Effects of Dried Distillers Grains in Supplements for Beef Cows During Late Gestation on Cow–Calf Performance and Metabolic Status
Simple Summary
Abstract
1. Introduction
2. Materials and Methods
2.1. Animals, Experimental Design, and Treatments
2.2. Productive Performance
2.3. Estimation of Forage and Supplement Availability and Quality
2.4. Blood and Skeletal Muscle Collection: Processing and Analysis
2.5. Measures and Breeding Season Protocol
2.6. Statistical Analysis
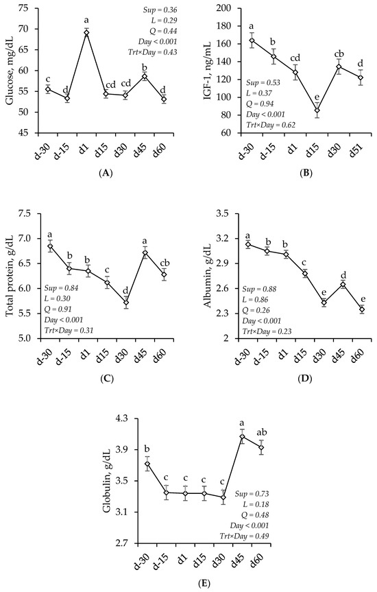
3. Results
4. Discussion
5. Conclusions
Author Contributions
Funding
Institutional Review Board Statement
Informed Consent Statement
Data Availability Statement
Acknowledgments
Conflicts of Interest
Abbreviations
| DDG | Dried distillers grains |
| BW | Body weight |
| BCS | Body condition score |
| βHB | β-hydroxybutyrate |
| NEFAs | Non-esterified fatty acids |
| SUN | Serum urea nitrogen |
| RUP | Rumen undegradable protein |
| RDP | Rumen degradable protein |
| CP | Crude protein |
| DM | Dry matter |
| apNDF | Neutral detergent fiber corrected by ash and protein |
| iNDF | Indigestible neutral detergent fiber |
| pdDM | Potential digestible dry matter |
| fDM | Forage dry matter |
References
- Bauman, B.D.E.; Currie, W. Partitioning of Nutrients During Pregnancy and Lactation: A Review of Mechanisms Involving Homeostasis and Homeorhesis. J. Dairy Sci. 1980, 63, 1514–1529. [Google Scholar] [CrossRef] [PubMed]
- Wood, K.M.; Awda, B.J.; Fitzsimmons, C.; Miller, S.P.; McBride, B.W.; Swanson, K.C. Influence of Pregnancy in Mid-to-Late Gestation on Circulating Metabolites, Visceral Organ Mass, and Abundance of Proteins Relating to Energy Metabolism in Mature Beef Cows. J. Anim. Sci. 2013, 91, 5775–5784. [Google Scholar] [CrossRef] [PubMed]
- Contreras, G.A.; Strieder-Barboza, C.; Raphael, W. Adipose Tissue Lipolysis and Remodeling during the Transition Period of Dairy Cows. J. Anim. Sci. Biotechnol. 2017, 8, 41. [Google Scholar] [CrossRef]
- Bohnert, D.W.; Stalker, L.A.; Mills, R.R.; Nyman, A.; Falck, S.J.; Cooke, R.F. Late Gestation Supplementation of Beef Cows Differing in Body Condition Score: Effects on Cow and Calf Performance. J. Anim. Sci. 2013, 91, 5485–5491. [Google Scholar] [CrossRef]
- LeMaster, C.T.; Taylor, R.K.; Ricks, R.E.; Long, N.M. The Effects of Late Gestation Maternal Nutrient Restriction with or without Protein Supplementation on Endocrine Regulation of Newborn and Postnatal Beef Calves. Theriogenology 2017, 87, 64–71. [Google Scholar] [CrossRef]
- Carvalho, R.S.; Cooke, R.F.; Cappellozza, B.I.; Peres, R.F.G.; Pohler, K.G.; Vasconcelos, J.L.M. Influence of Body Condition Score and Its Change after Parturition on Pregnancy Rates to Fixed-Timed Artificial Insemination in Bos Indicus Beef Cows. Anim. Reprod. Sci. 2022, 243, 107028. [Google Scholar] [CrossRef] [PubMed]
- Chen, H.; Wang, C.; Huasai, S.; Chen, A. Effect of Prepartum Dietary Energy Density on Beef Cow Energy Metabolites, and Birth Weight and Antioxidative Capabilities of Neonatal Calves. Sci. Rep. 2022, 12, 4828. [Google Scholar] [CrossRef]
