Lineage Diversification and Population Dynamics of the Qinghai Toad-Headed Agama (Phrynocephalus vlangalii) on the Qinghai–Tibet Plateau, with Particular Attention to the Northern Slope of the Kunlun–Arjin Mountains
Simple Summary
Abstract
1. Introduction
2. Materials and Methods
2.1. Sample Collection and DNA Sequencing Procedures

| Site Number | n | Locality | Clade | Latitude | Longitude | Altitude (m) |
|---|---|---|---|---|---|---|
| 1 | 9 | Yutian County, Xinjiang | VI | 36.18 | 81.56 | 2575 |
| 2 | 3 | Yutian County, Xinjiang | VI | 36.22 | 81.68 | 2835 |
| 3 | 12 | Yutian County, Xinjiang | VI | 36.31 | 81.78 | 3088 |
| 4 | 5 | Yutian County, Xinjiang | VI | 36.44 | 81.97 | 2629 |
| 5 | 8 | Minfeng County, Xinjiang | IV | 36.67 | 83.18 | 2584 |
| 6 | 11 | Minfeng County, Xinjiang | IV | 37.11 | 84.53 | 2391 |
| 7 | 6 | Qiemo County, Xinjiang | IV | 37.43 | 85.44 | 2343 |
| 8 | 12 | Qiemo County, Xinjiang | IV | 37.33 | 85.47 | 2767 |
| 9 | 6 | Ruoqiang County, Xinjiang | II | 38.43 | 90.12 | 3053 |
| 10 | 4 | Ruoqiang County, Xinjiang | II | 38.92 | 90.16 | 3226 |
| 11 | 5 | Huatugou Town, Qinghai | II | 37.96 | 91.25 | 3008 |
| 12 | 14 | Sugan Lake, Gansu | II | 38.90 | 93.90 | 2800 |
| 13 | 14 | Akesai County, Gansu | III | 39.43 | 94.26 | 2539 |
| 14 | 9 | Subei County, Gansu | III | 39.34 | 95.32 | 3068 |
| 15 | 12 | Subei County, Gansu | III | 39.44 | 94.97 | 2489 |
2.2. Phylogenetic Analyses
2.3. Divergence Time Estimation
2.4. Population Genetic Analyses
2.5. Inference of Demographic Histories
2.6. Morphology Data Collection and Analyses
2.7. Ecological Niche Modeling
3. Results
3.1. Phylogenetic Relationships
3.2. Divergence Times Estimation
3.3. Genetic Diversity and Genetic Structure
3.4. IBD and IBE
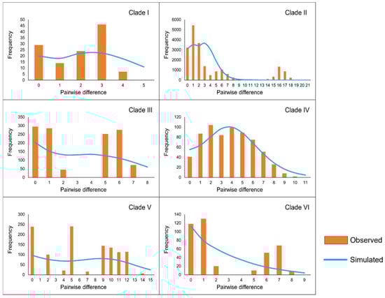
3.5. Historical Demographic Change
3.6. Morphological Diversity
3.7. Temporal Changes of Suitable Distributional Areas
4. Discussion
4.1. Evolutionary History of P. vlangalii
4.2. Genetic Structure of P. vlangalii from the NKAQ
4.3. Morphological Diversity of P. vlangalii from the NKAQ
5. Conclusions
Supplementary Materials
Author Contributions
Funding
Institutional Review Board Statement
Informed Consent Statement
Data Availability Statement
Acknowledgments
Conflicts of Interest
References
- Avise, J.C. Phylogeography: The History and Formation of Species; Harvard University Press: Cambridge, MA, USA, 2000. [Google Scholar]
- Justi, S.A.; Galvao, C.; Schrago, C.G. Geological changes of the Americas and their influence on the diversification of the Neotropical kissing bugs (Hemiptera: Reduviidae: Triatominae). PLoS Neglect. Trop. Dis. 2016, 10, e0004527. [Google Scholar] [CrossRef]
- Maldonado-Sánchez, D.; Gutiérrez-Rodríguez, C.; Ornelas, J.F. Genetic divergence in the common bush-tanager Chlorospingus ophthalmicus (Aves: Emberizidae) throughout Mexican cloud forests: The role of geography, ecology and Pleistocene climatic fluctuations. Mol. Phylogenet. Evol. 2016, 99, 76–88. [Google Scholar] [CrossRef]
- He, J.; Lin, S.; Ding, C.; Yu, J.; Jiang, H. Geological and climatic histories likely shaped the origins of terrestrial vertebrates endemic to the Tibetan Plateau. Glob. Ecol. Biogeogr. 2021, 30, 1116–1128. [Google Scholar] [CrossRef]
- Liu, Z.J.; Sun, Y.J. Uplift of the Qingha-Tibet Plateau and formation, evolution of the Yellow River. Geogr. Geo-Information Sci. 2007, 23, 79–82+91, (In Chinese with English abstract). [Google Scholar]
