RETRACTED: Hair Cortisol and Fe-BARQ: Evaluating Chronic Stress and Behavior in Cats with Chronic Kidney Disease
Simple Summary
Abstract
1. Introduction
2. Materials and Methods
2.1. Animals
2.2. Hair Sample Collection and Cortisol Analysis
2.3. Cortisol Extraction and Analysis Procedure
2.4. Fe-BARQ
2.5. Statistical Analysis
3. Results
3.1. General Characteristics
3.2. Comparison of Hair Cortisol Concentration
3.3. Behavioral Differences Among the Control, Early-Stage CKD, and Late-Stage CKD Groups
3.4. Correlation Between HCC and Fe-BARQ Results
3.4.1. Control Group (n = 21)
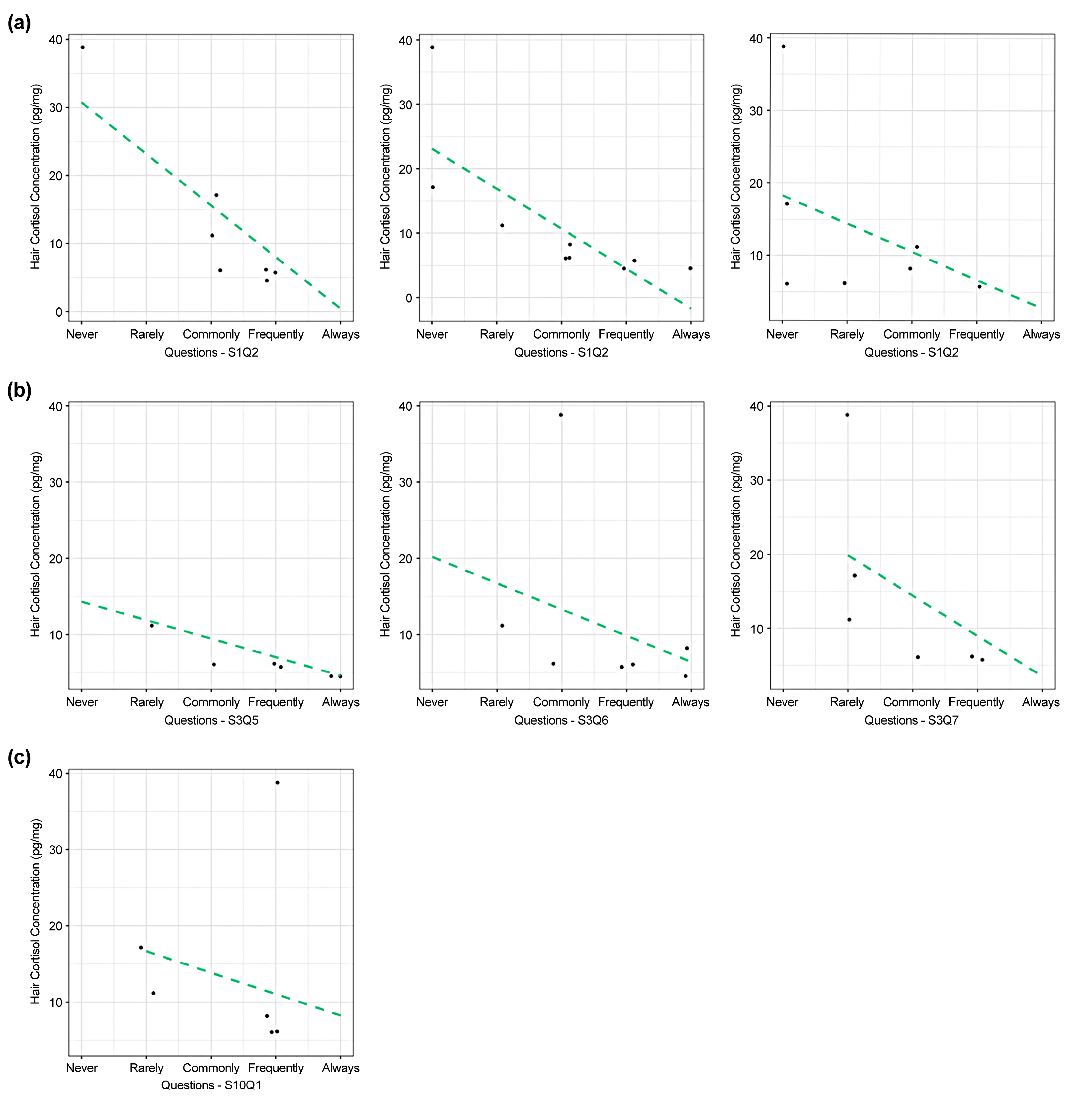
3.4.2. Early-Stage CKD Group (n = 9)
3.4.3. Late-Stage CKD Group (n = 10)
3.5. Correlation Between HCC and Other Factors
Environmental Factors
3.6. Cat Owner Assessment
3.7. Biochemical Parameters
4. Discussion
5. Conclusions
Supplementary Materials
Author Contributions
Funding
Institutional Review Board Statement
Informed Consent Statement
Data Availability Statement
Acknowledgments
Conflicts of Interest
Abbreviations
| CKD | chronic kidney disease |
| CREA | creatinine |
| HCC | hair cortisol concentration |
| IRIS | International Renal Interest Society |
| Fe-BARQ | Feline Behavioral Assessment & Research Questionnaire |
| FIC | feline idiopathic cystitis |
| SDMA | symmetric dimethylarginine |
References
- Lamon, T.K.; Lidbury, J.; Guadiano, P.; Colombo, E.; Budke, C. Assessing chronic stress in cats: Measuring hair cortisol using an ELISA. J. Vet. Diagn. Investig. 2024, 26, 10406387241309391. [Google Scholar] [CrossRef] [PubMed]
- Cook, N.J. Review: Minimally Invasive Sampling Media and the Measurement of Corticosteroids as Biomarkers of Stress in Animals. Can. J. Anim. Sci. 2012, 92, 227–259. [Google Scholar] [CrossRef]
- Sic, A.; Cvetkovic, K.; Manchanda, E.; Knezevic, N.N. Neurobiological implications of chronic stress and metabolic dysregulation in inflammatory bowel diseases. Diseases 2024, 12, 220. [Google Scholar] [CrossRef]
- İncirkuş, K.; Altan Sarikaya, N. Psychological Stress and chronic disease management during the COVID-19 pandemic in Turkey: A cross-sectional web-based study. Bezmiâlem Sci. 2023, 11, 432–439. [Google Scholar] [CrossRef]
- Alotiby, A. Immunology of stress: A review article. J. Clin. Med. 2024, 13, 6394. [Google Scholar] [CrossRef]
- Rothlin-Zachrisson, N.; Röcklinsberg, H.; Jettel, E.; Bergqvist, F.J.; Stadig, S.; Öhlund, M.; Mariti, C.; Holst, B.S. Hair cortisol concentrations in clipped and combed hair and associations with characteristics, health status and stress in domestic cats. Sci. Rep. 2024, 14, 21846. [Google Scholar] [CrossRef] [PubMed]
- Chen, S.; Liu, Y.; Wang, Y.; Wen, Z.; Meng, J.; Yang, Y.; Zhang, Y.; Kong, M.; Chen, G.; Cao, X. Determination of QLNC-3A6 in canine plasma by UHPLC-MS/MS and its application in pharmacokinetic studies. Vet. Q. 2024, 44, 1–11. [Google Scholar] [CrossRef]
- Westropp, J.L.; Kass, P.H.; Buffington, C.A.T. Evaluation of the effects of stress in cats with idiopathic cystitis. Am. J. Vet. Res. 2006, 67, 731–736. [Google Scholar] [CrossRef]
- Buffington, C.A.T.; Bain, M. Stress and feline health. Vet. Clin. N. Am. Small Anim. Pract. 2020, 50, 653–662. [Google Scholar] [CrossRef]
- Hatala, P.; Sebők, C.; Mackei, M.; Kárpáti, K.; Gálfi, P.; Neogrády, Z.; Mátis, G. Molecular effects of intermittent stress on primary feline uroepithelial cell culture as an in vitro model of feline idiopathic cystitis. Front. Vet. Sci. 2023, 10, 1258375. [Google Scholar] [CrossRef]
