Attitudes and Beliefs of Wild Boar Hunters in Croatia Towards Preventing and Controlling African Swine Fever
Simple Summary
Abstract
1. Introduction
1.1. History and Spread of African Swine Fever (ASF)
1.2. Hunting Practices and Hunter Demographics in Croatia
1.3. The Role of Wild Boar and Wild Boar Hunters in African Swine Fever (ASF) Control
- What are the sociodemographic characteristics of wild boar hunters (age, gender, education, and experience), and how do these factors influence their hunting activity and participation in educational programs?
- To what extent are wild boar hunters informed about African swine fever, and what are their primary sources of information?
- Is there an association between hunting experience and wild boar hunters’ awareness, behavior, and confidence in recognizing ASF symptoms?
- Which preventive and control measures against ASF do wild boar hunters most strongly support, and how do they perceive the importance of education, cooperation, and institutional capacity in combating ASF?
- Which underlying factors (ASF communication, education and awareness; institutional capacity and coordination; regulation and disease control policy) can be identified through factor analysis of wild boar hunters’ attitudes, and how do these factors vary with age, education, training participation, and concern about ASF?
- How do hunters perceive the effectiveness of current ASF communication and control measures?
- What are hunters’ attitudes towards potential future ASF management strategies?
- How do sociodemographic characteristics and participation in training programs influence wild boar hunters’ attitudes toward regulatory measures, preventive actions, and institutional support for ASF control?
2. Materials and Methods
3. Results
3.1. Sample Description
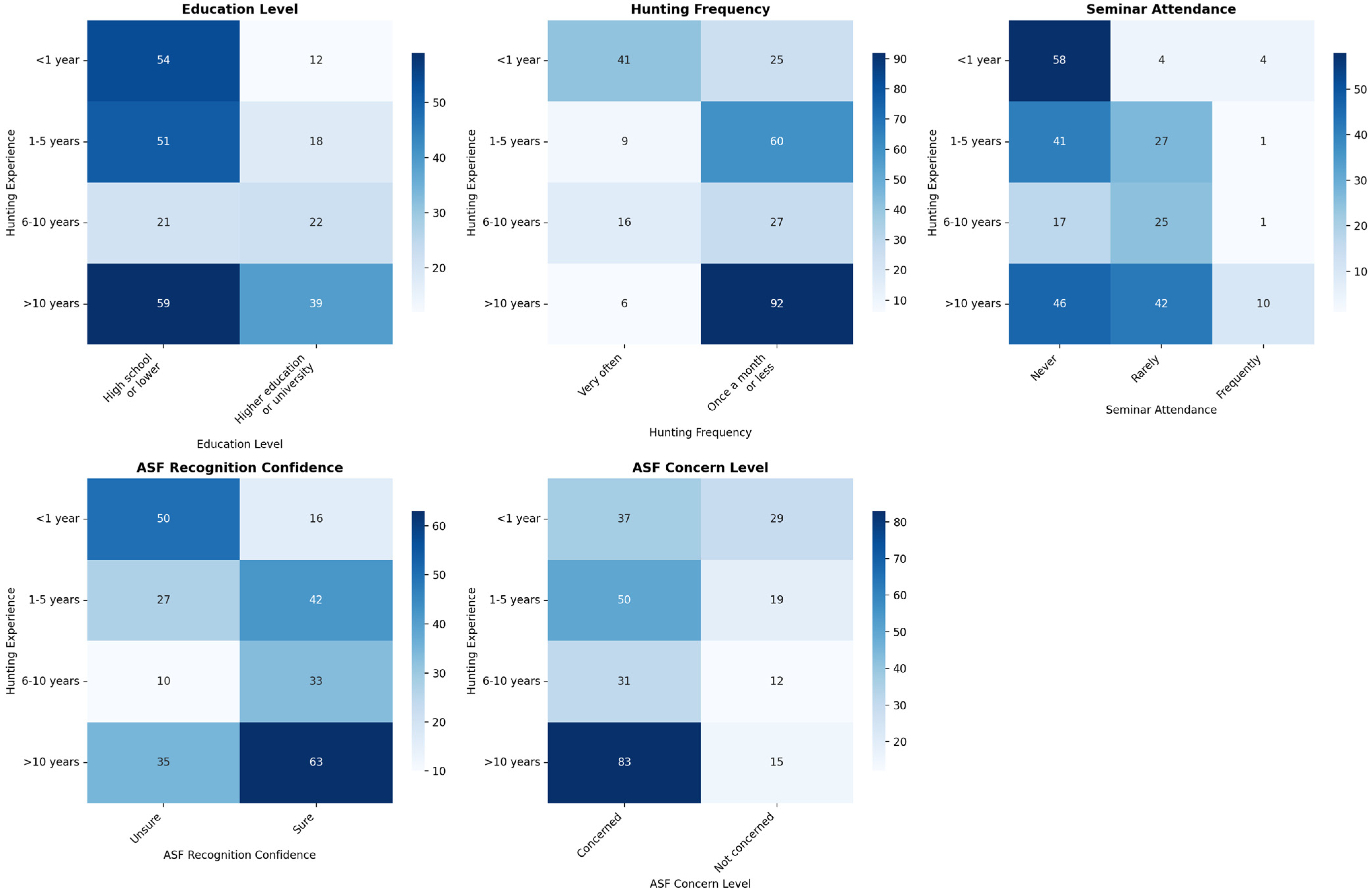
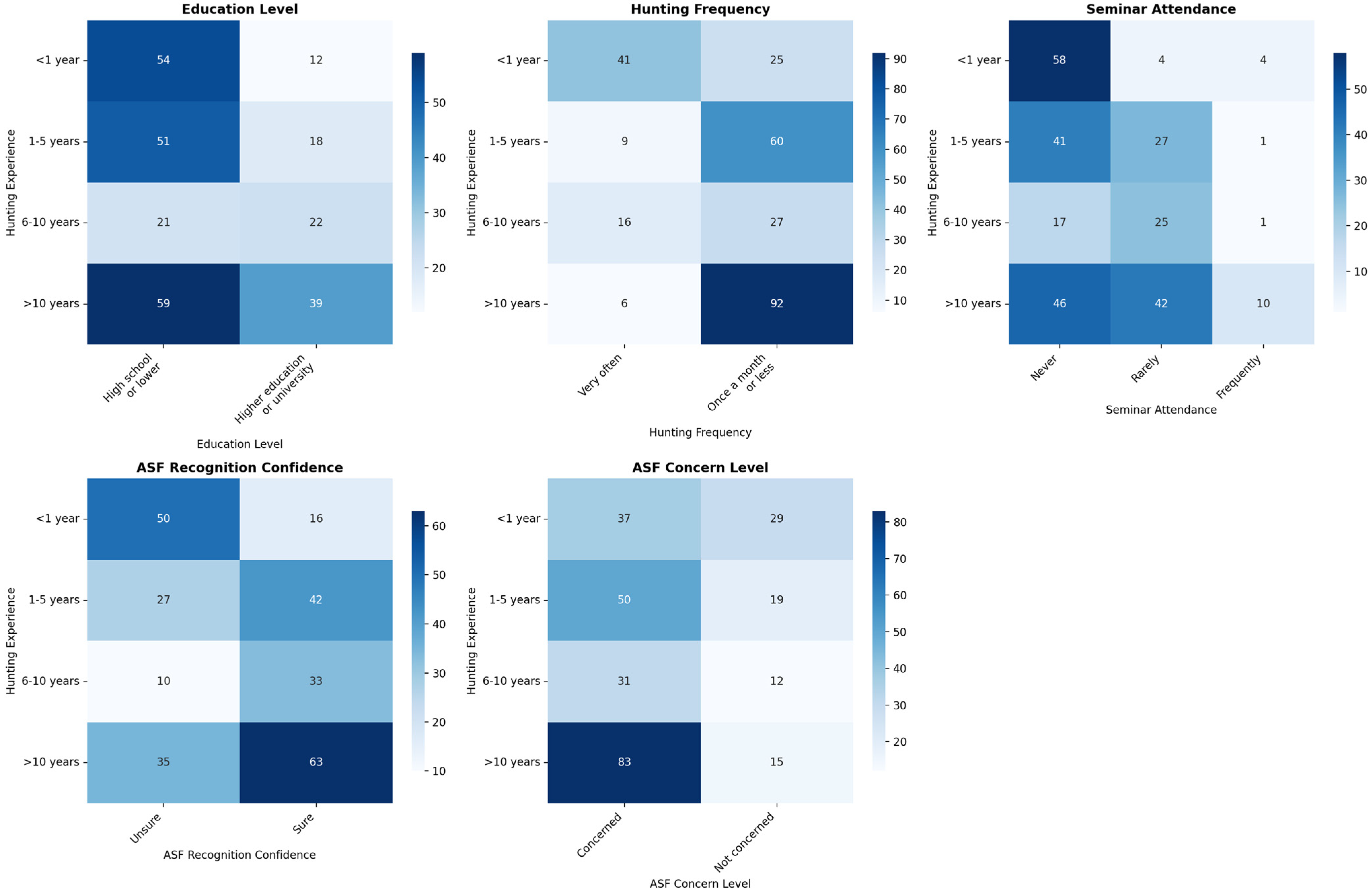
3.2. Hunting Experience as a Predictor of Behaviour, Awareness, and Attitudes Toward ASF
3.3. Wild Boar Hunters’ Perception of Preventive Measures, Education and Cooperation in the Fight Against African Swine Fever (ASF)
3.4. Factor Analysis of Hunters’ Views on African Swine Fever: Prevention, Education, and Cooperation