- Valadares Filho, S.C.; Saraiva, D.T.; Benedeti, P.B.; Silva, F.A.S.; Chizzotti, M.L. Nutrient Requirements of Zebu and Crossbred Cattle—BR CORTE 4.0, 4th ed.; Suprema: Viçosa, MG, Brazil, 2023; ISBN 978-85-8179-192-0. [Google Scholar]
- García-Franco, A.; Godoy, P.; de la Torre, J.; Duque, E.; Ramos, J.L. United Nations Sustainability Development Goals Approached from the Side of the Biological Production of Fuels. Microb. Biotechnol. 2021, 14, 1871–1877. [Google Scholar] [CrossRef]
- Liu, K. Chemical Composition of Distillers Grains, a Review. J. Agric. Food Chem. 2011, 59, 1508–1526. [Google Scholar] [CrossRef]
- Bohnert, D.W.; Schauer, C.S.; DelCurto, T. Influence of Rumen Protein Degradability and Supplementation Frequency on Performance and Nitrogen Use in Ruminants Consuming Low-Quality Forage: Cow Performance and Efficiency of Nitrogen Use in Wethers2. J. Anim. Sci. 2002, 80, 1629–1637. [Google Scholar] [CrossRef]
- Manoukian, M.; DelCurto, T.; Kluth, J.; Carlisle, T.; Davis, N.; Nack, M.; Wyffels, S.; Scheaffer, A.; Van Emon, M. Impacts of Rumen Degradable or Undegradable Protein Supplementation with or without Salt on Nutrient Digestion, and VFA Concentrations. Animals 2021, 11, 3011. [Google Scholar] [CrossRef] [PubMed]
- Schauer, C.S.; Bohnert, D.W.; Ganskopp, D.C.; Richards, C.J.; Falck, S.J. Influence of Protein Supplementation Frequency on Cows Consuming Low-Quality Forage: Performance, Grazing Behavior, and Variation in Supplement Intake1. J. Anim. Sci. 2005, 83, 1715–1725. [Google Scholar] [CrossRef] [PubMed]
- Costa, T.C.; Lourenço, P.E.C.; Souza, R.O.; Lopes, M.M.; Araújo, R.D.; Santos, M.M.; Luciano, L.P.; Massensini, J.D.; Chalfun, L.L.H.; Rennó, L.N.; et al. Ruminal Undegradable Protein Enriched Diet during Late Gestation of Beef Cows Affects Maternal Metabolism and Offspring’s Skeletal Muscle Development. Anim. Feed Sci. Technol. 2022, 291, 115400. [Google Scholar] [CrossRef]
- Murillo, M.; Herrera, E.; Ruiz, O.; Reyes, O.; Carrete, F.O.; Gutierrez, H. Effect of Supplemental Corn Dried Distillers Grains with Solubles Fed to Beef Steers Grazing Native Rangeland during the Forage Dormant Season. Asian-Australas. J. Anim. Sci. 2016, 29, 666–673. [Google Scholar] [CrossRef] [PubMed]
- Wilson, T.B.; Faulkner, D.B.; Shike, D.W. Influence of Late Gestation Drylot Rations Differing in Protein Degradability and Fat Content on Beef Cow and Subsequent Calf Performance. J. Anim. Sci. 2015, 93, 5819–5828. [Google Scholar] [CrossRef]
- Hoffmann, A.; Berça, A.S.; Cardoso, A.d.S.; Fonseca, N.V.B.; Silva, M.L.C.; Leite, R.G.; Ruggieri, A.C.; Reis, R.A. Does the Effect of Replacing Cottonseed Meal with Dried Distiller’s Grains on Nellore Bulls Finishing Phase Vary between Pasture and Feedlot? Animals 2021, 11, 85. [Google Scholar] [CrossRef]
- National Research Council—NRC. Nutrient Requirements of Beef Cattle, 7th ed.; Academic Press: Washington, DC, USA, 2000.
