You are currently viewing a new version of our website. To view the old version click .
Geosciences
  • Article
  • Open Access

17 June 2023

Geological and Climatic Factors Affecting the Correlation between Electrical Resistivity and SPT N-Value in Sandy Soils of Phuket, Thailand

,
,
,
,
and
1
Geotechnical and Earth Resources Engineering, School of Engineering and Technology, Asian Institute of Technology, Khlong Nueng 12120, Thailand
2
Faculty of Technology and Environment, Prince of Songkla University, Hat Yai 90110, Thailand
3
Faculty of Civil Engineering, King Mongkut’s University of Technology North Bangkok, Bangkok 10800, Thailand
*
Authors to whom correspondence should be addressed.
This article belongs to the Topic Environmental Geology and Engineering

Abstract

Understanding the technical properties of the subsurface soil is essential for carrying out any building project correctly. In sandy soils in Phuket, Thailand, a correlation between electrical resistivity and the SPT N-value should be established in design to cut down on the time and expense of engineering field work for site investigation operations. Using the least squares method, the data of electrical resistivity and SPT N-values were fitted for regression analysis, and the behavior of the fitting coefficients was examined under various soil conditions found in the field. The factors affecting the link between electrical resistivity and the SPT N-value were found using data classifications of geology and climate. Phuket is located in a humid tropical region with frequent heavy rainstorms and extended periods of high temperatures and is composed of two main distinct geological areas: (1) igneous rock and (2) sedimentary and metamorphic rocks. According to the geological classification, the regression parameter (R2) of the relationship between the electrical resistivity and SPT N-values somewhat increased from a straightforward plot (R2 = 0.0171) to 0.1721, and the geology and climate data categorization revealed the best fit which is an exponential model (R2 = 0.6175). By re-examining the two VES lines under the identical bedrock and climate characteristics as the original model, the relative R2 of 0.5519 validates the association between electrical resistivity and SPT N-values. It is important to emphasize that the geology and climate of the collected data have an impact on the correlation model. Furthermore, a geotechnical investigation should be used to confirm the findings of an electrical resistivity survey as a preliminary tool to assess any problematic subsurface zones. However, more field test data from diverse places must be acquired in order to establish the relationship between the SPT N-value and electrical resistivity of sandy soils.