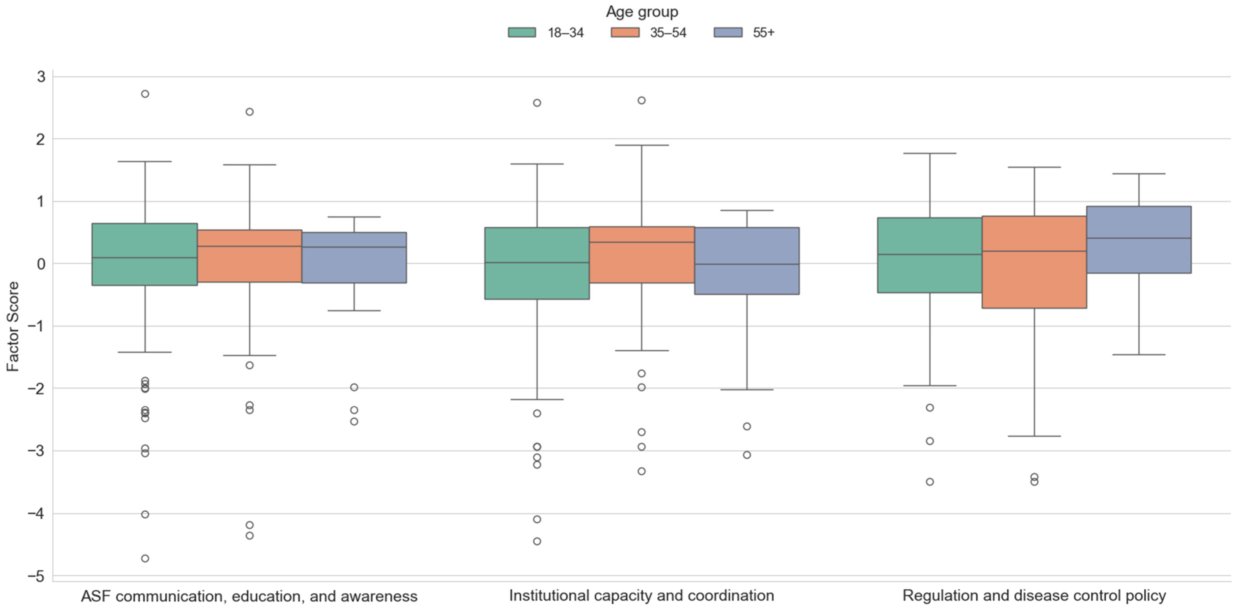
3.5. Connection of Sociodemographic Characteristics of Respondents, Participation in Training, Concern About the Spread of ASF Regarding Factor Scores
4. Discussion
5. Conclusions
- Hunters should be recognised as active contributors to biosecurity, especially in early detection, reporting, and preventive measures.
- Effective ASF control requires clear, reliable, and two-way communication between hunters, veterinary authorities, and policy makers.
- Education and awareness-raising are essential. Training needs to combine traditional workshops with modern digital tools to reach the different groups of hunters.
- ASF management should take a cross-sectoral approach, combining social and cultural dimensions with veterinary and environmental strategies.
- Policy makers should involve hunters in decision-making processes and ensure transparency to build trust and compliance.
- Hunters must be seen as strategic partners in integrated wildlife health management. Future research should focus on mechanisms to engage and evaluate education and cooperation initiatives.
