Phytogenic Feed Additives as a Sustainable Alternative to Antibiotics: Enhancing Growth and Disease Resistance in Nile Tilapia (Oreochromis niloticus) †
Simple Summary
Abstract
1. Introduction
2. Materials and Methods
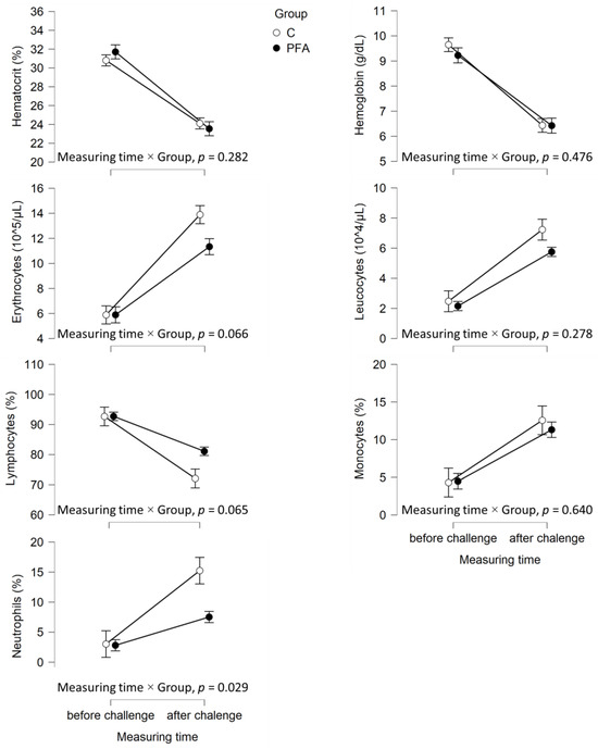
3. Results
4. Discussion
5. Conclusions
Author Contributions
Funding
Institutional Review Board Statement
Informed Consent Statement
Data Availability Statement
Acknowledgments
Conflicts of Interest
References
- FAO. The State of World Fisheries and Aquaculture. 2024. Available online: https://openknowledge.fao.org/server/api/core/bitstreams/c35c5020-28ca-4555-b857-e9b67a7f321e/content/cd0683en.html (accessed on 5 August 2024).
- Leal, M.C.; Calado, R. The key role of functional aquafeeds to achieve a more sustainable aquaculture. J. World Aquac. Soc. 2019, 50, 1044–1047. [Google Scholar] [CrossRef]
- Lillehoj, H.; Liu, Y.; Calsamiglia, S.; Fernandez-Miyakawa, M.E.; Chi, F.; Cravens, R.L.; Oh, S.; Gay, C.G. Phytochemicals as antibiotic alternatives to promote growth and enhance host health. Vet. Res. 2018, 49, 1–18. [Google Scholar] [CrossRef] [PubMed]
- Firmino, J.P.; Galindo-Villegas, J.; Reyes-López, F.E.; Gisbert, E. Phytogenic bioactive compounds shape fish mucosal immunity. Front. Immunol. 2021, 12, 695973. [Google Scholar] [CrossRef] [PubMed]
- Kazempoor, R.; Alavinezhad, S.S.; Pargari, M.M.; Shakeri, Y.S.; Haghighi, M.M. A review on the application of phytogenics as feed additives for aquatic animals. Int. J. Aquat. Res. Environ. Stud. 2022, 2, 46–78. [Google Scholar] [CrossRef]
- Wang, J.; Deng, L.; Chen, M.; Che, Y.; Li, L.; Zhu, L.; Chen, G.; Feng, T. Phytogenic feed additives as natural antibiotic alternatives in animal health and production: A review of the literature of the last decade. Anim. Nutr. 2024, 17, 244–264. [Google Scholar] [CrossRef]
- Chakraborty, S.B.; Hancz, C. Application of phytochemicals as immunostimulant, antipathogenic and antistress agents in finfish culture. Rev. Aquac. 2011, 3, 103–119. [Google Scholar] [CrossRef]
- Reverter, M.; Bontemps, N.; Lecchini, D.; Banaigs, B.; Sasal, P. Use of plant extracts in fish aquaculture as an alternative to chemotherapy: Current status and future perspectives. Aquaculture 2014, 433, 50–61. [Google Scholar] [CrossRef]
- Sutili, F.J.; Gatlin, D.M.; Heinzmann, B.M.; Baldisserotto, B. Plant essential oils as fish diet additives: Benefits on fish health and stability in feed. Rev. Aquac. 2018, 10, 716–726. [Google Scholar] [CrossRef]