- Lopes, S.A.; Ferreira, M.F.L.; Costa e Silva, L.F.; Prados, L.F.; Rodrigues, I.I.; Rennó, L.N.; Siqueira, G.R.; Valadares Filho, S.C. Evaluation of Nonlinear Models to Predict Milk Yield and Composition of Beef Cows: A Meta-Analysis. Anim. Feed Sci. Technol. 2022, 294, 115455. [Google Scholar] [CrossRef]
- Detmann, E.; Costa e Silva, L.F.; Palma, M.N.N. Métodos Para Análises de Alimentos—INCT Ciência Animal, 2nd ed.; Suprema: Visconde do Rio Branco, Brazil, 2021. [Google Scholar]
- Valadares Filho, S.C.; Lopes, S.A.; Silva, B.d.C.; Chizzotti, M.L.; Bissaro, L.Z. CQBAL 4.0. Available online: https://www.cqbal.com.br/#!/autorescitacoes (accessed on 29 May 2025).
- Sousa, L.M.; de Souza, W.L.; Oliveira, K.A.; Cidrini, I.A.; Moriel, P.; Nogueira, H.C.R.; Ferreira, I.M.; Ramirez-Zamudio, G.D.; Oliveira, I.M.; Prados, L.F.; et al. Effect of Different Herbage Allowances from Mid to Late Gestation on Nellore Cow Performance and Female Offspring Growth until Weaning. Animals 2024, 14, 163. [Google Scholar] [CrossRef]
- Winterholler, S.J.; McMurphy, C.P.; Mourer, G.L.; Krehbiel, C.R.; Horn, G.W.; Lalman, D.L. Supplementation of Dried Distillers Grains with Solubles to Beef Cows Consuming Low-Quality Forage during Late Gestation and Early Lactation. J. Anim. Sci. 2012, 90, 2014–2025. [Google Scholar] [CrossRef]
- Larson, D.M.; Martin, J.L.; Adams, D.C.; Funston, R.N. Winter Grazing System and Supplementation during Late Gestation Influence Performance of Beef Cows and Steer Progeny. J. Anim. Sci. 2009, 87, 1147–1155. [Google Scholar] [CrossRef]
- Saraiva, D.T.; Moreira, S.S.; Santos, M.E.P.; Almeida, E.R.; Rennó, L.N.; Valadares Filho, S.C.; Paulino, M.F.; Aniceto, É.P.; Gonçalves, J.C.C.; Albuquerque, J.M.; et al. Performance and Metabolic Responses of Nellore Cows Subjected to Different Supplementation Plans during Prepartum. Animals 2024, 14, 2283. [Google Scholar] [CrossRef] [PubMed]
- Moriel, P.; Vedovatto, M.; Izquierdo, V.; Palmer, E.A.; Vendramini, J.M.B. Maternal Prepartum Supplementation of Protein and Energy and Body Condition Score Modulated the Performance of Bos Indicus-Influenced Cow-Calf Pairs. Anim. Reprod. Sci. 2024, 262, 107433. [Google Scholar] [CrossRef]
- Diaz-Gonzalez, F.H.; Silva, S.C. Da Introdução à Bioquímica Clínica Veterinária; Editora da UFRGS: Porto Alegre, Brazil, 2017; ISBN 978-85-386-0285-9. [Google Scholar]