Author Contributions
Funding
Institutional Review Board Statement
Informed Consent Statement
Data Availability Statement
Conflicts of Interest
References
- Dixon, L.K.; Stahl, K.; Jori, F.; Vial, L.; Pfeiffer, D.U. African Swine Fever Epidemiology and Control. Annu. Rev. Anim. Biosci. 2020, 15, 221–246. [Google Scholar] [CrossRef]
- Hayes, B.H.; Andraud, M.; Salazar, L.G.; Rose, N.; Vergne, T. Mechanistic modelling of African swine fever: A systematic review. Prev. Vet. Med. 2021, 18, 191. [Google Scholar] [CrossRef]
- More, S.; Miranda, M.A.; Bicout, D.; Bøtner, A.; Butterworth, A.; Calistri, P.; Edwards, S.; Garin-Bastuji, B.; Good, M.; Michel, V.; et al. EFSA AHAW Panel (EFSA Panel on Animal Health and Welfare), Scientific Opinion on the African swine fever in wild boar. EFSA J. 2018, 16, 5344. [Google Scholar]
- Migliore, S.; Hussein, H.A.; Galluzzo, P.; Puleio, R.; Loria, G.R. African Swine Fever and Its Control Measures in Wild Boar: A “De Iure Condito” Analysis in the European Union. Animals 2024, 14, 14. [Google Scholar] [CrossRef]
- Vergne, T.; Guinat, C.; Petkova, P.; Gogin, A.; Kolbasov, D.; Blome, S.; Molia, S.; Pinto Ferreira, J.; Wieland, B.; Nathues, H.; et al. Attitudes and Beliefs of Pig Farmers and Wild Boar Hunters Towards Reporting of African Swine Fever in Bulgaria, Germany and the Western Part of the Russian Federation. Transbound. Emerg. Dis. 2014, 63, e194–e204. [Google Scholar] [CrossRef]
- Stončiūtė, E.; Malakauskas, A.; Conraths, F.J.; Masiulis, M.; Sauter-Louis, C.; Schulz, K. The perceptions of Lithuanian hunters towards African swine fever using a participatory approach. BMC Vet. Res. 2022, 18, 401. [Google Scholar] [CrossRef]
- Urner, N.; Seržants, M.; Užule, M.; Sauter-Louis, C.; Staubach, C.; Lamberga, C.; Oļševskis, E.; Conraths, F.J.; Schulz, K. Hunters’ view on the control of African swine fever in wild boar. A participatory study in Latvia. Prev. Vet. Med. 2021, 186, 105229. [Google Scholar] [CrossRef] [PubMed]
- Lentz, H.H.K.; Bergmann, H.; Conraths, F.J.; Schulz, J.; Sauter-Louis, C. The diffusion metrics of African swine fever in wild boar. Sci. Rep. 2023, 13, 15110. [Google Scholar] [CrossRef]
- Gámbaro, F.; Goatley, L.C.; Foster, T.J.; Tennakoon, C.; Freimanis, G.L.; Van Borm, S.; Masiulis, M.; Bušauskas, P.; Netherton, C.L.; Dellicour, S. Exploiting Viral DNA Genomes to Explore the Dispersal History of African Swine Fever Genotype II Lineages in Europe. Genome Biol. Evol. 2025, 17, evaf102. [Google Scholar] [CrossRef]
- Shaw, C.; McLure, A.; Glass, K. African swine fever in wild boar: Investigating model assumptions and structure. R. Soc. Open Sci. 2024, 11, 231319. [Google Scholar] [CrossRef] [PubMed]
- Rogoll, L.; Güttner, A.K.; Schulz, K.; Bergmann, H.; Staubach, C.; Conraths, F.J.; Sauter-Louis, C. Seasonal Occurrence of African Swine Fever in Wild Boar and Domestic Pigs in EU Member States. Viruses 2023, 15, 1955. [Google Scholar] [CrossRef]
- Florijančić, T.; Vukšić Končevski, N.; Budor, I. African swine fever of wild boar in Europe and Croatia—Yesterday, today, tomorrow. In Proceedings of the 59th Croatian and 19th International Symposium on Agriculture, Dubrovnik, Croatia, 11–16 February 2024; Carović-Stanko, K., Kljak, K., Eds.; University of Zagreb Faculty of Agriculture: Zagreb, Croatia, 2024; p. 151. [Google Scholar]
- Narodne Novine. Naredba o Mjerama Kontrole za Suzbijanje Afričke Svinjske Kuge u Republici Hrvatskoj. NN 88/2024. Available online: https://narodne-novine.nn.hr/clanci/sluzbeni/2024_07_88_1543.html (accessed on 16 June 2025).
- Ministry of Agriculture, Forestry and Fisheries. African Swine Fever Surveillance Program; Version 7; Ministry of Agriculture, Forestry and Fisheries: Zagreb, Croatia, 2025. Available online: http://www.veterinarstvo.hr/UserDocsImages/Zdravlje_zivotinja/Programi%202025/Program%20nadziranja%20afri%C4%8Dke%20svinjske%20kuge%20u%20Republici%20Hrvatskoj.pdf (accessed on 27 August 2025).