- Stella, J.L.; Lord, L.K.; Buffington, C.A.T. Sickness behaviors in response to unusual external events in healthy cats and cats with feline interstitial cystitis. J. Am. Vet. Med. Assoc. 2011, 238, 67–73. [Google Scholar] [CrossRef]
- Kongtasai, T.; Paepe, D.; Meyer, E.; Mortier, F.; Marynissen, S.; Stammeleer, L.; Defauw, P.; Daminet, S. Renal biomarkers in cats: A review of the current status in chronic kidney disease. J. Vet. Intern. Med. 2022, 36, 379–396. [Google Scholar] [CrossRef] [PubMed]
- Heidenberger, E. Housing conditions and behavioural problems of indoor cats as assessed by their owners. Appl. Anim. Behav. Sci. 1997, 52, 345–364. [Google Scholar] [CrossRef]
- Amat, M.; Camps, T.; Manteca, X. Stress in owned cats: Behavioural changes and welfare implications. J. Feline Med. Surg. 2016, 18, 577–586. [Google Scholar] [CrossRef] [PubMed]
- Horwitz, D.F.; Rodan, I. Behavioral awareness in the feline consultation: Understanding physical and emotional health. J. Feline Med. Surg. 2018, 20, 423–436. [Google Scholar] [CrossRef]
- Wiepkema, P.R.; Koolhaas, J.M. Stress and animal welfare. Anim. Welf. 1993, 2, 195–218. [Google Scholar] [CrossRef]
- Powell, L.; Watson, B.; Serpell, J. Understanding feline feelings: An investigation of cat owners’ perceptions of problematic cat behaviors. Appl. Anim. Behav. Sci. 2023, 266, 106025. [Google Scholar] [CrossRef]
- Rodan, I.; Ramos, D.; Carney, H.; DePorter, T.; Horwitz, D.F.; Mills, D.; Vitale, K. 2024 AAFP intercat tension guidelines: Recognition, prevention and management. J. Feline Med. Surg. 2024, 26, 1098612X241263465. [Google Scholar] [CrossRef]
- Stella, J.; Croney, C.; Buffington, T. Effects of stressors on the behavior and physiology of domestic cats. Appl. Anim. Behav. Sci. 2013, 143, 157–163. [Google Scholar] [CrossRef]
- Nicolae, S.; Codreanu, I. General aspects regarding the impact of stress on the main behavioral manifestations in domestic cats. Pract. Vet. 2022, 2, 30. [Google Scholar] [CrossRef]
- Lamon, T.K.; Slater, M.R.; Moberly, H.K.; Budke, C.M. Welfare and quality of life assessments for shelter cats: A scoping review. Appl. Anim. Behav. Sci. 2023, 258, 105797. [Google Scholar] [CrossRef]
- Houser, B.; Vitale, K.R. Increasing shelter cat welfare through enrichment: A review. Appl. Anim. Behav. Sci. 2022, 248, 105585. [Google Scholar] [CrossRef]
- Klintip, W.; Jarudecha, T.; Rattanatumhi, K.; Ritchoo, S.; Muikaew, R.; Wangsud, S.; Sussadee, M. First study on stress evaluation and reduction in hospitalized cats after neutering surgery. Vet. World 2022, 15, 2111–2118. [Google Scholar] [CrossRef] [PubMed]
- Eagan, B.H.; van Haaften, K.; Protopopova, A. Daily gabapentin improved behavior modification progress and decreased stress in shelter cats from hoarding environments in a double-blind randomized placebo-controlled clinical trial. J. Am. Vet. Med. Assoc. 2023, 261, 1305–1315. [Google Scholar] [CrossRef] [PubMed]
- Ellis, J.J. Beyond “Doing Better”: Ordinal Rating Scales to Monitor Behavioural Indicators of Well-Being in Cats. Animals 2022, 12, 2897. [Google Scholar] [CrossRef]
- McCobb, E.C.; Patronek, G.J.; Marder, A.; Dinnage, J.D.; Stone, M.S. Assessment of stress levels among cats in four animal shelters. J. Am. Vet. Med. Assoc. 2005, 226, 548–555. [Google Scholar]
- Halm, D. (Cat)egory Mistake: The Invalidity of Animal Shelter Behavior Assessments. Biol. Philos. 2021, 36, 35. [Google Scholar] [CrossRef]