- Rotta, P.P.; Valadares Filho, S.d.C.; Gionbelli, T.R.S.; Silva, L.F.C.e.; Engle, T.E.; Marcondes, M.I.; Machado, F.S.; Villadiego, F.a.C.; Silva, L.H.R. Effects of Day of Gestation and Feeding Regimen in Holstein × Gyr Cows: I. Apparent Total-Tract Digestibility, Nitrogen Balance, and Fat Deposition. J. Dairy Sci. 2015, 98, 3197–3210. [Google Scholar] [CrossRef] [PubMed]
- Picanço, Y.S.; Goes, R.H.d.T.e.B.; Gandra, J.R.; Barbosa, D.P.; Silva, N.G.; Oliveira, R.T.; Vale, J.P.S. Dried Distillers Grains in Supplements for Pasture-Fed Cattle. Ciênc. Anim. Bras. 2024, 25, 77990E. [Google Scholar] [CrossRef]
- Baumgard, L.H.; Collier, R.J.; Bauman, D.E. A 100-Year Review: Regulation of Nutrient Partitioning to Support Lactation. J. Dairy Sci. 2017, 100, 10353–10366. [Google Scholar] [CrossRef]
- Strydom, S.; Agenas, S.; Heath, M.F.; Phillips, C.J.C.; Rautenbach, G.H.; Thompson, P.N. Evaluation of Biochemical and Ultrasonographic Measurements as Indicators of Undernutrition in Cattle. Onderstepoort J. Vet. Res. 2008, 75, 207–213. [Google Scholar] [CrossRef][Green Version]
- Crowe, M.A.; Diskin, M.G.; Williams, E.J. Parturition to Resumption of Ovarian Cyclicity: Comparative Aspects of Beef and Dairy Cows. Animal 2014, 8, 40–53. [Google Scholar] [CrossRef] [PubMed]
- D’Occhio, M.J.; Baruselli, P.S.; Campanile, G. Influence of Nutrition, Body Condition, and Metabolic Status on Reproduction in Female Beef Cattle: A Review. Theriogenology 2019, 125, 277–284. [Google Scholar] [CrossRef]
- Ribeiro Filho, A.L.; Ferraz, P.A.; Rodrigues, A.S.; Bittencourt, T.C.B.S.C.; Loiola, M.V.G.; Chalhoub, M. Diâmetro do folículo no momento da inseminação artificial em tempo fixo e taxa de concepção em vacas nelore. Ciênc. Anim. Bras. 2013, 14, 501–507. [Google Scholar] [CrossRef]
- Read, C.C.; Edwards, L.; Schrick, N.; Rhinehart, J.D.; Payton, R.R.; Campagna, S.R.; Castro, H.F.; Klabnik, J.L.; Horn, E.J.; Moorey, S.E. Correlation between Pre-Ovulatory Follicle Diameter and Follicular Fluid Metabolome Profiles in Lactating Beef Cows. Metabolites 2021, 11, 623. [Google Scholar] [CrossRef]
- Wang, H.; Elsaadawy, S.A.; Wu, Z.; Bu, D.P. Maternal Supply of Ruminally-Protected Lysine and Methionine During Close-Up Period Enhances Immunity and Growth Rate of Neonatal Calves. Front. Vet. Sci. 2021, 8, 780731. [Google Scholar] [CrossRef] [PubMed]


| Item | Supplement | |||
|---|---|---|---|---|
| Control | 0% DDG | 42% DDG | 84% DDG | |
| g/kg—as feed basis | ||||
| Corn meal | - | 477 | 238 | - |
| Soybean meal | - | 363 | 182 | - |
