Habitat Suitability and Relative Abundance of the European Wildcat (Felis silvestris) in the Southeastern Part of Its Range
Simple Summary
Abstract
1. Introduction
2. Materials and Methods
2.1. Study Area
2.2. Data Collection and Camera Trapping
2.3. Statistical Analysis
2.3.1. Variables
2.3.2. Occupancy Modeling
3. Results
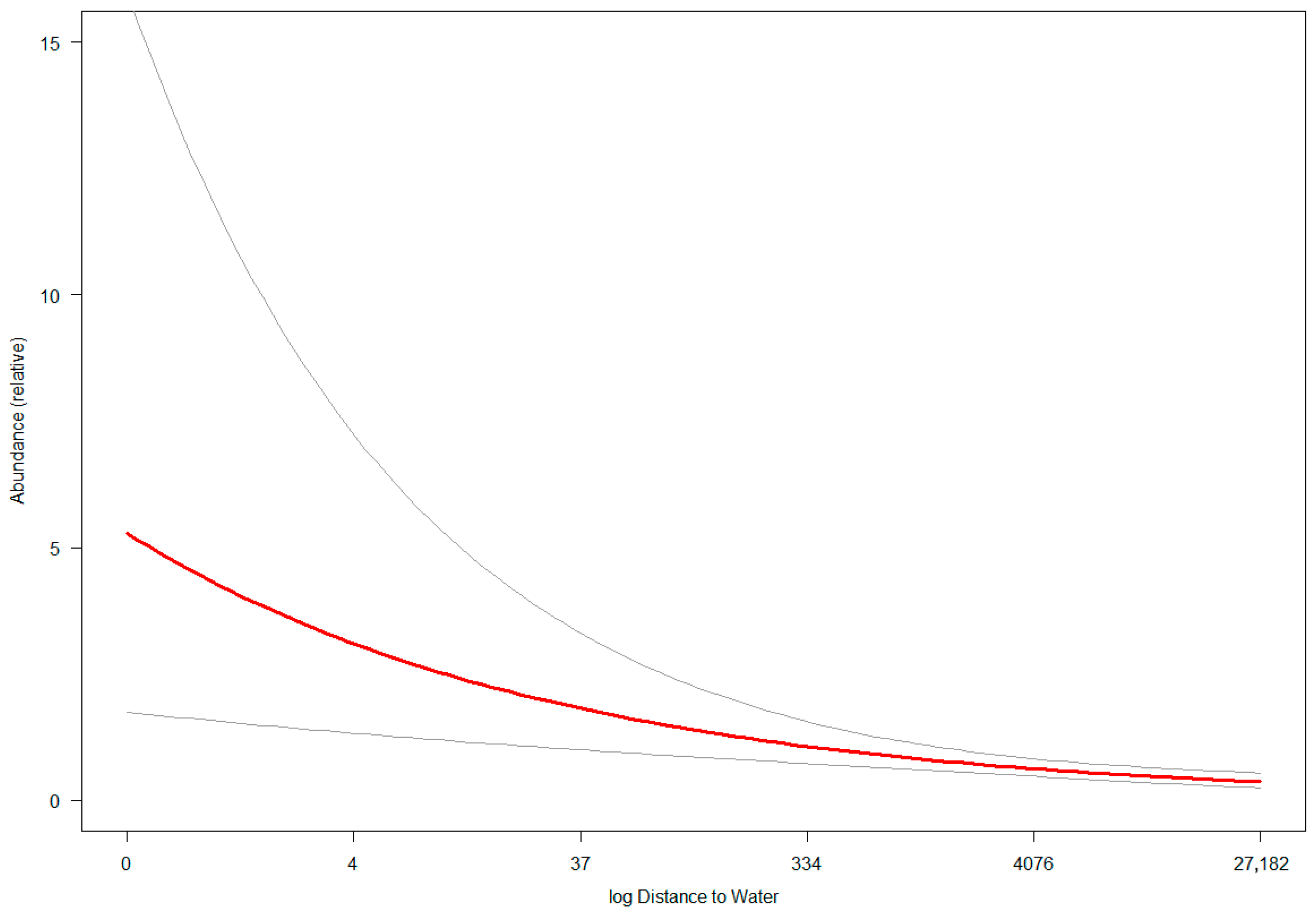
Wildcat Abundance
4. Discussion
5. Conclusions
Supplementary Materials
Author Contributions
Funding
Institutional Review Board Statement
Informed Consent Statement
Data Availability Statement
Acknowledgments
Conflicts of Interest
References
- Sommer, R.S.; Benecke, N. Late Pleistocene and Holocene Development of the Felid Fauna (Felidae) of Europe: A Review. J. Zool. 2006, 269, 7–19. [Google Scholar] [CrossRef]
- Kitchener, A.C.; Rees, E.E. Modelling the Dynamic Biogeography of the Wildcat: Implications for Taxonomy and Conservation. J. Zool. 2009, 279, 144–155. [Google Scholar] [CrossRef]
- Mattucci, F.; Oliveira, R.; Lyons, L.A.; Alves, P.C.; Randi, E. European Wildcat Populations Are Subdivided into Five Main Biogeographic Groups: Consequences of Pleistocene Climate Changes or Recent Anthropogenic Fragmentation? Ecol. Evol. 2016, 6, 3–22. [Google Scholar] [CrossRef]
- Nowell, K.; Jackson, P. Wild Cats: Status Survey and Conservation Action Plan; IUCN/SSC Cat Specialist Group: Gland, Switzerland, 1996. [Google Scholar]
- Daniels, M.J.; Beaumont, M.A.; Johnson, P.J.; Balharry, D.; Macdonald, D.W.; Barratt, E. Ecology and Genetics of Wild-Living Cats in the North-East of Scotland and the Implications for the Conservation of the Wildcat. J. Appl. Ecol. 2001, 38, 146–161. [Google Scholar] [CrossRef]
- Klar, N.; Herrmann, M.; Kramer-Schadt, S. Effects and Mitigation of Road Impacts on Individual Movement Behavior of Wildcats. J. Wildl. Manag. 2009, 73, 631–638. [Google Scholar] [CrossRef]
- Götz, M.; Jerosch, S.; Simon, O.; Streif, S. Spatial and Habitat Requirements of the Wildcat in Germany: New Approach for the Impact Assessment of a Strictly Protected Species. Natur. Landsch. 2018, 93, 161–169. [Google Scholar] [CrossRef]
- Klar, N.; Fernández, N.; Kramer-Schadt, S.; Herrmann, M.; Trinzen, M.; Büttner, I.; Niemitz, C. Habitat Selection Models for European Wildcat Conservation. Biol. Conserv. 2008, 141, 308–319. [Google Scholar] [CrossRef]
- Steyer, K.; Kraus, R.H.S.; Mölich, T.; Anders, O.; Cocchiararo, B.; Frosch, C.; Geib, A.; Götz, M.; Herrmann, M.; Hupe, K.; et al. Large-Scale Genetic Census of an Elusive Carnivore, the European Wildcat (Felis s. silvestris). Conserv. Genet. 2016, 17, 1183–1199. [Google Scholar] [CrossRef]