- Menor-Campos, D.J.; Ruiz-Soriano, C.; Serpell, J. Exploring domestic cat behavior using the Fe-BARQ. J. Vet. Behav. 2024, 71, 27–40. [Google Scholar] [CrossRef]
- Duffy, D.L.; De Moura, R.T.D.; Serpell, J.A. Development and Evaluation of the Fe-BARQ: A new survey instrument for measuring behavior in domestic cats (Felis s. catus). Behav. Processes. 2017, 141, 329–341. [Google Scholar] [CrossRef]
- Menor-Campos, D.J.; Ruiz-Soriano, C.; Serpell, J. Spanish Validation of the Fe-BARQ Questionnaire: A Replication Study. J. Vet. Behav. Clin. Appl. Res. 2021, 46, 101–114. [Google Scholar] [CrossRef]
- Takagi, S.; Koyasu, H.; Hattori, M.; Nagasawa, T.; Maejima, M.; Nagasawa, M.; Kikusui, T.; Saito, A. Effects of the COVID-19 Pandemic on the Behavioural Tendencies of Cats and Dogs in Japan. Animals 2023, 13, 2217. [Google Scholar] [CrossRef]
- Delanoeije, J.; Moons, C.P.H.; Peeters, E.H.K.A.; Pendry, P. Behavioural Profile Differences Between Cats in Animal-Assisted Services (AAS) and Non-AAS Cats Using the Fe-BARQ in Flanders. Animals 2025, 15, 33. [Google Scholar] [CrossRef]
- Fukimoto, N.; Melo, D.; Palme, R.; Zanella, A.J.; Mendonça-Furtado, O. Are cats less stressed in homes than in shelters? A study of personality and faecal cortisol metabolites. Appl. Anim. Behav. Sci. 2020, 224, 104919. [Google Scholar] [CrossRef]
- Moody, C.M.; Dewey, C.E.; Niel, L. Cross-sectional survey of cat handling practices in veterinary clinics throughout Canada and the United States. J. Am. Vet. Med. Assoc. 2020, 256, 1020–1033. [Google Scholar] [CrossRef]
- Willemse, T.; Vroom, M.W.; Mol, J.A.; Rijnberk, A. Changes in plasma cortisol, corticotropin, and α-melanocyte-stimulating hormone concentrations in cats before and after physical restraint and intradermal testing. Am. J. Vet. Res. 1993, 54, 69–72. [Google Scholar] [CrossRef]
- Mormède, P.; Andanson, S.; Aupérin, B.; Beerda, B.; Guémené, D.; Malmkvist, J.; Manteca, X.; Manteuffel, G.; Prunet, P.; van Reenen, C.G.; et al. Exploration of the hypothalamic-pituitary-adrenal function as a tool to evaluate animal welfare. Physiol. Behav. 2007, 92, 317–339. [Google Scholar] [CrossRef] [PubMed]
- Silva, B.P.L.D.; Knackfuss, F.B.; Labarthe, N.; Mendes-de-Almeida, F. Effect of a synthetic analogue of the feline facial pheromone on salivary cortisol levels in the domestic cat. Pesq. Vet. Bras. 2017, 37, 287–290. [Google Scholar] [CrossRef]
- Lichtsteiner, M.; Turner, D.C. Influence of indoor-cat group size and dominance rank on urinary cortisol levels. Anim. Welf. 2008, 17, 215–237. [Google Scholar] [CrossRef]
- Kojima, K.; Maki, S.; Hirata, K.; Higuchi, S.; Akazawa, K.; Tashiro, N. Relation of emotional behaviors to urine catecholamines and cortisol. Physiol. Behav. 1995, 57, 445–449. [Google Scholar] [CrossRef]
- Nagasawa, T.; Kimura, Y.; Masuda, K.; Uchiyama, H. Physiological Assessment of the Health and Welfare of Domestic Cats-An Exploration of Factors Affecting Urinary Cortisol and Oxytocin. Animals 2022, 12, 3330. [Google Scholar] [CrossRef]
- Nagasawa, T.; Ohta, M.; Uchiyama, H. The urinary hormonal state of cats associated with social interaction with humans. Front. Vet. Sci. 2021, 8, 680843. [Google Scholar] [CrossRef]
- Carlisle, G.K.; Johnson, R.A.; Koch, C.S.; Lyons, L.A.; Wang, Z.; Bibbo, J.; Cheak-Zamora, N. Exploratory study of fecal cortisol, weight, and behavior as measures of stress and welfare in shelter cats during assimilation into families of children with autism spectrum disorder. Front. Vet. Sci. 2021, 8, 643803. [Google Scholar] [CrossRef] [PubMed]
