Evaluation of the Effects of Autologous Leukocyte- and Platelet-Rich Fibrin Membranes for Treating Chronic Wounds: A Prospective Study †
Simple Summary
Abstract
1. Introduction
2. Materials and Methods
2.1. Inclusion Criteria
2.2. Study Assessments
2.3. Treatments
2.4. Data Analysis
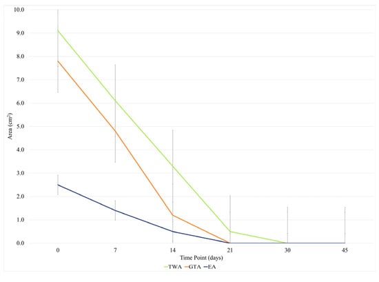
3. Results
4. Discussion
5. Conclusions
Author Contributions
Funding
Institutional Review Board Statement
Informed Consent Statement
Data Availability Statement
Acknowledgments
Conflicts of Interest
References
- Eming, S.A.; Brachvogel, B.; Odorisio, T.; Koch, M. Regulation of angiogenesis: Wound healing as a model. Prog. Histochem. Cytochem. 2007, 42, 115–170. [Google Scholar] [CrossRef] [PubMed]
- Guo, S.; Di Pietro, L. Factors affecting wound healing. J. Dent. Res. 2010, 89, 219–229. [Google Scholar] [CrossRef] [PubMed]
- Franz, M.G.; Robson, M.C.; Steed, D.L.; Barbul, A.; Brem, H.; Cooper, D.M.; Leaper, D.; Stephen, M.; Milner, M.; Payne, W.G.; et al. Guidelines to Aid Healing of Acute Wounds by Decreasing Impediments of Healing. 2008. Available online: https://deepblue.lib.umich.edu/handle/2027.42/75310 (accessed on 16 May 2024).
- Kadam, S.; Shai, S.; Shahane, A.; Kaushik, K.S. Recent advances in non-conventional antimicrobial approaches for chronic wound biofilms: Have we found the ‘chink in the armor’? Biomedicines 2019, 7, 35. [Google Scholar] [CrossRef]
- Pavletic, M.M. Atlas of Small Animal Wound Management and Reconstructive Surgery; John Wiley & Sons: Hoboken, NJ, USA, 2018; ISBN 1119267501. [Google Scholar]
- Heald, R.; Salyer, S.; Ham, K.; Wilgus, T.A.; Subramaniam, V.V.; Prakash, S. Electroceutical treatment of infected chronic wounds in a dog and a cat. Vet. Surg. 2022, 51, 520–527. [Google Scholar] [CrossRef]
- Al-Ameri, S.H.A.; Mahdi, A.S.; Zedan, Z.K. Evaluation of the Effects of Biomaterial Scaffold for Healing Cutaneous Chronic Wounds in Dog Model. Ann. Trop. Med. Public Health 2020, 23, 231–411. [Google Scholar] [CrossRef]
- Crisci, A.; Minniti, C.A.; Conte, A.; Crisci, M.; Cardillo, F. Second Generation Platelet Concentrates—L-PRF (Fibrin Rich in Platelets and Leukocytes) and Its Derivatives (A-PRF, I-PRF)-: Morphological Characteristics to be Used in Modern Regenerative Surgery. Experimental Research. J. Clin. Haematol. 2020, 1, 90–102. [Google Scholar] [CrossRef]
- Dohan Ehrenfest, D.M.; Rasmusson, L.; Albrektsson, T. Classification of platelet concentrates: From pure platelet-rich plasma (P-PRP) to leucocyte- and platelet-rich fibrin (L-PRF). Trends Biotechnol. 2009, 27, 158–167. [Google Scholar] [CrossRef]
- Crisci, A.; Manfredi, S.; Crisci, M. Fibrin Rich in Leukocyte-Platelets (L-PRF) and Injectable Fibrin Rich Platelets (I-PRF), Two Opportunity in Regenerative Surgery: Review of The Sciences and Literature. IOSR J. Dent. Med. Sci. e-ISSN 2019, 18, 66–79. [Google Scholar]
- Caterino, C.; Della Valle, G.; Aragosa, F.; De Biase, D.; Ferrara, G.; Lamagna, F.; Fatone, G. Production Protocol Standardisation, Macroscopic and Histological Evaluation, and Growth Factor Quantification of Canine Leukocyte-and Platelet-Rich Fibrin Membranes. Front. Vet. Sci. 2022, 9, 861255. [Google Scholar] [CrossRef]
- Crisci, A.; Placido, F.; Crisci, M.; Bosco, A. A new instrument aid of plastic surgeon: Membranes L-PRF (platelet-rich-fibrin). J. Plast Dermatol. 2015, 3, 162–172. [Google Scholar]
- Cieslik-Bielecka, A.; Choukroun, J.; Odin, G.; Dohan Ehrenfest, D.M. L-PRP/L-PRF in esthetic plastic surgery, regenerative medicine of the skin and chronic wounds. Curr. Pharm. Biotechnol. 2012, 13, 1266–1277. [Google Scholar] [CrossRef]