- Kilshaw, K.; Montgomery, R.A.; Campbell, R.D.; Hetherington, D.A.; Johnson, P.J.; Kitchener, A.C.; Macdonald, D.W.; Millspaugh, J.J. Mapping the Spatial Configuration of Hybridization Risk for an Endangered Population of the European Wildcat (Felis silvestris silvestris) in Scotland. Mamm. Res. 2016, 61, 1–11. [Google Scholar] [CrossRef]
- Silva, A.P.; Kilshaw, K.; Johnson, P.J.; Macdonald, D.W.; Rosalino, L.M. Wildcat Occurrence in Scotland: Food Really Matters. Divers. Distrib. 2013, 19, 232–243. [Google Scholar] [CrossRef]
- Nussberger, B.; Hertwig, S.T.; Roth, T. Monitoring Distribution, Density and Introgression in European Wildcats in Switzerland. Biol. Conserv. 2023, 281, 110029. [Google Scholar] [CrossRef]
- Mermod, C.P.; Liberek, M. The Role of Snowcover for European Wildcat in Switzerland. Eur. J. Wildl. Res. 2002, 48, 17–24. [Google Scholar] [CrossRef]
- Lozano, J.; Virgós, E.; Malo, A. Importance of Scrub–Pastureland Mosaics for Wild-Living Cats Occurrence in a Mediterranean Area: Implications for the Conservation of the Wildcat (Felis silvestris). Biodivers. Conserv. 2003, 12, 921–935. [Google Scholar] [CrossRef]
- Gil-Sánchez, J.M.; Barea-Azcón, J.M.; Jaramillo, J.; Herrera-Sánchez, F.J.; Jiménez, J.; Virgós, E. Fragmentation and Low Density as Major Conservation Challenges for the Southernmost Populations of the European Wildcat. PLoS ONE 2020, 15, e0227708. [Google Scholar] [CrossRef] [PubMed]
- Vázquez García, P.; Zarzo-Arias, A.; Vigón Álvarez, E.; Alambiaga, I.; Monrós, J.S. Modelling the Distribution and Habitat Suitability of the European Wildcat (Felis silvestris) in North-Western Spain and Its Conservation Implications. Animals 2024, 14, 2708. [Google Scholar] [CrossRef] [PubMed]
- Breitenmoser, U.; Lanz, T.; Breitenmoser-Würsten, C. Conservation of the Wildcat (Felis silvestris) in Scotland: Review of the Conservation Status and Assessment of Conservation Activities List of Content; IUCN/SSC Cat Specialist Group: Gland, Switzerland, 2019. [Google Scholar]
- Ruiz-Villar, H.; Bastianelli, M.L.; Heurich, M.; Anile, S.; Díaz-Ruiz, F.; Ferreras, P.; Götz, M.; Herrmann, M.; Jerosch, S.; Jubete, F.; et al. Agriculture Intensity and Landscape Configuration Influence the Spatial Use of Wildcats across Europe. Biol. Conserv. 2023, 277, 109854. [Google Scholar] [CrossRef]
