Data-Driven Field Observational Method of a Contiguous Bored Pile Wall System Affected by Accidental Groundwater Drawdown
Abstract
1. Introduction
2. Project Background and Subsoil Conditions
2.1. Soil Conditions
2.2. Geotechnical Instrumentation and Monitoring
2.3. Construction Sequence
3. Site Observations
3.1. Building and Ground Settlements
3.2. Specific Observations Along Walls E and F
3.3. Groundwater Levels
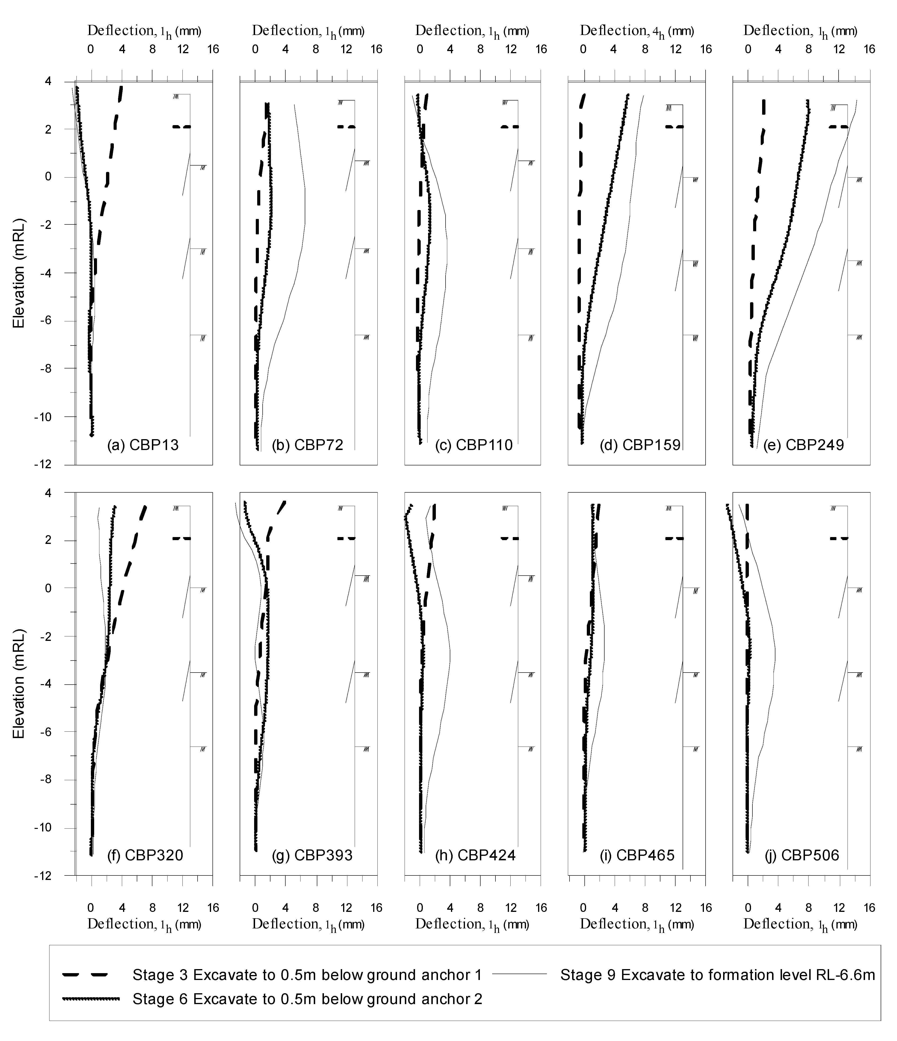
3.4. CBP Wall Deflections
3.5. Relationship between Maximum Wall Deflections and Maximum Settlements
3.6. Corner Effect on the Maximum Settlements
4. Conclusions
- Generally, CBP installation works did not cause much settlement to occur. The main excavation works had caused substantial building and ground settlement up to 98.3 mm and 93.3 mm, respectively. This accounts for 55% of the total building settlement and 53% of the total ground settlement. Due to the similarity in magnitude of the settlement, the buildings that are founded on timber bakau piles along Walls E and F are said to be settling together with the ground.
- Relatively large settlements were observed along Walls E and F, owing to ground anchor works that had (a) caused the soil particle to be washed out during the drilling process; and (b) punctured the CBP walls with cement grout column causing continuous groundwater loss. The ground anchor installation and pre-stressing works contributed up to 47% and 37% of the total building and ground settlement, respectively. The δvm/H is 1.23% for both building and ground settlement, much larger than most case histories.
