Effect of Milk-Feeding Frequency and Calcium Gluconate Supplementation on Growth, Health, and Reproductive and Metabolic Features of Holstein Heifers at a Rearing Farm
Abstract
Simple Summary
Abstract
1. Introduction
2. Materials and Methods
2.1. Animals and Experimental Design
2.2. Animal Feeding
2.3. Assessment of Metabolic Indices
2.4. Assessment of Growth
2.5. Assessment of Health
2.6. Assessment of Reproductive Ability and Performance
2.7. Statistical Analyses
3. Results
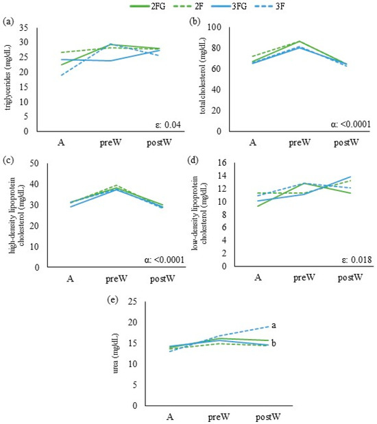
3.1. Metabolic Indices
3.2. Growth Parameters
3.3. Health Parameters
3.4. Reproductive Parameters
4. Discussion
5. Conclusions
Supplementary Materials
Author Contributions
Funding
Institutional Review Board Statement
Informed Consent Statement
Data Availability Statement
Acknowledgments
Conflicts of Interest
References
- Berry, D.P.; Cromie, A.R. Associations between Age at First Calving and Subsequent Performance in Irish Spring Calving Holstein-Friesian Dairy Cows. Livest. Sci. 2009, 123, 44–54. [Google Scholar] [CrossRef]
- Atashi, H.; Asaadi, A.; Hostens, M. Association between Age at First Calving and Lactation Performance, Lactation Curve, Calving Interval, Calf Birth Weight, and Dystocia in Holstein Dairy Cows. PLoS ONE 2021, 16, e0244825. [Google Scholar] [CrossRef] [PubMed]
- Sherwin, V.E.; Hudson, C.D.; Henderson, A.; Green, M.J. The Association between Age at First Calving and Survival of First Lactation Heifers within Dairy Herds. Animal 2016, 10, 1877–1882. [Google Scholar] [CrossRef] [PubMed]
- Boulton, A.C.; Rushton, J.; Wathes, D.C. An Empirical Analysis of the Cost of Rearing Dairy Heifers from Birth to First Calving and the Time Taken to Repay These Costs. Animal 2017, 11, 1372–1380. [Google Scholar] [CrossRef] [PubMed]
- Krpálková, L.; Cabrera, V.E.; Vacek, M.; Štípková, M.; Stádník, L.; Crump, P. Effect of Prepubertal and Postpubertal Growth and Age at First Calving on Production and Reproduction Traits during the First 3 Lactations in Holstein Dairy Cattle. J. Dairy Sci. 2014, 97, 3017–3027. [Google Scholar] [CrossRef] [PubMed]
- Tozer, P.R.; Heinrichs, A.J. What Affects the Costs of Raising Replacement Dairy Heifers: A Multiple-Component Analysis. J. Dairy Sci. 2001, 84, 1836–1844. [Google Scholar] [CrossRef] [PubMed]
- De Paula Vieira, A.; Guesdon, V.; de Passillé, A.M.; von Keyserlingk, M.A.G.; Weary, D.M. Behavioural Indicators of Hunger in Dairy Calves. Appl. Anim. Behav. Sci. 2008, 109, 180–189. [Google Scholar] [CrossRef]
- Aghakeshmiri, F.; Azizzadeh, M.; Farzaneh, N.; Gorjidooz, M. Effects of Neonatal Diarrhea and Other Conditions on Subsequent Productive and Reproductive Performance of Heifer Calves. Vet. Res. Commun. 2017, 41, 107–112. [Google Scholar] [CrossRef]
- Abuelo, A.; Cullens, F.; Brester, J.L. Effect of Preweaning Disease on the Reproductive Performance and First-Lactation Milk Production of Heifers in a Large Dairy Herd. J. Dairy Sci. 2021, 104, 7008–7017. [Google Scholar] [CrossRef]
- Bach, A. Associations between Several Aspects of Heifer Development and Dairy Cow Survivability to Second Lactation. J. Dairy Sci. 2011, 94, 1052–1057. [Google Scholar] [CrossRef]
