown in Figure 11; once again, it appears similar in character to previous surveys of the sand waves, indicating that the dynamic stability of the field likely holds over at least 13 years. A depth profile along the central transect from 2009 (profile 4 in Figure 2, within the dashed red rectangle) was compared to that of the same transect in 2017 (the red line in Figure 12). These profiles exhibited differences in individual sand wave shapes, which will be further discussed in Section 4.2.
Figure 11. Bathymetry from the portion of a 2017 survey that overlapped with the GGSWs. The location of these data is delineated by dashed red lines in Figure 2.
Figure 12. Profiles from 2009 and 2017 along the transect shown by the red line in Figure 11. Distance is from the southwestern edge of the transect.

4. Discussion

4.1. Dynamics

While the results presented above indicate the dynamic stability of the GGSWs, there is ample evidence that the sand waves shift to and fro over a variety of timescales. For example, ref. [31] reported that the Golden Gate sand waves were highly dynamic, exhibiting motion on tidal timescales as well as a net migration over one year. They showed an annual seaward migration of approximately 7 m along transect 3 (in Figure 2) between 2004 and 2005. Based on several subsequent surveys, ref. [33] examined sand wave motion over a four-year period from 2005 to 2008. These surveys indicate that the migration along the central axis varies from year to year and appears to be in the opposite direction between the Oct 2005 and Feb 2007 surveys. Ref. [33] showed that, in the interim between the 2005 and the 2007 surveys, a new inter-field sand wave crest appeared, and the neighboring crests migrated in directions consistent with the accommodation of the new crest (away from the new crest). Then, between the 2007 and the 2008 survey, the new crest disappeared, and the neighboring sand waves migrated toward the vacated position of that transient crest.