| DDG | - | - | 420 | 840 |
| Urea AS | - | 80 | 80 | 80 |
| Mineral mixture 1 | 1000 | 80 | 80 | 80 |
| g/kg—dry matter | ||||
| DM 2 | - | 855 | 820 | 819 |
| OM 2 | - | 908 | 903 | 907 |
| CP 2 | - | 437 | 437 | 429 |
| apNDF 2 | - | 113 | 257 | 413 |
| iNDF 2 | - | 15 | 32 | 62 |
| RDP 3 | - | 342 | 314 | 286 |
| RUP 3 | - | 72 | 108 | 144 |
| Item 1 | Month | |||||
|---|---|---|---|---|---|---|
| June, d-90 | July, d-60 | August, d-30 | September, d0 | October, d30 | November, d60 | |
| g/kg—dry matter | ||||||
| DM | 494 | 620 | 641 | 579 | 258 | 268 |
| OM | 921 | 926 | 931 | 925 | 911 | 906 |
| CP | 38 | 35 | 33 | 54 | 102 | 87 |
| apNDF | 729 | 757 | 752 | 733 | 620 | 667 |
| iNDF | 295 | 332 | 310 | 341 | 270 | 239 |
| g/kg—body weight | ||||||
| fDM | 85.2 | 78.0 | 62.9 | 60.4 | 66.9 | 75.5 |
| pdDM | 58.1 | 49.6 | 38.1 | 37.7 | 42.0 | 50.0 |
| Item 1 | Treatment 2 | SEM | p-Value 3 | |||||||
|---|---|---|---|---|---|---|---|---|---|---|
| Control | 0% DDG | 42% DDG | 84% DDG | SUP | L | Q | Prd | Trt × Prd | ||
| Body weight, % | 1.103 | 0.29 | 0.65 | 0.047 | <0.001 | 0.07 | ||||
| Prepartum | 3.80 b | 6.33 ab | 10.20 a | 5.76 b | ||||||
| Postpartum | −4.10 ab | −7.32 b | −3.04 a | −4.67 ab | ||||||
| Body condition score, % | 1.518 | 0.43 | 0.52 | 0.63 | <0.001 | 0.68 | ||||
| Prepartum | −0.20 | 1.06 | 4.96 | 1.87 | ||||||
| Postpartum | −10.48 | −10.8 | −10.98 | −9.78 | ||||||
| Ribeye area, % | 3.663 | 0.65 | 0.72 | 0.23 | <0.001 | 0.74 | ||||
| Prepartum | 2.92 | 1.61 | 3.81 | −0.14 | ||||||
| Postpartum | −15.90 | −22.50 | −13.55 | −17.96 | ||||||
| Rump fat thickness, % | 8.063 | 0.67 | 0.65 | 0.20 | <0.001 | 0.41 | ||||
| Prepartum | 2.49 | 11.22 | 19.38 | 14.75 | ||||||
| Postpartum | −50.98 | −65.13 | −45.91 | −60.12 | ||||||
| Trt 1 | Days Relative to Calving | SEM | p-Value 2 | ||||||||||
|---|---|---|---|---|---|---|---|---|---|---|---|---|---|
| d-30 | d-15 | d1 | d15 | d30 | d45 | d60 | SUP | L | Q | Day | Trt × Day | ||
| Serum urea nitrogen, mg/dL | 0.85 | 0.020 | 0.005 | 0.77 | <0.001 | <0.001 | |||||||
| Control | 9.1 B | 8.3 C | 11.0 | 8.3 BC | 11.5 | 12.4 AB | 9.1 | ||||||
| 0% DDG | 16.6 A | 18.8 A | 12.5 | 9.6 AB | 10.1 | 14.5 A | 7.5 | ||||||
| 42% DDG | 13.3 AB | 13.1 B | 11.8 | 12.2 A | 11.9 | 9.7 B C | 8.1 | ||||||
| 84% DDG | 12.2 AB | 12.5 B | 13.2 | 6.6 C | 11.0 | 8.9 C | 8.7 | ||||||
| Overall 3 | 27.4 ab | 28.2 a | 26.0 ab | 19.7 c | 23.8 b | 24.3 b | 17.9 c | ||||||