- Favre, A.; Päckert, M.; Pauls, S.U.; Jähnig, S.C.; Uhl, D.; Michalak, I.; Muellner-Riehl, A.N. The role of the uplift of the Qinghai-Tibetan Plateau for the evolution of Tibetan biotas. Biol. Rev. 2015, 90, 236–253. [Google Scholar] [CrossRef]
- Zhang, T.; Ma, M.; Zhang, X.; Zhang, H.B.; Liu, M.; Ding, P.; Xu, F. Distribution and population size of black-necked cranes in autumn in East Kunlun and Altun Mountains, Xinjiang. Chin. J. Zool. 2012, 47, 31–35, (In Chinese with English abstract). [Google Scholar] [CrossRef]
- Wu, Y.H. Characteristics of Vascular Plant Flora of Altun Mountain. Master’s Thesis, Inner Mongolia University, Hohhot, China, 2021. (In Chinese with English abstract). [Google Scholar]
- Xu, D.Q.; Xi, J.X.; Duan, R.; Jing, H.Q.; Chun, H.; Huang, Y.Y.; Wang, L.; Zhang, C.; Rong, B.G.; Zhan, D.H.; et al. Investigation and analysis of pathogenic yersinia in plague host animals in the Spermonphilus alaschanicus plague foci of Gansu Province. Chin. J. Zoonoses 2021, 37, 664–667, (In Chinese with English abstract). [Google Scholar]
- Barabanov, A.V.; Ananjeva, N.B. Catalogue of the available scientific species-group names for lizards of the genus Phrynocephalus Kaup, 1825 (Reptilia, Sauria, Agamidae). Zootaxa 2007, 1399, 1–56. [Google Scholar] [CrossRef]
- Jin, Y.T. Evolutionary Biology of Phrynocephalus (Agamidae) on Qinghai-Xizang (Tibetan) Plateau. Ph.D. Thesis, Lanzhou University, Lanzhou, China, 2008. (In Chinese with English abstract). [Google Scholar]
- Chen, Y.J.; Zhu, L.; Wu, Q.N.; Hu, C.C.; Qu, Y.F.; Ji, X. Geological and climatic influences on population differentiation of the Phrynocephalus vlangalii species complex (Sauria: Agamidae) in the northern Qinghai-Tibet Plateau. Mol. Phylogenet. Evol. 2022, 169, 107394. [Google Scholar] [CrossRef]
- Jin, Y.T.; Brown, R.P. Species history and divergence times of viviparous and oviparous Chinese toad-headed sand lizards (Phrynocephalus) on the Qinghai-Tibetan Plateau. Mol. Phylogenet. Evol. 2013, 68, 259–268. [Google Scholar] [CrossRef]
- Jin, Y.T.; Yang, Z.S.; Brown, R.P.; Liao, P.H.; Liu, N.F. Intraspecific lineages of the lizard Phrynocephalus putjatai from the Qinghai-Tibet Plateau: Impact of physical events on divergence and discordance between morphology and molecular markers. Mol. Phylogenet. Evol. 2014, 71, 288–297. [Google Scholar] [CrossRef]
- Jin, Y.; Brown, R.P. Morphological species and discordant mtDNA: A genomic analysis of Phrynocephalus lizard lineages on the Qinghai-Tibetan Plateau. Mol. Phylogenet. Evol. 2019, 139, 106523. [Google Scholar] [CrossRef]
- Macey, J.R.; Schulte, J.A.; Ananjeva, N.B.; Van Dyke, E.T.; Wang, Y.; Orlov, N.; Shafiei, S.; Robinson, M.D.; Dujsebayeva, T.; Freund, G.S.; et al. A molecular phylogenetic hypothesis for the Asian agamid lizard genus Phrynocephalus reveals discrete biogeographic clades implicated by plate tectonics. Zootaxa 2018, 4467, 1–81. [Google Scholar] [CrossRef]
- Hu, C.C.; Wu, Y.Q.; Ma, L.; Chen, Y.J.; Ji, X. Genetic and morphological divergence among three closely related Phrynocephalus species (Agamidae). BMC Evol. Biol. 2019, 19, 114. [Google Scholar] [CrossRef]
- Bedriaga, J.V. Amphibien und Reptilien. In Wissenschaftliche Resultate der von N.M. Przewalski nach Central-Asien unternommenen Reisen; Buchdruckerei der Kaiserlichen Akademie der Wissenschaften: St. Petersburg, Russia, 1909; Volume 3, pp. 279–502. (In Russian) [Google Scholar]