- Pavlova, E.V.; Alekseeva, G.S.; Erofeeva, M.N.; Vasilieva, N.A.; Tchabovsky, A.V.; Naidenko, S.V. The method matters: The effect of handling time on cortisol level and blood parameters in wild cats. J. Exp. Zool. A Ecol. Integr. Physiol. 2018, 329, 112–119. [Google Scholar] [CrossRef]
- Wrześniewsk, K.; Madany, J.; Milczak, A. Serum levels of cortisol, adrenaline, noradrenaline, glucose and platelet counts in cats depending on the behavioural assessment of acute stress. Med. Weter. 2024, 80, 532–536. [Google Scholar] [CrossRef]
- Nibblett, B.M.; Ketzis, J.K.; Grigg, E.K. Comparison of stress exhibited by cats examined in a clinic versus a home setting. Appl. Anim. Behav. Sci. 2015, 173, 68–75. [Google Scholar] [CrossRef]
- Contreras, E.T.; Vanderstichel, R.; Hovenga, C.; Lappin, M.R. Evaluation of hair and nail cortisol concentrations and associations with behavioral, physical, and environmental indicators of chronic stress in cats. J. Vet. Intern. Med. 2021, 35, 2662–2672. [Google Scholar] [CrossRef]
- Ataallahi, M.; Nejad, J.G.; Park, K.H. Selection of appropriate biomatrices for studies of chronic stress in animals: A review. J. Anim. Sci. Technol. 2022, 64, 621–639. [Google Scholar] [CrossRef]
- Vojtkovská, V.; Voslářová, E.; Večerek, V. Methods of assessment of the welfare of shelter cats: A review. Animals 2020, 10, 1527. [Google Scholar] [CrossRef]
- Carlitz, E.H.D.; Miller, R.; Kirschbaum, C.; Gao, W.; Hänni, D.C.; van Schaik, C.P. Measuring hair cortisol concentrations to assess the effect of anthropogenic impacts on wild chimpanzees (Pan troglodytes). PLoS ONE 2016, 11, e0151870. [Google Scholar] [CrossRef]
- Russell, E.; Koren, G.; Rieder, M.; Van Uum, S. Hair cortisol as a biological marker of chronic stress: Current status, future directions and unanswered questions. Psychoneuroendocrinology 2012, 37, 589–601. [Google Scholar] [CrossRef]
- Wojtaś, J. Hair cortisol levels in cats with and without behavioural problems. J. Feline Med. Surg. 2023, 25, 1098612X221150624. [Google Scholar] [CrossRef] [PubMed]
- Sagmeister, M.S.; Harper, L.; Hardy, R.S. Cortisol Excess in Chronic Kidney Disease—A Review of Changes and Impact on Mortality. Front. Endocrinol. 2023, 13, 1075809. [Google Scholar] [CrossRef]
- Koga, K.; Hara, M.; Shimanoe, C.; Nishida, Y.; Furukawa, T.; Iwasaka, C.; Tanaka, K.; Otonari, J.; Ikezaki, H.; Kubo, Y.; et al. Association of perceived stress and coping strategies with the renal function in middle-aged and older Japanese men and women. Sci. Rep. 2022, 12, 291. [Google Scholar] [CrossRef]
- Su, G.; Song, H.; Lanka, V.; Liu, X.; Fang, F.; Valdimarsdóttir, U.A.; Carrero, J.J. Stress Related Disorders and the Risk of Kidney Disease. Kidney Int. Rep. 2021, 6, 706–715. [Google Scholar] [CrossRef]
- Bruce, M.A.; Griffith, D.M.; Thorpe, R.J. Stress and the kidney. Adv. Chronic Kidney Dis. 2015, 22, 46–53. [Google Scholar] [CrossRef]
- Finch, N.C.; Syme, H.M.; Elliott, J. Risk factors for development of chronic kidney disease in cats. J. Vet. Intern. Med. 2016, 30, 602–610. [Google Scholar] [CrossRef]
- Ostrovskyi, O.Y.; Slivinska, L.G. Effectiveness of complex treatment of cats for chronic kidney disease. Ukr. Jour. Vet. Agr. Sci. 2023, 6, 56–60. [Google Scholar] [CrossRef]