- Chakraborty, S.B.; Horn, P.; Hancz, C. Application of phytochemicals as growth-promoters and endocrine modulators in fish culture. Rev. Aquac. 2014, 6, 1–19. [Google Scholar] [CrossRef]
- Peterson, B.C.; Peatman, E.; Ourth, D.D.; Waldbieser, G.C. Effects of a phytogenic feed additive on growth performance, susceptibility of channel catfish to Edwardsiella ictaluri and levels of mannose binding lectin. Fish Shellfish Immunol. 2015, 44, 21–25. [Google Scholar] [CrossRef]
- Kesselring, J.; Gruber, C.; Standen, B.; Wein, S. Effect of a phytogenic feed additive on the growth performance and immunity of pacific white leg shrimp, Litopenaeus vannamei, fed a low fishmeal diet. Fish Shellfish Immunol. 2019, 91, 422. [Google Scholar] [CrossRef]
- Lopes, J.M.; de Freitas Souza, C.; Saccol, E.M.H.; Pavanato, M.A.; Antoniazzi, A.; Rovani, M.T.; Heinzmann, B.M.; Baldisserotto, B. Citrus x aurantium essential oil as feed additive improved growth performance, survival, metabolic, and oxidative parameters of silver catfish (Rhamdia quelen). Aquac. Nutr. 2019, 25, 310–318. [Google Scholar] [CrossRef]
- Brenes, A.; Roura, E. Essential oils in poultry nutrition: Main effects and modes of action. Anim. Feed Sci. Technol. 2010, 158, 1–14. [Google Scholar] [CrossRef]
- Franz, C.; Baser, K.H.C.; Windisch, W. Essential oils and aromatic plants in animal feeding—A European perspective. A review. Flavour Fragr. J. 2010, 25, 327–340. [Google Scholar] [CrossRef]
- Karásková, K.; Suchý, P.; Straková, E. Current use of phytogenic feed additives in animal nutrition: A review. Czech J. Anim. Sci. 2015, 60, 521–530. [Google Scholar] [CrossRef]
- Encarnação, P. Functional feed additives in aquaculture feeds. In Aquafeed Formulation; Nates, S.F., Ed.; Elsevier Inc.: Amsterdam, The Netherlands, 2016; pp. 217–237. [Google Scholar] [CrossRef]
- Rodrigues, V.; Colen, R.; Ribeiro, L.; Santos, G.; Gonçalves, R.A.; Dias, J. Effect of Dietary Essential Oils Supplementation on Growth Performance, Nutrient Utilization, and Protein Digestibility of Juvenile Gilthead Seabream Fed a Low-Fishmeal Diet. J. World Aquac. Soc. 2018, 49, 676–685. [Google Scholar] [CrossRef]
- El-Sayed, A.-F.M. Tilapia Culture, 2nd ed.; Academic Press: London, UK, 2020; Available online: https://books.google.at/books?hl=de&lr=&id=yhy3DwAAQBAJ&oi=fnd&pg=PP1&dq=tilapia&ots=OIKwx9nTjj&sig=ePQc-dg0WD1sqgVoH-okwffIRzw&redir_esc=y#v=onepage&q=tilapia&f=false (accessed on 26 February 2024).