4.2. Shape Asymmetry and Migration Direction

The GGSWs are generally found to exhibit shape asymmetry, with the SW-facing side of a crest steeper than the NE-facing side. The shape asymmetry is clearly illustrated in Figure 13, which zooms in on the crests labeled “A” and “B” in Figure 8a, which are extreme examples of the sand wave shape asymmetry. A best-fit sinusoidal curve is also plotted for comparison. The numbers near the bottom are the distances between adjacent crests and troughs. The distance from a crest to the trough on its the right side is approximately three times the distance to the trough on the left side of the crest. Under most circumstances, the strong shape asymmetry would indicate a high rate of migration (e.g., [22]) to the left (for the example in Figure 13), but the case here is more complex. Ref. [33] showed that the shape asymmetry remained the same in each survey even though the crest migration changed directions between surveys. This anomalous behavior was referred to as the “shape–migration” paradox. Ref. [33] offered several potential explanations for this paradoxical observation, including that the sand waves had reversed shapes and migration directions in between surveys and that these changes were undetected in-between surveys. However, this explanation seemed unlikely given the sand wave shapes in profiles measured in six surveys spanning 2004 to 2009 (Figure 9). The vast majority of the crests in all these surveys exhibited either symmetric shapes or asymmetry with the steeper face facing left (toward the SW).
Figure 13. Example of sand wave shape asymmetry from transect 3 of the 2009 survey (shown in Figure 2). The dashed red line shows a sinusoidal curve for comparison. The crest-to-trough distance on the right side of a crest is approximately three times longer than on the left side. Distance is measured from the southwestern edge of transect 3 in Figure 2.
Reversals in sand wave migration directions have been observed elsewhere (e.g., [24,25,27], but, in nearly all cases, the migration direction remained consistent with the shape asymmetry. Ref. [40] points out, however, that shape asymmetry likely indicates migration direction on a time-averaged basis and not necessarily on an instantaneous basis. For example, when considering a period in which the migration direction reverses (due to a change in hydrodynamic or meteorological forcing and the resultant sediment flux, for example), it must take some duration of time before the bedform shape evolves as a result of the sediment flux divergence to reflect the new migration direction.
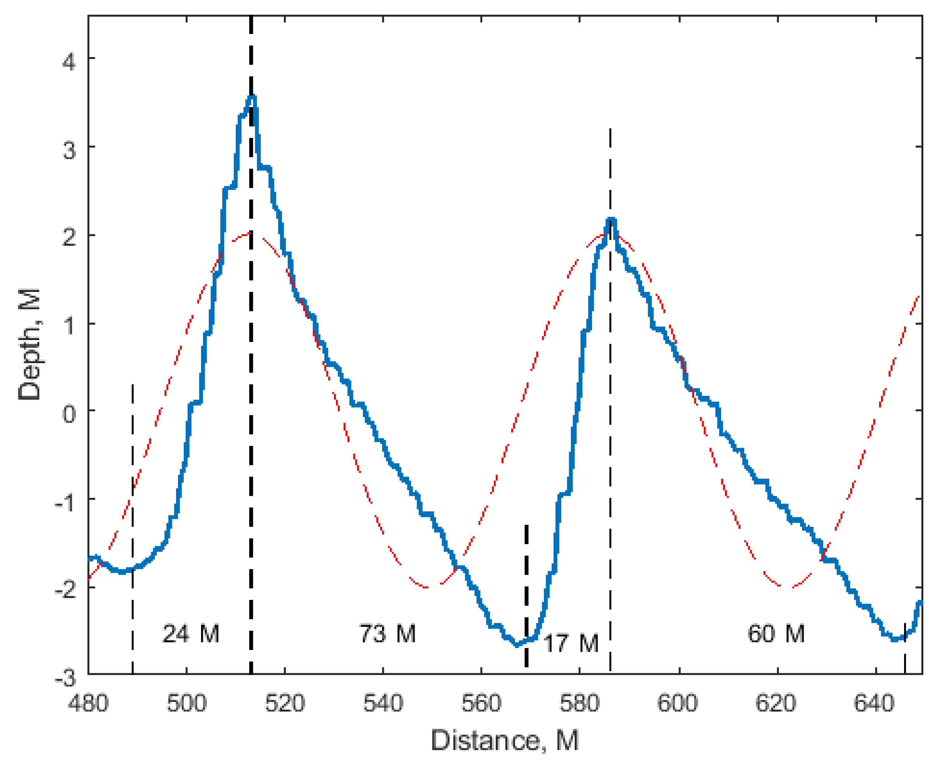
The newest survey from 2017, which covered a portion of the GGSWs, sheds new light on the shape–migration paradox. Figure 12 showed that several crests in 2017 exhibited asymmetry in the opposite direction to the previous measurement from 2009. Figure 14 shows a zoomed view of one of the sand waves that reversed its asymmetry between 2009 and 2017. In this figure, the dashed vertical lines are located at the center of the crest of each sand wave. In 2009, the side to the left of the crest was both steeper and closer to the crest than the side on the right side. The distance from the crest to the adjacent left-side trough was 17 M, but the distance from the crest to the adjacent right-side trough was 63 M. Even though the sand wave shape was more symmetric in 2017 than it was in 2009, shape asymmetry is still apparent and is in the opposite direction than previously observed. In 2017, the distance from the crest to the adjacent left-side trough was 39 M, but the distance from the crest to the adjacent right-side trough was 28 M. This was the first clear observation of a temporal reversal in sand wave shape asymmetry for the GGSWs.
Figure 14. Zoomed-in view of individual sand waves from 2009 and 2017 (from Figure 12). Distance is as in Figure 12; blue is 2017, and red is 2009. The reversal in shape asymmetry in 2017 verses 2009 is apparent.