| Total cholesterol, mg/dL | 8.54 | 0.69 | 0.50 | 0.99 | <0.001 | 0.036 | |||||||
| Control | 144.6 | 130.7 | 102.6 AB | 119.4 | 121.9 A | 131 | 121.2 | ||||||
| 0% DDG | 149.5 | 146.7 | 96.1 B | 106.9 | 111.8 AB | 136.2 | 124.5 | ||||||
| 42% DDG | 138.3 | 131.2 | 117.9 AB | 106.3 | 104.6 AB | 118.4 | 131.0 | ||||||
| 84% DDG | 134.6 | 132.4 | 123.0 A | 100.2 | 87.6 B | 127.7 | 119.1 | ||||||
| Overall 3 | 141.7 a | 135.2 b | 109.9 d | 108.2d | 106.5 d | 128.3 bc | 123.7 c | ||||||
| β-hydroxybutyrate, mmol/L | 0.0504 | 0.62 | 0.87 | 0.25 | 0.004 | 0.033 | |||||||
| Control | 0.546 AB | 0.731 B | 0.511 | 0.499 | 0.479 | 0.478 | 0.422 | ||||||
| 0% DDG | 0.475 AB | 0.543 AB | 0.567 | 0.490 | 0.546 | 0.500 | 0.487 | ||||||
| 42% DDG | 0.427 A | 0.436 A | 0.440 | 0.522 | 0.422 | 0.451 | 0.445 | ||||||
| 84% DDG | 0.627 B | 0.601 AB | 0.554 | 0.563 | 0.400 | 0.513 | 0.423 | ||||||
| Overall 3 | 0.519 ab | 0.578 a | 0.518 ab | 0.517 ab | 0.462 bc | 0.486 bc | 0.444 c | ||||||
| Non-esterified fatty acids, mmol/L | 0.0482 | 0.049 | 0.84 | 0.39 | <0.001 | 0.012 | |||||||
| Control | 0.473 B | 0.606 B | 1.393 B | 0.907 | 0.420 | 0.157 | 0.230 | ||||||
| 0% DDG | 0.139 A | 0.350 A | 1.096 AB | 0.866 | 0.446 | 0.25 | 0.119 | ||||||
| 42% DDG | 0.149 A | 0.236 A | 1.046 AB | 0.846 | 0.243 | 0.123 | 0.095 | ||||||
| 84% DDG | 0.402 B | 0.413 AB | 0.875 A | 0.872 | 0.263 | 0.169 | 0.154 | ||||||
| Overall 3 | 0.291 d | 0.401 c | 1.103 a | 0.873 b | 0.343 cd | 0.175 e | 0.152 e | ||||||
| Item | Treatment 1 | SEM | p-Value 2 | |||||||
|---|---|---|---|---|---|---|---|---|---|---|
| Control | 0% DDG | 42% DDG | 84% DDG | SUP | L | Q | Day | Trt × Day | ||
| Body weight, kg | 2.36 | 0.35 | 0.16 | 0.97 | <0.001 | 0.21 | ||||
| d1 | 37.6 | 35.9 | 36.6 | 34.9 | ||||||
| d60 | 86.6 | 87.8 | 81.3 | 77.5 | ||||||
| Total protein, g/dL | 0.23 | 0.61 | 0.20 | 0.64 | <0.001 | 0.21 | ||||
| d1 | 6.5 | 6.6 | 5.7 | 6.2 | ||||||
| d15 | 5.5 | 6.0 | 5.5 | 4.7 | ||||||
| Albumin, g/dL | 0.02 | 0.42 | 0.14 | 0.73 | 0.004 | 0.85 | ||||
| d1 | 2.2 | 2.4 | 2.3 | 2.1 | ||||||
| d15 | 2.6 | 2.6 | 2.4 | 2.2 | ||||||
| Globulin, d/dL | 0.19 | 0.80 | 0.28 | 0.72 | <0.001 | 0.17 | ||||
| d1 | 4.3 | 4.4 | 3.5 | 4.0 | ||||||
| d15 | 2.9 | 3.3 | 3.3 | 2.5 | ||||||
| Glucose, mg/dL | 5.03 | 0.85 | 0.39 | 0.71 | 0.38 | 0.60 | ||||
| d1 | 117.9 | 120.7 | 128.4 | 109.1 | ||||||
| d15 | 112.7 | 121.9 | 111.9 | 111.4 | ||||||