- Klesius, P.H.; Shoemaker, C.; Evans, J. Epidemiology of Streptococcus agalactiae and streptococcosis in tilapia (Oreochromis sp.). Proceedings from the 8th International Symposium on Tilapia in Aquaculture, Cairo, Egypt, 12–14 October 2008; pp. 83–107. [Google Scholar]
- Iregui, C.; Barato, P.; Rey, A.; Vasquez, G.; Verjan, N. Epidemiology of Streptococcus agalactiae and streptococcosis in tilapia (Oreochromis sp.). In Epidemiology: Theory, Research and Practice, 1st ed.; iConcept Press Ltd., Ed.; iConcept Press Ltd.: Farnborough, UK, 2014. [Google Scholar]
- Jiménez, A.; Tibatá, V.; Junca, H.; Ariza, F.; Verjan, N.; Iregui, C. Evaluating a nested-PCR assay for detecting Streptococcus agalactiae in red tilapia (Oreochromis sp.) tissue. Aquaculture 2011, 321, 203–206. [Google Scholar] [CrossRef]
- Netto, L.N.; Leal, C.A.G.; Figueiredo, H.C.P. Streptococcus dysgalactiae as an agent of septicaemia in Nile tilapia, Oreochromis niloticus (L.). J. Fish Dis. 2011, 34, 251–254. [Google Scholar] [CrossRef]
- EU: Commission Regulation (EC) No 152/2009 of 27 January 2009. Laying down the Methods of Sampling and Analysis for the Official Control of Feed. Off. J. Eur. Union. 2009, 54, 1–130. [Google Scholar]
- AOCS. Official Method Ba 6a-05. In Official Methods and Recommended Practices of the AOCS; The American Oil Chemists’ Society: Champaign, IL, USA, 2005. [Google Scholar]
- ISO 6492:1999; Animal feeding stuffs—Determination of fat content. International Organization for Standardization: Geneva, Switzerland, 1999.
- AOAC International. AOAC Official Method 2001.11. Protein (crude) in animal feed, forage (plant tissue), grain, and oilseeds block digestion method using copper catalyst and steam distillation into boric acid. In Official methods of analysis of AOAC International, 20th ed.; AOAC International: Gaithersburg, MD, USA, 2016; pp. 24–35. [Google Scholar]
- El-Saidy, D.M.; Gaber, M.M. Effect of dietary protein levels and feeding rates on growth performance, production traits and body composition of Nile tilapia, Oreochromis niloticus (L.) cultured in concrete tanks. Aquac. Res. 2005, 36, 163–171. [Google Scholar] [CrossRef]
- Parry Jr, R.M.; Chandan, R.C.; Shahani, K.M. A rapid and sensitive assay of muramidase. Proc. Soc. Exp. Biol. Med. 1965, 119, 384–386. [Google Scholar] [CrossRef] [PubMed]
- Auperin, B.; Baroiller, J.-F.; Ricordel, M.-J.; Fostier, A.; Prunet, P. Effect of confinement stress on circulating levels of growth hormone and two prolactins in freshwater-adapted tilapia (Oreochromis niloticus). Gen. Comp. Endocrinol. 1997, 108, 35–44. [Google Scholar] [CrossRef]
- Tengjaroenkul, B.; Pimpukdee, K.; Tengjaroenkul, U. Anesthetic dosages of quinaldine sulfate and 2-phenoxyethanol for induction, maintenance and lethal dose 50 in the juvenile hybrid tilapia. KKU Res. J. 2004, 9, 49–58. (In Thai) [Google Scholar]
- Bui Chau Truc, D.; Gruber, C.; Kesselring, J.; Standen, B.; Wein, S. Effect of a Phytogenic Feed Additive on the Growth Performance, Immune Response and Resistance against Streptococcus agalactiae of Nile Tilapia, Oreochromis niloticus. In Proceedings of the 78th Conference of the Society of Nutrition Physiology, Göttingen, Germany, 5–7 March 2024. [Google Scholar]
- Poolsawat, L.; Yu, Y.; Li, X.; Zhen, X.; Yao, W.; Wang, P.; Luo, C.; Leng, X. Efficacy of phytogenic extracts on growth performance and health of tilapia (Oreochromis niloticus × O. aureus). Aquac. Fish. 2022, 7, 411–419. [Google Scholar] [CrossRef]
- Katalay, S.; Parlak, H. The Effects of Pollution on Haematological Parameters of Black Goby (Gobius niger L., 1758) in Foça and Aliağa Bays. J. Fish Aquat. Sci. 2004, 1–2, 113–117. Available online: http://www.egejfas.org/en/download/article-file/57878 (accessed on 26 February 2024).