- Lozano, J.; Virgós, E.; Cabezas-Díaz, S. Monitoring European Wildcat Felis Silvestris Populations Using Scat Surveys in Central Spain: Are Population Trends Related to Wild Rabbit Dynamics or to Landscape Features? Zool. Stud. 2013, 52, 16. [Google Scholar] [CrossRef]
- Jerosch, S.; Kramer-Schadt, S.; Götz, M.; Roth, M. The Importance of Small-Scale Structures in an Agriculturally Dominated Landscape for the European Wildcat (Felis silvestris silvestris) in Central Europe and Implications for Its Conservation. J. Nat. Conserv. 2018, 41, 88–96. [Google Scholar] [CrossRef]
- Monterroso, P.; Brito, J.C.; Ferreras, P.; Alves, P.C. Spatial Ecology of the European Wildcat in a Mediterranean Ecosystem: Dealing with Small Radio-Tracking Datasets in Species Conservation. J. Zool. 2009, 279, 27–35. [Google Scholar] [CrossRef]
- Cushman, S.A.; Kilshaw, K.; Campbell, R.D.; Kaszta, Z.; Gaywood, M.; Macdonald, D.W. Comparing the Performance of Global, Geographically Weighted and Ecologically Weighted Species Distribution Models for Scottish Wildcats Using GLM and Random Forest Predictive Modeling. Ecol. Model. 2024, 492, 110691. [Google Scholar] [CrossRef]
- Adamakopoulos, T.; Matsoukas, P. La Distribution Du Chat Sauvage (Felis silvestris) En Grèce. Biol. Gallo-Hell. 1991, 18, 45–52. [Google Scholar]
- Cazacu, C.; Adamescu, M.C.; Ionescu, O.; Ionescu, G.; Coţovelea, A.; Jurj, R.; Popa, M.; Cazacu, R. Mapping Trends of Large and Medium Size Carnivores of Conservation Interest in Romania. Ann. For. Res. 2014, 57, 97–107. [Google Scholar] [CrossRef][Green Version]
- Stocker, T.F. Climate Change 2013: The Physical Science Basis: Summary for Policymakers, a Report of Working Group I of the IPCC, Technical Summary, a Report Accepted by Working Group I of the IPCC but Not Approved in Detail and Frequently Asked Questions: Part of the Working Group I Contribution to the Fifth Assessment Report of the Intergovernmental Panel on Climate Change; Intergovernmental Panel on Climate Change; Cambridge University Press: Cambridge, UK, 2013; ISBN 9789291691388. [Google Scholar][Green Version]
- IPCC. Global Warming of 1.5 °C; Cambridge University Press: Cambridge, UK, 2022; ISBN 9781009157940. [Google Scholar][Green Version]
- Matias, G.; Rosalino, L.M.; Alves, P.C.; Tiesmeyer, A.; Nowak, C.; Ramos, L.; Steyer, K.; Astaras, C.; Brix, M.; Domokos, C.; et al. Genetic Integrity of European Wildcats: Variation across Biomes Mandates Geographically Tailored Conservation Strategies. Biol. Conserv. 2022, 268, 109518. [Google Scholar] [CrossRef]
- Topographic Maps. Available online: https://en-bw.topographic-map.com/ (accessed on 31 May 2025).