- Jiang, Y.M.; Huang, Q.Y.; Zhao, E.M. A new subspecies of Phrynocephalus vlangalii (Strauch) and preliminary observations on its ecology. Acta Zool. Sin. 1980, 26, 178–183, (In Chinese with English abstract). [Google Scholar]
- Pope, C.H. Natural History of Central Asia; The Reptiles of China: New York, NY, USA, 1935; Volume X. [Google Scholar]
- Zhao, K.T. A survey of the classification and distribution of the toad head agamids (Phrynocephalus) in China. Acta Sci. Nat. Univ. Neimongol 1979, 15, 111–121, (In Chinese with English abstract). [Google Scholar]
- Zhao, K.T. Notes on the Chinese toad-headed agamids and its diagnostic characters. J. Suzhou Rly. Teachers Coll. 1997, 14, 27–32, (In Chinese with English abstract). [Google Scholar]
- Zhao, K.T. The terms of classification of genus Phrynocephalus and the atlas of Chinese toad-headed agamids. J. Suzhou Rly. Teachers Coll. 1999, 16, 46–54, (In Chinese with English abstract). [Google Scholar]
- Zhao, E.M.; Adler, K. Herpetology of China; Society for the Study of Amphibians and Reptiles: Oxford, OH, USA, 1993. [Google Scholar]
- Peters, G. Die Krötenkopfagamen Zentralasiens (Agamidae: Phrynocephalus). Mitt. Zool. Mus. Berlin 1984, 60, 23–67. [Google Scholar]
- Guo, X.G.; Wang, Y. Z Partitioned Bayesian analyses, dispersal–vicariance analysis, and the biogeography of Chinese toad-headed lizards (Agamidae: Phrynocephalus): A re-evaluation. Mol. Phylogenet. Evol. 2007, 45, 643–662. [Google Scholar] [CrossRef]
- Jin, Y.T.; Brown, R.P.; Liu, N.F. Cladogenesis and phylogeography of the lizard Phrynocephalus vlangalii (Agamidae) on the Tibetan plateau. Mol. Ecol. 2008, 17, 1971–1982. [Google Scholar] [CrossRef] [PubMed]
- Jin, Y.T.; Liu, N.F. Phylogeography of Phrynocephalus erythrurus from the Qiangtang Plateau of the Tibet Plateau. Mol. Phylogenet. Evol. 2010, 54, 933–940. [Google Scholar] [CrossRef] [PubMed]
- Swindell, S.R.; Plasterer, T.N. SEQMAN: Contig assembly. In Sequence Data Analysis Guidebook; Humana Press: Totowa, NJ, USA, 1997; pp. 75–89. [Google Scholar]
- Kumar, S.; Stecher, G.; Tamura, K. MEGA7: Molecular evolutionary genetics analysis version 7.0 for bigger datasets. Mol. Biol. Evol. 2016, 33, 1870–1874. [Google Scholar] [CrossRef]
- Librado, P.; Rozas, J. DnaSP v5: A software for comprehensive analysis of DNA polymorphism data. Bioinformatics 2009, 25, 1451–1452. [Google Scholar] [CrossRef]
- Zhang, D.; Gao, F.; Jakovlic, I.; Zou, H.; Zhang, J.; Li, W.X.; Wang, G.T. PhyloSuite: An integrated and scalable desktop platform for streamlined molecular sequence data management and evolutionary phylogenetics studies. Mol. Ecol. Resour. 2020, 20, 348–355. [Google Scholar] [CrossRef]
- Ronquist, F.; Teslenko, M.; van der Mark, P.; Ayres, D.L.; Darling, A.; Hohna, S.; Larget, B.; Liu, L.; Suchard, M.A.; Huelsenbeck, J.P. MrBayes 3.2: Efficient Bayesian phylogenetic inference and model choice across a large model space. Syst. Biol. 2012, 61, 539–542. [Google Scholar] [CrossRef]
- Nguyen, L.T.; Schmidt, H.A.; von Haeseler, A.; Minh, B.Q. IQ-TREE: A fast and effective stochastic algorithm for estimating maximum-likelihood phylogenies. Mol. Biol. Evol. 2015, 32, 268–274. [Google Scholar] [CrossRef]
- Minh, B.Q.; Nguyen, M.A.T.; Von Haeseler, A. Ultrafast approximation for phylogenetic bootstrap. Mol. Biol. Evol. 2013, 30, 1188–1195. [Google Scholar] [CrossRef]
- FigTree. Available online: http://tree.bio.ed.ac.uk/software/figtree/ (accessed on 23 May 2024).