- Bijsmans, E.S.; Jepson, R.E.; Syme, H.M.; Elliott, J.; Niessen, S.J.M. Psychometric validation of a general health quality of life tool for cats used to compare healthy cats and cats with chronic kidney disease. J. Vet. Intern. Med. 2016, 30, 183–191. [Google Scholar] [CrossRef] [PubMed]
- Hall, J.A.; Jewell, D.E.; Ephraim, E. Feeding cats with chronic kidney disease food supplemented with betaine and prebiotics increases total body mass and reduces uremic toxins. PLoS ONE 2022, 17, e0268624. [Google Scholar] [CrossRef]
- Schauf, S.; Coltherd, J.C.; Atwal, J.; Gilham, M.; Carvell-Miller, L.J.; Renfrew, H.; Elliott, J.; Elliott, D.; Bijsmans, E.S.; Biourge, V.C.; et al. Clinical progression of cats with early-stage chronic kidney disease fed diets with varying protein and phosphorus contents and calcium to phosphorus ratios. J. Vet. Intern. Med. 2021, 35, 2797–2811. [Google Scholar] [CrossRef]
- Tsai, C.W.; Huang, H.W.; Lee, Y.J.; Chen, M.J. Investigating the efficacy of kidney-protective lactobacillus mixture-containing pet treats in feline chronic kidney disease and its possible mechanism. Animals 2024, 14, 630. [Google Scholar] [CrossRef] [PubMed]
- Jones, S.E.; Quimby, J.M.; Summers, S.C.; Adams, S.M.; Caney, S.M.; Rudinsky, A.J. Survey of defecation habits in apparently healthy and chronic kidney disease cats. J. Feline Med. Surg. 2022, 24, 131–141. [Google Scholar] [CrossRef]
- Sparkes, A.H.; Caney, S.; Chalhoub, S.; Elliott, J.; Finch, N.; Gajanayake, I.; Langston, C.; Lefebvre, H.P.; White, J.; Quimby, J. ISFM Consensus Guidelines on the Diagnosis and Management of Feline Chronic Kidney Disease. J. Feline Med. Surg. 2016, 18, 219–239. [Google Scholar] [CrossRef]
- Davenport, M.D.; Tiefenbacher, S.; Lutz, C.K.; Novak, M.A.; Meyer, J.S. Analysis of endogenous cortisol concentrations in the hair of rhesus macaques. Gen. Comp. Endocrinol. 2006, 147, 255–261. [Google Scholar] [CrossRef] [PubMed]
- Ghassemi Nejad, J.G.; Lohakare, J.D.; Son, J.K.; Kwon, E.G.; West, J.W.; Sung, K.I. Wool cortisol is a better indicator of stress than blood cortisol in ewes exposed to heat stress and water restriction. Animal 2014, 8, 128–132. [Google Scholar] [CrossRef] [PubMed]
- Nejad, J.G.; Kim, B.W.; Lee, B.H.; Kim, J.Y.; Sung, K.I. Effects of water addition to total mixed ration on water intake, nutrient digestibility, wool cortisol and blood indices in Corriedale ewes. Asian-Australas. J. Anim. Sci. 2017, 30, 1435–1441. [Google Scholar] [CrossRef]
- Nejad, J.G.; Ataallahi, M.; Park, K.H. Methodological validation of measuring Hanwoo hair cortisol concentration using bead beater and surgical scissors. J. Anim. Sci. Technol. 2019, 61, 41–46. [Google Scholar] [CrossRef]
- Stalder, T.; Steudte-Schmiedgen, S.; Alexander, N.; Klucken, T.; Vater, A.; Wichmann, S.; Kirschbaum, C.; Miller, R. Stress-Related and Basic Determinants of Hair Cortisol in Humans: A Meta-Analysis. Psychoneuroendocrinology 2017, 77, 261–274. [Google Scholar] [CrossRef]
- Packer, R.M.A.; Davies, A.M.; Volk, H.A.; Puckett, H.L.; Hobbs, S.L.; Fowkes, R.C. What Can We Learn from the Hair of the Dog? Complex Effects of Endogenous and Exogenous Stressors on Canine Hair Cortisol. PLoS ONE 2019, 14, e0216000. [Google Scholar] [CrossRef]
- Damián, J.P.; Banguese, M.E.; Bentancor, S.; Pérez, A.; Sierra, S.; Echaides, C.; Pérez-Sarasqueta, A.; Menezes, A.C.; Pessina, P.; Villagrán, M. Further Than Fur: Effects of Sex, Body Site, and Season on Hair Color and Hair Cortisol Concentration in Captive Addax Nasomaculatus Antelopes. Ruminants 2024, 4, 280–291. [Google Scholar] [CrossRef]