- For the cut-and-cover tunnel where no CGC were available, the groundwater level was immediately drawn according to the excavation rate. Settlement rate slowed down upon the casting of skinwall. The construction of skinwall had effectively sealed off the site and prevented groundwater from leaking into the site, as evidenced at both the main basement and cut-and-cover tunnel.
- The toe movement is minimal, indicating that the wall is indeed properly socketed into phyllite. The initial deflection profile showed cantilever behavior and subsequently changed to prop mode after the installation of ground anchors, with the location of maximum deflection within Hm = H to Hm = H–4.5. The δhm for the final stage of excavation is 14.3 mm, while the δhm/H is less than 0.2%.
- Due to the relatively large δvm and small δhm, the δvm/δhm ratio is 14.8 and 14.5 for building and ground, respectively, far greater than those reported in the literature. Again, this further supports the observation where the settlement had been caused by groundwater loss. The similar δvm/δhm ratios between building and ground pointed to the fact that the building and the ground were settling together, as the buildings had been built on ‘floating’ timber bakau piles.
- Corner effect is apparent for Walls E and F, although the larger d’/L occurred within 0 to 0.5. The imbalance in the plane-strain condition is most likely due to the irregular geometry of the excavation that consists of a concave and a convex corner.
Author Contributions
Funding
Acknowledgments
Conflicts of Interest
References
- Blackburn, J.T.; Finno, R. Three-dimensional responses observed in an internally braced excavation in soft clay. J. Geotech. Geoenviron. Eng. 2007, 133, 1364–1373. [Google Scholar] [CrossRef]
- Burland, J.B.; Simpson, B.; St. John, H.D. Movements around excavations in London clay. In Proceedings of the 7th European Conference on Soil Mechanics and Foundation Engineering, Brighton, UK, 10–13 September 1979; Balkema: Rotterdam, The Netherlands, 1879; pp. 13–19. [Google Scholar]
- Clough, G.W.; O’Rourke, T.D. Construction Induced Movements of In-situ Walls. In Proceedings of the Design and Performance of Earth Retaining Structures, New York, NY, USA, 18–21 June 1990; pp. 439–470. [Google Scholar]
- Hashash, Y.M.A.; Whittle, A.J. Ground movement prediction for deep excavations in soft clay. J. Geotech. Eng. 1996, 122, 474–486. [Google Scholar] [CrossRef]
- Hsiung, B.-C.; Yang, K.-H.; Aila, W.; Ge, L. Three-dimensional effects of a deep excavation on wall defections in central Jakarta. Tunn. Undergr. Space Technol. 2018, 72, 84–96. [Google Scholar] [CrossRef]
- Ng, C.W.W.; Lings, M.L. Effects of Modeling Soil Nonlinearity and Wall Installation on Back-Analysis of Deep Excavation in Stiff Clay. J. Geotech. Eng. 1995, 121, 687–695. [Google Scholar] [CrossRef]
- Ng, C.W.W.; Yan, R.W.M. Three-dimensional modelling of a diaphragm wall construction sequence. Géotechnique 1999, 49, 825–834. [Google Scholar] [CrossRef]
- Ou, C.-Y.; Hsieh, P.-G.; Lin, Y.-L. A parametric study of wall deflections in deep excavations with the installation of cross walls. Comput. Geotech. 2013, 50, 55–65. [Google Scholar] [CrossRef]
- Tan, Y.; Wei, B. Observed Behaviours of a Long and Deep Excavation Constructed by Cut-and-Cover Technique in Shanghai Soft Clay. J. Geotec. Geoenviron. Eng. 2012, 138, 69–88. [Google Scholar] [CrossRef]
- Long, M. Database for Retaining Wall and Ground Movements Due to Deep Excavations. J. Geotech. Geoenviron. Eng. 2001, 127, 203–224. [Google Scholar] [CrossRef]
- Powrie, W.; Chandler, R.J.; Carder, D.R.; Watson, G.V.R. Back-analysis of an embedded retaining wall with a stabilizing base slab. Proc. Inst. Civ. Eng. Geotech. Eng. 1999, 137, 75–86. [Google Scholar] [CrossRef]