- Leigh, J.; Bryant, D. PopART: Full-feature software for haplotype network construction. Methods Ecol. Evol. 2015, 6, 1110–1116. [Google Scholar] [CrossRef]
- Drummond, A.J.; Rambaut, A. BEAST: Bayesian evolutionary analysis by sampling trees. BMC Evol. Biol. 2007, 7, 214. [Google Scholar] [CrossRef]
- Liu, J.L.; Guo, X.G.; Chen, D.L.; Li, J.; Yue, B.S.; Zeng, X.M. Diversification and historical demography of the rapid racerunner (Eremias velox) in relation to geological history and Pleistocene climatic oscillations in arid Central Asia. Mol. Phylogenet. Evol. 2019, 130, 244–258. [Google Scholar] [CrossRef] [PubMed]
- Wu, N.; Wang, S.; Dujsebayeva, T.N.; Chen, D.L.; Ali, A.; Guo, X.G. Geography and past climate changes have shaped the evolution of a widespread lizard in arid Central Asia. Mol. Phylogenet. Evol. 2023, 184, 107781. [Google Scholar] [CrossRef] [PubMed]
- Rambaut, A.; Drummond, A.J.; Xie, D.; Baele, G.; Suchard, M.A. Posterior summarization in Bayesian phylogenetics using Tracer 1.7. Syst. Biol. 2018, 67, 901–904. [Google Scholar] [CrossRef] [PubMed]
- Excoffier, L.; Laval, G.; Schneider, S. Arlequin ver. 3.0: An integrated software package for population genetics data analysis. Evol. Bioinform. Online 2005, 1, 47–50. [Google Scholar] [CrossRef]
- Kumar, S.; Stecher, G.; Li, M.; Knyaz, C.; Tamura, K. MEGA X: Molecular evolutionary genetics analysis across computing platforms. Mol. Biol. Evol. 2018, 35, 1547–1549. [Google Scholar] [CrossRef]
- Dupanloup, I.; Schneider, S.; Excoffier, L. A simulated annealing approach to define the genetic structure of populations. Mol. Ecol. 2002, 11, 2571–2581. [Google Scholar] [CrossRef]
- Wright, S. Isolation by distance. Genetics 1943, 28, 114–138. [Google Scholar] [CrossRef]
- Wang, I.J.; Bradburd, G.S. Isolation by environment. Mol. Ecol. 2014, 23, 5649–5662. [Google Scholar] [CrossRef]
- Ersts, P. Geographic Distance Matrix Generator (Version 1.23). Available online: https://biodiversityinformatics.amnh.org/open_source/gdmg/ (accessed on 15 August 2023).