- Commission Implementing Regulation (EU) 2023/594 of 16 March 2023 Laying Down Special Disease Control Measures for African Swine Fever and Repealing Implementing Regulation (EU) 2021/605 (Text with EEA Relevance). Available online: https://eur-lex.europa.eu/eli/reg_impl/2023/594/oj (accessed on 27 August 2025).
- Ministry of Agriculture Forestry and Fisheries. First Occurrence of African Swine Fever in Wild Boars in Osijek-Baranja County. Available online: https://poljoprivreda.gov.hr/vijesti/prva-pojava-africke-svinjske-kuge-u-divljih-svinja-na-podrucju-osjecko-baranjske-zupanije/7721 (accessed on 16 June 2025).
- Narodne Novine. Zakon o Lovstvu. NN 99/2018. Available online: https://narodne-novine.nn.hr/clanci/sluzbeni/2018_11_99_1913.html (accessed on 26 August 2025).
- Croatian Bureau of Statistics. Hunting in 2023. Available online: https://podaci.dzs.hr/2024/hr/77270 (accessed on 16 June 2025).
- Pejnović, D.; Krapinec, K.; Slamar, M. Lovci u Hrvatskoj kao socijalno-geografska skupina i njihove demosocijalne karakteristike. Šumar. List 2010, 134, 461–473. [Google Scholar]
- Tolušić, Z. Organisational and Management Models for Hunting in Croatia. Ph.D. Thesis, Faculty of Economics, Josip Juraj Strissmayer University of Osijek, Osijek, Croatia, 10 September 2019. [Google Scholar]
- Gervasi, V.; Gubertì, V. Combining hunting and intensive carcass removal to eradicate African swine fever from wild boar populations. Prev. Vet. Med. 2022, 203, 105633. [Google Scholar] [CrossRef] [PubMed]
- Urner, N.; Mõtus, K.; Nurmoja, I.; Schulz, J.; Sauter-Louis, C.; Staubach, C.; Conraths, F.J.; Schulz, K. Hunters’ Acceptance of Measures against African Swine Fever in Wild Boar in Estonia. Prev. Vet. Med. 2020, 182, 105121. [Google Scholar] [CrossRef]
- Chenais, E.; Ernholm, L.; Brunzell, A.F.; Mård, K.; Svensson, L.; Lindahl, J.F.; Lewerin, S.S. Perceptions and practices of Swedish wild boar hunters in relation to African swine fever before the first outbreak in Sweden. BMC Vet. Res. 2024, 20, 320. [Google Scholar] [CrossRef]
- Oelke, J.; Müller, F.I.; Miggelbrink, J. The Urban Hunter in Times of African Swine Fever. Etnofoor 2022, 34, 67–88. [Google Scholar]
- Morelle, K.; Bubnicki, J.; Churski, M.; Gryz, J.; Podgórski, T.; Kuijper, D.P.J. Disease-Induced Mortality Outweighs Hunting in Causing Wild Boar Population Crash After African Swine Fever Outbreak. Front. Vet. Sci. 2020, 7, 378. [Google Scholar] [CrossRef]
- Salazar, L.G.; Rose, N.; Hayes, B.; Hammami, P.; Baubet, E.; Desvaux, S.; Andraud, M. Effects of habitat fragmentation and hunting activities on African swine fever dynamics among wild boar populations. Prev. Vet. Med. 2022, 208, 105750. [Google Scholar] [CrossRef] [PubMed]
- Dillman, D.; Smyth, J.; Christian, L.M. Internet, Phone, Mail, and Mixed-Mode Surveys, 4th ed.; Wiley: Hoboken, NJ, USA, 2014; Available online: https://www.perlego.com/book/997936/internet-phone-mail-and-mixedmode-surveys-the-tailored-design-method-pdf (accessed on 20 April 2024).
