Pork Quality and Expression of Genes Involved in Muscularity and Fat Deposition in Different Commercial Lines and Sexes of Pigs
Simple Summary
Abstract
1. Introduction
2. Materials and Methods
2.1. Animals and Experimental Design
2.2. Slaughter and Sampling Procedures
2.3. Pork Quality Analysis
2.4. Tissue Collection and RNA Extraction
2.5. Quantification and Integrity of Total RNA
2.6. Gene Expression Analysis
2.7. Halothane Genotyping
2.8. Statistical Analysis
3. Results
3.1. Pork Quality
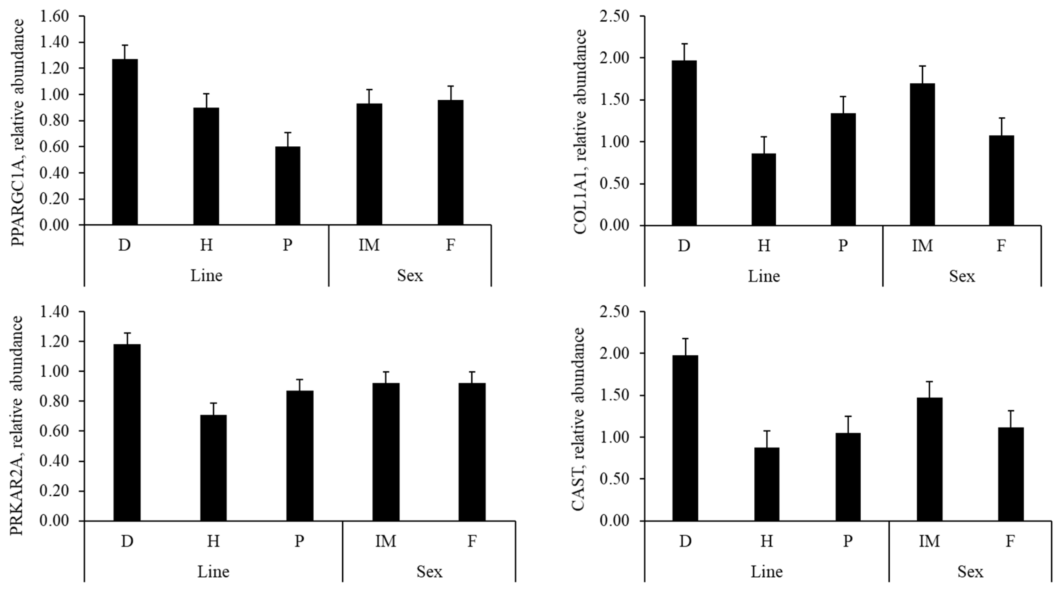
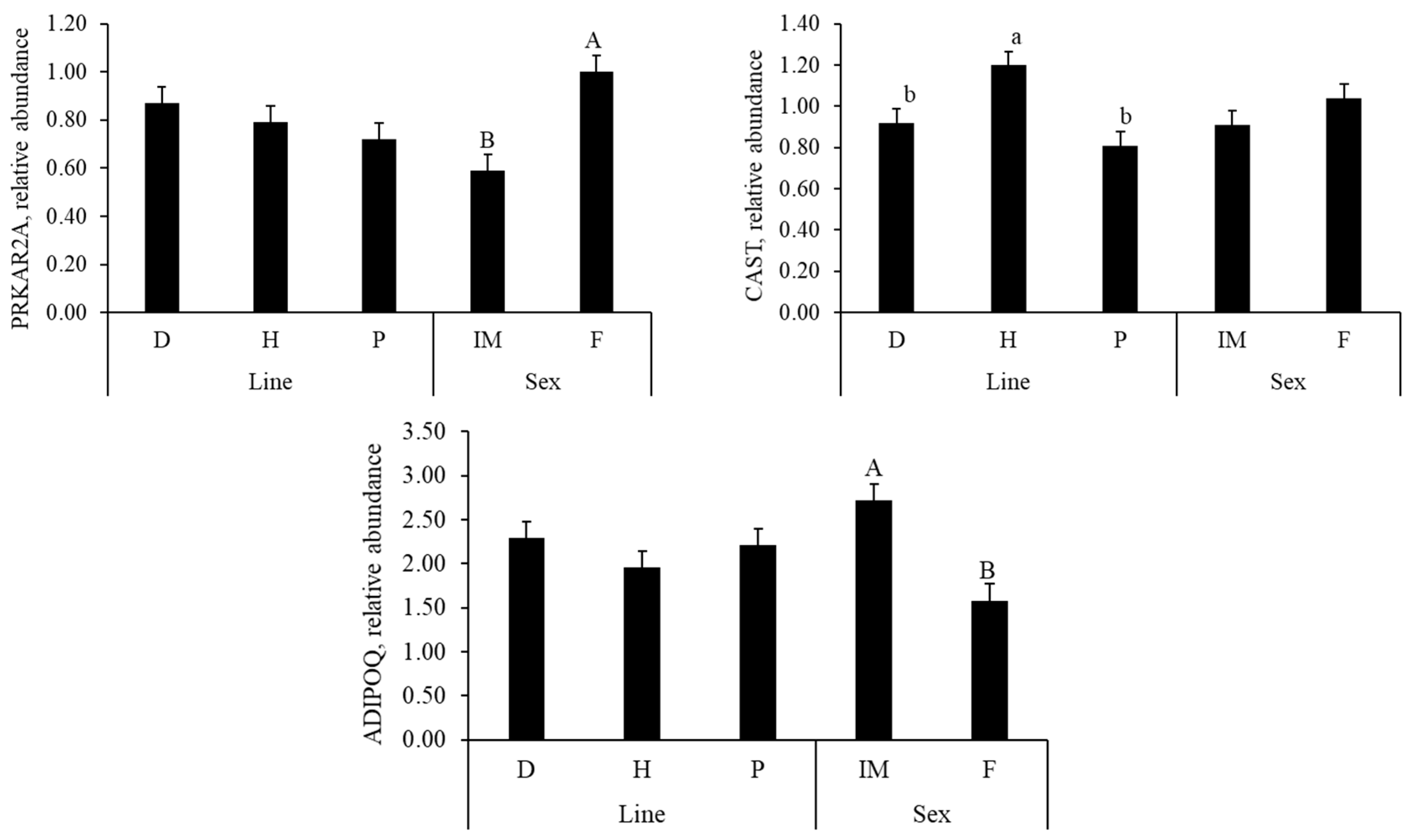
3.2. Gene Expression
3.3. Halothane Genotyping
4. Discussion
4.1. Pork Quality
4.2. Gene Expression Profile
5. Conclusions
Supplementary Materials
Author Contributions
Funding
Institutional Review Board Statement
Informed Consent Statement
Data Availability Statement
Acknowledgments
Conflicts of Interest
References
- Food and Agriculture Organization of the United Nations. Meat Market Review: Overview of Global Market Developments in 2023; Food and Agriculture Organization of the United Nations: Rome, Italy, 2024. [Google Scholar]
- Food and Agriculture Organization of the United Nations. Food Outlook: Biannual Report on Global Food Markets; Food and Agriculture Organization of the United Nations: Rome, Italy, 2024. [Google Scholar]
- Lebret, B.; Čandek-Potokar, M. Review: Pork Quality Attributes from Farm to Fork. Part II. Processed Pork Products. Animal 2022, 16, 100383. [Google Scholar] [CrossRef]
- Martins, J.M.; Charneca, R.; Garrido, N.; Albuquerque, A.; Jerónimo, E.; Guerreiro, O.; Lage, P.; Marmelo, C.; Costa, F.; Ramos, A.; et al. Influence of Sex on Meat and Fat Quality from Heavy Alentejano Pigs Finished Outdoors on Commercial and High Fiber Diets. Animals 2023, 13, 3099. [Google Scholar] [CrossRef]
- Škrlep, M.; Poklukar, K.; Kress, K.; Vrecl, M.; Fazarinc, G.; Lukač, N.B.; Weiler, U.; Stefanski, V.; Čandek-Potokar, M. Effect of Immunocastration and Housing Conditions on Pig Carcass and Meat Quality Traits. Transl. Anim. Sci. 2020, 4, 1224–1237. [Google Scholar] [CrossRef] [PubMed]
- Kim, J.A.; Cho, E.S.; Jeong, Y.D.; Choi, Y.H.; Kim, Y.S.; Choi, J.W.; Kim, J.S.; Jang, A.; Hong, J.K.; Sa, S.J. The Effects of Breed and Gender on Meat Quality of Duroc, Pietrain, and Their Crossbred. J. Anim. Sci. Technol. 2020, 62, 409–419. [Google Scholar] [CrossRef]
- Daza, A.; Latorre, M.A.; Olivares, A.; López Bote, C.J. The Effects of Male and Female Immunocastration on Growth Performances and Carcass and Meat Quality of Pigs Intended for Dry-Cured Ham Production: A Preliminary Study. Livest. Sci. 2016, 190, 20–26. [Google Scholar] [CrossRef]