- Hijmans, R.J.; Cameron, S.E.; Parra, J.L.; Jones, P.G.; Jarvis, A. Very high resolution interpolated climate surfaces for global land areas. Int. J. Climatol. 2005, 25, 1965–1978. [Google Scholar] [CrossRef]
- Dixon, P. Vegan, a package of R functions for community ecology. J. Veg. Sci. 2003, 14, 927–930. [Google Scholar] [CrossRef]
- Bonnet, E.; Van de Peer, Y. zt: A software tool for simple and partial mantel tests. J. Stat. Softw. 2002, 7, 1–12. [Google Scholar] [CrossRef]
- Gozdzik, A.; Fu, J. Are toad-headed lizards Phrynocephalus przewalskii and P. frontalis (Family Agamidae) the same species? Defining species boundaries with morphological and molecular data. Russ. J. Herpetol. 2009, 16, 107–118. [Google Scholar]
- Wang, Y.Z.; Wang, H.Z. Geographic variation and diversity in three species of Phrynocephalus in the Tengger Desert, Western China. Asian Herpetol. Res. 1993, 5, 65–73. [Google Scholar]
- Phillips, S.J.; Anderson, R.P.; Schapire, R.E. Maximum entropy modeling of species geographic distributions. Ecol. Model. 2006, 190, 231–259. [Google Scholar] [CrossRef]
- Brown, J.L.; Bennett, J.R.; French, C.M. SDMtoolbox 2.0: The next generation Python-based GIS toolkit for landscape genetic, biogeographic and species distribution model analyses. PeerJ 2017, 5, e4095. [Google Scholar] [CrossRef]
- Anderson, R.P.; Raza, A. The effect of the extent of the study region on GIS models of species geographic distributions and estimates of niche evolution: Preliminary tests with montane rodents (genus Nephelomys) in Venezuela. J. Biogeogr. 2010, 37, 1378–1393. [Google Scholar] [CrossRef]
- Barve, N.; Barve, V.; Jiménez-Valverde, A.; Lira-Noriega, A.; Maher, S.P.; Peterson, A.T.; Soberón, J.; Villalobos, F. The crucial role of the accessible area in ecological niche modeling and species distribution modeling. Ecol. Model. 2011, 222, 1810–1819. [Google Scholar] [CrossRef]
- Muscarella, R.; Galante, P.J.; Soley—Guardia, M.; Boria, R.A.; Kass, J.M.; Uriarte, M.; Anderson, R.P. ENMeval: An R package for conducting spatially independent evaluations and estimating optimal model complexity for Maxent ecological niche models. Methods Ecol. Evol. 2014, 5, 1198–1205. [Google Scholar] [CrossRef]
- Elith, J.; Kearney, M.; Phillips, S. The art of modelling range-shifting species. Methods Ecol. Evol. 2010, 1, 330–342. [Google Scholar] [CrossRef]
- Templeton, A.R.; Crandall, K.A.; Sing, C.F. A cladistics analysis of phenotypic associations with haplotypes inferred from restriction endonuclease mapping and DNA sequence data. III. Cladogram estimation. Genetics 1992, 132, 619–633. [Google Scholar] [CrossRef]
- Clement, M.; Posada, D.; Crandall, K.A. TCS: A computer program to estimate gene genealogies. Mol. Ecol. 2000, 9, 1657–1659. [Google Scholar] [CrossRef] [PubMed]
- Bandelt, H.J.; Forster, P.; Röhl, A. Median-joining networks for inferring intraspecific phylogenies. Mol. Biol. Evol. 1999, 16, 37–48. [Google Scholar] [CrossRef] [PubMed]
- Jin, Y.; Liu, N.; Brown, R.P. The geography and timing of genetic divergence in the lizard Phrynocephalus theobaldi on the Qinghai-Tibetan plateau. Sci. Rep. 2017, 7, 2281. [Google Scholar] [CrossRef] [PubMed]
- Shi, Y.F.; Zhao, J.D.; Wang, J. New Understanding of Quaternary Glaciations in China; Shanghai Science Spreading Publishing House: Shanghai, China, 2011; (In Chinese with English abstract). [Google Scholar]
- Jing, C.R.; Liu, H.P. On the glacial and interglacial stages in Quaternary of China. J. Chengdu Univ. Tech. 1999, 26, 100–103, (In Chinese with English abstract). [Google Scholar]