- Taylor, S.; St Denis, K.; Collins, S.; Dowgray, N.; Ellis, S.L.; Heath, S.; Rodan, I.; Ryan, L. 2022 ISFM/AAFP Cat Friendly Veterinary Environment Guidelines. J. Feline Med. Surg. 2022, 24, 1133–1163. [Google Scholar] [CrossRef] [PubMed]
- Tateo, A.; Zappaterra, M.; Covella, A.; Padalino, B. Factors Influencing Stress and Fear-Related Behaviour of Cats during Veterinary Examinations. Ital. J. Anim. Sci. 2021, 20, 46–58. [Google Scholar] [CrossRef]
- Mariti, C.; Bowen, J.E.; Campa, S.; Grebe, G.; Sighieri, C.; Gazzano, A. Guardians’ Perceptions of Cats’ Welfare and Behavior Regarding Visiting Veterinary Clinics. J. Appl. Anim. Welf. Sci. 2016, 19, 375–384. [Google Scholar] [CrossRef]
- Riemer, S.; Heritier, C.; Windschnurer, I.; Pratsch, L.; Arhant, C.; Affenzeller, N. A Review on Mitigating Fear and Aggression in Dogs and Cats in a Veterinary Setting. Animals 2021, 11, 158. [Google Scholar] [CrossRef] [PubMed]
- Vojtkovská, V.; Voslářová, E.; Večerek, V.; Tomečková, L. Changes in sociability of shelter cats. J. Vet. Behav. 2022, 49, 20–27. [Google Scholar] [CrossRef]
- DiBartola, S.P.; Rutgers, H.C.; Zack, P.M.; Tarr, M.J. Clinicopathologic findings associated with chronic renal disease in cats: 74 cases (1973–1984). J. Am. Vet. Med. Assoc. 1987, 190, 1196–1202. [Google Scholar] [CrossRef]
- Curtis, T.M.; Knowles, R.J.; Crowell-Davis, S.L. Influence of familiarity and relatedness on proximity and allogrooming in domestic cats (Felis catus). Am. J. Vet. Res. 2003, 64, 1151–1154. [Google Scholar] [CrossRef]
- Carlstead, K.; Brown, J.L.; Strawn, W. Behavioral and physiological correlates of stress in laboratory cats. Appl. Anim. Behav. Sci. 1993, 38, 143–158. [Google Scholar] [CrossRef]
- Wojtaś, J.; Czyżowski, P.; Kaszycka, K.; Kaliszyk, K.; Karpiński, M. The impact of environmental enrichment on the cortisol level of shelter cats. Animals 2024, 14, 1392. [Google Scholar] [CrossRef]
- Saito, A.; Shinozuka, K.; Ito, Y.; Hasegawa, T. Domestic cats (Felis catus) discriminate their names from other words. Sci. Rep. 2019, 9, 5394. [Google Scholar] [CrossRef]
- Quimby, J.M.; Smith, M.L.; Lunn, K.F. Evaluation of the effects of hospital visit stress on physiologic parameters in the cat. J. Feline Med. Surg. 2011, 13, 733–737. [Google Scholar] [CrossRef] [PubMed]
- Zhang, L.; Bian, Z.; Liu, Q.; Deng, B. Dealing with stress in cats: What is new about the olfactory strategy? Front. Vet. Sci. 2022, 9, 928943. [Google Scholar] [CrossRef]
- Brown, C.A.; Elliott, J.; Schmiedt, C.W.; Brown, S.A. Chronic kidney disease in aged cats: Clinical features, morphology, and proposed pathogeneses. Vet. Pathol. 2016, 53, 309–326. [Google Scholar] [CrossRef]
- Foreman-Worsley, R.; Farnworth, M.J. A systematic review of social and environmental factors and their implications for indoor cat welfare. Appl. Anim. Behav. Sci. 2019, 220, 104841. [Google Scholar] [CrossRef]
- Vinke, C.M.; Godijn, L.M.; van der Leij, W.J.R. Will a hiding box provide stress reduction for shelter cats? Appl. Anim. Behav. Sci. 2014, 160, 86–93. [Google Scholar] [CrossRef]
- Rochlitz, I. A review of the housing requirements of domestic cats (Felis silvestris catus) kept in the home. Appl. Anim. Behav. Sci. 2005, 93, 97–109. [Google Scholar] [CrossRef]
- Bradshaw, J. Normal feline behaviour: … and why problem behaviours develop. J. Feline Med. Surg. 2018, 20, 411–421. [Google Scholar] [CrossRef]