5. Conclusions

The GGSWs, located in a highly energetic tidal environment that is challenging for field measurements, have been surveyed seven times over the period from 2004 to 2017. The sand waves have been found to be a dynamically stable field of bedforms over this time period. Some simple aspects of the size, shape, orientation, and movement of the sand waves have been described in this work. Although portions of the field are nearly two dimensional, the overall field is three dimensional, with changes in sand wave size, orientation, and structure. The trough-to-crest height ranges from 2 to 9 m. A spectral technique identified dominant wavelengths ranging from 90 to 100 m and dominant directions of 40 and 68 degrees. The individual sand wave shape asymmetry was found to be consistently in the same direction over six surveys spanning 5 years, with only one survey collected eight years later showing a reversal in shape asymmetry. This finding adds additional context to the shape–migration paradox, but a full explanation that resolves the paradox is still lacking.
It remains for future work to explain the sediment transport and overall dynamics (flow separation, three-dimensional structure, shape asymmetry, etc.) in terms of the specific hydrodynamic and meteorological forcings. Such investigations are now feasible using powerful, process-based, numerical models (e.g., [41]). Due to the high cost and difficult logistics of conducting repeated surveys, a modeling approach would be a more feasible approach for additional investigations of the shape–migration paradox.

Funding

This work was supported by U.S. National Science Foundation award number 2130977. Additional support was provided by a donor who wishes to remain anonymous.

Data Availability Statement

The 2009 survey is from Hydrographic Survey H12112, available from the Seafloor Mapping Lab at California State University at Monterey Bay, where other surveys are also available.

Acknowledgments

The author would like to acknowledge the discussions and contributions of many colleagues, including Patrick Barnard, Edwin Elias, Li Erikson, Pat Iampietro, David Rubin, Fenneke Sterlini, and two anonymous reviewers.

Conflicts of Interest

The author declares no conflict of interest.