1. Introduction

The engineering properties of the subsurface soil must be understood for any built structure to be constructed successfully. For the proper design and efficient construction of any structure, a precise determination of the engineering properties of soil is required. High spatial and temporal variations affect soil properties [1]. However, since it requires a method of direct investigation and direct data are promptly collected, there will be areas with no data information, even when using a vast mesh of instrumentation. To obtain a comprehensive view of the subsurface using borehole data, a number of data acquisition points must be carried out, which adds to the investigation’s cost.
One of the widely used methods of soil investigation today is the standard penetration test (SPT) [2]. In order to determine the engineering properties of the soil, SPT provides the option to collect both disturbed and undisturbed samples during testing. Soil shear strength and stiffness are measured using the SPT blow count known as the SPT N-value [3]. The entire process of drilling the boreholes and carrying out the SPT is one of the major drawbacks of the SPT. In addition, in several Asian nations such as India, Bangladesh [4,5], and Thailand, the SPT is also the most used in situ test for soil investigation. The resistance of soil to penetration is essential information that can be used to evaluate the soil strength based on the SPT N-value, while the electrical resistivity of soil is a measure of its resistance to the passage of current through it. Porosity declines but compactness rises as a result of weathering that moves downward. The SPT N-value and electrical resistivity both rise as a result of this concept [6,7,8]. In view of this concept, a potential correlation between the SPT N-value and electrical resistivity will help to close the gap between geotechnical and geophysical engineering and also allow geotechnical engineers to estimate geotechnical parameters from electrical resistivity data [9]. A quick, frequent, and cost-effective determination of the engineering properties of soil could be made possible and practical by quickly substituting the actual physical parameters with the correlated electrical resistivity using an empirical relation.
Many studies from around the world have made several attempts to investigate the phenomenon of electrical resistivity in soils and its relationship with geotechnical parameters [10,11,12,13,14]. The lack of a distinct association between electrical resistivity and the SPT N-value suggested further research was needed to find more trustworthy relationships. For example, Gonçalves et al. [3] investigated the geological factors influencing the relationship between electrical resistivity and the SPT N-value. Similar to the above, Kizhlo and Kanbergs [15] investigated the most significant short-term changes in soil resistivity brought on by the recent weather. Various researchers have reported both weak and strong relationships between electrical resistivity and the SPT N-value. The electrical resistivity of Patna soil in India and the SPT N-value were discovered to be strongly correlated by Hedge and Anand [2]. In the three researched regions in Brazil, Gonçalves et al. [3] discovered a linear relationship between the SPT N-value and electrical resistivity for various layers. Electrical resistivity and the SPT N-value exhibit a positive and strong quadratic correlation, according to Islam et al. [16]. The reduced correlation caused by lower clay content was another reason the authors suggested that the SPT N-value was reliant on clay content. In addition, Pazha et al. [17] developed the correlation of electrical resistivity and the SPT N-value using inversion modeling for subsurface hard layers. Alel et al. [18] were successful in estimating the SPT N-value based on electrical resistivity data with acceptable accuracy using an artificial neural network (ANN) trained with particle swarm optimization (PSO). According to Devi et al. [6], the obtained SPT N-value and electrical resistivity have a linear relationship; the association is strong and consistent. For sandy soil, a linear relationship between electrical resistivity and the SPT N-value has been discovered by Hatta and Osman [19]. Low electrical resistivity always suggests unstable or disturbed material conditions that lead to a low SPT N-value and ease of excavation may not be correct, according to Tan et al. [20]’s study of positive, negative, and inconsistent correlation patterns for diverse soils. Sudha et al. [21] discovered the linear relationship between transverse resistance calculated from the ERT data and SPT N-values. However, there is no explanation available that can illustrate the association between the SPT N-value and the electrical resistivity, despite the fact that several researchers have created regionally specific correlations between the SPT N-value and electrical resistivity. To comprehend the relationship between electrical parameters and the SPT N-value, it is necessary to recognize the controlling factors impacting differences in electrical parameters and soil strength.
In order to accurately estimate the cost and time needed for engineering field work for site investigation processes, the main objective of this research is to establish a relationship between electrical resistivity and the SPT N-value for sandy soils in Phuket, Thailand. Utilizing the least squares method for regression analysis, the values of resistivity and N-value were fitted, and the behavior of the fitting coefficients was examined while taking into account the different soil conditions found in the field. The feasibility and uncertainties of the correlation between electrical resistivity and the SPT N-value are highlighted in this work by conducting, comparing, and presenting a replot of the correlation results generated from data categorization.

2. Site Description

Phuket is an island in the Andaman Sea that is part of Thailand’s southernmost region. It lies between latitude 7°45′ N to 8°15′ N and longitude 98°15′ E to 98°40′ E, with a total area of 543 km2. This region is located in a humid tropical zone with heavy rains and extended periods of high temperatures [22]. Additionally, granite and igneous rocks cover the majority of this region. From the northern to the southern regions of the island, mountains dominate around 70% of the terrain, while the remaining 30% is made up of flat plains in the island’s center and east. With a height of 529 m above mean sea level (MASL), the Khao Mai Thao Sip Song (Twelve Canes) mountain is referred to the island’s highest point [23]. As seen in Figure 1, there are two distinct geological areas: (1) igneous rocks and (2) sedimentary and metamorphic rocks. Alluvial deposits and bedrocks from sedimentary, metamorphic, and igneous rocks make up Phuket [24]. The igneous rocks, which make up more than two-thirds of the island and are mainly found in the western and eastern central regions, are found underneath the granitic rocks. Pegmatites, aplite, and quartz veins are examples of igneous rocks that are widespread. The majority of them can be located in central and west Phuket. Sedimentary rocks, which make up less than one-third of the island and outcrop in short strips along the east coast and nearby tiny islands, are the oldest rocks on Phuket. They are clastic deposits from the Carboniferous to the Lower Permian, and they are composed of mudstones, including laminated and pebbly mudstones, siltstones, shales, and greywackes. The general climate of Phuket is influenced by monsoon winds, which are seasonal in nature. It is separated into two primary seasons, the southwest monsoon and northeast monsoon, in accordance with a monsoonal weather feature. While the northeast monsoon rules the dry season, the southwest monsoon rules the wet season [25].
Figure 1. The geological map of the study area showing SPT and VES locations.
The scope of the current study was determined by taking into account the applicability of the non-invasive approach suggested in this work in civil engineering construction scenarios. The layout of the research areas is shown in Figure 1. The locations of the six VES stations and four SPT stations including 12 boreholes in Phuket that were used in this study are depicted. The VES locations were designed so that they were all close to the SPT points and appeared to be related to them. Table 1 and Table 2 provide information on data acquisition settings, measurement order, and depth selections for each profile.
Table 1. Detailed information for SPT data collection from construction sites in Phuket.
Table 2. Data acquisition parameters for each VES station.