- Gispert, M.; Àngels Oliver, M.; Velarde, A.; Suarez, P.; Pérez, J.; Font i Furnols, M. Carcass and Meat Quality Characteristics of Immunocastrated Male, Surgically Castrated Male, Entire Male and Female Pigs. Meat Sci. 2010, 85, 664–670. [Google Scholar] [CrossRef] [PubMed]
- Lebret, B.; Čandek-Potokar, M. Review: Pork Quality Attributes from Farm to Fork. Part I. Carcass and Fresh Meat. Animal 2022, 16, 100402. [Google Scholar] [CrossRef]
- Willson, H.E.; de Oliveira, H.R.; Schinckel, A.P.; Grossi, D.; Brito, L.F. Estimation of Genetic Parameters for Pork Quality, Novel Carcass, Primal-Cut and Growth Traits in Duroc Pigs. Animals 2020, 10, 779. [Google Scholar] [CrossRef]
- McBryan, J.; Hamill, R.M.; Davey, G.; Lawlor, P.; Mullen, A.M. Identification of Suitable Reference Genes for Gene Expression Analysis of Pork Meat Quality and Analysis of Candidate Genes Associated with the Trait Drip Loss. Meat Sci. 2010, 86, 436–439. [Google Scholar] [CrossRef]
- Meyers, S.N.; Beever, J.E. Investigating the Genetic Basis of Pork Tenderness: Genomic Analysis of Porcine CAST. Anim. Genet. 2008, 39, 531–543. [Google Scholar] [CrossRef]
- Park, J.C.; Kim, S.C.; Lee, S.D.; Jang, H.C.; Kim, N.K.; Lee, S.H.; Jung, H.J.; Kim, I.C.; Seong, H.H.; Choi, B.H. Effects of Dietary Fat Types on Growth Performance, Pork Quality, and Gene Expression in Growing-Finishing Pigs. Asian-Australas. J. Anim. Sci. 2012, 25, 1759–1767. [Google Scholar] [CrossRef]
- Damon, M.; Denieul, K.; Vincent, A.; Bonhomme, N.; Wyszynska-Koko, J.; Lebret, B. Associations between Muscle Gene Expression Pattern and Technological and Sensory Meat Traits Highlight New Biomarkers for Pork Quality Assessment. Meat Sci. 2013, 95, 744–754. [Google Scholar] [CrossRef]
- Picard, B.; Lebret, B.; Cassar-Malek, I.; Liaubet, L.; Berri, C.; Le Bihan-Duval, E.; Hocquette, J.F.; Renand, G. Recent Advances in Omic Technologies for Meat Quality Management. Meat Sci. 2015, 109, 18–26. [Google Scholar] [CrossRef]
- Pierzchala, M.; Hoekman, A.J.W.; Urbanski, P.; Kruijt, L.; Kristensen, L.; Young, J.F.; Oksbjerg, N.; Goluch, D.; te Pas, M.F.W. Validation of Biomarkers for Loin Meat Quality (M. longissimus) of Pigs. J. Anim. Breed. Genet. 2014, 131, 258–270. [Google Scholar] [CrossRef]
- Davoli, R.; Braglia, S. Molecular Approaches in Pig Breeding to Improve Meat Quality. Brief. Funct. Genom. Proteom. 2007, 6, 313–321. [Google Scholar] [CrossRef]
