Next Article in Journal
Review of Nano- and Micro- Indentation Tests for Rocks
Previous Article in Journal
Shale Oil T2 Spectrum Inversion Method Based on Autoencoder and Fourier Transform
Previous Article in Special Issue
Short-Term Geomorphological Changes of the Sabato River (Southern Italy)
 
 
Due to scheduled maintenance work on our servers, there may be short service disruptions on this website between 11:00 and 12:00 CEST on March 28th.
Font Type:
Arial Georgia Verdana
Font Size:
Aa Aa Aa
Line Spacing:
Column Width:
Background:
Article

Seven Decades of River Change: Sediment Dynamics in the Diable River, Quebec

1
Institute of Environmental Sciences, University of Quebec at Montreal, Montreal, QC H3C 3P8, Canada
2
Department of Geography, University of Quebec at Montreal, Montreal, QC H3C 3P8, Canada
3
Department of History and Geography, University of Moncton, Moncton, NB E1A 3E9, Canada
*
Author to whom correspondence should be addressed.
Geosciences 2025, 15(10), 388; https://doi.org/10.3390/geosciences15100388
Submission received: 14 July 2025 / Revised: 2 September 2025 / Accepted: 29 September 2025 / Published: 4 October 2025

Abstract

This study reconstructs seven decades (1949–2019) of morphodynamic changes and sediment dynamics in the Diable River (Québec, Canada) using nine series of aerial photographs, a high-resolution LiDAR Digital Elevation Model (2021), and grain-size analysis. The objectives were to document long-term river evolution, quantify erosion and deposition, and evaluate sediment connectivity between eroding sandy bluffs and depositional zones. Planform analysis and sediment budgets derived from DEMs of Difference (DoD) reveal an oscillatory trajectory characterized by alternating phases of sediment export and temporary stabilization, rather than a simple trend of degradation or aggradation. The most dynamic interval (1980–2001) was marked by widespread meander migration and the largest net export (−142.5 m3/km/year), whereas the 2001–2007 interval showed net storage (+70.8 m3/km/year) and short-term geomorphic recovery. More recent floods (2017, 2019; 20–50-year return periods) induced localized but persistent sediment loss, underlining the structuring role of extreme events. Grain-size results indicate partial connectivity: coarse fractions tend to remain in local depositional features, while finer sediments are preferentially exported downstream. These findings emphasize the geomorphic value of temporary sediment sinks (bars, beaches) and highlight the need for adaptive river management strategies that integrate sediment budgets and local knowledge into floodplain governance.

1. Introduction

Rivers are dynamic systems that evolve continuously through the interplay of natural forces and human activities [1,2]. Their morphology responds to various drivers, including climatic shifts, sediment dynamics, hydrological fluctuations, and engineered alterations to flow regimes, all of which influence channel geometry and fluvial structure [3,4]. Gaining insight into these transformations is essential for anticipating flood behavior, assessing geomorphic stability, and informing restoration strategies aimed at ecological and social resilience [5,6,7].
A central concept in this regard is the internal functioning of river systems, which refers to the balance between sediment inputs, outputs, and storage that determines their morphodynamic behavior. A sediment budget provides a quantitative framework to analyze this internal functioning [8,9], measuring how sediments are mobilized, routed, and retained across spatial and temporal scales [10]. Sediment budgets also serve as a diagnostic tool for evaluating morphodynamic responses to both climatic variability and anthropogenic pressure [11,12]. Inputs generally include upstream fluxes, lateral erosion, and hillslope processes; outputs correspond to sediment export to downstream sections or depositional basins; and storage encompasses materials retained within channels, bars, floodplains, and other sediment sinks.
Over the past two decades, innovations in spatial technologies have greatly improved reconstructions of riverine change. Archival maps, aerial photographs, and satellite imagery combined with GIS allow detailed analyses of channel evolution, including bank erosion, channel migration, and planform adjustment [13,14,15]. These methods contribute directly to risk assessments and inform floodplain planning by highlighting patterns of geomorphic instability [16]. In parallel, high-resolution techniques such as Unmanned Aerial Vehicle (UAV)-based photogrammetry [17], Light Detection and Ranging (LiDAR)-derived Digital Elevation Models (DEMs) [18,19], and specialized toolkits like RivMAP [20] and Digital Shoreline Analysis System (DSAS) [21] have expanded the capacity to quantify volumetric change, model surface dynamics, and project future adjustments [22,23].
Building on these methodological advancements, this study focuses on the Diable River in southern Québec, Canada, a cold-temperate, sandy-bed stream flowing through a mountainous, protected landscape. Its downstream reach, the only segment crossing agricultural land dominated by pasture and hay production, has been impacted by recent major floods (2017, 2019) yet has never been analyzed through a quantitative sediment budget, reinforcing its relevance as a representative case study. Long-term data on channel evolution remain limited in this system, underscoring the need for a 70-year perspective (1949–2019) combining historical aerial imagery and recent high-resolution LiDAR data (2021). Specifically, this research aims to: (1) reconstruct the river’s morphodynamic history across seven decades; (2) quantify spatial patterns and volumes of erosion and deposition; and (3) evaluate sediment connectivity by linking sediment sources (sandy bluffs) with depositional sinks (beaches), to derive geomorphic implications for adaptive river management.

2. Materials and Methods

2.1. Study Area Description

The Diable River flows through southern Quebec, Canada, in a region governed by a humid continental climate (Dfb) as defined by the Köppen classification [24]. The Diable River follows a nivo-pluvial hydrological regime, typical of mid-elevation forested watersheds in southern Québec. Its average annual discharge is approximately 30 m3/s, but the river experiences severe spring floods driven by rapid snowmelt. During these events, peak flows often exceed 150 m3/s and can occasionally surpass 200 m3/s. In contrast, low-flow periods occur in mid-winter (February), when precipitation is locked as snow, and again in late summer (August) due to high evapotranspiration and falling groundwater levels. Precipitation is distributed evenly across the seasons, averaging around 1201 mm annually, while the mean annual temperature hovers near +4.4 °C. Geographically, the river traverses parts of the Lanaudière and Laurentides administrative regions (Figure 1), beginning its course at Lac du Diable, a 2.5 km-long lake situated within the territory of Lac-Legendre, in the Matawinie Regional County Municipality. From this headwater, the Diable River flows for about 82 km through varied terrain before joining the Rouge River, draining a catchment of approximately 1163 km2 (Figure 1).
A significant portion of the river’s length runs through Mont-Tremblant National Park. This mountainous protected area encompasses more than 400 lakes, a dense network of tributaries, and six major river systems. In its upper stretches, the Diable meanders through predominantly forested landscapes, where visible signs of channel erosion remain scarce. This stability continues through the central portion of the watershed, including the nearby village sector, where the riverbanks still retain much of their natural structure and show limited evidence of human disturbance.
Conditions change markedly in the lower section of the river, especially just upstream of its confluence with the Rouge River. Here, signs of fluvial erosion and active sediment deposition become more pronounced, reflecting increased lateral channel migration. This downstream segment stands out as the only portion of the Diable watershed that passes through agricultural land, contrasting sharply with the otherwise forest-dominated basin (Figure 1). Land use in this corridor is dominated by pasture and hay production, making it distinct from the largely forested upstream and park sections. A diagnostic evaluation conducted more than a decade ago documented erosion-related concerns in this agricultural reach [25], although it did not provide a quantitative assessment of morphodynamic processes. The specific study area analyzed in this project corresponds to this downstream corridor, a roughly 12 km-long meandering reach identified as the most dynamic portion of the Diable watershed in terms of lateral channel mobility and sediment redistribution [25]. Hydrological records further highlight the significance of recent flood events, with the 2017 flood corresponding to an estimated 20-year recurrence interval, and the 2019 flood approaching a 50-year event. These benchmarks provide valuable reference points for interpreting the morphodynamic changes documented over the 70-year analysis period. However, long-term hydrological data remain scarce for the Diable River. Existing records from nearby rivers are difficult to transpose reliably because of differences in watershed size, physiography, and regulation effects. For this reason, only the 2009–2025 period could be analyzed in detail, based on the newly established hydrometric station (040238; 46.1141° N, 74.6014° W) located immediately upstream of our study reach.
Understanding the river’s geomorphological trajectory required a combination of complementary methods, drawing on historical imagery, quantitative sediment analysis, and high-resolution elevation data. Each component provided a distinct lens on channel changes and sediment dynamics.