- Oneto, P.; Etulain, J. PRP in wound healing applications. Platelets 2020, 32, 189–199. [Google Scholar] [CrossRef] [PubMed]
- Albanese, A.; Licata, M.E.; Polizzi, B.; Campisi, G. Platelet-rich plasma (PRP) in dental and oral surgery: From the wound healing to bone regeneration. Immun. Ageing 2013, 10, 1–10. [Google Scholar] [CrossRef]
- Soares, C.S.; Dias, I.R.; Pires, M.A.; Carvalho, P.P. Canine-origin platelet-rich fibrin as an effective biomaterial for wound healing in domestic cats: A preliminary study. Vet. Sci. 2021, 8, 213. [Google Scholar] [CrossRef]
- Soares, C.S.; Dias, I.R.; Barros, L.C.; Pires, M.D.A.; Carvalho, P.P. Management of canine wounds using platelet-rich fibrin (PRF) biomaterial. A case series report. Vet. Med. Sci. 2024, 10, 1236. [Google Scholar] [CrossRef] [PubMed]
- Miron, R.J.; Fujioka-Kobayashi, M.; Bishara, M.; Zhang, Y.; Hernandez, M.; Choukroun, J. Platelet-Rich Fibrin and Soft Tissue Wound Healing: A Systematic Review. Tissue Eng.—Part B Rev. 2017, 23, 83–99. [Google Scholar] [CrossRef]
- Karayannopoulou, M.; Psalla, D.; Kazakos, G.; Loukopoulos, P.; Giannakas, N.; Savvas, I.; Kritsepi-Konstantinou, M.; Chantes, A.; Papazoglou, L.G. Effect of locally injected autologous platelet-rich plasma on second intention wound healing of acute full-thickness skin defects in dogs. Vet. Comp. Orthop. Traumatol. 2015, 28, 172–178. [Google Scholar] [CrossRef] [PubMed]
- Iacopetti, I.; Patruno, M.; Melotti, L.; Martinello, T.; Bedin, S.; Badon, T.; Righetto, E.M.; Perazzi, A. Autologous platelet-rich plasma enhances the healing of large cutaneous wounds in dogs. Front. Vet. Sci. 2020, 7, 575449. [Google Scholar] [CrossRef]
- Tambella, A.M.; Attili, A.R.; Dini, F.; Palumbo Piccionello, A.; Vullo, C.; Serri, E.; Scrollavezza, P.; Dupré, G. Autologous Platelet Gel to Treat Chronic Decubital Ulcers: A Randomized, Blind Controlled Clinical Trial in Dogs. Vet. Surg. 2014, 43, 726–733. [Google Scholar] [CrossRef] [PubMed]
- Jee, C.-H.; Eom, N.-Y.; Jang, H.-M.; Jung, H.-W.; Choi, E.-S.; Won, J.-H.; Hong, I.-H.; Kang, B.-T.; Jeong, D.W.; Jung, D.-I. Effect of autologous platelet-rich plasma application on cutaneous wound healing in dogs. J. Vet. Sci. 2016, 17, 79–87. [Google Scholar] [CrossRef] [PubMed]
- Farghali, H.A.; AbdElKader, N.A.; Khattab, M.S.; AbuBakr, H.O. Evaluation of subcutaneous infiltration of autologous platelet-rich plasma on skin-wound healing in dogs. Biosci. Rep. 2017, 37, BSR20160503. [Google Scholar] [CrossRef]
- Harris, C.; Bates-Jensen, B.; Parslow, N.; Raizman, R.; Singh, M.; Ketchen, R. Bates-Jensen wound assessment tool: Pictorial guide validation project. J. Wound Ostomy Cont. Nurs. 2010, 37, 253–259. [Google Scholar] [CrossRef]
- Cook, J.L.; Evans, R.; Conzemius, M.G.; Lascelles, B.D.X.; McIlwraith, C.W.; Pozzi, A.; Clegg, P.; Innes, J.; Schulz, K.; Houlton, J. Proposed definitions and criteria for reporting time frame, outcome, and complications for clinical orthopedic studies in veterinary medicine. Vet. Surg. 2010, 39, 905–908. [Google Scholar] [CrossRef] [PubMed]
- Bates, D. Nonlinear Regression Analysis and Its Applications; John Wiley & Sons, Inc.: Hoboken, NJ, USA, 1988. [Google Scholar]
- Chambers, J.M.; Hastie, T.J. Linear models. In Statistical Models in S; Wadsworth & Brooks/Cole Advanced Books & Software, Ed.; CRC Press: Boca Raton, FL, USA, 1992; p. 608. ISBN 9780534167646. [Google Scholar]
- R Core Team. R: A Language and Environment for Statistical Computing; R Foundation for Statistical Computing: Vienna, Austria, 2023; Available online: https://www.R-project.org/ (accessed on 15 May 2024).