- Miar, Y.; Plastow, G.; Wang, Z. Genomic Selection, a New Era for Pork Quality Improvement. Springer Sci. Rev. 2015, 3, 27–37. [Google Scholar] [CrossRef]
- Gomes, J.D.; da Silva, B.P.M.; Duarte, S.F.P.; Ferreira, S.V.; Almeida, V.V.; Pian, L.W.; Ciconello, F.N.; Gadbem, C.T.M.; Cesar, A.S.M. Productive Performance and Carcass Quality of Pigs from Different Sire Lines under Commercial Production Conditions. Vet. Anim. Sci. 2025, 29, 100491. [Google Scholar] [CrossRef] [PubMed]
- Rostagno, H.S.; Albino, L.F.; Donzele, J.L.; de Oliveira, R.F.; Lopes, D.C.; Ferreira, A.S.; Barreto, S.L.D.T.; Euclides, R.F. Tabelas Brasileiras Para Aves e Suínos; UFV: Vicosa, Brazil, 2011. [Google Scholar]
- Honikel, K.O. Reference Methods for the Assessment of Physical Characteristics of Meat. Meat Sci. 1998, 49, 447–457. [Google Scholar] [CrossRef]
- American Meat Science Association. Research Guidelines for Cookery, Sensory Evaluation, and Instrumental Tenderness Measurements of Meat; American Meat Science Association: Kearney, MO, USA, 2015. [Google Scholar]
- Association of Official Analytical Chemists. Official Methods of Analysis, 16th ed.; Association of Official Analytical Chemists: Washington, DC, USA, 1995; p. 3. [Google Scholar]
- Urbański, P.; Pierzchała, M.; Terman, A.; Kamyczek, M.; Różycki, M.; Roszczyk, A.; Czarnik, U. The Relationship between the Polymorphism of the Porcine Cast Gene and Productive Traits in Pigs. Can. J. Anim. Sci. 2015, 95, 361–367. [Google Scholar] [CrossRef]
- Zhang, J.; Chai, J.; Luo, Z.; He, H.; Chen, L.; Liu, X.; Zhou, Q. Meat and Nutritional Quality Comparison of Purebred and Crossbred Pigs. Anim. Sci. J. 2018, 89, 202–210. [Google Scholar] [CrossRef]
- Huff-Lonergan, E.; Lonergan, S.M. New Frontiers in Understanding Drip Loss in Pork: Recent Insights on the Role of Postmortem Muscle Biochemistry. J. Anim. Breed. Genet. 2007, 124, 19–26. [Google Scholar] [CrossRef]
- Livak, K.J.; Schmittgen, T.D. Analysis of Relative Gene Expression Data Using Real-Time Quantitative PCR and the 2-ΔΔCT Method. Methods 2001, 25, 402–408. [Google Scholar] [CrossRef]
- Vandesompele, J.; De Preter, K.; Pattyn, F.; Poppe, B.; Van Roy, N.; De Paepe, A.; Speleman, F. Accurate Normalization of Real-Time Quantitative RT-PCR Data by Geometric Averaging of Multiple Internal Control Genes. Genome Biol. 2002, 3, research0034. [Google Scholar] [CrossRef] [PubMed]
- Fujii, J.; Otsu, K.; Zorzato, F.; De Leon, S.; Khanna, V.K.; Weiler, J.E.; O’Brien, P.J.; Maclennan, D.H. Identification of a Mutation in Porcine Ryanodine Receptor Associated with Malignant Hyperthermia. Science 1991, 253, 448–451. [Google Scholar] [CrossRef]