- Bonnichsen, O.; Olsen, S.B. Correcting for non-response bias in contingent valuation surveys concerning environmental non-market goods: An empirical investigation using an online panel. J. Environ. Plan. Manag. 2016, 59, 245–262. [Google Scholar] [CrossRef]
- Khachatryan, H.; Rihn, A.; Wei, X. Consumers’ Preferences for Eco-labels on Plants: The Influence of Trust and Consequentiality Perceptions. J. Behav. Exp. Econ. 2021, 91, 101659. [Google Scholar] [CrossRef]
- Mariel, P.; Hoyos, D.; Meyerhoff, J.; Czajkowski, M.; Dekker, T.; Glenk, K.; Jacobsen, B.; Liebe, U.; Olsen, S.B.; Sagebiel, J.; et al. Environmental Valuation with Discrete Choice Experiments, Guidance on Design, Implementation and Data Analysis; Springer: Cham, Switzerland, 2021. [Google Scholar] [CrossRef]
- Vecchio, R.; Caso, G.; Cembalo, L.; Borrello, M. Is respondents’ inattention in online surveys a major issue for research? Econ. Agro-Aliment. 2020, 22, 1–18. [Google Scholar] [CrossRef]
- Hunting Association Osijek-Baranja County, Members of the Association. Available online: https://www.lovacki-savez-osijek.hr/index.php/clanice-saveza (accessed on 26 August 2025).
- Qianfeng, L.; Pengfei, L.; Zhi, L. The influence of African swine fever information on consumers’ preference of pork attributes and pork purchase. Can. J. Agric. Econ. 2021, 71, 49–68. [Google Scholar] [CrossRef]
- Tizzani, M.; Muñoz-Gómez, V.; De Nardi, M.; Paolotti, D.; Muñoz, O.; Ceschi, P.; Viltrop, A.; Capua, I. Integrating digital and field surveillance as complementary efforts to manage epidemic diseases of livestock: African swine fever as a case study. PLoS ONE 2012, 16, e0252972. [Google Scholar] [CrossRef]
- Ma, M.; Wang, H.H.; Hua, Y.; Qin, F.; Yang, J. African swine fever in China: Impacts, responses, and policy implications. Food Policy 2012, 102, 102065. [Google Scholar] [CrossRef]
- Bellini, S.; Casadei, G.; De Lorenzi, G.; Tamba, M. A Review of Risk Factors of African Swine Fever Incursion in Pig Farming within the European Union Scenario. Pathogens 2021, 10, 84. [Google Scholar] [CrossRef]
- de la Torre, A.; Bosch, J.; Sánchez-Vizcaíno, J.M.; Ito, S.; Muñoz, C.; Iglesias, I.; Martínez-Avilés, M. African Swine Fever Survey in a European Context. Pathogens 2022, 11, 137. [Google Scholar] [CrossRef]
- Ogundijo, O.A.; Omotosho, O.O.; Al-Mustapha, A.I.; Abiola, J.O.; Awosanya, E.J.; Odukoya, A.; Owoicho, S.; Oyewo, M.; Ibrahim, A.; Orum, T.G.; et al. A multi-state survey of farm-level preparedness towards African swine fever outbreak in Nigeria. Acta Trop. 2023, 246, 106989. [Google Scholar] [CrossRef] [PubMed]
- Vinci, C. African Swine Fever: A Major Threat to the Pig Industry; European Parlament: Strasbourg, France, 2023; Available online: https://www.europarl.europa.eu/RegData/etudes/BRIE/2023/753963/EPRS_BRI(2023)753963_EN.pdf (accessed on 8 February 2024).
- IBM SPSS. IBM SPSS Statistics for Windows, Version 26.0; IBM Corp: Armonk, NY, USA, 2019.