- Dunn, T.R.; Ollivett, T.L.; Renaud, D.L.; Leslie, K.E.; LeBlanc, S.J.; Duffield, T.F.; Kelton, D.F. The Effect of Lung Consolidation, as Determined by Ultrasonography, on First-Lactation Milk Production in Holstein Dairy Calves. J. Dairy Sci. 2018, 101, 5404–5410. [Google Scholar] [CrossRef] [PubMed]
- Terré, M.; Tejero, C.; Bach, A. Long-Term Effects on Heifer Performance of an Enhanced-Growth Feeding Programme Applied during the Preweaning Period. J. Dairy Res. 2009, 76, 331–339. [Google Scholar] [CrossRef] [PubMed]
- Bach, A. Ruminant Nutrition Symposium: Optimizing Performance of the Offspring: Nourishing and Managing the Dam and Postnatal Calf for Optimal Lactation, Reproduction, and Immunity. J. Anim. Sci. 2012, 90, 1835–1845. [Google Scholar] [CrossRef] [PubMed]
- Heinrichs, A.J.; Heinrichs, B.S. A Prospective Study of Calf Factors Affecting First-Lactation and Lifetime Milk Production and Age of Cows When Removed from the Herd1. J. Dairy Sci. 2011, 94, 336–341. [Google Scholar] [CrossRef] [PubMed]
- Akbarinejad, V.; Gharagozlou, F.; Vojgani, M. Temporal Effect of Maternal Heat Stress during Gestation on the Fertility and Anti-Müllerian Hormone Concentration of Offspring in Bovine. Theriogenology 2017, 99, 69–78. [Google Scholar] [CrossRef] [PubMed]
- Edgar, J.L.; Mullan, S.M.; Pritchard, J.C.; McFarlane, U.J.C.; Main, D.C.J. Towards a “good Life” for Farm Animals: Development of a Resource Tier Framework to Achieve Positive Welfare for Laying Hens. Animals 2013, 3, 584–605. [Google Scholar] [CrossRef] [PubMed]
- Mellor, D.J. Updating Animalwelfare Thinking: Moving beyond the “Five Freedoms” towards “A Lifeworth Living”. Animals 2016, 6, 21. [Google Scholar] [CrossRef] [PubMed]
- Carulla, P.; Villagrá, A.; Estellés, F.; Blanco-Penedo, I. Welfare Implications on Management Strategies for Rearing Dairy Calves: A Systematic Review. Part 1–Feeding Management. Front. Vet. Sci. 2023, 10, 1148823. [Google Scholar] [CrossRef]
- Carulla, P.; Villagrá, A.; Estellés, F.; Blanco-Penedo, I. Welfare Implications on Management Strategies for Rearing Dairy Calves: A Systematic Review. Part 2—Social Management. Front. Vet. Sci. 2023, 10, 1154555. [Google Scholar] [CrossRef]
- Akins, M.S. Dairy Heifer Development and Nutrition Management. Vet. Clin. N. Am. Food Anim. Pract. 2016, 32, 303–317. [Google Scholar] [CrossRef]
- Conboy, M.H.; Winder, C.B.; Medrano-Galarza, C.; LeBlanc, S.J.; Haley, D.B.; Costa, J.H.C.; Steele, M.A.; Renaud, D.L. Associations between Feeding Behaviors Collected from an Automated Milk Feeder and Disease in Group-Housed Dairy Calves in Ontario: A Cross-Sectional Study. J. Dairy Sci. 2021, 104, 10183–10193. [Google Scholar] [CrossRef] [PubMed]
- Ahmed, A.F.; Constable, P.D.; Misk, N.A. Effect of Feeding Frequency and Route of Administration on Abomasal Luminal PH in Dairy Calves Fed Milk Replacer. J. Dairy Sci. 2002, 85, 1502–1508. [Google Scholar] [CrossRef] [PubMed]
- Hildebrandt, T.; Scheuch, E.; Weitschies, W.; Schneider, F.; Grimm, M.; Bachmann, L.; Vervuert, I. Abomasal Emptying Rate of Diarrhoeic and Healthy Suckling Calves Fed with Oral Rehydration Solutions. J. Anim. Physiol. Anim. Nutr. 2020, 104, 462–469. [Google Scholar] [CrossRef] [PubMed]