- Delouche, E.; Stehly, L. Seasonal Seismic Velocity Variations Measured Using Seismic Noise Autocorrelations to Monitor the Dynamic of Aquifers in Greece. J. Geophys. Res. Solid. Earth 2023, 128, e2023JB026759. [Google Scholar] [CrossRef]
- Hellenic Statistical Authority (ELSTAT). Census Results of Population and Housing 2021; Hellenic Statistical Authority: Athens, Greece, 2022.
- Natura 2000 Network Natura2000.Eea.Europa.Eu. Available online: https://natura2000.eea.europa.eu/ (accessed on 25 August 2025).
- Evans, D. Building the European Union’s Natura 2000 Network. Nat. Conserv. 2012, 1, 11–26. [Google Scholar] [CrossRef]
- Kitchener, A.C.; Yamaguchi, N.; Ward, J.M.; Macdonald, D.W. A Diagnosis for the Scottish Wildcat (Felis silvestris): A Tool for Conservation Action for a Critically-Endangered Felid. Anim. Conserv. 2005, 8, 223–237. [Google Scholar] [CrossRef]
- Ragni, B.; Possenti, M. Variability of Coat-Colour and Markings System in Felis silvestris. Ital. J. Zool. 1996, 63, 285–292. [Google Scholar] [CrossRef]
- Sforzi, A.S.; Lapini, L. Novel Criteria to Evaluate European Wildcat Observations from Camera Traps and Other Visual Material. Hystrix Ital. J. Mammal. 2022, 33, 48–54. [Google Scholar] [CrossRef]
- Silva, A.P.; Rosalino, L.M.; Johnson, P.J.; Macdonald, D.W.; Anderson, N.; Kilshaw, K. Local-Level Determinants of Wildcat Occupancy in Northeast Scotland. Eur. J. Wildl. Res. 2013, 59, 449–453. [Google Scholar] [CrossRef]
- Oliveira, T.; Urra, F.; López-Martín, J.M.; Ballesteros-Duperón, E.; Barea-Azcón, J.M.; Moléon, M.; Gil-Sánchez, J.M.; Alves, P.C.; Díaz-Ruíz, F.; Ferreras, P.; et al. Females Know Better: Sex-Biased Habitat Selection by the European Wildcat. Ecol. Evol. 2018, 8, 9464–9477. [Google Scholar] [CrossRef]
- Bastianelli, M.L.; Premier, J.; Herrmann, M.; Anile, S.; Monterroso, P.; Kuemmerle, T.; Dormann, C.F.; Streif, S.; Jerosch, S.; Götz, M.; et al. Survival and Cause-Specific Mortality of European Wildcat (Felis silvestris) across Europe. Biol. Conserv. 2021, 261, 109239. [Google Scholar] [CrossRef]
- Nieto-Blázquez, M.E.; Schreiber, D.; Mueller, S.A.; Koch, K.; Nowak, C.; Pfenninger, M. Human Impact on the Recent Population History of the Elusive European Wildcat Inferred from Whole Genome Data. BMC Genom. 2022, 23, 709. [Google Scholar] [CrossRef]
- OpenStreetMap. Available online: https://www.openstreetmap.org/ (accessed on 25 August 2025).
- European Environment Agency Maps/Data/Annual-above-Ground-Vegetation-Productivity. Available online: https://www.eea.europa.eu/data-and-maps/indicators/annual-above-ground-vegetation-productivity (accessed on 25 August 2025).