2.2. Planform Analysis of Historical Channel Changes (2D)

To reconstruct the morphological evolution of the Diable River (1949–2019), we compiled nine series of aerial photographs from UQAM’s physical archives and Geoindex database, complemented by a LiDAR DEM (2021, 1 m resolution) from the Ministry of Transportation of Quebec for orthorectification and validation (Table 1). Earlier images (1949–1980) were scanned for prints, whereas later ones (2001–2019) were available as digital files. All images were orthorectified in CATALYST 3.2 and ArcGIS Pro 3.5, using ground control points (GCPs) from field surveys and high-resolution remote sensing. In periods with limited built structures, stable features such as bedrock outcrops, bridge abutments, and road intersections served as reference points. This georeferencing ensured high spatial accuracy for diachronic comparisons.
The orthorectification process followed three steps: (1) interior orientation using fiducial marks and camera calibration data; (2) exterior orientation refined through tie points and block adjustments; and (3) georeferencing, with GCPs and LiDAR-derived DEM to correct the relied displacement and align images to real-world coordinates. This approach ensured high spatial accuracy, allowing robust diachronic comparisons of channel changes.
Using the orthorectified images, we digitized the channel outlines and extracted planform metrics across multiple time intervals. Key parameters such as average channel width measured at 100 m intervals, total channel length, and the sinuosity index (SI) were calculated to quantify planform changes over time. The SI, a metric describing the degree of meandering [26], was calculated as:
SI = L/D,
where L is the channel length and D is the straight-line distance between endpoints. Here, L corresponds to the midline (talweg) distance of the channel, following the approach of Mueller [26]. SI values range from 1 (straight channel) to infinity, with higher values indicating greater sinuosity. The 2D analysis allowed us to detect lateral shifts in the river course and map zones of apparent erosion or deposition through time.

2.3. Volumetric Analysis and Sediment Budget Calculation (3D)

To complement the planform analysis, we performed a volumetric assessment of erosion and deposition using Historical Structure from Motion (HSfM). Historical aerial photographs were processed with fiducial marks and calibration reports in CATALYST and ArcGIS Pro [27], generating DEMs for each survey year. These DESMs were co-registered to the 2021 LiDAR DEM (1 m resolution) using the Nuth & Kääb (2011) method [28]. Vertical uncertainties from LiDAR (±0.15 m Root Mean Square Error, RMSE) and orthorectification errors from historical imagery were propagated to define a minimum level of detection (LoD). Only elevation changes above this threshold were retained in the DEMs of Difference (DoDs). To avoid bias, disconnected oxbows were excluded from the analysis to prevent overestimation of sediment storage.
Surface differencing techniques (DEM of Difference, or DoD) [29] were applied across five key time intervals: 1949–1966, 1966–1980, 1980–2001, 2001–2007, and 2007–2019. For each period, elevation models were subtracted to generate raster surfaces highlighting areas of erosion (negative changes) and deposition (positive changes). These surfaces were mapped and converted into polygons corresponding to morphological change zones, from which volumes of sediment change were computed for each polygon using:
ΔV = Va − Ve,
where Va is the accumulated sediment volume and Ve is the eroded volume. This calculation accounts for both vertical changes (bed incision or aggradation) and, indirectly, for lateral shifts when coupled with planform data (bank migration resulting from the mobility of the river’s channel). In practice, however, because DEMs derived from historical aerial imagery represent Digital Surface Models (DSMs) including vegetation and lack bathymetric information, DoD outputs primarily capture floodplain and bank adjustments rather than submerged channel-bed dynamics.
The net sediment budget (ΔSB) was calculated as:
Δ SB   = 1 = 1 n V a i = 1 n V e
where n is the number of years in each interval.
Because the time intervals vary in length (ranging from 6 to 21 years), we reported results as: (i) cumulative sediment volumes (in m3), which indicate the total magnitude of geomorphic change; (ii) annualized rates (in mm/year), which account for the differing duration of each interval; and (iii) standardized rates per channel length (in m3/km/year), providing a normalized metric for cross-period comparison of geomorphic activity. This 3D analysis is particularly relevant in the Diable River because several eroding banks consist of steep sandy bluffs, several meters high, that can release large quantities of sediment when destabilized.

2.4. Grain-Size Analysis

A total of 32 sediment samples were collected during field surveys from key erosion sources (e.g., steep sandy banks with freshly eroded faces) and depositional environments (e.g., point bars and beaches) along the Diable River. Samples were collected from the upper 0–20 cm of surface material, following standard protocols, to capture the most mobile sediment fraction of the bed and bank. Laboratory analyses were performed to determine grain-size distributions using the Folk and Ward (1957) method [30] through dry-sieve analysis with a calibrated column of sieves (4 mm to 63 µm), ensuring reproducibility across samples. Statistical parameters, including mean, standard deviation, skewness, and kurtosis, were calculated, along with percentile-based indices (D90, D75, D25, D10) and their ratios (e.g., D90/D10, D75/D25). Percentile ratios were preferred over central tendency metrics (e.g., D50, D84) because they better capture contrasts in sorting and selective transport, which are particularly relevant in sandy systems with partial sediment connectivity. These data provide insights into grain-size selectivity and the transfer dynamics between upstream sources and downstream sinks.

3. Results

The Diable River has undergone substantial morphological transformations over the past seven decades. The results presented here reveal spatial and temporal variations in lateral mobility, sediment budgets, and elevation changes that reflect the river’s complex adjustment processes.

3.1. River Planform Dynamics (2D Analysis of Mobility and Geometry)

Over the past seven decades, the Diable River has experienced significant morphological changes, as reflected in variations in channel sinuosity and average width (Table 2). Across all years analyzed, the sinuosity index remained above 2.0 (mean SI of 2.32), confirming a consistently meandering planform with localized but recurrent phases of adjustment. Notably, 1969 recorded a sharp increase in both sinuosity and average width, suggesting a major erosional episode, while another peak in average channel width occurred in 2014, associated with one of the highest sinuosity values observed since 2001 (Table 2).
Despite differences in the length of observation intervals (6 to 21 years), the overall pattern points to a persistent geomorphic dynamism, even in the absence of significant land use change in this downstream reach. The mean channel width across all years was 36.91 m, with considerable local variability. Spatial analysis of planform changes across the five intervals (1949–1966, 1966–1980, 1980–2001, 2001–2007, and 2007–2019) reveals a discontinuous and shifting distribution of erosion and deposition zones along the river corridor (Figure 2), consistent with non-linear channel evolution.
The 1949–1966 period showed moderate activity, with typical meander migration and a spatial balance between erosion and deposition, reflecting relatively stable lateral dynamics (Figure 2a). The average channel width and sinuosity index are consistent with a well-developed meandering pattern. By contrast, 1966–1980 displayed narrower widths and lower sinuosity, indicating a temporary contraction of lateral mobility, with only minor localized changes (Figure 2b).
Between 1980 and 2001, lateral activity intensified sharply, with widespread cutbank erosion and point-bar accretion (Figure 2c). The average channel width increased to 37.2 m, and sinuosity rose to 2.25 (Table 2), marking the most dynamic interval of the record.
In 2001–2007, the channel appeared more stable despite a high sinuosity (2.45). Width remained relatively high (35.3 m; Table 2), but the predominance of accumulation suggests localized deposition rather than active meander migration (Figure 2d).
The 2007–2019 interval is characterized by moderate adjustments, maximum widths in 2014 (43.85 m) before narrowing in 2019 (37.82 m) (Table 2). Sinuosity remained relatively stable throughout this period, fluctuating around 2.40 (2.45 in 2007, 2.38 in 2014, and 2.41 in 2019; Table 2). Spatial patterns also shift, with erosion becoming more prominent in the upper reaches, while sediment deposition dominates downstream (Figure 2e).
Overall, the spatial distribution of erosion and deposition along the Diable River reveals no clear upstream-downstream gradient over the seven-decade period. Instead, lateral adjustments are concentrated around actively migrating meanders, with the most intense planform activity during the 1980–2001 period and more localized changes thereafter. While planform 2D analysis captures the timing and distribution of lateral mobility, it does not quantify vertical sediment storage or the net balance of erosion and deposition. These limitations motivate the complementary 3D DoD analysis presented in the next section.
Figure 2 illustrates these changes through a series of erosion-accumulation maps for each period, allowing visual comparison of spatial dynamics. While lateral changes are not always directly proportional to sediment volumes gained or lost (as shown in the following Section 3.2), these patterns provide key insights into the morphological behavior, mobility, and sediment redistribution of the river system.