- Galbreath, K.E.; Hafner, D.J.; Zamudio, K.R. When cold is better: Climate-driven elevation shifts yield complex patterns of diversification and demography in an alpine specialist (American pika, Ochotona princeps). Evolution 2009, 63, 48–63. [Google Scholar] [CrossRef]
- Lu, H.Y.; Guo, Z.T. Impact of climatic change and human activity on desert and sand field in Northern China since the Last Glacial Maximum. Chin. Basic Sci. 2015, 17, 3–8, (In Chinese with English abstract). [Google Scholar]
- Zhou, T.H. Characterization of the Complete Mitochondrial Genome of Eremias Vermiculata and Its Population Genetic Divergence and Historical Population Dynamics. Master’s Thesis, University of Chinese Academy of Sciences, Beijing, China, 2016. (In Chinese with English abstract). [Google Scholar]
- Mendelson, T.C.; Simons, J.N. AFLPs resolve cytonuclear discordance and increase resolution among barcheek darters (Percidae: Etheostoma: Catonotus). Mol. Phylogenet. Evol. 2006, 41, 445–453. [Google Scholar] [CrossRef]
- Firneno, T.J.; O’Neill, J.R.; Portik, D.M.; Emery, A.H.; Townsend, J.H.; Fujita, M.K. Finding complexity in complexes: Assessing the causes of mitonuclear discordance in a problematic species complex of Mesoamerican toads. Mol. Ecol. 2020, 29, 3543–3559. [Google Scholar] [CrossRef]
- Zink, R.M.; Barrowclough, G.F. Mitochondrial DNA under siege in avian phylogeography. Mol. Ecol. 2008, 17, 2107–2121. [Google Scholar] [CrossRef]
- Miraldo, A.; Hewitt, G.M.; Paulo, O.S.; Emerson, B.C. Phylogeography and demographic history of Lacerta lepida in the Iberian Peninsula: Multiple refugia, range expansions and secondary contact zones. BMC Evol. Biol. 2011, 11, 170. [Google Scholar] [CrossRef]
- Urquhart, J.; Wang, Y.; Fu, J. Historical vicariance and male—mediated gene flow in the toad—headed lizards Phrynocephalus przewalskii. Mol. Ecol. 2009, 18, 3714–3729. [Google Scholar] [CrossRef] [PubMed]
- Xie, F. Environmental Correlation of Genetic and Phenotypic Differentiation of Phrynocephalus Vlangalii. Master’s Thesis, Nanjing Normal University, Nanjing, China, 2021. (In Chinese with English abstract). [Google Scholar]
- Rassmann, K. Evolutionary age of the Galápagos iguanas predates the age of the present Galápagos Islands. Mol. Phylogenet. Evol. 1997, 7, 158–172. [Google Scholar] [CrossRef] [PubMed]
- Arèvalo, E.; Davis, S.K.; Sites, J.W. Mitochondrial DNA sequence divergence and phylogenetic relationships among eight chromosome races of the Sceloporus grammicus complex (Phrynosomatidae) in central Mexico. Syst. Biol. 1994, 43, 387–418. [Google Scholar] [CrossRef]
- Macey, J.R.; Schulte, J.A.; Ananjeva, N.B.; Larson, A. Phylogenetic relationships among agamid lizards of the Laudakia caucasia species group: Testing hypotheses of biogeographic fragmentation and an area cladogram for the Iranian Plateau. Mol. Phylogenet. Evol. 1998, 10, 118–131. [Google Scholar] [CrossRef]
- Tong, H.; Jin, Y. The complete mitochondrial genome of an agama, Phrynocephalus putjatia (Reptilia, Squamata, Agamidae). Mitochondrial DNA A 2014, 27, 1028–1029. [Google Scholar] [CrossRef]
- Zhu, L.; Liao, P.; Tong, H.; Jin, Y. The complete mitochondrial genome of the subspecies, Phrynocephalus erythrurus parva (Reptilia, Squamata, Agamidae), a toad-headed lizard dwell at highest elevations of any reptile in the world. Mitochondrial DNA A 2014, 27, 703–704. [Google Scholar] [CrossRef]
- Jin, Y.T.; Brown, R.P. Partition number, rate priors and unreliable divergence times in Bayesian phylogenetic dating. Cladistics 2018, 34, 568–573. [Google Scholar] [CrossRef]
- Li, J.; Guo, X.; Chen, D.; Wang, Y. The complete mitochondrial genome of the Yarkand toad-headed agama, Phrynocephalus axillaris (Reptilia, Squamata, Agamidae). Mitochondrial DNA 2013, 24, 234–236. [Google Scholar] [CrossRef]