- Zoels, S.; Reiter, S.; Ritzmann, M.; Weiß, C.; Numberger, J.; Schütz, A.; Lindner, P.; Stefanski, V.; Weiler, U. Influences of Immunocastration on Endocrine Parameters, Growth Performance and Carcass Quality, as Well as on Boar Taint and Penile Injuries. Animals 2020, 10, 346. [Google Scholar] [CrossRef]
- Zhdanov, D.V.; Mykhalko, O.H.; Povod, M.H.; Zamaratskaia, G. Carcass Traits and Meat Quality of Surgically Castrated and Immunocastrated Pigs at Two Slaughter Weights. Animals 2025, 15, 2846. [Google Scholar] [CrossRef]
- Wang, C.; Yang, C.; Zeng, Y.; Zhang, M. GnRH-Immunocastration: An Alternative Method for Male Animal Surgical Castration. Front. Vet. Sci. 2023, 10, 1248879. [Google Scholar] [CrossRef] [PubMed]
- dos Santos, J.C.R.; Norenberg, A.; Correia, B.; Irgang, R.; Bianchi, I.; Moreira, F.; de Oliveira Júnior, J.M.; Nörnberg, J.L.; Peripolli, V. Evaluation of Different Percentages of Duroc Genes and Gender on Growth, Carcass and Meat Quality Traits for Pigs. Meat Sci. 2023, 205, 109314. [Google Scholar] [CrossRef] [PubMed]
- Fàbrega, E.; Manteca, X.; Font, J.; Gispert, M.; Carrión, D.; Velarde, A.; Ruiz-de-la-Torre, J.L.; Diestre, A. Effects of Halothane Gene and Pre-Slaughter Treatment on Meat Quality and Welfare from Two Pig Crosses. Meat Sci. 2002, 62, 463–472. [Google Scholar] [CrossRef]
- Caldara, F.R.; Moi, M.; Dos Santos, L.S.; De Lima Almeida Paz, I.C.; Garcia, R.G.; De Alencar Nääs, I.; Fernandes, A.R.M. Carcass Characteristics and Qualitative Attributes of Pork from Immunocastrated Animals. Asian-Australas. J. Anim. Sci. 2013, 26, 1630–1636. [Google Scholar] [CrossRef]
- Kim, H.J.; Lee, S.; Kumar, S.A.; Jung, H.Y.; Kim, H.P.; Gil, J.; Sun, C.W.; Jo, C. Comparison of Meat Quality From Hanwoo Cattle Having Yellow and White Carcass Fata. Meat Muscle Biol. 2023, 7, 16878. [Google Scholar] [CrossRef]
- Fischer, K. Drip Loss in Pork: Influencing Factors and Relation to Further Meat Quality Traits. J. Anim. Breed. Genet. 2007, 124, 12–18. [Google Scholar] [CrossRef]
- Jennen, D.G.J.; Brings, A.D.; Liu, G.; Jüngst, H.; Tholen, E.; Jonas, E.; Tesfaye, D.; Schellander, K.; Phatsara, C. Genetic Aspects Concerning Drip Loss and Water-Holding Capacity of Porcine Meat. J. Anim. Breed. Genet. 2007, 124, 2–11. [Google Scholar] [CrossRef] [PubMed]
- Jung, J.H.; Shim, K.S.; Na, C.S.; Choe, H.S. Studies on Intramuscular Fat Percentage in Live Swine Using Real-Time Ultrasound to Determine Pork Quality. Asian-Australas. J. Anim. Sci. 2015, 28, 318–322. [Google Scholar] [CrossRef] [PubMed]