- Van Belle, M.J.R.; Gajdoš Kmecová, N.; Tuyttens, F.A.M.; Mills, D.S.; De Keuster, T.C.B.M. Involving caregivers in behavioural research: A SWOT analysis of two citizen science research methodologies to study cat-cat interactions at home. Appl. Anim. Behav. Sci. 2024, 270, 106133. [Google Scholar] [CrossRef]
- Grigg, E.K.; Kogan, L.R. Owners’ Attitudes, Knowledge, and Care Practices: Exploring the Implications for Domestic Cat Behavior and Welfare in the Home. Animals 2019, 9, 978. [Google Scholar] [CrossRef]
- Urrutia, A.; Bánszegi, O.; Szenczi, P.; Hudson, R. Development of ‘personality’ in the domestic cat: A longitudinal study. Dev. Psychobiol. 2023, 65, e22427. [Google Scholar] [CrossRef]
- Kemppainen, R.J.; Peterson, M.E. Domestic cats show episodic variation in plasma concentrations of adrenocorticotropin, alpha-melanocyte-stimulating hormone (alpha-MSH), cortisol and thyroxine with circadian variation in plasma alpha-MSH concentrations. Eur. J. Endocrinol. 1996, 134, 602–609. [Google Scholar] [CrossRef] [PubMed]





| Group | |||
|---|---|---|---|
| Control | Early-Stage CKD | Late-Stage CKD | |
| BUN (mg/dL) | 21.33 ± 3.57 | 35.40 ± 15.33 | 69.09 ± 32.05 |
| CRE (mg/dL) | 1.45 ± 0.24 | 2.40 ± 0.29 | 4.11 ± 1.19 |
| SDMA (μg/dL) | 10.57 ± 2.46 | 15.25 ± 3.11 | 19.11 ± 5.71 |
| Hct (%) | 44.96 ± 4.89 | - | - |
| PLT (103/μL) | 27.89 ± 64.53 | - | - |
| WBC (/μL) | 153.81 ± 92.91 | - | - |
| ALB (μg/dL) | 3.04 ± 0.36 | - | - |
| TP (g/dL) | 7.60 ± 0.49 | - | - |
| GLU (mg/dL) | 113.19 ± 25.44 | - | - |
| ALKP (U/L) | 35.14 ± 12.21 | - | - |
| ALT (U/L) | 52.29 ± 17.85 | - | - |
| Variables | Reference Range | Group | p-Values | ||
|---|---|---|---|---|---|
| Control (n = 21) | Early-Stage CKD (n = 10) | Late-Stage CKD (n = 11) | |||
| Breed | - | Abyssinian (1), American Shorthair (1), British Shorthair (2), Korean Shorthair (10), Mixed (1), Munchkin (3), Scottish Straight (1), Selkirk Rex (1), Siamese (1) | Abyssinian (1), Exotic (1), Korean Shorthair (6), Persian (1), Russian Blue (1) | Abyssinian (1), British Shorthair (1), Korean Shorthair (4), Mixed (1), Neva Masquerade (1), Persian (1), Scottish Straight (1), Siamese (1) | 0.478 |
| Sex | - | CM (10), SF (11) | CM (7), SF (3) | CM (8), SF (3) | 0.331 |
| Age (years) | - | 6.14 ± 3.24 | 11.30 ± 3.56 | 14.36 ± 4.61 | <0.001 |
| Body weight (kg) | - | 5.14 ± 1.09 | 4.57 ± 1.42 | 4.50 ± 1.64 | 0.173 |
| Hair cortisol concentration (pg/mg) | - | 5.55 ± 4.10 | 10.70 ± 10.64 | 20.95 ± 41.13 | 0.005 |
| Duration of cat ownership (years) | - | 5.61 ± 3.28 | 10.43 ± 6.04 | 12.39 ± 4.58 | 0.411 |
| Indoor/ Outdoor | - | Indoor (21) | Indoor (10) | Indoor (11) | 1.0 |
| Number of other cats | - | 0.38 ± 0.67 | 0.67 ± 1.00 | 1.27 ± 2.94 | 0.814 |
| Number of other dogs | - | 0.00 ± 0.00 | 0.22 ± 0.67 | 0.00 ± 0.00 | 0.537 |
| Spending time interacting with your cat (minutes per day) | - | 23.10 ± 16.32 | 46.22 ± 74.75 | 30.91 ± 34.27 | 0.806 |
| Factor | Item | Description |
|---|---|---|
| Activity/Playfulness | S1Q2 | Curious: actively investigates/explores new objects, sights, or changes in its environment |
| S1Q3 | Carries small objects or toys in the mouth to interact with | |
| S1Q4 | Runs and jumps in the air | |
| S1Q5 | Engages in active jumping and climbing on high surfaces, furniture, or curtains/drapes | |
| S1Q7 | Stalks, chases, or pounces on moving objects (string, balls, soft toys) during playful activity | |