3.2. Sediment Budgets and Volumetric Changes (3D LiDAR-Based Analysis)

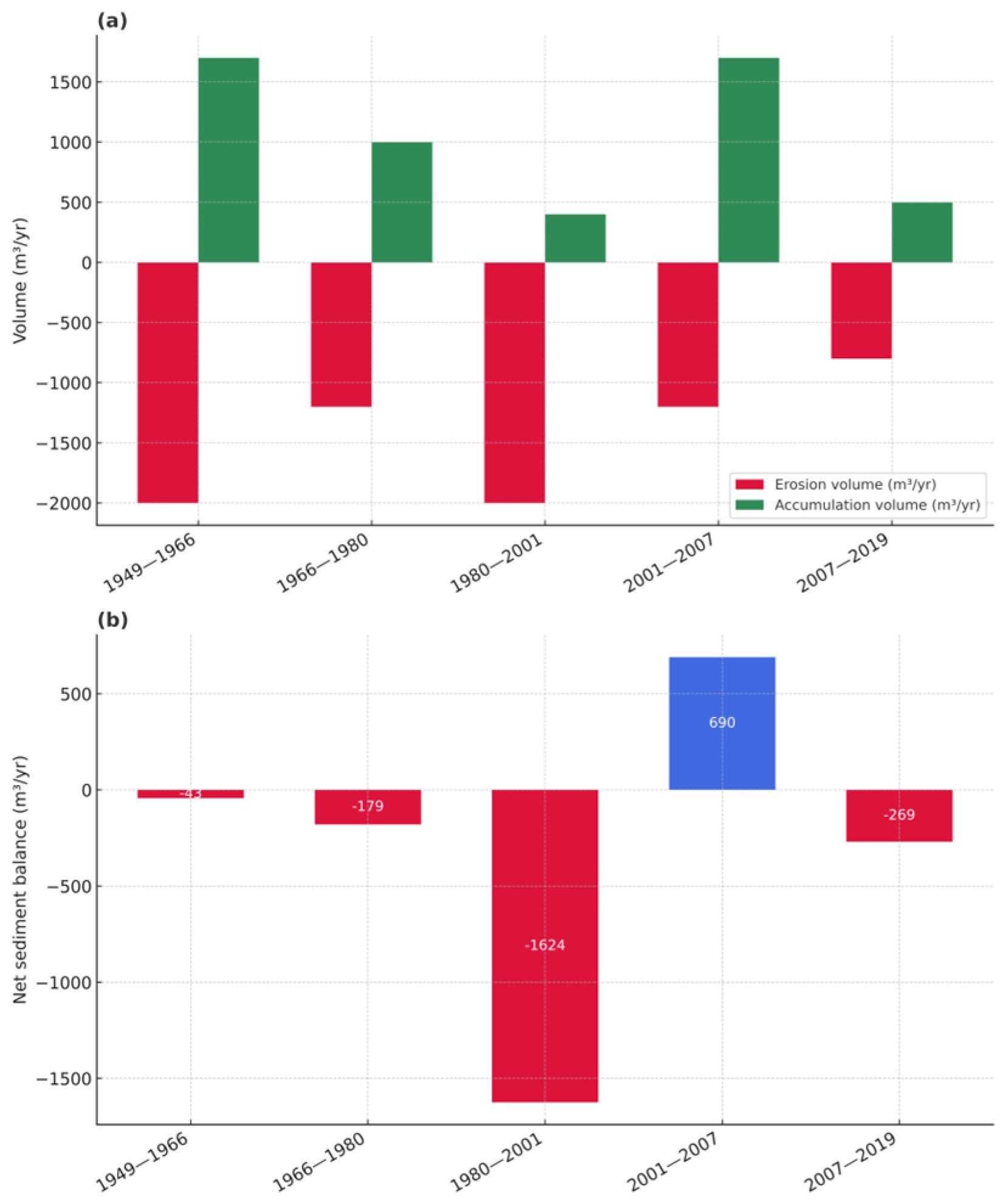
We quantified volumetric sediment dynamics using LiDAR-derived DEMs and DoD analysis across five key intervals: 1949–1966, 1966–1980, 1980–2001, 2001–2007, and 2007–2019. The results (Figure 3; Table 3) highlight strong contrasts in erosion, deposition, and net sediment balance that are not always apparent from planform analysis and metrics alone. Figure 3a shows annual erosion and deposition volumes, while Figure 3b presents the net sediment balance, distinguishing between gross sediment fluxes and net outcomes.
The 1949–1966 interval shows moderate sediment activity, with erosion (8.9 mm/year) and deposition (6.4 mm/year). The net sediment loss (~31,000 m3; 124 m3/km/year) indicates moderate lateral and vertical adjustments within an otherwise stable meandering system (Figure 3).
The 1966–1980 period displays relatively balanced dynamics, with erosion and accumulation rates of 10.5 mm/year and 9.9 mm/year, respectively. The net sediment loss (~16,666 m3) translates to an erosion rate of 86.4 m3/km/year. These values suggest steady geomorphic activity with limited lateral adjustments.
The 1980–2001 interval represents the most dynamic erosional phase in the record (Figure 3a). The vertical erosion rate reached 9.2 mm/year, and volumetric export was the highest (142.5 m3/km/year), with a net sediment loss exceeding 42,500 m3 (Figure 3b). Deposition rates declined sharply (4.6 mm/year), contributing to a pronounced sediment imbalance and a period of enhanced lateral migration and channel widening.
In 2001–2007, both erosion (17.2 mm/year) and deposition (10.6 mm/year) peaked, producing intense sediment turnover but only limited net loss (~6544 m3; 70.8 m3/km/year) (Figure 3b; Table 3). Spatially, accumulation was concentrated downstream while erosion remained localized upstream, suggesting a short-lived phase of geomorphic recovery.
The 2007–2019 interval shows reduced but persistent sediment export loss (~8990 m3; 47.0 m3/km/year) (Figure 3; Table 3), with erosion (6.0 mm/year) lower than deposition (8.6 mm/year). This reflects localized adjustments and a return to more moderate levels of channel activity.
Together, these results emphasize that volumetric analysis captures both extreme erosional phases (1980–2001) and transient recovery periods (2001–2007), demonstrating the added value of 3D DoD methods for understanding sediment dynamics beyond planform observations (Table 3).