- Kucha, C.T.; Liu, L.; Ngadi, M.; Gariépy, C. Assessment of Intramuscular Fat Quality in Pork Using Hyperspectral Imaging. Food Eng. Rev. 2021, 13, 274–289. [Google Scholar] [CrossRef]
- Hoa, V.B.; Seo, H.W.; Seong, P.N.; Cho, S.H.; Kang, S.M.; Kim, Y.S.; Moon, S.S.; Choi, Y.M.; Kim, J.H.; Seol, K.H. Back-Fat Thickness as a Primary Index Reflecting the Yield and Overall Acceptance of Pork Meat. Anim. Sci. J. 2021, 92, e13515. [Google Scholar] [CrossRef]
- Carlson, K.B.; Prusa, K.J.; Fedler, C.A.; Steadham, E.M.; Outhouse, A.C.; King, D.A.; Huff-Lonergan, E.; Lonergan, S.M. Postmortem Protein Degradation Is a Key Contributor to Fresh Pork Loin Tenderness123. J. Anim. Sci. 2017, 95, 1574–1586. [Google Scholar] [CrossRef]
- Norman, J.L.; Berg, E.P.; Heymann, H.; Lorenzen, C.L. Pork Loin Color Relative to Sensory and Instrumental Tenderness and Consumer Acceptance. Meat Sci. 2003, 65, 927–933. [Google Scholar] [CrossRef]
- Hamill, R.M.; McBryan, J.; McGee, C.; Mullen, A.M.; Sweeney, T.; Talbot, A.; Cairns, M.T.; Davey, G.C. Functional Analysis of Muscle Gene Expression Profiles Associated with Tenderness and Intramuscular Fat Content in Pork. Meat Sci. 2012, 92, 440–450. [Google Scholar] [CrossRef]
- Nygard, A.B.; Jørgensen, C.B.; Cirera, S.; Fredholm, M. Selection of Reference Genes for Gene Expression Studies in Pig Tissues Using SYBR Green QPCR. BMC Mol. Biol. 2007, 8, 67. [Google Scholar] [CrossRef]
- Xie, C.D.; Wang, B.; Shen, Z.J.; Yao, W.Y.; Ao, H.; Li, B.; Pei, Y.; Zhou, R. Validation of the Reference Genes for the Gene Expression Studies in Different Cell Lines of Pig. Biomed. Res. Int. 2021, 2021, 5364190. [Google Scholar] [CrossRef]
- Gandolfi, G.; Cinar, M.U.; Ponsuksili, S.; Wimmers, K.; Tesfaye, D.; Looft, C.; Jüngst, H.; Tholen, E.; Phatsara, C.; Schellander, K.; et al. Association of PPARGC1A and CAPNS1 Gene Polymorphisms and Expression with Meat Quality Traits in Pigs. Meat Sci. 2011, 89, 478–485. [Google Scholar] [CrossRef]
- Zequan, X.; Yonggang, S.; Heng, X.; Yaodong, W.; Xin, M.; Dan, L.; Li, Z.; Tingting, D.; Zirong, W. Transcriptome-Based Analysis of Early Post-Mortem Formation of Pale, Soft, and Exudative (PSE) Pork. Meat Sci. 2022, 194, 108962. [Google Scholar] [CrossRef]
- Bhat, Z.F.; Morton, J.D.; Mason, S.L.; Bekhit, A.E.D.A. Role of Calpain System in Meat Tenderness: A Review. Food Sci. Hum. Wellness 2018, 7, 196–204. [Google Scholar] [CrossRef]
- Xiang, G.; Huang, L.; Zhang, X.; Wang, N.; Wang, H.; Mu, Y.; Li, K.; Liu, Z. Molecular Characteristics and Promoter Analysis of Porcine COL1A1. Genes 2022, 13, 1971. [Google Scholar] [CrossRef]