3. Methods

3.1. SPT N-Value Data Collection and VES Surveys

The subsurface of Phuket is divided into three layers, the first of which is made up of clayey sand, sand, and sandy soil, and the second of which is made up of weathered and fractured rocks. The third layer is the bedrock, which is primarily made of granite and sedimentary-metamorphic rocks [26]. The granite that made up much of Phuket’s soil was weathered in place, giving it its light color and moderate to good natural drainage [27]. A sandy soil formation, which is the primary layer of Phuket’s subsurface, was used to collect all of the study’s SPT and electrical resistivity data from construction contractors and field surveys in Phuket, Thailand. The most comprehensive and state-of-the-art collection of unpublished data on construction sites was obtained for this study using the SPT N-value from various construction contractors. The SPT N-value was processed and interpreted for the identification of various soil profiles, particularly sandy soils, using the combined 84 pieces of data that were gathered from 4 locations (Mai Khao, Choeng Thale, Ratsada, and Kathu districts) as shown in Figure 1. Note that the SPT N-value dataset is defined by depths as a consequence of the degree of compaction.
At the locations (SPT 1, SPT 2, SPT 3, and SPT 4) of the 12 boreholes, a vertical electrical sounding (VES), or 1D electrical resistivity survey, was carried out using an AGI SuperSting R2 with a 56-electrode Multi-Electrode SwitchBox system. In the vicinity of the associated SPT, 6 VES stations in total were conducted. The Wenner array was employed to determine the sandy soils’ electrical resistivity. The Wenner configuration is straightforward and robust because of the equal separation of the current and potential electrodes, which is gradually increased from a set center after each reading. The Wenner configuration provides higher signal strength and greater depth resolution, and is less susceptible to acquisition noise [28]. The Wenner array, which has the strongest signal strength among all arrays, was chosen for this study because it was carried out in sandy soil, which is a resistive soil. Table 2 summarizes the specifics of data acquisition and collected data parameters for each location.

3.2. Data Classifications and Validation

The geological and climatic factors were classified for all datasets in order to identify the variables impacting the relationship between electrical resistivity and the SPT N-value. There is a recognition of the non-homogeneous nature of soils and the fact that many locations will have lateral inconsistencies as a result of varied geology, while the recent weather has major short-term impacts on soil resistivity, based on the effects of climate [15]. The relationship between electrical resistivity and the SPT N-value is considered to be controlled by the effects of both geology and climate. Details of the geology and the climate for each dataset are given in Table 3.
Table 3. Geology and climate description for data.
Area IV was chosen for examination because it has an igneous bedrock, whereas Areas I, II, and III have sedimentary and metamorphic bedrocks. In addition, the climate in the two distinct locations (Areas I–II and Areas III–IV) was divided into dry and rainy conditions, and the SPT N-value and VES data were examined in accordance with the corresponding geology and climate conditions, respectively. The average monthly rainfall distribution is shown in Figure 2. The study of this data condition increases the interest in the correlation between electrical resistivity and SPT N-value.
Figure 2. Average monthly rainfall data in Phuket from 1997 to 2017 (TMD, 2019).
In order to confirm the impact of geology and climate factors on the link between electrical resistivity and the SPT N-value, a second VES survey was carried out for Areas I and II under the same climate conditions. Geology categorization, climate classification, and validation, in that order, help to strengthen the relationship between electrical resistivity and SPT N-value.

3.3. Regression Analysis

Regression modeling is a more helpful statistical technique that enables us to evaluate the strength of the associations in the data and the uncertainty in the model by utilizing confidence intervals. Regression analysis deals with the shape of the relationship between variables [29]. One independent variable makes up a simple regression model, which is linear in relation to both the regression parameters and the dependent variable. A linear regression was performed at each location using the electrical resistivity values obtained from the VES at the same depth as the SPT N-value. Regression analysis was also carried out in an effort to comprehend the behavior of the linear fitting coefficients and their sensitivity to geology and climate. The coefficient of determination (R2), obtained using Equation (1), was used to assess the empirical model.
R 2 = N d a t a N m o d e l 2 N d a t a N ¯ 2
where Ndata designates the SPT N-value data as shown in Table 1; Nmodel is the predicted SPT N-value from the regression model; and N ¯ is the mean value of the statistical variable SPT N-value. The value of R2, which is always between 0 and 1, increases with the degree of agreement between the observed and model data.