3.3. Sediment Connectivity Between Erosion and Deposition Zones

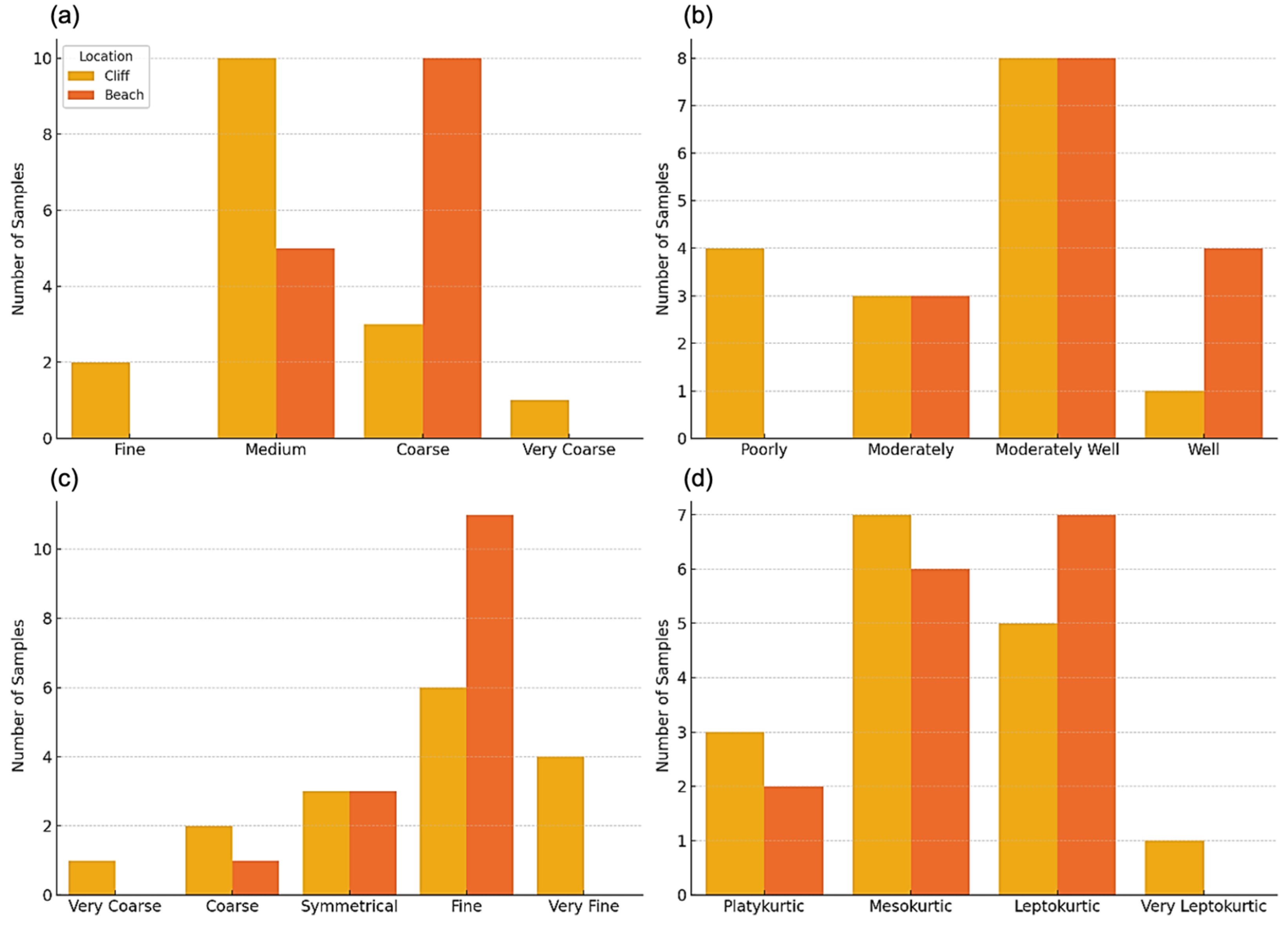
To evaluate sediment connectivity along the Diable River, we compared grain-size distributions between samples collected on steep sandy bluffs (erosion sources) and nearby depositional zones (beaches). Paired sampling at 15 locations along the river corridor provided a framework to assess downstream transfer based on particle-size characteristics and statistical parameters.
The analysis confirms that sediments are predominantly sandy, ranging from fine to very coarse sand. However, systematic differences emerged between bluff and beach materials. As shown in Figure 4a, bluffs are mainly composed of medium to coarse sand, while beaches tend to concentrate coarser fractions, particularly in the middle and downstream reaches. Sorting patterns (Figure 4b) reveal greater variability and poorer sorting in bluff samples, consistent with heterogeneous releases during bank collapse. In contrast, beach deposits are predominantly moderately well to well sorted, reflecting selective transport and hydrodynamic sorting.
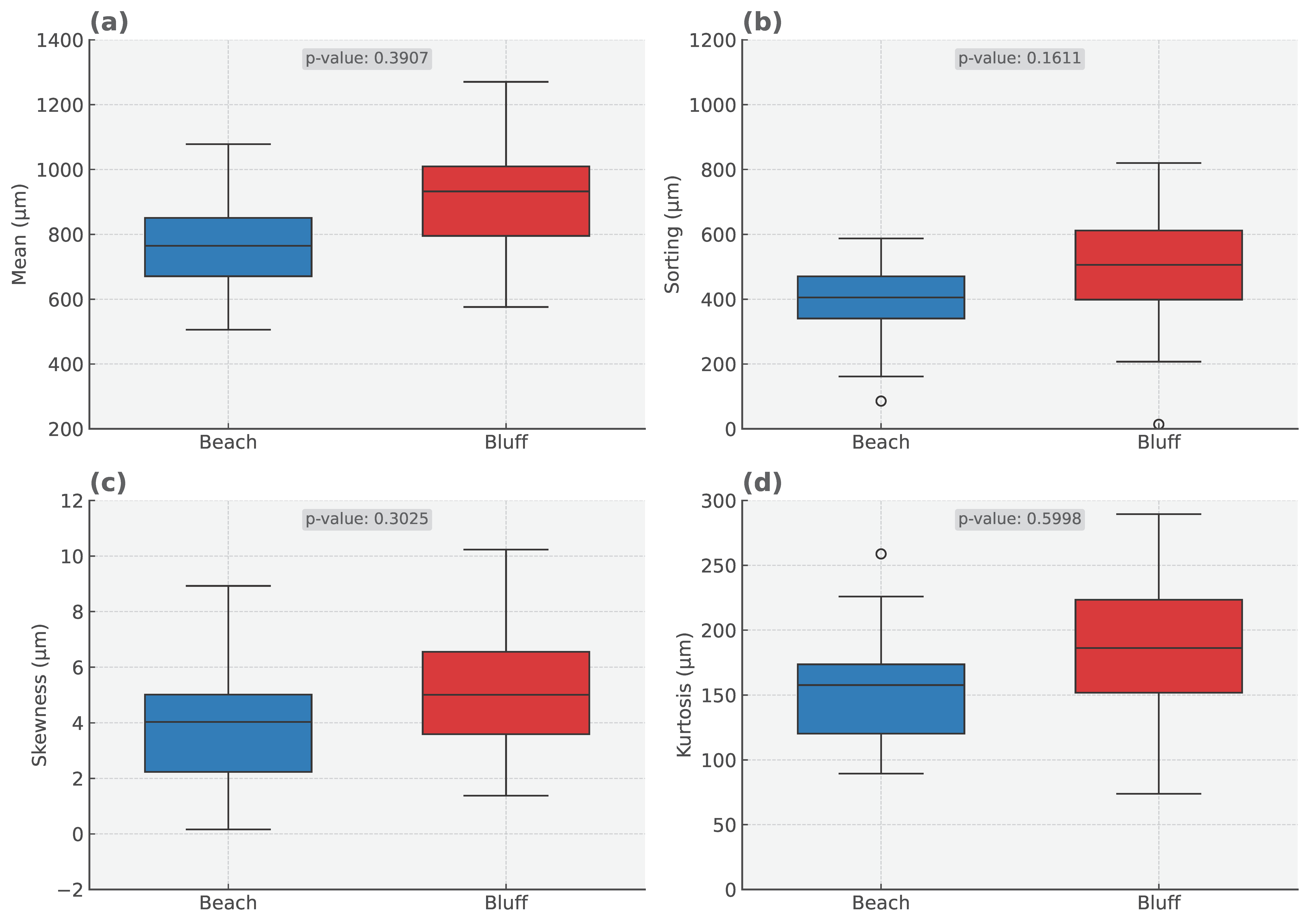
While bluffs show higher variability across several parameters (Figure 4), no statistically significant differences were detected (all p-values > 0.16). This reinforces the view that contrasts in sediment behavior emerge more clearly from paired analyses and grain-size ratios than from global statistical descriptors. Skewness and kurtosis further highlight sediment differentiation (Figure 4c,d): bluffs frequently show fine to very fine skewness (higher proportion of fines) and meso- to platykurtic distributions, whereas beaches show mainly fine skewness with narrower, leptokurtic distributions.
To further assess potential relationships among granulometric descriptors, bivariate comparisons were conducted across all samples, comparing combinations of mean grain size, sorting, skewness, and kurtosis (see Appendix A.1 and Appendix A.2, Figure A1 and Figure A2). Table 4 summarizes descriptive statistics (mean, sorting, skewness, kurtosis) for all bluff and beach samples. Although no significant correlations were found among granulometric descriptors (all p-values > 0.16), these values provide a reference baseline for comparing source and sink material.

Grain-Size Ratios and Implications for Sorting and Sediment Transfer

Beyond qualitative classification, sediment connectivity was further assessed through granulometric ratios (D90/D10, D75/D25), which measure the spread between the coarsest and finest fractions, with higher values indicating a wider grain-size distribution and poorer sorting. In general, bluff samples exhibited higher D90/D10 and D75/D25 ratios than paired beach samples (Figure 5), confirming that eroded material is more heterogeneous. Conversely, lower D90/D10 and D75/D25 ratios in beach samples indicate better sorting, with most particles falling within a narrower size range (Figure 5).
A particularly informative result concerns the comparison of D90 values: in many cases, D90 was greater on beaches than on bluffs, indicating that coarser fractions are effectively transferred downstream and deposited in accumulation zones. Conversely, higher D10 values on bluffs suggest that finer particles are less likely to be deposited locally. This pattern supports the interpretation of partial but effective downstream connectivity, where coarse particles are selectively retained while finer material is preferentially exported further downstream.
These analyses reveal systematic though subtle differences between erosion sources and depositional environments, reinforcing the role of selective transport in shaping sediment connectivity along the Diable River. These findings are explored in greater detail in the Discussion section.

4. Discussion

The Diable River’s geomorphic trajectory over the past seven decades reflects alternating phases of sediment export and storage, modulated by flood events and internal geomorphic thresholds. This discussion examines their spatial and temporal dynamics and highlights their relevance for sediment connectivity and adaptive management.

4.1. A Dynamic Fluvial System Shaped by Alternating Phases of Activity and Stabilization

Over the past seven decades, the Diable River has exhibited a non-linear geomorphic evolution marked by alternating periods of relative stability and increased channel activity (Figure 6). The planform metrics (Section 3.1) show variations in sinuosity ranging from 2.06 to 2.45, and average channel width from 32.57 to 43.85 m, with peaks in 1969 and 2014. However, these metrics alone do not fully capture the river’s dynamism. Volumetric analysis from LiDAR-based DoD (Section 3.2) provides a clearer picture of sediment fluxes and storage. This approach aligns with recent efforts to quantify riverbank erosion and sediment budgets using historical imagery and LiDAR data [31], offering a robust basis for long-term river monitoring [32]. Similar methods have also been applied in cold-temperate rivers using sequential LiDAR and historical aerial photographs [18,31], demonstrating their reliability for quantifying erosion and sediment fluxes in sandy-bed rivers. Similar long-term approaches, e.g., [33,34,35], confirm that combining planform and volumetric perspectives is particularly effective for detecting hidden phases of geomorphic instability.
The 1980–2001 interval stands out as the most erosive phase, with a total sediment loss of −42,568 m3 and the highest net sediment export rate (−142.5 m3/km/year). This period reflects widespread lateral instability, high meander mobility, and cutbank erosion, consistent with intense planform adjustments.
In contrast, the 2001–2007 period recorded the highest vertical erosion rate (17.2 mm/year) together with substantial deposition (10.6 mm/year) (Figure 6). Despite these high turnover rates, the net sediment loss was modest (−6544 m3), and the standardized balance was positive (+70.8 m3/km/year). This indicates a phase of intense sediment recycling and temporary geomorphic recovery.
Earlier periods (1949–1966 and 1966–1980) show relatively balanced erosion and deposition (8.9/6.4 mm/year and 10.5/9.9 mm/year, respectively), pointing to persistent but lower-magnitude geomorphic activity (Figure 6). Finally, the most recent period (2007–2019) was marked by lower vertical erosion (6.0 mm/year) but continued net sediment export (−47.0 m3/km/year), suggesting localized adjustments following earlier disturbances.
These results highlight that the Diable River does not follow a linear trajectory of degradation or aggradation but oscillates between phases of disequilibrium and partial re-stabilization, shaped by both internal geomorphic thresholds and external hydrometeorological events. This oscillatory behavior echoes broader conceptualizations of river trajectories, where alternating phases of instability and re-stabilization are seen as intrinsic to fluvial systems [6,23]. Such alternating cycles of export and storage have also been observed in other temperate rivers [11,33,34], highlighting the broader relevance of this dynamic behavior.