| IGF-1, ng/dL | 230.6 | 244.4 | 247.9 | 282.0 | 19.64 | 0.32 | 0.26 | 0.61 | - | - |
| Muscle fiber, μm2 | 703 | 671 | 735 | 612 | 62.5 | 0.70 | 0.50 | 0.30 | - | - |
| Dams’ milk yield, kg | 6.6 | 7.6 | 7.8 | 7.6 | 0.72 | 0.33 | 0.97 | 0.87 | - | - |
Disclaimer/Publisher’s Note: The statements, opinions and data contained in all publications are solely those of the individual author(s) and contributor(s) and not of MDPI and/or the editor(s). MDPI and/or the editor(s) disclaim responsibility for any injury to people or property resulting from any ideas, methods, instructions or products referred to in the content. |
© 2025 by the authors. Licensee MDPI, Basel, Switzerland. This article is an open access article distributed under the terms and conditions of the Creative Commons Attribution (CC BY) license (https://creativecommons.org/licenses/by/4.0/).
Share and Cite
Gonçalves, J.C.C.; Albuquerque, J.M.; Almeida, E.R.d.; Coelho, L.C.; Godinho, J.A.M.; Toma, L.Y.P.; Ferreira, M.F.d.L.; Rennó, L.N.; Sampaio, C.B.; Detmann, E.; et al. Effects of Dried Distillers Grains in Supplements for Beef Cows During Late Gestation on Cow–Calf Performance and Metabolic Status. Animals 2025, 15, 1698. https://doi.org/10.3390/ani15121698
Gonçalves JCC, Albuquerque JM, Almeida ERd, Coelho LC, Godinho JAM, Toma LYP, Ferreira MFdL, Rennó LN, Sampaio CB, Detmann E, et al. Effects of Dried Distillers Grains in Supplements for Beef Cows During Late Gestation on Cow–Calf Performance and Metabolic Status. Animals. 2025; 15(12):1698. https://doi.org/10.3390/ani15121698
Chicago/Turabian StyleGonçalves, Johnnatan Castro Cabral, Jean Marcelo Albuquerque, Edinael Rodrigues de Almeida, Luanna Carla Coelho, José Augusto Moura Godinho, Lilian Yukie Pacheco Toma, Matheus Fellipe de Lana Ferreira, Luciana Navajas Rennó, Cláudia Batista Sampaio, Edenio Detmann, and et al. 2025. "Effects of Dried Distillers Grains in Supplements for Beef Cows During Late Gestation on Cow–Calf Performance and Metabolic Status" Animals 15, no. 12: 1698. https://doi.org/10.3390/ani15121698
APA StyleGonçalves, J. C. C., Albuquerque, J. M., Almeida, E. R. d., Coelho, L. C., Godinho, J. A. M., Toma, L. Y. P., Ferreira, M. F. d. L., Rennó, L. N., Sampaio, C. B., Detmann, E., & Lopes, S. A. (2025). Effects of Dried Distillers Grains in Supplements for Beef Cows During Late Gestation on Cow–Calf Performance and Metabolic Status. Animals, 15(12), 1698. https://doi.org/10.3390/ani15121698