4. Results and Discussion

4.1. The Relationship between SPT N-Value and Electrical Resistivity

The SPT N-value and electrical resistivity were first examined in this work to explore any potential correlations. Using the least squares regression method, the relationships between electrical resistivity and the SPT N-value of sandy soils were assessed. The optimal approximation equation with the highest coefficient of determination (R2) was chosen after applying approximations based on linear, exponential, saturation growth rate (SGR), and power functions.
Figure 3 depicts the scatter in electrical resistivity and the SPT N-value with depth in Phuket. Regarding Table 4, no correlations were found between the SPT N-value and the electrical resistivity. The optimum function for the study area is a generalized exponential relationship.
Figure 3. Data plot between SPT N-value and electrical resistivity for sandy soils in Phuket.
Table 4. Regression parameters for all datasets of sandy soils in Phuket.
A lower value of R2 (0.0171), caused by geological differences and weather conditions, is indicative of this hypothesis. This finding is in good agreement with the study by Devi et al. [6]. They found that any correlation between electrical resistivity and the SPT N-value will be useless because the SPT N-value is unreliable in coarse sediments. Because the dispersed data for the SPT N-value and electrical resistivity can be decreased by the geological category and climate classification, it was reasonable to classify the data (both the SPT N-value and electrical resistivity) before the analysis.

4.2. Developed Correlation between SPT N-Value and Electrical Resistivity Due to Geological and Climate Classifications

The parental rock mineralogy, which has a high concentration and characteristics of tri-laminar minerals, can explain the different behavior of the SPT N-value and electrical resistivity [3]. The SPT N-value with depth was categorized according to the existing bedrock, as indicated in Table 5. The electrical resistivity variation with a depth that corresponds to these SPT N-values is obtained from the VES data.
Table 5. Regression parameters for geological classification of sandy soils in Phuket.
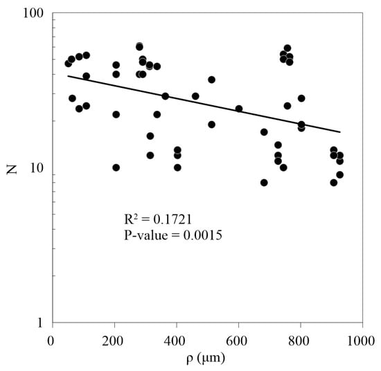
It is clear that variations in the correlation’s numerical values reflect geological variations at the two bedrocks. It is possible to obtain the relationship between the SPT N-value and electrical resistivity as a negative and weak exponential function. The SPT N-value and electrical resistivity from sedimentary and metamorphic bedrocks show a better relationship in Figure 4. Due to the geological category, the coefficient of determination (R2) slightly increased from 0.0171 to 0.1721 with the exclusion of the outer points. When comparing the data without classification, R2 was found, showing a better relationship between the SPT N-value and electrical resistivity.
Figure 4. Developed correlation between SPT N-value and electrical resistivity using geological data classification.
In addition, the data (SPT N-value and electrical resistivity) were continuously classified by measured climate as shown in Table 6 because recent weather has the greatest short-term effects on soil resistivity [15]. Figure 5 for Area III shows the SPT N-value variations with the electrical resistivity. The electrical resistivity and SPT N-value were found to be negatively exponentially correlated, and the same climate data significantly increased the coefficient of determination (as did the same bedrock). The higher R2 value in Area III suggests that the correlation between the SPT N-value and electrical resistivity is more susceptible to climate conditions and that the geology and climate of the data obtained are important factors in the investigation of this relationship.
Table 6. Regression parameters for geological and climate classifications of sandy soils in Phuket.
Figure 5. Developed correlation between SPT N-value and electrical resistivity using geological and climatic data classifications.