4.2. Flood Events as Key Drivers of Sedimentary Transitions

Flood events have played a pivotal role in shaping the sedimentary regime of the Diable River, acting as primary triggers for both erosion and deposition. Among the five historical intervals, the 1980–2001 period stands out with multiple high-magnitude floods (e.g., 1995, 1996, 1997), coinciding with the largest volumetric sediment loss (−42,568 m3). Despite only moderate vertical erosion (9.2 mm/year), this prolonged erosive phase reflects the cumulative impact of successive high-energy events, which mobilized large sediment volumes through bluff failure and channel widening. The corresponding net export (−142.5 m3/km/year) further illustrates the intensity and persistence of these flood-driven processes.
By contrast, the 2001–2007 period illustrates a distinct post-flood recovery phase. This is the only interval with a net positive sediment budget (+70.8 m3/km/year), marked by both high accumulation (10.6 mm/year) and the highest vertical erosion rate (17.2 mm/year). Deposition clustered in point bars and inner meanders, suggesting stabilization in lower-energy zones, potentially reinforced by reduced peak discharges and increasing riparian vegetation. The subsequent period (2007–2019) featured lower erosion (6.0 mm/year) and a moderate net export (−47.0 m3/km/year).
Hydrograph data from station 040238 (2009–2025; Figure 7) provide direct evidence of the flood regime during this interval: the 2011 event reached ~160 m3/s, while the 2017 and 2019 floods exceeded 200 m3/s, with 2019 peaking above 230 m3/s (approximately a 50-year recurrence interval). More recent events (2023–2024) generated moderate floods (150–190 m3/s), highlighting ongoing but less extreme disturbances. These peaks appear to have induced localized erosion such as bank undercutting rather than broad planform migration, explaining the moderate sediment export observed in this period.
Overall, the comparison of flood-linked intervals highlights the varied geomorphic responses to hydrological forcing. Similar patterns of flood-driven sediment dynamics have been reported in temperate rivers worldwide [6,32], emphasizing the influence of extreme events on sediment budgets and channel morphology. The integration of recent discharge records confirms that the Diable River’s sedimentary response is strongly conditioned by flood magnitude and frequency, with major floods (2017, 2019) acting as turning points in its morphodynamic trajectory, while intermediate floods (2011, 2023–2024) contributed to adjustments without major geomorphic reorganization. Comparable flood-driven sediment exports have also been observed in temperate and cryosphere-influenced rivers, where repeated high-magnitude events reset channel morphology [32,36].
Hydrograph data (Figure 7) provide additional insight into these dynamics. Between 2009 and 2016, peak annual discharges remained consistently below 200 m3/s, but in five of the subsequent eight years (2017–2019 and 2023–2024), peaks exceeded this threshold, with maxima ranging from 208 to 232 m3/s. This pattern may suggest emerging cycles or shifts in flood regime; however, the short observational record prevents robust conclusions. Nonetheless, the recurrence of extreme flows in recent years supports the interpretation that high-magnitude floods are increasingly structuring the river’s morphodynamic trajectory.

4.3. Sediment Connectivity and Granulometric Selectivity

The granulometric analysis of paired samples from sandy bluffs (erosion sources) and beaches (accumulation zones) provides key insights into sediment connectivity along the Diable River. Although no statistically significant differences were found when comparing global descriptors (e.g., mean, sorting, skewness, and kurtosis), grain-size ratios and spatial contrasts revealed consistent patterns: sediment transfer is selective rather than uniform.
Bluff samples, typically composed of moderately to poorly sorted medium to coarse sands, exhibited higher D90/D10 and D75/D25 ratios (Figure 5), indicating a broader grain-size distribution and a greater abundance of fines. These fine fractions reflect the unconsolidated nature of sand bluffs, which deliver heterogeneous material through bank failure, slumping, and significant biogenic activity locally ([37], Figure 4). In contrast, beach deposits were generally better sorted and more enriched in coarse sand, especially in downstream reaches. This pattern suggests that coarse fractions are preferentially trapped locally, while finer particles are transported further downstream or remain in suspension, a behavior consistent with observations in other temperate rivers where fine sediment often bypasses local storage and is redistributed downstream [35].
Such trends indicate a system with partial but functionally significant connectivity: upstream bluffs provide a wide grain-size spectrum, but only a subset (mainly coarse particles) is retained in local depositional settings. Finer particles largely bypass these zones, contributing to suspended loads and potential downstream siltation. Similar patterns of selective sediment transfer have been reported in other catchments [10], reinforcing this interpretation. Additional evidence from agricultural and human-impacted basins also confirms that selective transport and partial connectivity dominate sediment routing [10,11]. Hydraulic sorting, modulated by flow energy, bank roughness, and vegetation cover, explains these differences. Well-sorted beach deposits reflect repeated reworking under moderate-energy conditions, while the heterogeneity of bluff material mirrors stochastic, gravity-driven erosion processes.
These grain-size evidences support the view of the Diable River as a partly coupled sediment system, where connectivity operates through selective transfers. This interpretation is supported by sediment budget reconstructions in European sandy rivers [34], reviews of riverbank erosion in cold environments [35], and observations from other temperate systems [18,33]. It also aligns with recent frameworks conceptualizing connectivity as a gradient process rather than a binary state [38,39]. Standardized volumetric rates complement this interpretation by highlighting alternating phases of net sediment export and temporary storage.

4.4. Implications for River Management and Future Geomorphic Scenarios

The spatial and temporal variability of geomorphic processes in the Diable River underscores the need for adaptive, sediment-informed management strategies. Floodplain delineation, often treated as a neutral technical exercise, must be understood as a process with direct societal implications, shaping land use and local vulnerability [40]. This reinforces the importance of grounding management decisions in both geomorphic evidence and local knowledge of river dynamics.
The alternation between phases of intense erosion (1980–2001, 2007–2019) and temporary sediment recovery (2001–2007) highlights the importance of maintaining lateral accommodation space to absorb disturbances and facilitate natural recovery through deposition. Sediment sinks, such as beaches, act as temporary storage zones that buffer downstream sediment fluxes during floods. Protecting these features by limiting channelization or encroachment can enhance fluvial corridor resilience. Similarly, post-flood aggradation zones should be recognized as natural sediment traps and integrated into restoration strategies.
Sediment transfer is also highly selective: coarser fractions settle locally, while finer particles are remobilized and exported downstream. Management must therefore address these contrasting behaviors, for instance, stabilizing fine-sediment sources (e.g., vegetated banks near bluffs) to reduce turbidity, while conserving coarse-sediment deposition zones to maintain geomorphic resilience.
From a governance perspective, effective management requires bridging top-down regulatory frameworks with situated local expertise, ensuring both technical robustness and social legitimacy [41,42]. Looking ahead, climate change is likely to intensify hydrological extremes, exacerbating erosion and sediment fluxes. Proactive measures such as riparian reforestation, dynamic setback zones, and floodplain reconnection should therefore be prioritized [43]. Complementary evidence from cold-region rivers suggests that bioengineering and vegetation-based stabilization can also mitigate recurrent bluff erosion [43]. More broadly, sediment budgets provide a robust framework [8] for guiding management strategies that align with the Diable River’s geomorphic dynamics and support long-term ecological and social resilience [44].

5. Conclusions

The Diable River’s geomorphic evolution (1949–2019) reveals a system oscillating between phases of sediment export and temporary stabilization, rather than following a unidirectional trend of aggradation or degradation. Major erosional phases (e.g., 1980–2001) alternated with short-lived recovery periods (e.g., 2001–2007) and more localized adjustments in recent years, underscoring the non-linear nature of channel change.
Grain-size analyses confirm selective and partial sediment connectivity; coarse fractions are partly retained in local depositional zones, while finer sediments are preferentially exported downstream. This filtering effect illustrates the combined role of hydraulic energy and sediment properties in shaping river dynamics.
These findings stress the importance of sediment-informed management that preserves temporary storage features and maintains lateral space for adjustment. Rather than controlling fluvial dynamics, management should focus on the river’s natural oscillatory behavior, using sediment budgets as a guiding framework. Anticipated increase in flood frequency and magnitude due to climate change [36] makes such approaches especially critical. In the Québec context [45], linking sediment continuity with flood mitigation offers a practical foundation for strengthening both geomorphic resilience and community safety.

Author Contributions

Conceptualization, A.F. and D.G.; methodology, A.F. and D.G.; software, A.F.; validation, A.F., D.G. and G.F.; formal analysis, A.F. and D.G.; investigation, A.F., D.G. and G.F.; resources, D.G.; data curation, A.F.; writing—original draft preparation, A.F. and D.G.; writing—review and editing, A.F., D.G. and G.F.; visualization, A.F. and D.G.; supervision, D.G. and G.F.; project administration, D.G.; funding acquisition, D.G. All authors have read and agreed to the published version of the manuscript.

Funding

This research was funded by the Natural Sciences and Engineering Research Council of Canada, grant number RGPIN-2023-05504 to Daniel Germain.