- Sayed, A.E.-D.H.; Moneeb, R.H. Hematological and biochemical characters of monosex tilapia (Oreochromis niloticus, Linnaeus, 1758) cultivated using methyltestosterone. J. Basic Appl. Zool. 2015, 72, 36–42. [Google Scholar] [CrossRef]
- Hrubec, T.C.; Cardinale, J.L.; Smith, S.A. Hematology and plasma chemistry reference intervals for cultured tilapia (Oreochromis hybrid). Vet. Clin. Pathol. 2000, 29, 7–12. [Google Scholar] [CrossRef] [PubMed]
- Cnaani, A.; Tinman, S.; Avidar, Y.; Ron, M.; Hulata, G. Comparative study of biochemical parameters in response to stress in Oreochromis aureus, O. mossambicus and two strains of O. niloticus. Aquac. Res. 2004, 35, 1434–1440. [Google Scholar] [CrossRef]
- El-Khaldi, A.T. Effect of different stress factors on some physiological parameters of Nile tilapia (Oreochromis niloticus). Saudi J. Biol. Sci. 2010, 17, 241–246. [Google Scholar] [CrossRef]
- Yilmaz, E.; Akyurt, I.; Mutlu, E. Effects of energetic diets on growth, blood chemistry and liver pathology of African catfish (Clarias gariepinus). Isr. J. Aquac. 2006, 58, 191–197. [Google Scholar]
- Asimi, O.A.; Sahu, N.P. Herbs/spices as feed additive in aquaculture. J. Pure Appl. Sci. Technol. 2013, 2, 284–292. [Google Scholar]
- Gherescu, P.; Mihailov, S.; Grozea, A. The Influence of Some Phyto-Additives on Bio-Productive Performances and the Health of the Farmed Fish–Review. J. Anim. Sci. Biotechnol. 2023, 56, 128. [Google Scholar]
- Witeska, M. Anemia in teleost fishes. Bull. Eur. Ass. Fish Pathol. 2015, 35, 148–160. Available online: https://www.cabdirect.org/cabdirect/abstract/20153322371 (accessed on 26 February 2024).
- Ergena, A.; Natarajan, P.; Bedewi, Z. Effect of Ginger (Zingiber officinale) on Hematological Parameters and Resistant to Aeromonas hydrophila Infection in Nile Tilapia, Oreochromis niloticus L. Aquac. Res. Dev. 2023, 14, 755. [Google Scholar]
- Qiang, J.; Yang, H.; Wang, H.; Kpundeh, M.D.; Xu, P. Interacting effects of water temperature and dietary protein level on hematological parameters in Nile tilapia juveniles, Oreochromis niloticus (L.) and mortality under Streptococcus iniae infection. Fish Shellfish Immunol. 2013, 34, 8–16. [Google Scholar] [CrossRef]
- Ragland, S.A.; Criss, A.K. From bacterial killing to immune modulation: Recent insights into the functions of lysozyme. PLoS Pathog. 2017, 13, e1006512. [Google Scholar] [CrossRef]
- Havixbeck, J.J.; Rieger, A.M.; Wong, M.E.; Hodgkinson, J.W.; Barreda, D.R. Neutrophil contributions to the induction and regulation of the acute inflammatory response in teleost fish. J. Leukoc. Biol. 2016, 99, 241–252. [Google Scholar] [CrossRef]