- Ponsuksili, S.; Jonas, E.; Murani, E.; Phatsara, C.; Srikanchai, T.; Walz, C.; Schwerin, M.; Schellander, K.; Wimmers, K. Trait Correlated Expression Combined with Expression QTL Analysis Reveals Biological Pathways and Candidate Genes Affecting Water Holding Capacity of Muscle. BMC Genom. 2008, 9, 367. [Google Scholar] [CrossRef] [PubMed]
- Li, B.; Weng, Q.; Dong, C.; Zhang, Z.; Li, R.; Liu, J.; Jiang, A.; Li, Q.; Jia, C.; Wu, W.; et al. A Key Gene, PLIN1, Can Affect Porcine Intramuscular Fat Content Based on Transcriptome Analysis. Genes 2018, 9, 194. [Google Scholar] [CrossRef]
- Bloyd, M.; Sinaii, N.; Faucz, F.R.; Iben, J.; Coon, S.L.; Caprio, S.; Santoro, N.; Stratakis, C.A.; London, E. High-Frequency Variants in PKA Signaling-Related Genes within a Large Pediatric Cohort with Obesity or Metabolic Abnormalities. Front. Endocrinol. 2023, 14, 1272939. [Google Scholar] [CrossRef] [PubMed]
- Kumar, S.T.; Zheng, Y.; Xu, J.; Zhao, Z.; Zhang, Q.; Zhang, Y.; Li, M.; Zou, H.; Azeem, R.M.; Sun, W.S.; et al. Transcriptome and Metabolome Insights into Key Genes Regulating Fat Deposition and Meat Quality in Pig Breeds. Animals 2024, 14, 3560. [Google Scholar] [CrossRef] [PubMed]





| Item | Line 1 | Sex 2 | Pooled SEM 3 | p-Value | |||||
|---|---|---|---|---|---|---|---|---|---|
| D | H | P | IM | F | Line | Sex | Line × Sex | ||
| Moisture (%) | 73.82 | 74.13 | 73.34 | 73.84 | 73.70 | 1.31 | 0.15 | 0.70 | 0.96 |
| Drip loss (%) | 3.20 a,b | 3.60 a | 2.61 b | 3.06 | 3.21 | 1.19 | 0.03 | 0.59 | 0.17 |
| Intramuscular fat (%) | 2.17 a,b | 1.78 b | 2.55 a | 2.03 | 2.28 | 0.97 | 0.04 | 0.32 | 0.36 |
| a* 4 | 4.74 | 5.19 | 5.10 | 4.97 | 5.04 | 0.95 | 0.26 | 0.76 | 0.80 |
| pH at 1 h | 6.44 | 6.44 | 6.47 | 6.46 | 6.44 | 0.17 | 0.84 | 0.58 | 0.63 |
| pH at 24 h | 6.03 | 6.05 | 6.08 | 6.07 | 6.04 | 0.24 | 0.80 | 0.57 | 0.78 |
| Final pH 5 | 5.66 | 5.64 | 5.68 | 5.64 | 5.68 | 0.11 | 0.45 | 0.19 | 0.77 |
| Visual color score | 3.07 | 3.28 | 3.25 | 3.12 | 3.27 | 0.45 | 0.22 | 0.20 | 0.16 |
| Marbling score | 1.75 | 1.77 | 1.88 | 1.84 | 1.76 | 0.54 | 0.69 | 0.56 | 0.80 |
| Cooking loss (%) | 26.63 | 26.93 | 25.91 | 26.37 | 26.62 | 3.21 | 0.57 | 0.74 | 0.31 |
| Line 1 | Sex 2 | |||
|---|---|---|---|---|
| IM | F | |||
| Mean | SE 3 | Mean | SE | |
| Line D | ±4.83 a | 0.26 | ±3.92 b | 0.25 |
| Line H | ±4.61 a | 0.26 | ±5.16 a | 0.26 |
| Line P | ±4.56 a | 0.27 | ±5.16 a | 0.26 |
| Line 1 | Sex 2 | |||
|---|---|---|---|---|
| IM | F | |||
| Mean | SE 3 | Mean | SE | |