References

  1. Sorby, H.C. On the structures produced by the currents during the deposition of stratified rocks. Geologist 1859, II, 137–147, reprinted in Sorby on Sedimentology, 1976: A Collection of Papers from 1851 to 1908; Summerson, C.H., Ed.; Comparative Sedimentology Laboratory, University of Miami: Miami, FL, USA, 1976; pp. 26–33. [Google Scholar] [CrossRef]
  2. Van Veen, J. Sandwaves in the North Sea. Hydrogr. Rev. 1935, 12, 21–29. [Google Scholar]
  3. Boggs, S. Sand-wave fields in Taiwan strait. Geology 1974, 2, 251–253. [Google Scholar] [CrossRef]
  4. Gibson, W.M. Sandwaves in San Francisco Bay. J. Coast Geod. Surv. 1951, 4, 54–58. [Google Scholar]
  5. Xu, J.P.; Wong, F.L.; Kvitek, R.; Smith, D.P.; Paull, C.K. Sandwave migration in Monterey Submarine Canyon, Central California. Mar. Geol. 2008, 248, 193–212. [Google Scholar] [CrossRef]
  6. Hu, H.; Wei, T.; Yang, Z.; Hackney, C.R.; Parsons, D.M. Low-angle dunes in the Changjiang (Yangtze) Estuary: Flow and sediment dynamics under tidal influence. Estuar. Coast. Shelf Sci. 2018, 205, 110–122. [Google Scholar] [CrossRef]
  7. Zhou, J.Q.; Wu, Z.Y.; Zhao, D.N.; Guan, W.B.; Zhu, C.; Flemming, B. Giant sand waves on the Taiwan Banks, southern Taiwan Strait: Distribution, morphometric relationships, and hydrologic influence factors in a tide-dominated environment. Mar. Geol. 2020, 427, 106238. [Google Scholar] [CrossRef]
  8. Nemeth, A.A.; Hulscher, S.J.M.H.; de Vriend, H.J. Offshore sand wave dynamics, engineering problems and future solutions. Pipeline Gas J. 2003, 230, 67–69. [Google Scholar]
  9. Knaapen, M.A.F.; Hulscher, S.J.M.H. Regeneration of sand waves after dredging. Coast. Eng. 2002, 46, 277–289. [Google Scholar] [CrossRef]
  10. Allen, J.R.L. Sandwaves: A model of origin and internal structure. Sediment. Geol. 1980, 26, 281–328. [Google Scholar] [CrossRef]
  11. Allen, J.R.L. Simple models for the shape and symmetry of tidal sandwaves: (3) dynamically stable asymmetrical equilibrium forms without separation. Mar. Geol. 1982, 48, 321–336. [Google Scholar] [CrossRef]
  12. Nemeth, A.A.; Hulscher, S.J.M.H.; de Vriend, H.J. Modelling sand wave migration in shallow shelf seas. Cont. Shelf Res. 2002, 22, 2795–2806. [Google Scholar] [CrossRef]
  13. Nemeth, A.A.; Hulscher, S.J.M.H.; Van Damme, R.M.J. Modeling offshore sand wave evolution. Cont. Shelf Res. 2007, 27, 713–728. [Google Scholar] [CrossRef]
  14. Huntley, D.A.; Huthnance, J.M.; Collings, M.B.; Liu, C.L.; Nicholls, R.J.; Hewitson, C. Hydrodynamics and sediment dynamics of North-Sea sand waves and sand banks. Phil. Trans. Roy. Soc. 1993, 343, 461–474. [Google Scholar]
  15. Hulscher, S.J.M.H.; De Sward, H.E.; Devriend, H.J. The generation of offshore tidal sand banks and sand waves. Cont. Shelf Res. 1993, 13, 1183–1204. [Google Scholar] [CrossRef]
  16. Hanes, D.M. Recent technologies usher in new era of coastal geomorphology research. Eos Trans. AGU 2009, 90, 198–199. [Google Scholar] [CrossRef]
  17. Hulscher, S.J.M.H.; Dohmen-Janssen, C.M. Introduction to special section on Marine Sand Wave and River Dune Dynamics. J. Geophys. Res. 2005, 110, F04S01. [Google Scholar] [CrossRef]
  18. Debese, N.; Jacq, J.; Garlan, T. Extraction of sandy bedforms features through geodesic morphometry. Geomorphology 2016, 268, 82–97. [Google Scholar] [CrossRef]
  19. Damen, J.M.; van Dijk, T.A.G.P.; Hulscher, S.J.M.H. Spatially varying environmental properties controlling observed sand wave morphology. J. Geophys. Res. Earth Surf. 2018, 123, 262–280. [Google Scholar] [CrossRef]
  20. Campmans, G.H.P.; Roos, P.C.; de Vriend, H.J.; Hulscher, S.J.M.H. The influence of storms on sand wave evolution: A nonlinear idealized modeling approach. J. Geophys. Res. Earth Surf. 2018, 123, 2070–2086. [Google Scholar] [CrossRef]
  21. Barnard, P.L.; Erikson, L.H.; Elias, E.P.L.; Dartnell, P. Sediment transport patterns in the San Francisco Bay coastal system from cross-validation of bedform asymmetry and modeled residual flux. Mar. Geol. 2013, 345, 72–95. [Google Scholar] [CrossRef]
  22. Knaapen, M.A.F. Sandwave migration predictor based on shape information. J. Geophys. Res. 2005, 110, F04S11. [Google Scholar] [CrossRef]