| Experiment | 5% Marine Meal Diet | 12.83% Marine Meal Diet |
|---|---|---|
| Ingredient | Inclusion Rate [%] | Inclusion Rate [%] |
| Whole wheat (13.5% protein) | 31.20 | 17.30 |
| Soybean meal (46% protein) | 26.08 | 19.19 |
| Rice bran | 12.00 | 12.00 |
| Meat and bone meal, 48% protein | 8.49 | 12.00 |
| Corn gluten | 4.05 | 12.00 |
| Feather meal | 4.00 | |
| Local fish meal 60% protein | 7.33 | |
| Shrimp waste meal | 3.00 | 3.00 |
| Fish soluble, 37% protein | 2.00 | 2.50 |
| Hemoglobin powder—spray dried | 2.00 | |
| Wheat bran | 7.00 | |
| Fish oil | 1.00 | 1.34 |
| Liquid lecithin | 0.71 | 1.22 |
| Soybean oil | 1.00 | 1.33 |
| Vitamin & Mineral Premix | 0.25 | 0.25 |
| MonoCaPhosphate | 1.66 | 1.32 |
| Limestone | 1.00 | 1.00 |
| Salt | 0.50 | 0.50 |
| Lysine HCL | 0.30 | 0.16 |
| Methionine | 0.30 | 0.10 |
| Choline Chloride 50% | 0.10 | 0.10 |
| Threonine | 0.10 | 0.10 |
| Taurine | 0.10 | 0.10 |
| Betaine | 0.10 | 0.10 |
| Vitamin C | 0.06 | 0.06 |
| Analytical results | ||
| Moisture ([24], %) | 12.18 | 5.65 |
| Crude fiber ([25], %) | 3.52 | 3.87 |
| Crude fat ([26], %) | 6.01 | 8.48 |
| Protein ([27], %) | 31.82 | 32.04 |
| Carbohydrates (calculation, %) | 41.00 | 41.85 |
| Ash ([24], %) | 9.00 | 11.98 |
| Gross energy (calculation, kcal/kg) | 3463.5 | 3329 |
| Experiment | (1) 5% Marine Meal Diet (70 Fish/Tank) | (2) 12.83% Marine Meal Diet (50 Fish/Tank) | ||
|---|---|---|---|---|
| C | PFA | C | PFA | |
| Survival (%) during 8 weeks of experimental feeding | 92.86 ± 4.14 | 95.48 ± 1.67 | 95.00 ± 1.92 | 96.33 ± 0.75 |
| Initial tank biomass (g) | 744 ± 1 | 744 ± 0 | 1260 ± 1 | 1259 ± 1 |
| Final tank biomass (g) | 2464 ± 126 a | 2681 ± 177 b | 4828 ± 86 a | 5135 ± 47 b |
| Initial body weight (g) | 10.63 ± 0.01 | 10.63 ± 0.01 | 25.20 ± 0.02 | 25.19 ± 0.01 |
| Final body weight (g) | 37.93 ± 1.82 | 40.15 ± 3.31 | 101.67 ± 2.81 a | 106.61 ± 0.87 b |
| Specific growth rate (%) | 2.27 ± 0.09 | 2.37 ± 0.14 | 2.32 ± 0.03 a | 2.42 ± 0.02 b |
| Feed intake (g/fish/day) | 44.66 ± 1.59 | 44.28 ± 0.95 | 92.76 ± 2.02 | 91.46 ± 0.69 |
| Feed conversion ratio | 1.69 ± 0.09 a | 1.54 ± 0.13 b | 1.21± 0.03 a | 1.12 ± 0.01 b |
| Mortality (%) after bacterial challenge | 47.50 ± 5.24 a | 30.00 ± 3.16 b | 50 ± 12.65 a | 35 ± 5.48 b |
| Parameter | (a) After Feeding the Experimental Diets for 8 Weeks | (b) 7 Days After Bacterial Challenge | ||
|---|---|---|---|---|
| C | PFA | C | PFA | |
| Aspartate aminotransferase (U/L) | 57.96 ± 14.16 | 44.95 ± 7.18 | 26.45 ± 3.31 | 27.89 ± 2.74 |
| Alanine aminotransferase (U/L) | 20.97 ± 2.66 | 24.61 ± 3.70 | 19.93 ± 1.21 a | 25.72 ± 2.00 b |