- Heberlein, T.A.; Ericsson, G.; Wollscheid, K.U. Correlates of hunting participation in Europe and North America. Z. Jagdwiss. 2002, 48 (Suppl. S1), 320–326. [Google Scholar] [CrossRef]
- Ericsson, K.A. Deliberate practice and acquisition of expert performance: A general overview. Acad. Emerg. Med. 2008, 15, 988–994. [Google Scholar] [CrossRef]
- Heberlein, T.A.; Serup, B.; Ericsson, G. Female Hunting Participation in North America and Europe. Hum. Dimens. Wildl. 2008, 13, 443–458. [Google Scholar] [CrossRef]
- Hansson-Forman, K.; Sandström, C.; Ericsson, G. What influences hunting participation of potential new hunters? Qualitative insights from Sweden. Wildl. Biol. 2020, 2020, 1–9. [Google Scholar] [CrossRef]





| N | (%) | ||
|---|---|---|---|
| Gender | male | 259 | 93.8 |
| female | 17 | 6.2 | |
| Age | younger respondents (18–34) | 123 | 44.5 |
| middle-aged respondents (35–54) | 131 | 47.5 | |
| older respondents (55+) | 22 | 8.0 | |
| Education | secondary education or lower | 185 | 67.0 |
| college degree or higher | 91 | 33.0 | |
| Hunting experience | <5 years | 135 | 48.9 |
| >5 years | 141 | 51.1 | |
| Hunt | professional hunting | 20 | 7.2 |
| recreational hunting | 256 | 92.8 | |
| Hunting during the year | once a month or less | 72 | 26.1 |
| very often | 204 | 73.9 | |
| group hunting with dogs | 123 | 44.6 | |
| Preferred hunting method | individual hunting | 153 | 55.4 |
| Member of hunting associations | yes | 225 | 81.5 |
| no | 51 | 18.5 | |
| Attendance of hunting seminars or trainings | never to rarely | 162 | 58.7 |
| often to regularly | 114 | 41.3 | |
| Familiarity with the term ASF | fully familiar | 258 | 93.5 |
| little or not familiar | 18 | 6.5 | |
| Main source of information about ASF | television | 51 | 18.5 |
| radio | 2 | 0.7 | |
| newspapers/print media | 19 | 6.9 | |
| internet (news portals, social media) | 183 | 66.3 | |
| other | 21 | 7.6 | |
| Concern about the spread of the disease | concerned | 201 | 72.8 |
| not concerned | 75 | 27.2 | |
| Confidence in recognizing the disease | not confident | 122 | 44.2 |
| confident | 154 | 55.8 | |
| Measures to prevent disease spread * | zoning and movement restrictions | 81 | 29.3 |
| PCR testing of dead wild boars | 115 | 41.7 | |
| PCR testing of shot wild boars | 132 | 47.8 | |
| installation of physical barriers | 25 | 9.1 | |
| depopulation | 89 | 32.2 | |
| selective hunting | 85 | 30.8 | |
| vaccination of wild boars | 76 | 27.5 | |
| Who should finance wild boar vaccination | government | 265 | 96.0 |
| pig producers | 11 | 4.0 | |
| Me | Mo | M | SD | % | |
|---|---|---|---|---|---|
| Preventive measures | |||||
| I believe surveillance of wild boars should be intensified in areas where ASF is present. | 4 | 5 | 3.99 | 1.172 | 76.8 |
| I believe preventive measures are key in controlling the spread of ASF. | 4 | 5 | 3.86 | 1.215 | 67.1 |
| I believe stricter border controls are needed to prevent ASF introduction. | 4 | 5 | 3.82 | 1.345 | 66.7 |
| I think stricter legal measures are needed to prevent ASF from entering new areas. | 4 | 5 | 3.49 | 1.309 | 53.6 |
| Education and awareness about ASF | |||||
| Hunters should be educated on proper disposal and destruction of wild boar remains to prevent disease spread. | 5 | 5 | 4.33 | 1.011 | 87.7 |
| Hunters should be encouraged to report suspected ASF cases. | 5 | 5 | 4.33 | 0.986 | 89.8 |
| Hunters should be educated about ASF symptoms. | 5 | 5 | 4.32 | 0.984 | 88.4 |
| Information about ASF should be regularly updated and monitored. | 5 | 5 | 4.26 | 1.026 | 86.5 |
| I believe it is important to educate hunters on proper handling of wild boars to prevent disease spread. | 5 | 5 | 4.22 | 1.075 | 85.1 |
| I believe the local community should be educated about the risks associated with ASF. | 4 | 5 | 4.21 | 1.044 | 86.2 |
| Awareness of the importance of vaccinating domestic pigs against ASF should be raised. | 4 | 5 | 4.16 | 1.094 | 82.6 |
| Hunters should regularly check wild boars for signs of ASF. | 4 | 5 | 4.07 | 1.086 | 78.6 |
| Cooperation and support | |||||
| I believe adequate support should be provided to hunters in combating ASF. | 5 | 5 | 4.49 | 0.912 | 92.4 |
| I believe hunters should be encouraged to cooperate and share information about suspected ASF cases. | 5 | 5 | 4.31 | 0.960 | 90.2 |
| I believe international cooperation is crucial in controlling ASF. | 5 | 5 | 4.31 | 1.018 | 87.3 |
| I believe cooperation between hunters and local authorities is essential in the fight against ASF. | 5 | 5 | 4.29 | 1.032 | 84.1 |