- Copernicus EU (EU-DEM v1.1). Available online: https://sdi.eea.europa.eu/catalogue/srv/eng/catalog.search#/metadata/19cff95e-61ac-45ed-8ee3-c43220d709cf (accessed on 25 August 2025).
- Copernicus EU (CLCplus Backbone). Available online: https://land.copernicus.eu/en/products/clc-backbone/clc-backbone-2018 (accessed on 25 August 2025).
- Geodata. Available online: https://geodata.gov.gr/en/dataset/oikismoi (accessed on 25 August 2025).
- Copernicus EU (Small Woody Features). Available online: https://land.copernicus.eu/en/products/high-resolution-layer-small-woody-features (accessed on 25 August 2025).
- Eurostat. Available online: https://ec.europa.eu/eurostat/web/main/data/database (accessed on 25 August 2025).
- R Core Team. R: A Language and Environment for Statistical Computing; R Foundation for Statistical Computing: Vienna, Austria, 2024; Available online: https://www.R-project.org/ (accessed on 25 April 2025).
- Kellner, K.F.; Smith, A.D.; Royle, J.A.; Kéry, M.; Belant, J.L.; Chandler, R.B. The Unmarked R Package: Twelve Years of Advances in Occurrence and Abundance Modelling in Ecology. Methods Ecol. Evol. 2023, 14, 1408–1415. [Google Scholar] [CrossRef]
- Migli, D.; Astaras, C.; Boutsis, G.; Diakou, A.; Karantanis, N.E.; Youlatos, D. Spatial Ecology and Diel Activity of European Wildcat (Felis silvestris silvestris) in a Protected Lowland Area in Northern Greece. Animals 2021, 11, 3030. [Google Scholar] [CrossRef]
- Burnham, K.P.; Anderson, R.D. Model Selection and Multimodel Inference; Burnham, K.P., Anderson, D.R., Eds.; Springer: New York, NY, USA, 2002; ISBN 978-0-387-95364-9. [Google Scholar]
- MacKenzie, D.I.; Nichols, J.D.; Lachman, G.B.; Droege, S.; Royle, A.A.; Langtimm, C.A. Estimating Site Occupancy Rates When Detection Probabilities Are Less than One. Ecology 2002, 83, 2248–2255. [Google Scholar] [CrossRef]
- Royle, J.A.; Nichols, J.D. Estimating Abundance from Repeated Presence-Absence Data or Point Counts. Ecology 2003, 84, 777–790. [Google Scholar] [CrossRef]
- Fiske, I.; Chandler, R. unmarked: An R Package for Fitting Hierarchical Models of Wildlife Occurrence and Abundance. J. Stat. Softw. 2011, 43, 1–23. [Google Scholar] [CrossRef]
- Long, R.A.; Donovan, T.M.; MacKay, P.; Zielinski, W.J.; Buzas, J.S. Predicting Carnivore Occurrence with Noninvasive Surveys and Occupancy Modeling. Landsc. Ecol. 2011, 26, 327–340. [Google Scholar] [CrossRef]
- Menard, S. Applied Logistic Regression Analysis; SAGE Publications, Inc.: Thousand Oaks, CA, USA, 2002; ISBN 9780761922087. [Google Scholar]
- Bartoń, K. MuMIn: Multi-Model Inference. R Package Version 1.47.5; 2024. Available online: https://CRAN.R-project.org/package=MuMIn (accessed on 25 April 2025).
- Symonds, M.R.E.; Moussalli, A. A Brief Guide to Model Selection, Multimodel Inference and Model Averaging in Behavioural Ecology Using Akaike’s Information Criterion. Behav. Ecol. Sociobiol. 2011, 65, 13–21. [Google Scholar] [CrossRef]
- Midlane, N.; O’Riain, M.J.; Balme, G.A.; Robinson, H.S.; Hunter, L.T.B. On Tracks: A Spoor-Based Occupancy Survey of Lion Panthera Leo Distribution in Kafue National Park, Zambia. Biol. Conserv. 2014, 172, 101–108. [Google Scholar] [CrossRef]
- Gerngross, P.; Ambarli, H.; Angelici, F.M.; Anile, S.; Campbell, R.; Ferreras de Andres, P.; Gil-Sanchez, J.M.; Götz, M.; Jerosch, S.; Mengüllüoglu, D.; et al. Felis silvestris (Amended Version of 2022 Assessment). The IUCN Red List of Threatened Species 2023: e.T181049859A224982454. Available online: https://dx.doi.org/10.2305/IUCN.UK.2023-1.RLTS.T181049859A224982454.en (accessed on 25 April 2025).