4.3. Validation and Interpretation Results from Classifications

Re-VES surveys of Areas I and II were carried out to confirm the impact of climate and geology on the relationship between the SPT N-value and electrical resistivity. The relationship can be used for the classified data, according to more data numbers on both the SPT N-value and electrical resistivity; this conclusion is supported by the relatively low R2 of 0.5519, as shown in Figure 6. There were a few outlying points that indicate measurement mistakes that were not taken into account when establishing the correlations. This association between the SPT N-value and the electrical resistivity of sandy soils was confirmed to exist, and it is important to emphasize that both geology and climate play a key role in this relationship.
Figure 6. Validation of SPT N-value from the empirical model and the field data for sandy soils in Phuket.
A definite pattern of decreasing SPT N-value with an increase in electrical resistivity provides an early indication of the potential of eventually arriving at a stronger correlation for sandy soils in Phuket, Thailand, despite the fact that the points displayed are somewhat scattered and the regression values are very moderate. Due to the sandy soil types, this study provided a different form of a relationship between the SPT N-value and electrical resistivity than previous studies. Numerous studies have proposed the linear form for different soils and suggested that the correlation between the SPT N-value and electrical resistivity is dependent on the clay content [2,14,15,16]. For sandy soils in Phuket, an inconsistent relationship between the SPT N-value and electrical resistivity was discovered; this inconsistency is a result of the local geology and the recent weather. Therefore, it is worth emphasizing that the geology and climate of the data affect the correlation model. It is also recommended that an electrical resistivity survey be employed as a preliminary tool to evaluate any problematic subsurface zones, with geotechnical investigations able to corroborate the results. The association between the SPT N-value and electrical resistivity of sandy soils needs to be established, however, and further field test data from various regions and climates must be gathered.

5. Conclusions

This study investigated the relationship between the SPT N-value and electrical resistivity in the sandy soils of Phuket, Thailand, and presented an empirical model based on the regression analysis of the datasets. These are the study’s key findings:
  • The SPT N-value does not present a clear and unambiguous correlation with electrical resistivity in the absence of data classifications.
  • The association between the SPT N-value and electrical resistivity was shown to be stronger (R2 increases from 0.0171 to 0.1721) with bedrock categorization of the data.
  • An exponential function can be used to express the relationship based on the data classification of geology and climate factors, with a best-fit line through the data (R2 = 0.6175). Electrical resistance increased while the SPT N-value decreased.
  • The results demonstrated that when correlation studies between the SPT N-value and electrical resistivity are conducted, the geology and the climate of the data are significant factors.
In order to analyze the impact of the factors and create a framework for non-destructively predicting geotechnical properties, this paper outlines an examination of the correlations between the SPT N-value and electrical resistivity with geology and climate-based data sets. By quickly replacing the actual physical parameters with the correlated electrical resistivity using an empirical relation, it is possible and practical to determine the geotechnical properties of sandy soil in Phuket. The development of a more accurate prediction model in the future would be made possible using the statistical analysis of a large database of SPT N-values and associated electrical resistivity values.

Author Contributions

Conceptualization, A.P.; methodology, S.K. and A.P.; funding acquisition, A.P. and S.K.; investigation, S.K.; data curation, S.K.; formal analysis, S.K. and A.P.; writing—original draft preparation, A.P. and S.K.; review and final approval for submission, S.K., A.P. and S.V.; suggestion provision, S.V., T.A. and P.S.; resources, T.S.; supervision, A.P. and P.S. All authors have read and agreed to the published version of the manuscript.

Funding

The authors would like to thank the Thai Royal Scholarship under Her Royal Highness Princess Maha Chakri Sirindhorn Education Project for providing financial support for conducting this research.

Data Availability Statement

In this study, we made use of data that had not previously been published that was collected by construction contractors in Phuket. All data can be obtained by the corresponding author upon request.

Acknowledgments

We would like to express our sincere thanks to R. Men, N.N. Htwe, T.T. Yacob, and alumni at the Faculty of Technology and Environment (FTE) for technical support and data collection. In addition, we are grateful to all service contractors for providing the SPT data. Last but not least, all authors also address our heartfelt thanks to staff at the FTE for administration and logistic support.

Conflicts of Interest

The authors declare no conflict of interest.