- Orellana Rivas, R.M.; Rodrigues, T.; da Silveira, E.; Sousa, J.; Melo, V.H.L.R.; Gao, J.; Ferreira de Araújo, D.; Goncalves de Souza, J.; Marins, T.N.; Melendez, P.; et al. Effects of Milk Replacer Feeding Rate and Frequency of Preweaning Dairy Calves in the Southeastern United States: Performance, Abomasal Emptying, and Nutrient Digestibility. J. Dairy Sci. 2022, 105, 1150–1169. [Google Scholar] [CrossRef] [PubMed]
- Cavallini, D.; Raspa, F.; Marliani, G.; Nannoni, E.; Martelli, G.; Sardi, L.; Valle, E.; Pollesel, M.; Tassinari, M.; Buonaiuto, G. Growth Performance and Feed Intake Assessment of Italian Holstein Calves Fed a Hay-Based Total Mixed Ration: Preliminary Steps towards a Prediction Model. Vet. Sci. 2023, 10, 554. [Google Scholar] [CrossRef] [PubMed]
- Mentschel, J.; Leiser, R.; Mülling, C.; Pfarrer, C.; Claus, R. Butyric Acid Stimulates Rumen Mucosa Development in the Calf Mainly by a Reduction of Apoptosis. Arch. Tierernahr. 2001, 55, 85–102. [Google Scholar] [CrossRef]
- Sanz-Fernandez, M.V.; Daniel, J.B.; Seymour, D.J.; Kvidera, S.K.; Bester, Z.; Doelman, J.; Martín-Tereso, J. Targeting the Hindgut to Improve Health and Performance in Cattle. Animals 2020, 10, 1817. [Google Scholar] [CrossRef] [PubMed]
- Michiels, J.; Truffin, D.; Majdeddin, M.; Van Poucke, M.; Van Liefferinge, E.; Van Noten, N.; Vandaele, M.; Van Kerschaver, C.; Degroote, J.; Peelman, L.; et al. Gluconic Acid Improves Performance of Newly Weaned Piglets Associated with Alterations in Gut Microbiome and Fermentation. Porc. Health Manag. 2023, 9, 10. [Google Scholar] [CrossRef]
- Kislyakova, E.M.; Vorobyova, S.L.; Kokonov, S.I. Influence of Innovative Calcium-Containing Additive on Growth and Development of Heifer Replacement. In Proceedings of the IOP Conference Series: Earth and Environmental Science, Krasnoyarsk, Russia, 20–22 June 2019; Institute of Physics Publishing: Bristol, UK, 2019; Volume 315. [Google Scholar] [CrossRef]
- Kienitz, M.J.; Heins, B.J.; Chester-Jones, H. Growth, Behavior, and Economics of Group-Fed Dairy Calves Fed Once or Twice Daily in an Organic Production System. J. Dairy Sci. 2017, 100, 3318–3325. [Google Scholar] [CrossRef]
- Grice, K.D.; Glosson, K.M.; Drackley, J.K. Effects of Feeding Frequency and Protein Source in Milk Replacer for Holstein Calves. J. Dairy Sci. 2020, 103, 10048–10059. [Google Scholar] [CrossRef]
- Macpherson, J.; Meale, S.J.; Macmillan, K.; Haisan, J.; Bench, C.J.; Oba, M.; Steele, M.A. Effects of Feeding Frequency of an Elevated Plane of Milk Replacer and Calf Age on Behavior, and Glucose and Insulin Kinetics in Male Holstein Calves. Animal 2019, 13, 1385–1393. [Google Scholar] [CrossRef]
- Van Den Borne, J.J.G.C.; Verstegen, M.W.A.; Alferink, S.J.J.; Giebels, R.M.M.; Gerrits, W.J.J. Effects of Feeding Frequency and Feeding Level on Nutrient Utilization in Heavy Preruminant Calves. J. Dairy Sci. 2006, 89, 3578–3586. [Google Scholar] [CrossRef]
- Williams, P.E.V.; Fallon, R.J.; Brockway, J.M.; Innes, G.M.; Brewer, A.C. The Effect of Frequency of Feeding Milk Replacer to Pre-Ruminant Calves on Respiratory Quotient and the Efficiency of Food Utilization. Anim. Prod. 1986, 43, 367–375. [Google Scholar] [CrossRef]
- National Academies of Sciences, Engineering, and Medicine. Nutrient Requirements of Dairy Cattle, 8th ed.; The National Academies Press: Washington, DC, USA, 2021. [Google Scholar] [CrossRef]