- Chen, D.; Zhou, T.; Guo, X. The complete mitochondrial genome of Phrynocephalus forsythii (Reptilia, Squamata, Agamidae), a toad-headed agama endemic to the Taklamakan Desert. Mitochondrial DNA A 2016, 27, 4046–4048. [Google Scholar] [CrossRef]
- Fu, C.; Chen, W.; Jin, Y. The complete mitochondrial genome of Phrynocephalus guinanensis (Reptilia, Squamata, Agamidae). Mitochondrial DNA A 2016, 27, 1103–1104. [Google Scholar] [CrossRef]
- Li, D.; Song, S.; Chen, T.; Zhang, C.; Chang, C. Complete mitochondrial genome of the desert toad-headed agama, Phrynocephalus przewalskii (Reptilia, Squamata, Agamidae), a novel gene organization in vertebrate mtDNA. Mitochondrial DNA 2015, 26, 696–697. [Google Scholar] [CrossRef] [PubMed]
- Li, D.; Guo, J.; Zhou, X.; Chang, C.; Zhang, S. The complete mitochondrial genome of Phrynocephalus helioscopus (Reptilia, Squamata, Agamidae). Mitochondrial DNA 2016, 27, 1846–1847. [Google Scholar] [CrossRef] [PubMed]
- Chen, D.; Guo, X.; Li, J. The complete mitochondrial genome of secret toad-headed agama, Phrynocephalus mystaceus (Reptilia, Squamata, Agamidae). Mitochondrial DNA 2013, 25, 19–20. [Google Scholar] [CrossRef] [PubMed]
- Song, S.; Li, D.; Zhang, C.; Jiang, K.; Zhang, D.; Chang, C. The complete mitochondrial genome of the color changeable toad-headed agama, Phrynocephalus versicolor (Reptilia, Squamata, Agamidae). Mitochondrial DNA A 2016, 27, 1121–1122. [Google Scholar] [CrossRef]
- Shuang, L.; Liu, L.; Song, S. The complete mitochondrial genome of Grumgzimailo’s toad-headed agama, Phrynocephalus grumgrizimailoi (Reptilia, Squamata, Agamidae). Mitochondrial DNA A 2014, 27, 1581–1582. [Google Scholar] [CrossRef]
- Shao, M.; Ma, L.; Zhang, G.; Wang, Z. The complete mitochondrial genome of the toad-headed lizard, Phrynocephalus albolineatus (Reptilia, Squamata, Agamidae). Mitochondrial DNA A 2017, 28, 137–138. [Google Scholar] [CrossRef]
- Peng, L.; Huang, S. GenBank. Available online: https://www.ncbi.nlm.nih.gov/nuccore/MK411595 (accessed on 25 August 2023).
- Li, J.Q. Life history evolution of Phrynocephalus (Agamidae) along altitudinal gradients on Tibetan Plateau. Ph.D. Thesis, Lanzhou University, Lanzhou, China, 2013. (In Chinese with English abstract). [Google Scholar]
- Yu, W. Altitudinal Differences in Reproductive Life History Traits and Offspring Growth of Phrynocephalus Vlangalii. Master’s Thesis, Northeast Forestry University, Harbin, China, 2021. (In Chinese with English abstract). [Google Scholar]
- Niu, C.K. Study on the personality and gut microbiota of Phrynocephalus vlangalii. Master’s Thesis, Lanzhou University, Lanzhou, China, 2022. (In Chinese with English abstract). [Google Scholar]
- Wan, H.; Qi, Y.; Guo, X.; Wang, Y. Preliminary study on sexual dimorphism and seasonal variation of the belly patch and tail-tip badge of the adult toad-headed lizard Phrynocephalus vangalii hongyuanensis. Sichuan J. Zool. 2011, 30, 54–58, (In Chinese with English abstract). [Google Scholar]
- Liu, L.; Guo, X.; Wang, Y. Genetic variation and diversity of Phrynocephalus vlangalii hongyuanensis in Zoige wetland inferred from ND4-tRNAleu Gene. Zool. Res. 2008, 29, 121–126, (In Chinese with English abstract). [Google Scholar] [CrossRef]








| Clade | n | H | Hd | π |
|---|---|---|---|---|
| I | 16 | 5 | 0.758 ± 0.080 | 0.00103 ± 0.00011 |
| II | 218 | 73 | 0.855 ± 0.023 | 0.00413 ± 0.00046 |
| III | 50 | 10 | 0.759 ± 0.045 | 0.00167 ± 0.00011 |
| IV | 37 | 23 | 0.938 ± 0.027 | 0.00202 ± 0.00021 |
| V | 48 | 22 | 0.788 ± 0.032 | 0.00332 ± 0.00019 |
| VI | 29 | 8 | 0.709 ± 0.081 | 0.00143 ± 0.00030 |
| Total | 382 | 126 | 0.944 ± 0.008 | 0.01424 ± 0.00066 |
| Hypothesized Structure | Among Groups | Between Populations | Among Populations | ||||||