- Kilshaw, K.; Johnson, P.J.; Kitchener, A.C.; Macdonald, D.W. Detecting the Elusive Scottish Wildcat Felis silvestris silvestris Using Camera Trapping. Oryx 2015, 49, 207–215. [Google Scholar] [CrossRef]
- Lozano, J. Habitat Use by European Wildcats (Felis silvestris) in Central Spain: What Is the Relative Importance of Forest Variables? Anim. Biodivers. Conserv. 2010, 33, 143–150. [Google Scholar] [CrossRef]
- Lozano, J.; Malo, A.F. Conservation of the European Wildcat (Felis silvestris) in Mediterranean Environments: A Reassessment of Current Threats. In Mediterranean Ecosystems: Dynamics, Management and Conservation; Nova Science Publishers, Inc.: Hauppauge, NY, USA, 2012; ISBN 978-1-61209-146-4. [Google Scholar]
- Anile, S.; Devillard, S.; Ragni, B.; Rovero, F.; Mattucci, F.; Lo Valvo, M. Habitat Fragmentation and Anthropogenic Factors Affect Wildcat Felis silvestris silvestris Occupancy and Detectability on Mt Etna. Wildlife Biol. 2019, 2019, 1–13. [Google Scholar] [CrossRef]
- Sarmento, P.; Cruz, J.; Tarroso, P.; Fonseca, C. Space and Habitat Selection by Female European Wild Cats (Felis silvestris silvestris). Wildl. Biol. Pract. 2006, 2, 79–89. [Google Scholar] [CrossRef]
- Ferreira, J.P. Integrating Anthropogenic Factors into Wildcat Felis silvestris Conservation in Southern Iberia Landscapes. Ph.D. Thesis, University of Lisbon, Lisboa, Portugal, 2010. [Google Scholar]
- Article 17 Species Assessments. Available online: https://nature-art17.eionet.europa.eu/article17/species/summary/?period=5&group=Mammals&subject=Felis+silvestris®ion= (accessed on 25 August 2025).
- Urzi, F.; Šprem, N.; Potočnik, H.; Sindičić, M.; Konjević, D.; Ćirović, D.; Rezić, A.; Duniš, L.; Melovski, D.; Buzan, E. Population Genetic Structure of European Wildcats Inhabiting the Area between the Dinaric Alps and the Scardo-Pindic Mountains. Sci. Rep. 2021, 11, 17984. [Google Scholar] [CrossRef]
- Piechocki, R. Die Wildkatze: Felis Silvestris; A. Ziemsen: Landsberg, Germany, 1990. [Google Scholar]
- Morales-Molino, C.; van Vugt, L.; van Leeuwen, J.F.N.; Gobet, E.; Schwörer, C.; Ganz, K.; Giagkoulis, T.; Brugger, S.O.; Bogaard, A.; Hafner, A.; et al. Looking at the Modern Landscape of Submediterranean Greece through a Palaeoecological Lens. Sci. Total Environ. 2024, 949, 174986. [Google Scholar] [CrossRef]
- Chouvardas, D.; Karatassiou, M.; Tsioras, P.; Tsividis, I.; Palaiochorinos, S. Spatiotemporal Changes (1945–2020) in a Grazed Landscape of Northern Greece, in Relation to Socioeconomic Changes. Land 2022, 11, 1987. [Google Scholar] [CrossRef]
- Sommer, R.S.; Crees, J.J. Late Quaternary Biogeography of Small Carnivores in Europe. In Small Carnivores; Wiley: Hoboken, NJ, USA, 2022; pp. 79–91. [Google Scholar]
- Germain, E.; Benhamou, S.; Poulle, M.L. Spatio-Temporal Sharing between the European Wildcat, the Domestic Cat and Their Hybrids. J. Zool. 2008, 276, 195–203. [Google Scholar] [CrossRef]
- Beutel, T.; Reineking, B.; Tiesmeyer, A.; Nowak, C.; Heurich, M. Spatial Patterns of Co-Occurrence of the European Wildcat Felis silvestris silvestris and Domestic Cats Felis silvestris Catus in the Bavarian Forest National Park. Wildlife Biol. 2017, 2017, 1–8. [Google Scholar] [CrossRef]