- Ding, Z.-Y.; Tan, Y.; Peng, Q.; Zuo, J.; Li, N. Novel applications of platelet concentrates in tissue regeneration (Review). Exp. Ther. Med. 2021, 21, 1. [Google Scholar] [CrossRef]
- Clark, G.N. Bone perforation to enhance wound healing over exposed bone with shearing injuries. J. Am. Anim. Hosp. Assoc. 2001, 37, 215–217. [Google Scholar] [CrossRef]
- Davidson, J.R. Current Concepts in Wound Management and Wound Healing Products. Vet. Clin. N. Am. Small Anim. Pract. 2015, 45, 537–564. [Google Scholar] [CrossRef]
- Barnes, K.; Lanz, O.; Barry, S.; Aulakh, K. Use of cancellous bone grafting to promote granulation tissue in a distal limb wound in a dog. J. Small Anim. Pract. 2019, 60, 450–453. [Google Scholar] [CrossRef] [PubMed]
- Winkler, J.T.; Swaim, S.F.; Sartin, E.A.; Henderson, R.A.; Welch, J.A. The effect of a porcine-derived small intestinal submucosa product on wounds with exposed bone in dogs. Vet. Surg. 2002, 31, 541–551. [Google Scholar] [CrossRef]
- Monti, E.; Moretti, G.; Garofanini, L.; Arcelli, R.; Peteoaca, A.; Chiaradia, E.; Tognoloni, A.; Bufalari, A. Topical autologous platelet-rich plasma (PRP) in management of perianal fistulas in a german shepherd dog. Sci. Work. Ser. C Vet. Med. 2022, 68, 95–102. [Google Scholar]
- Amalsadvala, T.; Swaim, S.F. Management of Hard-to-Heal Wounds. Vet. Clin. N. Am.—Small Anim. Pract. 2006, 36, 693–711. [Google Scholar] [CrossRef] [PubMed]
- Prpich, C.Y.; Santamaria, A.C.; Simcock, J.O.; Wong, H.K.; Nimmo, J.S.; Kuntz, C.A. Second intention healing after wide local excision of soft tissue sarcomas in the distal aspects of the limbs in dogs: 31 cases (2005–2012). J. Am. Vet. Med. Assoc. 2014, 244, 187–194. [Google Scholar] [CrossRef]
- Hosgood, G. Wound repair and specific tissue response to injury. In Textbook of Small Animal Surgery; WB Saunders: Philadelphia, PN, USA, 2003; pp. 66–86. [Google Scholar]
- Dowe, G.; Browne, A.M.B.; Sibbald, R.G. Infection in chronic wounds: Controversies in diagnosis and treatment. Ostomy Wound Manag. 1999, 45, 23–40. [Google Scholar]
- Moraschini, V.; Miron, R.J.; de Almeida Barros Mourão, C.F.; Louro, R.S.; Sculean, A.; da Fonseca, L.A.M.; Calasans Maia, M.D.; Shibli, J.A. Antimicrobial effect of platelet-rich fibrin: A systematic review of in vitro evidence-based studies. Periodontol. 2000 2024, 94, 131–142. [Google Scholar] [CrossRef] [PubMed]
- Kour, P.; Pudakalkatti, P.S.; Vas, A.M.; Das, S.; Padmanabhan, S. Comparative evaluation of antimicrobial efficacy of platelet-rich plasma, platelet-rich fibrin, and injectable platelet-rich fibrin on the standard strains of Porphyromonas gingivalis and Aggregatibacter actinomycetemcomitans. Contemp. Clin. Dent. 2018, 9, S325. [Google Scholar] [CrossRef]
- Melo-Ferraz, A.; Coelho, C.; Miller, P.; Criado, M.B.; Monteiro, M.C. Platelet activation and antimicrobial activity of L-PRF: A preliminary study. Mol. Biol. Rep. 2021, 48, 4573–4580. [Google Scholar] [CrossRef]
- Chirollo, C.; Nocera, F.P.; Piantedosi, D.; Fatone, G.; Della Valle, G.; De Martino, L.; Cortese, L. Data on before and after the Traceability System of Veterinary Antimicrobial Prescriptions in Small Animals at the University Veterinary Teaching Hospital of Naples. Animals 2021, 11, 913. [Google Scholar] [CrossRef] [PubMed]