Data Availability Statement

The data supporting the conclusions of this article will be made available by the authors on request. The historical aerial photographs can be obtained from the Geoindex database: https://geoapp.bibl.ulaval.ca/login# (accessed on 22 June 2023). The LiDAR data can be acquired from the Ministry of Transportation of Quebec database: https://www.donneesquebec.ca/recherche/dataset/produits-derives-de-base-du-lidar (accessed on 22 June 2023).

Acknowledgments

The authors would like to express their sincere gratitude to Olivier Caron and undergraduate student Laurence Prud’homme from the Department of Geography at UQAM for their valuable consultations and recommendations during the preliminary stages of data preparation and selection. Special thanks are also extended to Sylvie Trudeau, Computer Technician at the Department of Geography, UQAM, for her assistance with administrative procedures and communications related to data acquisition from government agencies. We also thank Jean-François Milot, a graduate student in the same department, for his support during the fieldwork process, and Mourad Djaballah for the improvement of Figure 1.

Conflicts of Interest

The authors declare no conflicts of interest.

Abbreviations

The following abbreviations are used in this manuscript:
DEMDigital Elevation Model
DoDDEMs of Difference
DSASDigital Shoreline Analysis System
DSMDigital Surface Model
GCPsGround Control Points
GISGeographic Information System
HSFMHistorical Structure from Motion
LiDARLight Detection and Ranging
LoD Level of Detection
SISinuosity Index
UAVUnmanned Aerial Vehicle

Appendix A

Appendix A.1

Figure A1. Boxplots comparing grains size statistics between sandy bluff and beach samples (a) Mean grain size, (b) Sorting; (c) Skewness, and (d) Kurtosis. Blue boxes represent beach, and red boxes represent bluff samples. Although beach sediments generally exhibit narrower distributions and lower variability, particularly in sorting and kurtosis, no statistically significant differences were observed between the two groups (all p-values > 0.16). These results confirm the greater heterogeneity of bluff-derived sediments but also highlight limited discriminative power of individual grain-size parameters.
Figure A1. Boxplots comparing grains size statistics between sandy bluff and beach samples (a) Mean grain size, (b) Sorting; (c) Skewness, and (d) Kurtosis. Blue boxes represent beach, and red boxes represent bluff samples. Although beach sediments generally exhibit narrower distributions and lower variability, particularly in sorting and kurtosis, no statistically significant differences were observed between the two groups (all p-values > 0.16). These results confirm the greater heterogeneity of bluff-derived sediments but also highlight limited discriminative power of individual grain-size parameters.
Geosciences 15 00388 g0a1

Appendix A.2

Figure A2. Bivariate plots comparing grain-size parameters across all samples (bluff and beach), including Mean vs. Sorting; Mean vs. Skewness; Mean vs. Kurtosis; Sorting vs. Skewness; Sorting vs. Kurtosis; and Skewness vs. Kurtosis. Blue points correspond to beach samples and red points to bluff samples, p-values are reported in each panel. No statistically significant correlations were observed, confirming the lack of strong inter-relationships among these grain-size descriptors across the dataset.
Figure A2. Bivariate plots comparing grain-size parameters across all samples (bluff and beach), including Mean vs. Sorting; Mean vs. Skewness; Mean vs. Kurtosis; Sorting vs. Skewness; Sorting vs. Kurtosis; and Skewness vs. Kurtosis. Blue points correspond to beach samples and red points to bluff samples, p-values are reported in each panel. No statistically significant correlations were observed, confirming the lack of strong inter-relationships among these grain-size descriptors across the dataset.
Geosciences 15 00388 g0a2