- Richards, D.J.; Wiggan, C.A.; Powrie, W. Seepage and pore pressures around contiguous pile retaining walls. Géotechnique 2016, 66, 523–532. [Google Scholar] [CrossRef]
- Croce, P.; Modoni, G. Design of jet-grouting cut-offs. Proc. ICE Ground Improv. 2007, 11, 11–19. [Google Scholar] [CrossRef]
- Pan, Y.; Liu, Y.; Chen, E.J. Probabilistic investigation on defective jet-grouted cut-off wall with random geometric imperfections. Géotechnique 2019, 69, 420–433. [Google Scholar] [CrossRef]
- Goh, K.H.; Mair, R.J. The horizontal response of framed buildings on individual footings to excavation-induced movements. Geotech. Asp. Undergr. Constr. Soft Ground Viggiani 2012, 895–902. [Google Scholar] [CrossRef]
- Ong, D.E.L.; Choo, C.S. Sustainable construction of a bored pile foundation system in erratic phyllite. In Proceedings of the ASEAN Australian Engineering Congress, Kuching, Sarawak, Malaysia, 25–27 July 2011. [Google Scholar]
- Hsieh, P.-G.; Ou, C.-Y.; Lin, Y.-K.; Lu, F.-C. Lessons Learned in Design of an Excavation with the Installation of Buttress Walls. J. Geoengin. 2015, 10, 63–73. [Google Scholar] [CrossRef]
- Puller, M. Deep Excavations: A Practical Manual; Thomas Telford Publishing: London, UK, 1996. [Google Scholar]
- Skempton, A.W.; MacDonald, D.H. The allowable settlements of buildings. Proc. Inst. Civ. Eng. 1956, 5, 727–768. [Google Scholar] [CrossRef]
- Gaba, A.R.; Simpson, B.; Powrie, W.; Beadman, D.R. Embedded Retaining Walls—Guidance for Economic Design; Ciria: London, UK, 2003; Volume 156. [Google Scholar]
- Kempfert, H.G.; Gebreselassie, B. Effect of anchor installation on settlement of nearby structures in soft soils. In Proceedings of the International Symposium on Geotechnical Aspects of Underground Construction in Soft Ground, Tokyo, Japan, 19–20 July 1999; pp. 665–670. [Google Scholar]
- Moormann, C. Analysis of wall and ground movements due to deep excavations in soft soil based on a new worldwide database. Soils Found. 2004, 44, 87–98. [Google Scholar] [CrossRef]
- Hsiung, B.-C.B.; Yang, K.-H.; Aila, W.; Hung, C. Three-dimensional effects of a deep excavation on wall deflections in loose to medium dense sands. Comput. Geotech. 2016, 80, 138–151. [Google Scholar] [CrossRef]
- Khoiri, M.; Ou, C.-Y. Evaluation of deformation parameter for deep excavation in sand through case histories. Comput. Geotech. 2013, 47, 57–67. [Google Scholar] [CrossRef]
- Russo, G.; Nicotera, M.V.; Autuori, S. Three-Dimensional Performance of a Deep Excavation in Sand. J. Geotech. Geoenviron. Eng. 2019, 145, 05019001. [Google Scholar] [CrossRef]
- Zhang, W.G.; Goh, A.T.C.; Goh, K.H.; Chew, O.Y.S.; Zhou, D.; Zhang, R. Performance of braced excavation in residual soil with groundwater drawdown. Undergr. Space 2018, 3, 150–165. [Google Scholar] [CrossRef]
- Hwang, R.; Moh, Z.-C.; Wang, C.H. Toe movements of diaphragm walls and correction of inclinometer readings. J. Geoengin. 2007, 2, 61–71. [Google Scholar] [CrossRef]
- Wong, I.H.; Poh, T.Y.; Chuah, H.L. Performance of Excavations for Depressed Expressway in Singapore. J. Geotech. Geoenviron. Eng. 1997, 123, 617–625. [Google Scholar] [CrossRef]
- Ou, C.-Y.; Hsieh, P.-G.; Chiou, D.-C. Characteristics of ground surface settlement during excavation. Can. Geotech. J. 1993, 30, 758–767. [Google Scholar] [CrossRef]
- Wang, Z.W.; Ng, C.W.W.; Liu, G.B. Characteristics of wall deflections and ground surface settlements in Shanghai. Can. Geotech. J. 2005, 42, 1243–1254. [Google Scholar] [CrossRef]
- Hsiung, B.-C.B. A case study on the behaviour of a deep excavation in sand. Comput. Geotech. 2009, 36, 665–675. [Google Scholar] [CrossRef]
- Ou, C.-Y.; Lai, C.-H. Finite-element analysis of deep excavation in layered sandy and clayey soil deposits. Can. Geotech. J. 1994, 31, 204–214. [Google Scholar] [CrossRef]
