- Changrani-Rastogi, A.; Swadi, K.; Barve, M.; Bajekal, N. Autologous platelet-rich fibrin promotes wound healing in cats. Front. Vet. Sci. 2023, 10, 1180447. [Google Scholar] [CrossRef]
- Khanzadeh Alishahi, M.; Kazemi, D.; Mohajeri, D.; Mofidpoor, H.; Afkhami Goli, A.; Khanzadeh Alishahi, M.A. Histopathological evaluation of the effect of platelet-rich fibrin on canine cutaneous incisional wound healing. Iran. J. Vet. Sci. Technol. 2013, 5, 19–32. [Google Scholar]
- Khalifa, O.A.; elkasapy, A.; Sallam, E.A.; Marei, Y.M.; Mohammed, L.S. Effect of Autologous platelet-rich plasma versus platelet-rich fibrin on the Second Intension Wound Healing in Dogs through higher regeneration capacity and modulation of inflammatory cytokines. Benha Vet. Med. J. 2021, 41, 1–7. [Google Scholar] [CrossRef]
- Aragosa, F.; Caterino, C.; Della Valle, G.; Piscitelli, A.; Navas, L.; Lamagna, F.; Fatone, G. Evaluation of the effects of autologous leucocyte and plateletrich fibrin membranes in the treatment of delayed healing wounds. In Proceedings of the SISVet Congress, Bari, Italy, 21–23 June 2023. [Google Scholar]
- Tambella, A.M.; Attili, A.R.; Dupré, G.; Cantalamessa, A.; Martin, S.; Cuteri, V.; Marcazzan, S.; Del Fabbro, M. Platelet-rich plasma to treat experimentally-induced skin wounds in animals: A systematic review and meta-analysis. PLoS ONE 2018, 13, e0191093. [Google Scholar] [CrossRef]
- Hussein, S.M. Effects of autologous platelet-rich plasma on skin healing in dogs. Iraqi J. Vet. Sci. 2018, 32, 275–283. [Google Scholar] [CrossRef]
- Sardari, K.; Emami, M.R.; Kazemi, H.; Movasagi, A.R.; Goli, A.A.; Lotfi, A.; Malekzadeh, S. Effects of platelet-rich plasma (PRP) on cutaneous regeneration and wound healing in dogs treated with dexamethasone. Comp. Clin. Path. 2011, 20, 155–162. [Google Scholar] [CrossRef]
- Hermeto, L.C.; de Rossi, R.; de Pádua, S.B.; Pontes, E.R.J.; Santana, A.E. Comparative study between fibrin glue and platelet rich plasma in dogs skin grafts. Acta Cir. Bras. 2012, 27, 789–794. [Google Scholar] [CrossRef] [PubMed]
- Mehrjerdi, K.; Sardari, H.; Emami, K.; Reza, M.M.; Reza, A.; Goli, A.; Lotfi, A.; Malekzadeh, A.; Malekzadeh, S. Efficacy of Autologous Platelet-Rich Plasma (PRP) Activated By Thromboplastin-D on the Repair and Regeneration of Wounds in Dogs. Iran. J. Vet. Surg. 2008, 3, 19–30. [Google Scholar]







| Case | Species | Breed | Age (Years) | Sex | Weight (kg) | Time Onset (Days) | Wound Location | Type of Wound | Origin |
|---|---|---|---|---|---|---|---|---|---|
| 2 | Dog | Mixed breed | 5 | M | 15 | Unknown | Forelimb | Delayed-healing wound | Unknown |
| 5 | Dog | French Hound | 3 | F | 12 | 40 | Flank | Fistula | Foreign body |
| 6 | Dog | Mixed breed | 5 | M | 13 | 29 | Tarsus and metatarsus | Delayed-healing wound | Unknown |
| 7 | Dog | Irish Setter | 9 | M | 21 | Unknown | Foot | Delayed-healing wound | Unknown |
| 8 | Dog | Volpino Italiano | 0.5 | F | 2 | 7 | Mouth | Delayed-healing wound | Fulguration |