Nomenclature

SPTStandard penetration test
VESVertical electric sounding
NSPT N-value
ρ Electrical resistivity
Ω m Ohmmeter
R 2 Coefficient of determination
m Meter
SGRSaturation growth rate

References

  1. Siddiqui, F.I.; Osman, B.A. Integrating Geo-Electrical and Geotechnical Data for Soil Characterization. Int. J. Appl. Phys. Math. 2012, 2, 104–106. [Google Scholar] [CrossRef]
  2. Hegde, A.; Anand, A. Resistivity Correlations with SPT-N and Shear Wave Velocity for Patna Soil in India. Indian Geotech. J. 2022, 52, 161–173. [Google Scholar] [CrossRef]
  3. Gonçalves, J.T.D.; Botelho, M.A.B.; Machado, S.L.; Netto, L.G. Correlation between field electrical resistivity and geotechnical SPT blow counts at tropical soils in Brazil. Environ. Chall. 2021, 5, 1–12. [Google Scholar] [CrossRef]
  4. Panjamani, A.P.; Ingale, S.G. Status quo of Standard Penetration Test in India: A Review of Field Practices and Suggestions to Incorporate in IS 2131. Indian Geotech. J. 2021, 51, 421–434. [Google Scholar] [CrossRef]
  5. Hore, R.; Chakraborty, S.; Arefin, M.R.; Ansary, M.A. CPT & SPT Tests in assessing liquefaction potential. Geotech. Eng. J. SEAGS AGSSEA 2020, 51, 61–68. [Google Scholar]
  6. Devi, A.; Israil, M.; Anbalagan, R.; Gupta, P.K. Subsurface soil characterization using geoelectrical and geotechnical investigations at a bridge site in Uttarakhand Himalayan region. J. Appl. Geophys. 2017, 144, 78–85. [Google Scholar] [CrossRef]
  7. Archie, G.E. The Electrical Resistivity Log as an Aid in Determining Some Reservoir Characteristics. Trans. AIME 1942, 146, 54–62. [Google Scholar] [CrossRef]
  8. Kowalczyk, S.; Maślakowski, M.; Tucholka, P. Determination of the correlation between the electrical resistivity of non-cohesive soils and the degree of compaction. J. Appl. Geophys. 2014, 110, 43–50. [Google Scholar] [CrossRef]
  9. Jusoh, H.; Osman, S.B.S. The Correlation between Resistivity and Soil Properties as an Alternative to Soil Investigation. Indian J. Sci. Technol. 2017, 10, 1–5. [Google Scholar] [CrossRef]
  10. Bin Razali, M.N.F.; bin Syed Osman, S.B.A. Non-quantitative correlation of soil resistivity with some soil parameters. In Proceedings of the National Postgraduate Conference, Perak, Malaysia, 19–20 September 2011; pp. 1–4. [Google Scholar]
  11. Siddiqui, F.I.; Osman, S.B.A.B.S. Simple and multiple regression models for relationship between electrical resistivity and various soil properties for soil characterization. Environ. Earth Sci. 2013, 70, 259–267. [Google Scholar] [CrossRef]
  12. Osman, S.B.S.; Fikri, M.N.; Siddique, F.I. Correlation of Electrical Resistivity with Some Soil Parameters for the Development of Possible Prediction of Slope Stability and Bearing Capacity of Soil using Electrical Parameters. Pertanika J. Sci. Technol. 2014, 22, 139–152. [Google Scholar]
  13. Osman, S.B.S.; Siddique, F.I. Possible Assessment of Slope Stability by Using Electrical Resistivity: Comparison of Field and Laboratory Results. IACSIT Int. J. Eng. Technol. 2015, 7, 386–389. [Google Scholar] [CrossRef]
  14. Lin, J.; Cai, G.; Liu, S.; Puppala, A.J.; Zou, H. Correlations Between Electrical Resistivity and Geotechnical Parameters for Jiangsu Marine Clay Using Spearman’s Coefficient Test. Int. J. Civ. Eng. 2017, 15, 419–429. [Google Scholar] [CrossRef]
  15. Kizhlo, M.; Kanbergs, A. Research of the parameter changes of the grounding system. In Proceedings of the World Non-Grid-Connected Wind Power and Energy Conference, Nanjing, China, 24–26 September 2009; pp. 1–4. [Google Scholar] [CrossRef]