References

  1. Wang, P.; Fu, K.; Huang, J.; Duan, X.; Yang, Z. Morphological changes in the lower Lancang River due to extensive human activities. PeerJ 2020, 8, e9471. [Google Scholar] [CrossRef] [PubMed]
  2. Cienciala, P. Vegetation and geomorphic connectivity in mountain fluvial systems. Water 2021, 13, 593. [Google Scholar] [CrossRef]
  3. Li, Z.; Yan, C.; Boota, M.W. Review and outlook of river morphology expression. J. Water Clim. Change 2022, 13, 1725–1747. [Google Scholar] [CrossRef]
  4. Haron, N.A.; Yusuf, B.; Sulaiman, M.S.; Razak, M.S.A.; Nurhidayu, S. Morphological assessment of river stability: Review of the most influential parameters. Sustainability 2022, 14, 10025. [Google Scholar] [CrossRef]
  5. Gautam, P.K.; Singh, D.S.; Singh, A.K.; Kumar, D. Geomorphic analysis of Baghain River, Yamuna Basin, and its implication for drainage characteristic and tectonics using remote sensing and GIS techniques. J. Geol. Soc. India 2022, 98, 1573–1584. [Google Scholar] [CrossRef]
  6. Wohl, E. Geomorphic context in rivers. Prog. Phys. Geogr. Earth Environ. 2018, 42, 841–857. [Google Scholar] [CrossRef]
  7. An, J.H.; Lim, B.S.; Seol, J.; Kim, A.R.; Lim, C.H.; Moon, J.S.; Lee, C.S. Evaluation on the restoration effects in the river restoration projects practiced in South Korea. Water 2022, 14, 2739. [Google Scholar] [CrossRef]
  8. Reid, L.M.; Dunne, T. Sediment budgets as an organizing framework in fluvial geomorphology. In Tools in Fluvial Geomorphology, 2nd ed.; Kondolf, G.M., Piégay, H., Eds.; Wiley-Blackwell: Chichester, UK, 2016; pp. 357–387. [Google Scholar] [CrossRef]
  9. Slaymaker, O. The sediment budget as conceptual framework and management tool. In The Interactions Between Sediments and Water; Kronvang, B., Ed.; Springer: Dordrecht, The Netherlands, 2003; Developments in Hydrobiology, 169; pp. 225–232. [Google Scholar] [CrossRef]
  10. Clifton, Z.J.; Cashman, M.J.; Gellis, A.C.; Katoski, M.P.; Nibert, L.A.; Noe, G.B. Quantifying connectivity and its effects on sediment budgeting for an agricultural basin, Chesapeake Bay Watershed, United States. Hydrol. Process 2022, 36, e14777. [Google Scholar] [CrossRef]
  11. Piqué, G.; Batalla, R.J.; López, R.; Sabater, S. The fluvial sediment budget of a dammed river (Upper Muga, Southern Pyrenees). Geomorphology 2017, 293, 211–226. [Google Scholar] [CrossRef]
  12. Parsons, A.J. How useful are catchment sediment budgets? Prog. Phys. Geogr. Earth Environ. 2012, 36, 60–71. [Google Scholar] [CrossRef]
  13. Saleem, A.; Dewan, A.; Rahman, M.M.; Nawfee, S.M.; Karim, R.; Lu, X.X. Spatial and temporal variations of erosion and accretion: A case of a large tropical river. Earth Syst. Environ. 2020, 4, 167–181. [Google Scholar] [CrossRef]
  14. Mukherjee, R.; Bilas, R.; Biswas, S.S.; Pal, R. Bank erosion and accretion dynamics explored by GIS techniques in lower Ramganga River, Western Uttar Pradesh, India. Spat. Inf. Res. 2017, 25, 23–38. [Google Scholar] [CrossRef]
  15. Ety, N.J.; Rashid, M.S. Spatiotemporal variability of erosion and accretion in Ganges River using GIS and RS: A comparative study overlapping Rennell’s map of 1760s. Environ. Dev. Sustain. 2020, 22, 3757–3775. [Google Scholar] [CrossRef]
  16. Paul, A.; Bhattacharji, M. Assessing land erosion and accretion dynamics and river bank line shifting of upper reach of Hooghly River of West Bengal, India. Sustain. Water Resour. Manag. 2022, 8, 136. [Google Scholar] [CrossRef]
  17. Borrelli, L.; Conforti, M.; Mercuri, M. LiDAR and UAV system data to analyse recent morphological changes of a small drainage basin. ISPRS Int. J. Geo-Inf. 2019, 8, 536. [Google Scholar] [CrossRef]
  18. De Rose, R.C.; Basher, L.R. Measurement of river bank and cliff erosion from sequential LiDAR and historical aerial photography. Geomorphology 2011, 126, 132–147. [Google Scholar] [CrossRef]
  19. Notebaert, B.; Verstraeten, G.; Govers, G.; Poesen, J. Qualitative and quantitative applications of LiDAR imagery in fluvial geomorphology. Earth Surf. Process. Landf. 2009, 34, 217–231. [Google Scholar] [CrossRef]
  20. Schwenk, J.; Khandelwal, A.; Fratkin, M.; Kumar, V.; Foufoula-Georgiou, E. High spatiotemporal resolution of river planform dynamics from Landsat: The RivMAP toolbox and results from the Ucayali River. Earth Space Sci. 2017, 4, 46–75. [Google Scholar] [CrossRef]
  21. Akay, S.S.; Özcan, O.; Şanlı, F.B. Quantification and visualization of flood-induced morphological changes in meander structures by UAV-based monitoring. Eng. Sci. Technol. Int. J. 2022, 27, 101016. [Google Scholar] [CrossRef]
  22. Koohafkan, M.C.; Gibson, S. Geomorphic trajectory and landform analysis using graph theory: A panel data approach to quantitative geomorphology. Prog. Phys. Geogr. Earth Environ. 2018, 42, 679–696. [Google Scholar] [CrossRef]
  23. Church, M. The trajectory of geomorphology. Prog. Phys. Geogr. Earth Environ. 2010, 34, 265–286. [Google Scholar] [CrossRef]
  24. Peel, M.C.; Finlayson, B.L.; McMahon, T.A. Updated world map of the Köppen–Geiger climate classification. Hydrol. Earth Syst. Sci. 2007, 11, 1633–1644. [Google Scholar] [CrossRef]
  25. Gallerand, G.; Couturier, A.; Archambaut, C.; René, A.; Choné, G. Diagnostic des Problématiques D’érosion en Milieu Agricole dans la MRC des Laurentides; Organisme de bassin versant des rivières Rouges, Petite Nation et Saumon (OBV RPNS) et AGIR pour la Diable: Mont-Tremblant, QC, Canada, 2015. [Google Scholar]
  26. Mueller, J.E. An introduction to the hydraulic and topographic sinuosity indexes. Ann. Assoc. Am. Geogr. 1968, 58, 371–385. [Google Scholar] [CrossRef]
  27. Knuth, F.; Shean, D.; Bhushan, S.; Schwat, E.; Alexandrov, O.; McNeil, C.; Dehecq, A.; Florentine, C.; O’Neel, S. Historical structure from motion (HSfM): Automated processing of historical aerial photographs for long-term topographic change analysis. Remote Sens. Environ. 2023, 285, 113379. [Google Scholar] [CrossRef]
  28. Nuth, C.; Kääb, A. Co-registration and bias corrections of satellite elevation data sets for quantifying glacier thickness change. Cryosphere 2011, 5, 271–290. [Google Scholar] [CrossRef]
  29. Capito, L.M.; Pandrin, E.; Bertoldi, W.; Surian, N.; Bizzi, S. Path length and sediment transport estimation from DEMs of difference: A signal processing approach. Earth Surf. Dynam. 2024, 12, 321–345. [Google Scholar] [CrossRef]
  30. Folk, R.L.; Ward, W.C. Brazos River bar: A study in the significance of grain size parameters. J. Sediment. Petrol. 1957, 27, 3–26. [Google Scholar] [CrossRef]
  31. Spiekermann, R.; Betts, H.; Dymond, J.; Basher, L. Volumetric measurement of river bank erosion from sequential historical aerial photography. Geomorphology 2017, 296, 193–208. [Google Scholar] [CrossRef]
  32. Prugne, M.; Corenblit, D.; Boivin, M.; Buffin-Bélanger, T. Vegetation and channel adjustment trajectories in cold regions: The effects of ice disturbances in two Gaspesian rivers. Earth Surf. Process. Landf. 2025, 50, e70051. [Google Scholar] [CrossRef]
  33. Hajdukiewicz, M.; Wyżga, B.; Hajdukiewicz, H.; Mikuś, P. Photogrammetric reconstruction of changes in vertical river position using archival aerial photos: Case study of the Czarny Dunajec River, Polish Carpathians. Acta Geophys. 2019, 67, 1205–1221. [Google Scholar] [CrossRef]
  34. Kiss, T.; Tóth, M.; Török, G.T.; Sipos, G. Reconstruction of a long-term, reach-scale sediment budget using lateral channel movement data as a proxy: A case study on the lowland section of the Tisza River, Hungary. Hydrology 2024, 11, 67. [Google Scholar] [CrossRef]
  35. Chassiot, L.; Lajeunesse, P.; Bernier, J.-F. Riverbank erosion in cold environments: Review and outlook. Earth-Sci. Rev. 2020, 207, 103231. [Google Scholar] [CrossRef]
  36. Zhang, T.; Li, D.; East, A.E.; Kettner, A.J.; Best, J.L.; Ni, J.; Lu, X. Shifted sediment transport regimes by climate change and amplified hydrological variability in cryosphere fed rivers. Sci. Adv. 2023, 9, eadi5019. [Google Scholar] [CrossRef] [PubMed]
  37. Germain, D.; Luciano, J.; Milot, J.-F.; Faghfouri, A. The predator–prey relationship from a zoogeomorphic perspective: A study of the red fox (Vulpes vulpes) and bank swallow (Riparia riparia) in eastern Canada. Geomorphology 2022, 414, 108378. [Google Scholar] [CrossRef]
  38. Bracken, L.J.; Turnbull, L.; Wainwright, J.; Bogaart, P. Sediment connectivity: A framework for understanding sediment transfer at multiple scales. Earth Surf. Process. Landf. 2015, 40, 177–188. [Google Scholar] [CrossRef]
  39. Shi, C.; Liang, Y.; Qin, W.; Ding, L.; Cao, W.; Zhang, M.; Zhang, Q. Review of sediment connectivity: Conceptual connotations, characterization indicators, and their relationships with soil erosion and sediment yield. Earth-Sci. Rev. 2025, 264, 105091. [Google Scholar] [CrossRef]
  40. Gouvernement du Québec. Regulation to Amend the Transitional Rules that Apply to Boundary Changes for Flood Zones and Channel Migration Zones (Gazette Officielle du Québec, Partie 2). Publications du Québec: Québec. Available online: https://www.publicationsduquebec.gouv.qc.ca/fileadmin/gazette/pdf_encrypte/lois_reglements/2025A/107527.pdf (accessed on 25 June 2025).
  41. Haughton, G.; Bankoff, G.; Coulthard, T.J. In search of ‘lost’ knowledge and outsourced expertise in flood risk management. Trans. Inst. Br. Geogr. 2015, 40, 375–386. [Google Scholar] [CrossRef]
  42. McEwen, L.J.; Jones, O. Building local/lay flood knowledges into community flood resilience planning after the July 2007 floods, Gloucestershire, UK. Hydrol. Res. 2012, 43, 675–688. [Google Scholar] [CrossRef]
  43. Prugne, M.; Corenblit, D.; Boivin, M.; Evette, A.; Buffin-Bélanger, T. Soil and water bioengineering in cold rivers: A biogeomorphological perspective. Ecol. Eng. 2024, 204, 107261. [Google Scholar] [CrossRef]
  44. Brierley, G.; Fryirs, K. Truths of the riverscape: Moving beyond command-and-control to geomorphologically informed nature-based river management. Geosci. Lett. 2022, 9, 14. [Google Scholar] [CrossRef]
  45. Valois, P.; Anctil, F.; Cloutier, G.; Tessier, M.; Herpin-Saunier, N. Following up on flood adaptation in Québec households four years later: A prospective exploratory study. Int. J. Disaster Risk Reduct. 2023, 94, 103782. [Google Scholar] [CrossRef]
Figure 1. Location map of the study reach along the Diable River, south of Mount Tremblant (Laurentians, QC, Canada). The mapped segment represents the agricultural corridor characterized by high lateral mobility and active meander migration. Red triangles indicate 15 sampling sites used for grain-size analyses, corresponding to paired erosion sources (sandy bluffs) and depositional zones (beaches). The inset shows the position of the study area within the Province of Québec. The river flows from north to south, i.e., from the top to the bottom of the image.