| Purring | S3Q5 | Purrs when sitting or lying on someone’s lap |
| Attention seeking | S3Q6 | Nudges and/or nuzzles household members when they are sitting or lying down |
| S3Q7 | Seeks physical contact with household members when they are sitting or lying down | |
| Sociability with cats and touch sensitivity/Owner-directed aggression | S4Q2 | Greets unfamiliar (non-household) cats visiting your home in a friendly manner (sniffs, touches nose, rubs) |
| S4Q7 | Scratches, bites, or attempts to bite (in a non-playful way) when petted on the belly | |
| S4Q9 | Lashes out (scratches, bites) unexpectedly when petted | |
| Dog Aggression | S6Q1 | Attacks (scratches, bites, or attempts to bite) familiar dog(s) |
| S6Q2 | Growls/hisses at familiar dog(s) | |
| Trainability | S10Q1 | Comes when called |
| S10Q3 | Attends and listens closely to everything you say or do | |
| Location preferences for resting/sleeping | S12Q2 | Tends to sleep or rest on warm appliances (DVD player, TV, printer, computer, radiator, etc. |
| Miscellaneous behaviors | S15Q6 | Appears uncomfortable (trembles, becomes rigid/tense, struggles) when picked up/held in arms and/or when sitting on laps |
| S15Q8 | Plays “fetch” by retrieving thrown objects or toys |
| Group | Increased/More Likely | Decreased/Less Likely | ||
|---|---|---|---|---|
| Item | ρ (p-Value) | Item | ρ (p-Value) | |
| Controls | - | - | S12Q2 | −0.538 (0.014) |
| Early-stage CKD | S15Q6 | 0.734 (0.024) | S1Q2 | −0.684 (0.042) |
| S1Q4 | −0.949 (<0.001) | |||
| S1Q5 | −0.769 (0.015) | |||
| S1Q7 | −0.935 (<0.001) | |||
| S3Q5 | −0.712 (0.047) | |||
| S3Q6 | −0.744 (0.021) | |||
| S10Q1 | −0.829 (0.006) | |||
| S15Q8 | −0.819 (0.007) | |||
| S15Q12 | −0.853 (0.003) | |||
| Late-stage CKD | S10Q1 | 0.663 (0.037) | S1Q3 | −0.686 (0.028) |
Disclaimer/Publisher’s Note: The statements, opinions and data contained in all publications are solely those of the individual author(s) and contributor(s) and not of MDPI and/or the editor(s). MDPI and/or the editor(s) disclaim responsibility for any injury to people or property resulting from any ideas, methods, instructions or products referred to in the content. |
© 2025 by the authors. Licensee MDPI, Basel, Switzerland. This article is an open access article distributed under the terms and conditions of the Creative Commons Attribution (CC BY) license (https://creativecommons.org/licenses/by/4.0/).
Share and Cite
Kim, G.-H.; Lee, K.; Choi, H.-S.; Han, J.S.; Kim, S.-A. RETRACTED: Hair Cortisol and Fe-BARQ: Evaluating Chronic Stress and Behavior in Cats with Chronic Kidney Disease. Animals 2025, 15, 889. https://doi.org/10.3390/ani15060889
Kim G-H, Lee K, Choi H-S, Han JS, Kim S-A. RETRACTED: Hair Cortisol and Fe-BARQ: Evaluating Chronic Stress and Behavior in Cats with Chronic Kidney Disease. Animals. 2025; 15(6):889. https://doi.org/10.3390/ani15060889
Chicago/Turabian StyleKim, Ga-Hee, Kyuyoung Lee, Han-Sol Choi, Jin Soo Han, and Sun-A Kim. 2025. "RETRACTED: Hair Cortisol and Fe-BARQ: Evaluating Chronic Stress and Behavior in Cats with Chronic Kidney Disease" Animals 15, no. 6: 889. https://doi.org/10.3390/ani15060889
APA StyleKim, G.-H., Lee, K., Choi, H.-S., Han, J. S., & Kim, S.-A. (2025). RETRACTED: Hair Cortisol and Fe-BARQ: Evaluating Chronic Stress and Behavior in Cats with Chronic Kidney Disease. Animals, 15(6), 889. https://doi.org/10.3390/ani15060889