|---|---|---|---|---|---|---|---|---|---|
| df | %var | Fct | df | %var | Fsc | df | %var | Fst | |
| No structure | 29 | 93.96 | 336 | 6.04 | 0.93957 | ||||
| K = 2 | 1 | 50.47 | 0.50470 | 28 | 46.07 | 0.93018 | 336 | 3.46 | 0.96542 |
| K = 3 | 2 | 63.63 | 0.63526 | 27 | 32.30 | 0.88808 | 336 | 4.07 | 0.95929 |
| K = 4 | 3 | 74.85 | 0.74854 | 26 | 20.66 | 0.82160 | 336 | 4.49 | 0.95514 |
| K = 5 | 4 | 84.52 | 0.84518 | 25 | 11.11 | 0.71769 | 336 | 4.37 | 0.95629 |
| Clade | I | II | III | IV | V | VI |
|---|---|---|---|---|---|---|
| I | 0.001 | 0.94773 * | 0.96367 * | 0.95824 * | 0.93373 * | 0.97079 * |
| II | 0.042 | 0.002 | 0.85091 * | 0.86520 * | 0.86438 * | 0.88265 * |
| III | 0.042 | 0.015 | 0.002 | 0.89136 * | 0.86554 * | 0.92031 * |
| IV | 0.041 | 0.017 | 0.017 | 0.002 | 0.75579 * | 0.89296 * |
| V | 0.041 | 0.019 | 0.018 | 0.011 | 0.003 | 0.86559 * |
| VI | 0.044 | 0.019 | 0.020 | 0.016 | 0.019 | 0.001 |
| Clade | Tajima’s D | Fu’s Fs | R2 | SSD | Rg |
|---|---|---|---|---|---|
| I | 0.85989 | 0.18164 | 0.15691 | 0.05819 | 0.16521 |
| II | −2.27806 ** | −25.42324 ** | 0.08047 ** | 0.01726 | 0.03982 |
| III | 0.20213 | −0.19232 | 0.10647 | 0.07700 | 0.11369 |
| IV | −1.37197 | −15.39601 ** | 0.11797 * | 0.00321 | 0.01103 |
| V | 0.78254 | 3.73030 | 0.10731 | 0.07546 ** | 0.17139 ** |
| VI | 0.48321 | −0.41435 | 0.12636 | 0.06625 | 0.11087 |
| Period | Highly Suitable Habitat (km2) | Secondarily Suitable Habitat (km2) | Total Suitable Habitat (km2) |
|---|---|---|---|
| Present | 45.55535 | 75.47528 | 121.03063 |
| LIG | 11.06444 | 23.41674 | 34.48118 |
| LGM | 64.07291 | 94.32986 | 158.40277 |
| MH | 41.35229 | 50.57611 | 91.92840 |
| 2070s-126 | 86.65292 | 83.99479 | 170.64771 |
| 2070s-585 | 115.08100 | 78.94542 | 194.02642 |
Disclaimer/Publisher’s Note: The statements, opinions and data contained in all publications are solely those of the individual author(s) and contributor(s) and not of MDPI and/or the editor(s). MDPI and/or the editor(s) disclaim responsibility for any injury to people or property resulting from any ideas, methods, instructions or products referred to in the content. |
© 2025 by the authors. Licensee MDPI, Basel, Switzerland. This article is an open access article distributed under the terms and conditions of the Creative Commons Attribution (CC BY) license (https://creativecommons.org/licenses/by/4.0/).
Share and Cite
Xu, R.; Song, Q.; Chen, D.; Guo, X. Lineage Diversification and Population Dynamics of the Qinghai Toad-Headed Agama (Phrynocephalus vlangalii) on the Qinghai–Tibet Plateau, with Particular Attention to the Northern Slope of the Kunlun–Arjin Mountains. Animals 2025, 15, 400. https://doi.org/10.3390/ani15030400
Xu R, Song Q, Chen D, Guo X. Lineage Diversification and Population Dynamics of the Qinghai Toad-Headed Agama (Phrynocephalus vlangalii) on the Qinghai–Tibet Plateau, with Particular Attention to the Northern Slope of the Kunlun–Arjin Mountains. Animals. 2025; 15(3):400. https://doi.org/10.3390/ani15030400
Chicago/Turabian StyleXu, Rui, Qi Song, Dali Chen, and Xianguang Guo. 2025. "Lineage Diversification and Population Dynamics of the Qinghai Toad-Headed Agama (Phrynocephalus vlangalii) on the Qinghai–Tibet Plateau, with Particular Attention to the Northern Slope of the Kunlun–Arjin Mountains" Animals 15, no. 3: 400. https://doi.org/10.3390/ani15030400
APA StyleXu, R., Song, Q., Chen, D., & Guo, X. (2025). Lineage Diversification and Population Dynamics of the Qinghai Toad-Headed Agama (Phrynocephalus vlangalii) on the Qinghai–Tibet Plateau, with Particular Attention to the Northern Slope of the Kunlun–Arjin Mountains. Animals, 15(3), 400. https://doi.org/10.3390/ani15030400