Figure 1. Location map of the study reach along the Diable River, south of Mount Tremblant (Laurentians, QC, Canada). The mapped segment represents the agricultural corridor characterized by high lateral mobility and active meander migration. Red triangles indicate 15 sampling sites used for grain-size analyses, corresponding to paired erosion sources (sandy bluffs) and depositional zones (beaches). The inset shows the position of the study area within the Province of Québec. The river flows from north to south, i.e., from the top to the bottom of the image.
Geosciences 15 00388 g001
Figure 2. Spatial distribution of erosion (in red) and accumulation (in green) along the Diable River during five successive intervals: (a) 1949–1966; (b) 1966–1980; (c) 1980–2001; (d) 2001–2007; (e) 2007–2019. The maps highlight temporal variations in channel bank dynamics and spatial patterns of sediment mobilization and deposition.
Figure 2. Spatial distribution of erosion (in red) and accumulation (in green) along the Diable River during five successive intervals: (a) 1949–1966; (b) 1966–1980; (c) 1980–2001; (d) 2001–2007; (e) 2007–2019. The maps highlight temporal variations in channel bank dynamics and spatial patterns of sediment mobilization and deposition.
Geosciences 15 00388 g002
Figure 3. (a) Annual erosion (in red) and accumulation (in green) volumes (m3/year) for the Diable River segment across the five analyzed periods (1949–2019). (b) Net sediment balance per year for the Diable River segment across the five periods (1949–2019). Negative values (in red) indicate a sediment deficit (net erosion), while the single positive value (in blue) during the 2001–2007 period reflects a net sediment surplus (deposition).
Figure 3. (a) Annual erosion (in red) and accumulation (in green) volumes (m3/year) for the Diable River segment across the five analyzed periods (1949–2019). (b) Net sediment balance per year for the Diable River segment across the five periods (1949–2019). Negative values (in red) indicate a sediment deficit (net erosion), while the single positive value (in blue) during the 2001–2007 period reflects a net sediment surplus (deposition).
Geosciences 15 00388 g003
Figure 4. Grain-size characteristics of sediment samples from bluff and beach environments: (a) mean grain size, (b) sorting, (c) skewness, and (d) kurtosis. Bars indicate the number of samples within each category (sandy cliff/bluff: yellow; beach: orange).
Figure 4. Grain-size characteristics of sediment samples from bluff and beach environments: (a) mean grain size, (b) sorting, (c) skewness, and (d) kurtosis. Bars indicate the number of samples within each category (sandy cliff/bluff: yellow; beach: orange).
Geosciences 15 00388 g004
Figure 5. Violin plots comparing grain-size ratios for bluff (in red) and beach (in blue) samples: (a) D90/D10; (b) D75/D25. Each violin plot displays the full distribution of grain-size ratios for each sample type. The width of each violin plot represents the relative density of observations at different values. The central dashed line indicates the median, while the two horizontal dashed lines within the violin indicate the first and third quartiles.
Figure 5. Violin plots comparing grain-size ratios for bluff (in red) and beach (in blue) samples: (a) D90/D10; (b) D75/D25. Each violin plot displays the full distribution of grain-size ratios for each sample type. The width of each violin plot represents the relative density of observations at different values. The central dashed line indicates the median, while the two horizontal dashed lines within the violin indicate the first and third quartiles.
Geosciences 15 00388 g005
Figure 6. Combined vertical and volumetric sediment dynamics of the Diable River segment across the five periods analyzed (1949–2019). Line plots represent vertical erosion and accumulation rates (mm/year), while bars represent annual volumetric erosion and accumulation (m3/year). Note that vertical rates indicate average elevation change, while volumetric rates reflect sediment mass transfer normalized by river length.
Figure 6. Combined vertical and volumetric sediment dynamics of the Diable River segment across the five periods analyzed (1949–2019). Line plots represent vertical erosion and accumulation rates (mm/year), while bars represent annual volumetric erosion and accumulation (m3/year). Note that vertical rates indicate average elevation change, while volumetric rates reflect sediment mass transfer normalized by river length.
Geosciences 15 00388 g006
Figure 7. Hydrograph of the Diable River at hydrometric station 040238 (2009–2025), located immediately upstream of the study reach. The graph illustrates the interannual and seasonal variability of daily discharges, with spring flood peaks exceeding 200 m3/s.
Figure 7. Hydrograph of the Diable River at hydrometric station 040238 (2009–2025), located immediately upstream of the study reach. The graph illustrates the interannual and seasonal variability of daily discharges, with spring flood peaks exceeding 200 m3/s.
Geosciences 15 00388 g007
Table 1. Overview of historical aerial imagery and elevation data used in river morphodynamics analysis. The scale resolution ranged from 1:15,840 to 1:40,000 depending on the survey year.
Table 1. Overview of historical aerial imagery and elevation data used in river morphodynamics analysis. The scale resolution ranged from 1:15,840 to 1:40,000 depending on the survey year.
YearScaleColorTypeNumber of Photos
19491: 40,000Black and whiteAerial 13
19641:15,840Black and whiteAerial27
19661: 40,000Black and whiteAerial15
19691:15,840Black and whiteAerial3
19801: 20,000Black and whiteAerial17
20011: 20,000Black and whiteAerial1
20071: 20,000Black and whiteAerial1
20141: 40,000Black and whiteAerial1
20191: 40,000Black and whiteAerial1
20211:1ColorLiDAR-derived DEMHigh-resolution LAZ dataset
Table 2. Sinuosity index (SI) and average channel width (W, in meters per 100 m reach) of the Diable River for selected years between 1949 and 2019. Scales of aerial photographs ranged from 1:15,840 to 1:40,000 depending on survey year (see Table 1).
Table 2. Sinuosity index (SI) and average channel width (W, in meters per 100 m reach) of the Diable River for selected years between 1949 and 2019. Scales of aerial photographs ranged from 1:15,840 to 1:40,000 depending on survey year (see Table 1).
Year19491966196919802001200720142019
SI2.182.102.312.062.252.452.382.41
W35.0432.5743.6633.9937.1735.3043.8537.83
Table 3. Annual volumetric and vertical rates of erosion and accumulation for the studied river segment (1949–2019). Values are standardized both per year and per kilometer of channel length to allow comparison across intervals.
Table 3. Annual volumetric and vertical rates of erosion and accumulation for the studied river segment (1949–2019). Values are standardized both per year and per kilometer of channel length to allow comparison across intervals.
PeriodDurationErosionDeposition
Yearsm3 yr−1mm yr−1m3 yr−1mm yr−1
1949–196617−18358.917926.4
1966–198014−119010.510119.9
1980–200121−20279.24024.6
2001–20076−109017.2178010.6
2007–201912−7496.04808.6
Table 4. Comparison of grain-size characteristics between cliff/bluff (erosion) and beach (deposition) samples along the Diable River. Sampling site locations are shown in Figure 1.
Table 4. Comparison of grain-size characteristics between cliff/bluff (erosion) and beach (deposition) samples along the Diable River. Sampling site locations are shown in Figure 1.
SampleMeanSortingSkewnessKurtosis
1.1 Bluff Coarse SandModerately SortedVery Fine SkewedMesokurtic
1.2 Beach Coarse SandModerately Well SortedCoarse SkewedLeptokurtic
2.1 Bluff top Coarse SandPoorly SortedSymmetricalMesokurtic
2.2 Bluff Medium SandPoorly SortedCoarse SkewedMesokurtic
2.3 Beach Coarse SandModerately Well SortedFine SkewedLeptokurtic
3.1 Bluff Very Coarse SandPoorly SortedFine SkewedMesokurtic
3.2 Beach Coarse SandModerately Well SortedFine SkewedPlatykurtic
4.1 Bluff Medium SandModerately Well SortedCoarse SkewedMesokurtic
4.2 Beach Coarse SandModerately Well SortedSymmetricalLeptokurtic
5.1 Bluff Medium SandModerately Well SortedSymmetricalPlatykurtic
5.2 Beach Medium SandWell SortedFine SkewedMesokurtic
6.1 Bluff Medium SandWell SortedFine SkewedLeptokurtic
6.2 Beach Medium SandWell SortedFine SkewedLeptokurtic
6.3 Old Meander Fine SandModerately SortedCoarse SkewedLeptokurtic
7.1 Bluff Medium SandModerately Well SortedVery Fine SkewedLeptokurtic
7.2 Beach Coarse SandModerately Well SortedFine SkewedLeptokurtic
8.1 Bluff Medium SandModerately Well SortedVery Fine SkewedMesokurtic
8.2 Beach Coarse SandModerately Well SortedFine SkewedLeptokurtic
9.1 Bluff Medium SandModerately Well SortedFine SkewedLeptokurtic
9.2 Beach Coarse SandModerately SortedFine SkewedPlatykurtic
10.1 Bluff Medium SandModerately SortedFine SkewedPlatykurtic
10.2 BeachMedium SandWell SortedFine SkewedMesokurtic
11.1 Bluff Medium SandModerately Well SortedFine SkewedPlatykurtic
11.2 Beach Coarse SandWell SortedFine SkewedMesokurtic
12.1 Bluff Coarse SandModerately Well SortedFine SkewedLeptokurtic
12.2 Beach Medium SandModerately SortedSymmetricalMesokurtic
13.1 Bluff Medium SandModerately Well SortedVery Fine SkewedLeptokurtic
13.2 Beach Coarse SandModerately Well SortedFine SkewedMesokurtic
14.1 Bluff Fine SandPoorly SortedVery Coarse SkewedVery Leptokurtic
14.2 Beach Medium SandModerately Well SortedSymmetricalLeptokurtic
15.1 Bluff Fine SandModerately SortedSymmetricalMesokurtic
15.2 Beach Coarse SandModerately SortedFine SkewedMesokurtic
Disclaimer/Publisher’s Note: The statements, opinions and data contained in all publications are solely those of the individual author(s) and contributor(s) and not of MDPI and/or the editor(s). MDPI and/or the editor(s) disclaim responsibility for any injury to people or property resulting from any ideas, methods, instructions or products referred to in the content.

Share and Cite

MDPI and ACS Style

Faghfouri, A.; Germain, D.; Fortin, G. Seven Decades of River Change: Sediment Dynamics in the Diable River, Quebec. Geosciences 2025, 15, 388. https://doi.org/10.3390/geosciences15100388

AMA Style

Faghfouri A, Germain D, Fortin G. Seven Decades of River Change: Sediment Dynamics in the Diable River, Quebec. Geosciences. 2025; 15(10):388. https://doi.org/10.3390/geosciences15100388

Chicago/Turabian Style

Faghfouri, Ali, Daniel Germain, and Guillaume Fortin. 2025. "Seven Decades of River Change: Sediment Dynamics in the Diable River, Quebec" Geosciences 15, no. 10: 388. https://doi.org/10.3390/geosciences15100388

APA Style

Faghfouri, A., Germain, D., & Fortin, G. (2025). Seven Decades of River Change: Sediment Dynamics in the Diable River, Quebec. Geosciences, 15(10), 388. https://doi.org/10.3390/geosciences15100388

Note that from the first issue of 2016, this journal uses article numbers instead of page numbers. See further details here.

Article Metrics

Back to TopTop