| Limited resources and the need for investment | |||||
| I think more investment is needed in infrastructure for ASF control and prevention. | 4 | 5 | 4.18 | 0.988 | 82.9 |
| I believe national programs should be established for the monitoring and continuous control of ASF. | 4 | 5 | 4.18 | 0.982 | 84.7 |
| I believe more experts should be engaged in ASF control. | 4 | 5 | 4.15 | 0.989 | 81.1 |
| F1–ASF Communication, Education, and Awareness | F2–Institutional Capacity and Coordination | F3–Regulation and Disease Control Policy | |
|---|---|---|---|
| Information about ASF should be regularly updated and monitored. | 0.825 | 0.345 | 0.255 |
| I believe hunters should be encouraged to cooperate and share information about suspected ASF cases. | 0.812 | 0.414 | 0.245 |
| Hunters should be educated on proper disposal and destruction of wild boar remains to prevent disease spread. | 0.799 | 0.309 | 0.256 |
| Hunters should be encouraged to report suspected ASF cases. | 0.794 | 0.367 | 0.222 |
| Awareness of the importance of vaccinating domestic pigs against ASF should be raised. | 0.781 | 0.191 | 0.262 |
| I believe the local community should be educated about the risks associated with ASF. | 0.781 | 0.382 | 0.247 |
| Hunters should regularly check wild boars for signs of ASF. | 0.779 | 0.253 | 0.183 |
| I believe it is important to educate hunters on proper handling of wild boars to prevent disease spread. | 0.76 | 0.378 | 0.212 |
| Hunters should be educated about ASF symptoms. | 0.736 | 0.404 | 0.243 |
| I believe more experts should be engaged in ASF control. | 0.220 | 0.799 | 0.235 |
| I believe national programs should be established for the monitoring and continuous control of ASF. | 0.272 | 0.785 | 0.208 |
| I believe international cooperation is crucial in controlling ASF. | 0.377 | 0.78 | 0.128 |
| I believe cooperation between hunters and local authorities is essential in the fight against ASF. | 0.337 | 0.764 | 0.145 |
| I believe adequate support should be provided to hunters in combating ASF. | 0.491 | 0.698 | 0.111 |
| I think more investment is needed in infrastructure for ASF control and prevention. | 0.413 | 0.666 | 0.273 |
| I think stricter legal measures are needed to prevent ASF from entering new areas. | 0.082 | 0.183 | 0.822 |
| I believe surveillance of wild boars should be intensified in areas where ASF is present. | 0.357 | 0.130 | 0.774 |
| I believe stricter border controls are needed to prevent ASF introduction. | 0.220 | 0.178 | 0.765 |
| I believe preventive measures are key in controlling the spread of ASF. | 0.330 | 0.195 | 0.674 |
| % Variance Explained | 34.922 | 24.050 | 16.020 |
| Eigenvalues | 6.635 | 4.570 | 3.044 |
| Cronbach’s Alpha | 0.966 | 0.922 | 0.834 |
Disclaimer/Publisher’s Note: The statements, opinions and data contained in all publications are solely those of the individual author(s) and contributor(s) and not of MDPI and/or the editor(s). MDPI and/or the editor(s) disclaim responsibility for any injury to people or property resulting from any ideas, methods, instructions or products referred to in the content. |
© 2025 by the authors. Licensee MDPI, Basel, Switzerland. This article is an open access article distributed under the terms and conditions of the Creative Commons Attribution (CC BY) license (https://creativecommons.org/licenses/by/4.0/).
Share and Cite
Pečurlić, L.; Florijančić, T.; Vukšić Končevski, N.; Deže, D.; Jelić Milković, S. Attitudes and Beliefs of Wild Boar Hunters in Croatia Towards Preventing and Controlling African Swine Fever. Animals 2025, 15, 2782. https://doi.org/10.3390/ani15192782
Pečurlić L, Florijančić T, Vukšić Končevski N, Deže D, Jelić Milković S. Attitudes and Beliefs of Wild Boar Hunters in Croatia Towards Preventing and Controlling African Swine Fever. Animals. 2025; 15(19):2782. https://doi.org/10.3390/ani15192782
Chicago/Turabian StylePečurlić, Lucija, Tihomir Florijančić, Neška Vukšić Končevski, Denis Deže, and Sanja Jelić Milković. 2025. "Attitudes and Beliefs of Wild Boar Hunters in Croatia Towards Preventing and Controlling African Swine Fever" Animals 15, no. 19: 2782. https://doi.org/10.3390/ani15192782
APA StylePečurlić, L., Florijančić, T., Vukšić Končevski, N., Deže, D., & Jelić Milković, S. (2025). Attitudes and Beliefs of Wild Boar Hunters in Croatia Towards Preventing and Controlling African Swine Fever. Animals, 15(19), 2782. https://doi.org/10.3390/ani15192782