- Masloumidis, I.; Dafis, S.; Kyros, G.; Lagouvardos, K.; Kotroni, V. Snow Cover and Depth Climatology and Trends in Greece. Climate 2025, 13, 34. [Google Scholar] [CrossRef]
- Karamanlidis, A.; de Gabriel Hernando, M.; Avgerinou, M.; Bogdanowicz, W.; Galanis, K.; Kalogeropoulou, S.; Krambokoukis, L.; Panagiotopoulos, N.; Taklis, C. Rapid Expansion of the Golden Jackal in Greece: Research, Management and Conservation Priorities. Endanger. Species Res. 2023, 51, 1–13. [Google Scholar] [CrossRef]
- Tiesmeyer, A.; Ramos, L.; Manuel Lucas, J.; Steyer, K.; Alves, P.C.; Astaras, C.; Brix, M.; Cragnolini, M.; Domokos, C.; Hegyeli, Z.; et al. Range-Wide Patterns of Human-Mediated Hybridisation in European Wildcats. Conserv. Genet. 2020, 21, 247–260. [Google Scholar] [CrossRef]
- Valdez, V.; Ferreras, P.; Rosalino, L.M. The Effects of Climate Change on Mesocarnivores: A Global Review and Meta-Analysis. Glob. Change Biol. 2025, 31, e70302. [Google Scholar] [CrossRef] [PubMed]
- Solomou, A.D.; Proutsos, N.D.; Karetsos, G.; Tsagari, K. Effects of Climate Change on Vegetation in Mediterranean Forests: A Review. Int. J. Environ. Agric. Biotechnol. 2017, 2, 240–247. [Google Scholar] [CrossRef]
- Kourgialas, N.N. A Critical Review of Water Resources in Greece: The Key Role of Agricultural Adaptation to Climate-Water Effects. Sci. Total Environ. 2021, 775, 145857. [Google Scholar] [CrossRef]
- Mouillot, F.; Rambal, S.; Joffre, R. Simulating Climate Change Impacts on Fire Frequency and Vegetation Dynamics in a Mediterranean-Type Ecosystem. Glob. Change Biol. 2002, 8, 423–437. [Google Scholar] [CrossRef]







| Variable | Description | Source |
|---|---|---|
| Road length | Total road length within a 500 m radius area | OpenStreetmaps [40] |
| Forest edge | Mean value within a 500 m radius area of the total edge (m) between forest and non-forests in a radius of 100 m | FragStats 4.2.1 Cross Weighed Edge Density |
| Plant Phenology Index | Mean value within a 500 m radius area of the derived linear trend (2000–2016) for above-ground plant productivity | European Environment Agency [41] |
| Elevation | Mean elevation value within a 500 m radius area | Copernicus EU (EU-DEM v1.1) [42] |
| Slope | Mean slope value within a 500 m radius area | Derived from Elevation using QGIS v.3.16.14 |
| Distance to water | Mean Euclidean distance to the nearest source of water within a 500 m radius area | Copernicus EU (CLCplus Backbone) [43] |
| Distance to settlement | Mean Euclidean distance to the nearest human settlement within a 500 m radius area | Geodata.gov.gr + QGIS v.3.16.14 [44] |
| Percent forest cover | Percent of all forest type cover within a 500 m radius area | Copernicus EU (CLC + SmallWoodyFeatures) [43,45] |
| Percent conifer forest cover | Percent of pine forest cover within a 500 m radius area | Copernicus EU (CLCplus Backbone) [43] |
| Percent broadleaf forest cover | Percent of broadleaf forest cover within a 500 m radius area | Copernicus EU (CLCplus Backbone) [43] |
| Percent farmland cover | Percent of agricultural field cover within a 500 m radius area | Copernicus EU (CLCplus Backbone) [43] |