| Line D | ±51.00 a | 0.62 | ±51.4 a | 0.57 |
| Line H | ±52.40 a | 0.62 | ±50.20 b | 0.60 |
| Line P | ±51.10 a | 0.63 | ±51.30 a | 0.60 |
| Line 1 | Sex 2 | |||
|---|---|---|---|---|
| IM | F | |||
| Mean | SE 3 | Mean | SE | |
| Line D | ±5.33 b | 0.28 | ±6.17 a | 0.27 |
| Line H | ±5.76 a | 0.28 | ±5.44 a | 0.28 |
| Line P | ±5.40 b | 0.29 | ±6.31 a | 0.28 |
Disclaimer/Publisher’s Note: The statements, opinions and data contained in all publications are solely those of the individual author(s) and contributor(s) and not of MDPI and/or the editor(s). MDPI and/or the editor(s) disclaim responsibility for any injury to people or property resulting from any ideas, methods, instructions or products referred to in the content. |
© 2025 by the authors. Licensee MDPI, Basel, Switzerland. This article is an open access article distributed under the terms and conditions of the Creative Commons Attribution (CC BY) license (https://creativecommons.org/licenses/by/4.0/).
Share and Cite
Gomes, J.D.; Silva, B.P.M.d.; Duarte, S.F.P.; Ferreira, S.V.; Ciconello, F.N.; Almeida, V.V.d.; Pian, L.W.; Moncau-Gadbem, C.T.; Ledur, M.C.; Malaquias, M.E.; et al. Pork Quality and Expression of Genes Involved in Muscularity and Fat Deposition in Different Commercial Lines and Sexes of Pigs. Animals 2025, 15, 3363. https://doi.org/10.3390/ani15233363
Gomes JD, Silva BPMd, Duarte SFP, Ferreira SV, Ciconello FN, Almeida VVd, Pian LW, Moncau-Gadbem CT, Ledur MC, Malaquias ME, et al. Pork Quality and Expression of Genes Involved in Muscularity and Fat Deposition in Different Commercial Lines and Sexes of Pigs. Animals. 2025; 15(23):3363. https://doi.org/10.3390/ani15233363
Chicago/Turabian StyleGomes, Julia Dezen, Bruna Pereira Martins da Silva, Stefano Francisco Pereira Duarte, Soraia Viana Ferreira, Fernanda Nery Ciconello, Vivian Vezzoni de Almeida, Laura Woigt Pian, Cristina Tschorny Moncau-Gadbem, Mônica Corrêa Ledur, Matheus Emanuel Malaquias, and et al. 2025. "Pork Quality and Expression of Genes Involved in Muscularity and Fat Deposition in Different Commercial Lines and Sexes of Pigs" Animals 15, no. 23: 3363. https://doi.org/10.3390/ani15233363
APA StyleGomes, J. D., Silva, B. P. M. d., Duarte, S. F. P., Ferreira, S. V., Ciconello, F. N., Almeida, V. V. d., Pian, L. W., Moncau-Gadbem, C. T., Ledur, M. C., Malaquias, M. E., Balieiro, J. C. d. C., & Cesar, A. S. M. (2025). Pork Quality and Expression of Genes Involved in Muscularity and Fat Deposition in Different Commercial Lines and Sexes of Pigs. Animals, 15(23), 3363. https://doi.org/10.3390/ani15233363