- Brethour, J.R. The repeatability and accuracy of ultrasound in measuring backfat of cattle. J. Anim. Sci. 1992, 70, 1039–1044. [Google Scholar] [CrossRef] [PubMed]
- McGuirk, S.M.; Peek, S.F. Timely Diagnosis of Dairy Calf Respiratory Disease Using a Standardized Scoring System. Anim. Health Res. Rev. 2014, 73, 145–147. [Google Scholar] [CrossRef]
- Ollivett, T.L.; Buczinski, S. On-Farm Use of Ultrasonography for Bovine Respiratory Disease. Vet. Clin. N. Am. Food Anim. Pract. 2016, 32, 19–35. [Google Scholar] [CrossRef]
- Ortigues Marty, I.; Vernet, J.; Majdoub, L.; Ortigues-marty, I. Whole Body Glucose Turnover in Growing and Non-Productive Adult Ruminants: Meta-Analysis and Review. Reprod. Nutr. Dev. 2003, 43, 371–383. [Google Scholar] [CrossRef] [PubMed][Green Version]
- Deelen, S.M.; Leslie, K.E.; Steele, M.A.; Eckert, E.; Brown, H.E.; DeVries, T.J. Validation of a Calf-Side β-Hydroxybutyrate Test and Its Utility for Estimation of Starter Intake in Dairy Calves around Weaning. J. Dairy Sci. 2016, 99, 7624–7633. [Google Scholar] [CrossRef] [PubMed]
- Yang, W.; Wang, S.; Zhao, Y.; Jiang, Q.; Loor, J.J.; Tian, Y.; Fan, W.; Li, M.; Zhang, B.; Cao, J.; et al. Regulation of Cholesterol Metabolism during High Fatty Acid-Induced Lipid Deposition in Calf Hepatocytes. J. Dairy Sci. 2023, 106, 5835–5852. [Google Scholar] [CrossRef]
- Zhao, B.; Luo, C.; Zhang, M.; Xing, F.; Luo, S.; Fu, S.; Sun, X. Knockdown of Phosphatase and Tensin Homolog (PTEN) Inhibits Fatty Acid Oxidation and Reduces Very Low Density Lipoprotein Assembly and Secretion in Calf Hepatocytes. J. Dairy Sci. 2020, 103, 10728–10741. [Google Scholar] [CrossRef]
- Greenwood, P.L.; Hunt, A.S.; Slepetis, R.M.; Finnerty, K.D.; Alston, C.; Beermann, D.H.; Bell, A.W. Effects of Birth Weight and Postnatal Nutrition on Neonatal Sheep: III. Regulation of Energy Metabolism. J. Anim. Sci. 2002, 80, 2850–2861. [Google Scholar] [CrossRef] [PubMed]
- Jafari, A.; Azarfar, A.; Ghorbani, G.R.; Mirzaei, M.; Khan, M.A.; Omidi-Mirzaei, H.; Pakdel, A.; Ghaffari, M.H. Effects of Physical Forms of Starter and Milk Allowance on Growth Performance, Ruminal Fermentation, and Blood Metabolites of Holstein Dairy Calves. J. Dairy Sci. 2020, 103, 11300–11313. [Google Scholar] [CrossRef] [PubMed]
- Makizadeh, H.; Kazemi-Bonchenari, M.; Mansoori-Yarahmadi, H.; Fakhraei, J.; Khanaki, H.; Drackley, J.K.; Ghaffari, M.H. Corn Processing and Crude Protein Content in Calf Starter: Effects on Growth Performance, Ruminal Fermentation, and Blood Metabolites. J. Dairy Sci. 2020, 103, 9037–9053. [Google Scholar] [CrossRef] [PubMed]
- Kazemi-Bonchenari, M.; Khanaki, H.; Jafari, A.; Eghbali, M.; Poorhamdollah, M.; Ghaffari, M.H. Milk Feeding Level and Starter Protein Content: Effects on Growth Performance, Blood Metabolites, and Urinary Purine Derivatives of Holstein Dairy Calves. J. Dairy Sci. 2022, 105, 1115–1130. [Google Scholar] [CrossRef] [PubMed]
- Schröder, U.J.; Staufenbiel, R. Invited Review: Methods to Determine Body Fat Reserves in the Dairy Cow with Special Regard to Ultrasonographic Measurement of Backfat Thickness. J. Dairy Sci. 2006, 89, 1–14. [Google Scholar] [CrossRef] [PubMed]
- Brickell, J.S.; Bourne, N.; McGowan, M.M.; Wathes, D.C. Effect of Growth and Development during the Rearing Period on the Subsequent Fertility of Nulliparous Holstein-Friesian Heifers. Theriogenology 2009, 72, 408–416. [Google Scholar] [CrossRef] [PubMed]