| Alkaline phosphatase (U/L) | 34.06 ± 3.12 | 27.87 ± 1.76 | 23.71 ± 1.85 | 21.28 ± 3.31 |
| Lactic acid dehydrogenase (U/L) | 586.42 ± 147.70 | 338.10 ± 75.49 | 226.16 ± 40.66 | 256.94 ± 40.03 |
| Erythrocytes—Total red blood cell (105/mm3) | 8.82 ± 0.38 | 8.92 ± 0.38 | 7.49 ± 0.36 a | 8.53 ± 0.30 b |
| Leucocytes—Total white blood cell (104/mm3) | 3.96 ± 0.20 | 3.97 ± 0.24 | 3.98 ± 0.16 | 4.33 ± 0.21 |
| Hematocrit (%) | 32.71 ± 1.98 | 33.63 ± 1.88 | 17.63 ± 1.62 a | 22.67 ± 1.40 b |
| Hemoglobin (g/dL) | 11.73 ± 0.75 | 11.81 ± 0.64 | 7.05 ± 0.44 a | 9.07 ± 0.32 b |
| Lymphocyte (%) | 86.88 ± 1.85 | 88.38 ± 0.77 | 88.83 ± 1.11 | 90.00 ± 0.71 |
| Neutrophil (%) | 5.71 ± 1.03 | 5.58 ± 0.67 | 4.54 ± 0.51 | 4.67 ± 0.70 |
| Monocyte (%) | 7.42 ± 1.06 | 6.04 ± 0.48 | 6.04 ± 0.89 | 5.83 ± 0.62 |
| Lysozyme activity (U/mL) | 570.84 ± 87.33 | 731.94 ± 132.27 | 680.56 ± 110.05 | 587.50 ± 136.83 |
Disclaimer/Publisher’s Note: The statements, opinions and data contained in all publications are solely those of the individual author(s) and contributor(s) and not of MDPI and/or the editor(s). MDPI and/or the editor(s) disclaim responsibility for any injury to people or property resulting from any ideas, methods, instructions or products referred to in the content. |
© 2025 by the authors. Licensee MDPI, Basel, Switzerland. This article is an open access article distributed under the terms and conditions of the Creative Commons Attribution (CC BY) license (https://creativecommons.org/licenses/by/4.0/).
Share and Cite
Gruber, C.; Ocelova, V.; Kesselring, J.C.; Wein, S. Phytogenic Feed Additives as a Sustainable Alternative to Antibiotics: Enhancing Growth and Disease Resistance in Nile Tilapia (Oreochromis niloticus). Animals 2025, 15, 380. https://doi.org/10.3390/ani15030380
Gruber C, Ocelova V, Kesselring JC, Wein S. Phytogenic Feed Additives as a Sustainable Alternative to Antibiotics: Enhancing Growth and Disease Resistance in Nile Tilapia (Oreochromis niloticus). Animals. 2025; 15(3):380. https://doi.org/10.3390/ani15030380
Chicago/Turabian StyleGruber, Christina, Vladimira Ocelova, Jutta C. Kesselring, and Silvia Wein. 2025. "Phytogenic Feed Additives as a Sustainable Alternative to Antibiotics: Enhancing Growth and Disease Resistance in Nile Tilapia (Oreochromis niloticus)" Animals 15, no. 3: 380. https://doi.org/10.3390/ani15030380
APA StyleGruber, C., Ocelova, V., Kesselring, J. C., & Wein, S. (2025). Phytogenic Feed Additives as a Sustainable Alternative to Antibiotics: Enhancing Growth and Disease Resistance in Nile Tilapia (Oreochromis niloticus). Animals, 15(3), 380. https://doi.org/10.3390/ani15030380