| Population density | Mean human population density within a 500 m radius area | Eurostat [46] |
| Sites | Survey Effort (Trap Nights) | Camera Traps | Survey Period | Deployment Duration (Mean ± SD Days) | Wildcat Detections * | Encounter Rate (per 100 Trap Nights) | Naïve Occupancy ** |
|---|---|---|---|---|---|---|---|
| Evros | 244 | 10 | 03–04/2015 | 24.4 ± 6.1 | 8 | 3.3 | 0.70 |
| Nestos | 528 | 17 | 01–04/2015 | 31.1 ± 2.6 | 17 | 3.2 | 0.53 |
| Koronia–Volvi | 2231 | 64 | 11/2015–04/2016 | 35.4 ± 6.7 | 70 | 3.1 | 0.31 |
| Axios | 230 | 9 | 02–03/2016 | 25.6 ± 7.2 | 6 | 2.6 | 0.44 |
| Amyntaio | 1535 | 42 | 11/2016–04/2017 | 35.7 ± 7.2 | 88 | 5.7 | 0.57 |
| Olympos | 390 | 6 | 01–03/2021 | 65 ± 0 | 11 | 2.8 | 1.00 |
| Prespes | 2500 | 62 | 11/2020–04/2021 | 40.3 ± 12.4 | 65 | 2.6 | 0.23 |
| Pindos | 3253 | 82 | 11/2020–04/2021 | 39.7 ± 13.1 | 54 | 1.7 | 0.23 |
| Classification Thresholds (Range of N Values) | Area (km2) | Density (ind/km2) | Individuals |
|---|---|---|---|
| Absent (0–0.0001) | 1055 | 0 | 0 |
| Low (≥0.0001–1.5) | 30,580 | 0.05–0.1 | 1529–3058 |
| Medium (≥1.5–20) | 11,945 | 0.1–0.2 | 1194–2389 |
| High (≥20–62) | 5410 | 0.15–0.3 | 811–1623 |
Disclaimer/Publisher’s Note: The statements, opinions and data contained in all publications are solely those of the individual author(s) and contributor(s) and not of MDPI and/or the editor(s). MDPI and/or the editor(s) disclaim responsibility for any injury to people or property resulting from any ideas, methods, instructions or products referred to in the content. |
© 2025 by the authors. Licensee MDPI, Basel, Switzerland. This article is an open access article distributed under the terms and conditions of the Creative Commons Attribution (CC BY) license (https://creativecommons.org/licenses/by/4.0/).
Share and Cite
Migli, D.; Astaras, C.; Kiamos, N.; Kyriakidis, S.; Mertzanis, Y.; Boutsis, G.; Oikonomakis, N.; Tsaknakis, Y.; Youlatos, D. Habitat Suitability and Relative Abundance of the European Wildcat (Felis silvestris) in the Southeastern Part of Its Range. Animals 2025, 15, 2816. https://doi.org/10.3390/ani15192816
Migli D, Astaras C, Kiamos N, Kyriakidis S, Mertzanis Y, Boutsis G, Oikonomakis N, Tsaknakis Y, Youlatos D. Habitat Suitability and Relative Abundance of the European Wildcat (Felis silvestris) in the Southeastern Part of Its Range. Animals. 2025; 15(19):2816. https://doi.org/10.3390/ani15192816
Chicago/Turabian StyleMigli, Despina, Christos Astaras, Nikolaos Kiamos, Stefanos Kyriakidis, Yorgos Mertzanis, George Boutsis, Nikolaos Oikonomakis, Yiannis Tsaknakis, and Dionisios Youlatos. 2025. "Habitat Suitability and Relative Abundance of the European Wildcat (Felis silvestris) in the Southeastern Part of Its Range" Animals 15, no. 19: 2816. https://doi.org/10.3390/ani15192816
APA StyleMigli, D., Astaras, C., Kiamos, N., Kyriakidis, S., Mertzanis, Y., Boutsis, G., Oikonomakis, N., Tsaknakis, Y., & Youlatos, D. (2025). Habitat Suitability and Relative Abundance of the European Wildcat (Felis silvestris) in the Southeastern Part of Its Range. Animals, 15(19), 2816. https://doi.org/10.3390/ani15192816