| Stage | Construction Activity |
|---|---|
| 1 | Installation of CBP Wall |
| 2 | Casting of Pile Capping Beam |
| 3 | Excavate to 0.5 m below GA-1 (B1) (RL0.0m to RL + 1.0 m) |
| 4 | Installation of the first level of ground anchor (GA-1) (RL + 0.5 m to RL + 1.5 m) |
| 5 | Stressing of the first level of ground anchor (GA-1) |
| 6 | Excavate to 0.5 m below GA-2 (B2) (RL − 3.0 m to RL − 3.5 m) |
| 7 | Installation of the second level of ground anchor (GA-2) (RL − 2.5 m to RL − 3.0 m) |
| 8 | Stressing of the second level of ground anchor (GA-2) |
| 9 | Excavate to the formation level (B3) (RL − 6.6 m) |
| Stage | Construction Activity |
|---|---|
| 1 | Installation of CBP Wall |
| 2 | Excavation 1 to RL + 0.5 m |
| 3 | Excavation 2 to RL − 3.0 m |
| 4 | Installation of temporary struts |
| 5 | Excavation 3 to RL − 3.7 m |
| 6 | Excavation 4 to RL − 4.3 m |
| 7 | Construction of skinwall |
| Activity | CBP Wall Section | ||||||||||
|---|---|---|---|---|---|---|---|---|---|---|---|
| 13 | 72 | 110 | 159 | 249 | 320 | 393 | 424 | 465 | 506 | ||
| CBP wall installation | Building settlement during the activity (mm) | −0.1 | NIL | NIL | NIL | NIL | 1.4 | −11.0 | −5.9 | −14.0 | −4.4 |
| % of total settlement | 1 | NIL | NIL | NIL | NIL | −44 | 6 | 11 | 25 | 8 | |
| Ground settlement during the activity (mm) | −0.3 | −6.4 | −7.4 | −3.7 | −4.3 | −17.6 | −4.3 | −9.6 | −13.2 | NIL | |
| % of total settlement | 1 | 27 | 22 | 15 | 20 | 24 | 2 | 12 | 24 | NIL | |
| Main excavation works | Building settlement during the activity (mm) | −6.7 | NIL | 0 | NIL | NIL | 4.2 | −98.3 | −32.8 | −20.2 | −18.7 |
| % of total settlement | 16 | NIL | 0 | NIL | NIL | −131 | 55 | 62 | 36 | 34 | |
| Ground settlement during the activity (mm) | −7.1 | −3.1 | −8.4 | −10.5 | −16.9 | −17.2 | −93.3 | −49.3 | −17.9 | NIL | |
| % of total settlement | 12 | 13 | 26 | 43 | 77 | 24 | 53 | 61 | 32 | NIL | |
| Activity | Stages | Settlement Category | Percentage of Total Settlement during the Duration (%) | |||
|---|---|---|---|---|---|---|
| CBP393 | CBP424 | CBP465 | CBP506 | |||
| Ground anchor works | 4&5 | Building | 7–15 | 0–37 | 1–7 | 0–8 |
| Ground | 0–5 | 2 | 0 | No data | ||
| 7&8 | Building | 9–33 | 12–47 | 1–18 | 2–19 | |
| Ground | 0–34 | 10–37 | 11 | No data | ||
| Excavation works | 3 | Building | 1–3 | 0 | 1–6 | 0–4 |
| Ground | 0–4 | 0 | 1–15 | No data | ||
| 6 | Building | 2–18 | 2–7 | 2–80 | 4–53 | |
| Ground | 0–11 | 7 | 14 | No data | ||
| 9 | Building | 1–8 | 1–3 | 1–18 | 0–4 | |
| Ground | 0–8 | 4 | 8 | No data | ||
© 2020 by the authors. Licensee MDPI, Basel, Switzerland. This article is an open access article distributed under the terms and conditions of the Creative Commons Attribution (CC BY) license (http://creativecommons.org/licenses/by/4.0/).
Share and Cite
Chong, E.E.-M.; Ong, D.E.-L. Data-Driven Field Observational Method of a Contiguous Bored Pile Wall System Affected by Accidental Groundwater Drawdown. Geosciences 2020, 10, 268. https://doi.org/10.3390/geosciences10070268
Chong EE-M, Ong DE-L. Data-Driven Field Observational Method of a Contiguous Bored Pile Wall System Affected by Accidental Groundwater Drawdown. Geosciences. 2020; 10(7):268. https://doi.org/10.3390/geosciences10070268
Chicago/Turabian StyleChong, Elizabeth Eu-Mee, and Dominic Ek-Leong Ong. 2020. "Data-Driven Field Observational Method of a Contiguous Bored Pile Wall System Affected by Accidental Groundwater Drawdown" Geosciences 10, no. 7: 268. https://doi.org/10.3390/geosciences10070268
APA StyleChong, E. E.-M., & Ong, D. E.-L. (2020). Data-Driven Field Observational Method of a Contiguous Bored Pile Wall System Affected by Accidental Groundwater Drawdown. Geosciences, 10(7), 268. https://doi.org/10.3390/geosciences10070268