| 9 | Dog | Miniature Pinscher | 0.9 | M | 4 | 19 | Homerus | Delayed-healing wound and open fracture | Bite |
| 12 | Dog | Mixed breed | 3 | F | 12 | 25 | Metatarsus | Delayed-healing wound | Unknown |
| 13 | Dog | Mixed breed | 2 | M | 18 | 30 | Left thoracic wall | Pocket Wound | Unknown |
| 14 | Dog | Segugio Maremmano | 2 | M | 19 | 30 | Metatarsus, phalanx, calcaneus | Delayed-healing wound | Unknown |
| 15 | Dog | Mixed breed | 6 | MC | 5 | 28 | Ulnar region | Delayed-healing wound | Unknown |
| 16 | Dog | Mixed breed | 3 | F | 4 | 30 | Perineal | Fistula | Unknown |
| 17 | Dog | Jack Russel | 10 | MC | 7 | 45 | Neck | Delayed-healing wound | Collar lesion |
| 19 | Dog | Chihuahua | 1 | M | 5 | 5 | Inguinal | Delayed-healing wound | Bite |
| 20 | Dog | Mixed breed | 9 | M | 8 | 365 | Radius | Delayed-healing wound | Cushing’s syndrome |
| 21 | Dog | Mixed breed | 6 | M | 10 | 27 | Forelimb | Delayed-healing wound | Bite |
| 22 | Dog | Mixed breed | 7 | M | 22 | Unknown | Perineal | Fistula | Perineal fistula |
| 23 | Dog | Mixed breed | 0.75 | F | 3.5 | 30 | Calcaneus | Delayed-healing wound | Unknown |
| 24 | Dog | English Setter | 10 | M | 24 | 40 | Tarsus | Delayed-healing wound | Dehiscence |
Disclaimer/Publisher’s Note: The statements, opinions and data contained in all publications are solely those of the individual author(s) and contributor(s) and not of MDPI and/or the editor(s). MDPI and/or the editor(s) disclaim responsibility for any injury to people or property resulting from any ideas, methods, instructions or products referred to in the content. |
© 2025 by the authors. Licensee MDPI, Basel, Switzerland. This article is an open access article distributed under the terms and conditions of the Creative Commons Attribution (CC BY) license (https://creativecommons.org/licenses/by/4.0/).
Share and Cite
Aragosa, F.; Fatone, G.; Caterino, C.; Cavalli, S.; Piscitelli, A.; Vallefuoco, R.; Lamagna, F.; Della Valle, G. Evaluation of the Effects of Autologous Leukocyte- and Platelet-Rich Fibrin Membranes for Treating Chronic Wounds: A Prospective Study. Animals 2025, 15, 112. https://doi.org/10.3390/ani15010112
Aragosa F, Fatone G, Caterino C, Cavalli S, Piscitelli A, Vallefuoco R, Lamagna F, Della Valle G. Evaluation of the Effects of Autologous Leukocyte- and Platelet-Rich Fibrin Membranes for Treating Chronic Wounds: A Prospective Study. Animals. 2025; 15(1):112. https://doi.org/10.3390/ani15010112
Chicago/Turabian StyleAragosa, Federica, Gerardo Fatone, Chiara Caterino, Stefano Cavalli, Alfonso Piscitelli, Rosario Vallefuoco, Francesco Lamagna, and Giovanni Della Valle. 2025. "Evaluation of the Effects of Autologous Leukocyte- and Platelet-Rich Fibrin Membranes for Treating Chronic Wounds: A Prospective Study" Animals 15, no. 1: 112. https://doi.org/10.3390/ani15010112
APA StyleAragosa, F., Fatone, G., Caterino, C., Cavalli, S., Piscitelli, A., Vallefuoco, R., Lamagna, F., & Della Valle, G. (2025). Evaluation of the Effects of Autologous Leukocyte- and Platelet-Rich Fibrin Membranes for Treating Chronic Wounds: A Prospective Study. Animals, 15(1), 112. https://doi.org/10.3390/ani15010112