  16. Islam, I.; Ahmed, W.; Rashid, M.U.; Orakzai, A.U.; Ditta, A. Geophysical and geotechnical characterization of shallow subsurface soil: A case study of University of Peshawar and surrounding areas. Arab. J. Geosci. 2020, 13, 949. [Google Scholar] [CrossRef]
  17. Pazha, H.; Muhammad, F.H.; Agustina, A.D.; Wiratama, R. The Identification of Hard Bottom Surface Structure using Correlation of Geoelectrical Resistivity Methods and SPT Data as Preliminary Studies for Laying the Foundation at Passing Cross Sumatera Toll Road, South Lampung Station. J. Phys. Conf. Ser. 2019, 1155, 012007. [Google Scholar] [CrossRef]
  18. Alel, M.N.A.; Upom, M.R.A.; Abdullah, R.A.; Abidin, M.H.Z. Estimating SPT-N Value Based on Soil Resistivity using Hybrid ANN-PSO Algorithm. J. Phys. Conf. Ser. 2018, 995, 012035. [Google Scholar] [CrossRef]
  19. Hatta, K.A.; Osman, S.B.A.S. Correlation of Electrical Resistivity and SPT-N value from Standard Penetration Test (SPT) of Sandy Soil. Appl. Mech. Mater. 2015, 785, 702–706. [Google Scholar] [CrossRef]
  20. Tan, S.N.M.A.; Tonnizam, M.E.; Saad, R.; Dan, M.F.M.; Nordiana, M.M.; Hazreek, Z.A.M.; Madun, A. Correlation of Resistivity Value with Geotechnical N-Value of Sedimentary Area in Nusajaya, Johor, Malaysia. J. Phys. Conf. Ser. 2018, 995, 012079. [Google Scholar] [CrossRef]
  21. Sudha, K.; Israil, M.; Mittal, S.; Rai, J. Soil characterization using electrical resistivity tomography and geotechnical investigations. J. Appl. Geophys. 2009, 67, 74–79. [Google Scholar] [CrossRef]
  22. Saunders, M.K.; Fookes, M.G. A review of the relationship of rock weathering and climate and its significance to foundation engineering. Eng. Geol. 1970, 4, 289–325. [Google Scholar] [CrossRef]
  23. Chanyotha, S.; Kranrod, C.; Tokonami, S.; Suwankot, N.; Pangza, K.; Pornnumpa, C. Terrestrial Gamma Radiation in Phuket Island, Thailand. Eng. J. 2011, 15, 65–76. [Google Scholar] [CrossRef]
  24. Brown, G.F.; Buravas, S.; Charaljavanaphet, J.; Jalichandra, N.; Johnston, W.D., Jr.; Sresthaputra, V.; Taylor, G.C., Jr. Geologic Reconnaissance of the Mineral Deposits of Thailand; Geological Survey: Washington, DC, USA, 1951; pp. 3–20. [Google Scholar] [CrossRef]
  25. Mayakun, J.; Kim, J.H.; Prathep, A. Effects of herbivory and the season of disturbance on algal succession in a tropical intertidal shore, Phuket, Thailand. Phycol. Res. 2010, 58, 88–96. [Google Scholar] [CrossRef]
  26. Puttiwongrak, A.; Men, R.; Vann, S.; Hashimoto, K.; Suteerasak, T. Application of Geoelectrical Survey and Time-Lapse Resistivity with Groundwater Data in Delineating a Groundwater Potential Map: A Case Study from Phuket Island, Thailand. Sustainability 2021, 14, 397. [Google Scholar] [CrossRef]
  27. Vijarnsorn, P.; Fehrenbacher, J.B. Characteristics and classification of three granite derived soils in Peninsular Thailand. Geoderma 1973, 9, 105–118. [Google Scholar] [CrossRef]
  28. Neyamadpour, A.; Abdullah, W.A.; Taib, S.; Neyamadpour, B. Comparison of Wenner and dipole–dipole arrays in the study of an underground three-dimensional cavity. J. Geophys. Eng. 2010, 7, 30–40. [Google Scholar] [CrossRef]
  29. Zou, K.H.; Tuncali, K.; Silverman, S.G. Correlation and Simple Linear Regression. Radiology 2003, 227, 617–628. [Google Scholar] [CrossRef]
Disclaimer/Publisher’s Note: The statements, opinions and data contained in all publications are solely those of the individual author(s) and contributor(s) and not of MDPI and/or the editor(s). MDPI and/or the editor(s) disclaim responsibility for any injury to people or property resulting from any ideas, methods, instructions or products referred to in the content.

Article Metrics

Citations

Article Access Statistics

Multiple requests from the same IP address are counted as one view.