  23. Berné, S.; Castaing, P.; Le Drezen, E.; Lericolais, G. Morphology, internal structure and reversal of asymmetry of large subtidal dunes in the Gironde lower estuary (France). J. Sediment. Petrol. 1993, 63, 780–793. [Google Scholar]
  24. Harris, P.T. Reversal of subtidal dune asymmetries caused by seasonally reversing wind-driven currents in Torres Strait, northeastern Australia. Cont. Shelf Res. 1991, 11, 655–662. [Google Scholar] [CrossRef]
  25. Hawkins, A.B.; Sebbage, M.J. The reversal of sandwaves in the British Channel. Mar. Geol. 1972, 12, M7–M9. [Google Scholar] [CrossRef]
  26. Li, Y.; Lin, M.; Jiang, W.-B. Process control of the sandwave migration in Beibu gulf of the South China Sea. J. Hydrodyn. 2011, 23, 439–446. [Google Scholar] [CrossRef]
  27. Van Landeghem, K.J.J.; Baas, J.H.; Mitchell, N.C.; Wilcockson, D.; Wheeler, A.J. Reversed sediment wave migration in the Irish Sea, NW Europe: A reappraisal of the validity of geometry-based predictive modelling and assumptions. Mar. Geol. 2012, 295, 95–112. [Google Scholar] [CrossRef]
  28. Kubicki, A.; Klosters, F.; Bartholoma, A. Dune convergence/divergence controlled by residual current vortices in the Jade tidal channel, southeastern North Sea. Geo Mar. Lett. 2017, 37, 47–58. [Google Scholar] [CrossRef]
  29. Wang, Z.L.; Liank, B.C.; Wu, G.X.; Borsje, B.W. Modeling the formation and migration of sand waves: The role of tidal forcing, sediment size, and bed slope effects. Cont. Shelf Res. 2019, 190, 103986. [Google Scholar] [CrossRef]
  30. Rubin, D.M.; McCulloch, D.S. Single and superimposed bedforms: A synthesis of San Francisco Bay and flume observations. Sediment. Geol. 1980, 26, 207–231. [Google Scholar] [CrossRef]
  31. Barnard, P.; Hanes, D.M.; Rubin, D.M.; Kvitek, R.G. Giant sandwaves at the mouth of San Francisco Bay. Eos Trans. AGU 2006, 87, 285. [Google Scholar] [CrossRef]
  32. Sterlini, F.; Hulscher, S.J.M.H.; Hanes, D.M. Simulating and understanding sand wave variation: A case study of the Golden Gate sand waves. J. Geophys. Res. 2009, 114, F02007. [Google Scholar] [CrossRef]
  33. Hanes, D.M. The genesis of an inter-field marine sandwave and the associated anti-asymmetry migration of neighboring crests. Geophys. Res. Lett. 2012, 39, L04402. [Google Scholar] [CrossRef]
  34. Beauducel, F. DEM: Shaded Relief Image Plot (Digital Elevation Model). MATLAB Central File Exchange. 2024. Available online: https://www.mathworks.com/matlabcentral/fileexchange/36380-dem-shaded-relief-image-plot-digital-elevation-model (accessed on 1 January 2024).
  35. NOAA. Descriptive Report, Hydrographic Survey H12112; National Oceanic and Atmospheric Administration: Washington, DC, USA, 2010. [Google Scholar]
  36. Huntley, D.A.; Coco, G.; Bryan, K.R.; Murray, A.B. Influences of “defects” on sorted bedform dynamics. Geophys. Res. Lett. 2008, 35, L02601. [Google Scholar] [CrossRef]
  37. Davis, J.P.; Walker, D.J.; Townsend, M.; Young, I.R. Wave-formed sediment ripples: Transient analysis of ripple spectral development. J. Geoph. Res Oceans 2004, 109, C07020. [Google Scholar] [CrossRef]
  38. Lefebvre, A.; Ernstsen, V.B.; Winter, C. Bedform characterization through spectral analysis. J. Coastal Res. 2011, 781–785. [Google Scholar]
  39. Nelson, T.R.; Voulgaris, G. A spectral model for estimating temporal and spatial evolution of rippled seabeds. Ocean Dyn. 2014, 65, 155–171. [Google Scholar] [CrossRef]
  40. Durand, N.; Tassi, P.; Blanpain, O.; Lefebvre, A. Meteorological Conditions Influence the Evolution of a Marine Dune Field in the Southern North Sea. J. Geoph. Res. Earth Sci. 2025, 130, e2024JF007731. [Google Scholar] [CrossRef]
  41. Lefebvre, A.; Cisneros, J. The influence of dune lees side shape on time-averaged velocities and turbulence. Earth Surf. Dyn. 2023, 11, 575–591. [Google Scholar] [CrossRef]
Disclaimer/Publisher’s Note: The statements, opinions and data contained in all publications are solely those of the individual author(s) and contributor(s) and not of MDPI and/or the editor(s). MDPI and/or the editor(s) disclaim responsibility for any injury to people or property resulting from any ideas, methods, instructions or products referred to in the content.

Article Metrics

Citations

Article Access Statistics

Multiple requests from the same IP address are counted as one view.