- Zhang, H.; Wang, Y.; Chang, Y.; Luo, H.; Brito, L.F.; Dong, Y.; Shi, R.; Wang, Y.; Dong, G.; Liu, L. Mortality-culling Rates of Dairy Calves and Replacement Heifers and Its Risk Factors in Holstein Cattle. Animals 2019, 9, 730. [Google Scholar] [CrossRef] [PubMed]
- Salte, R.; Storli, K.S.; Wærp, H.K.L.; Sommerseth, J.K.; Prestl⊘kken, E.; Volden, H.; Klemetsdal, G. Designing a Replacement Heifer Rearing Strategy: Effects of Growth Profile on Performance of Norwegian Red Heifers and Cows. J. Dairy Sci. 2020, 103, 10835–10849. [Google Scholar] [CrossRef] [PubMed]
- Tautenhahn, A.; Merle, R.; Müller, K.E. Factors Associated with Calf Mortality and Poor Growth of Dairy Heifer Calves in Northeast Germany. Prev. Vet. Med. 2020, 184, 105154. [Google Scholar] [CrossRef]
- Costa, N.A.; Pansani, A.P.; de Castro, C.H.; Colugnati, D.B.; Xaxier, C.H.; Guimarães, K.C.; Rabelo, L.A.; Nunes-Souza, V.; Caixeta, L.F.S.; Ferreira, R.N. Milk Restriction or Oligosaccharide Supplementation in Calves Improves Compensatory Gain and Digestive Tract Development without Changing Hormone Levels. PLoS ONE 2019, 14, e0214626. [Google Scholar] [CrossRef]
- Omontese, B.O.; Sharma, A.K.; Davison, S.; Jacobson, E.; DiConstanzo, A.; Webb, M.J.; Gomez, A. Microbiome Network Traits in the Rumen Predict Average Daily Gain in Beef Cattle under Different Backgrounding Systems. Anim. Microbiome 2022, 4, 25. [Google Scholar] [CrossRef] [PubMed]
- Ruiz-González, A.; Rico, D.E.; Rico, J.E. Modulation of Fecal Metabolites by Heat Stress and Diet, and Their Association with Inflammation and Leaky Gut Markers in Dairy Cows. Metabolites 2022, 12, 142. [Google Scholar] [CrossRef] [PubMed]
- Blum, J.W.; Schnyder, W.; Kunz, P.L.; Blom, A.K.; Bickel, H.; Schãoerch, A. Reduced and Compensatory Growth: Endocrine and Metabolic Changes during Food Restriction and Refeeding in Steers. J. Nutr. 1985, 115, 417–424. [Google Scholar] [CrossRef]
- Coppo, J.A. Evolution of Fructosaminaemia and Glucaemia during the Growth of Unweaned and Early Weaned Half-Bred Zebu Calves. Vet. Res. Commun. 2001, 25, 449–459. [Google Scholar] [CrossRef] [PubMed]
- Grelet, C.; Vanden Dries, V.; Leblois, J.; Wavreille, J.; Mirabito, L.; Soyeurt, H.; Franceschini, S.; Gengler, N.; Brostaux, Y.; Consortium, H.; et al. Identification of Chronic Stress Biomarkers in Dairy Cows. Animal 2022, 16, 100502. [Google Scholar] [CrossRef] [PubMed]
- Rincón, J.A.A.; Pradieé, J.; Remião, M.H.; Collares, T.V.; Mion, B.; Gasperin, B.G.; Tomazele Rovani, M.; Corrêa, M.N.; Pegoraro, L.M.C.; Schneider, A. Effect of High-Density Lipoprotein on Oocyte Maturation and Bovine Embryo Development in Vitro. Reprod. Domest. Anim. 2019, 54, 445–455. [Google Scholar] [CrossRef]
- Minka, N.S.; Ayo, J.O. Physiological Responses of Food Animals to Road Transportation Stress. Afr. J. Biotechnol. 2009, 8, 7415–7427. [Google Scholar]
- Schäff, C.T.; Gruse, J.; Maciej, J.; Mielenz, M.; Wirthgen, E.; Hoeflich, A.; Schmicke, M.; Pfuhl, R.; Jawor, P.; Stefaniak, T.; et al. Effects of Feeding Milk Replacer Ad Libitum or in Restricted Amounts for the First Five Weeks of Life on the Growth, Metabolic Adaptation, and Immune Status of Newborn Calves. PLoS ONE 2016, 11, e0168974. [Google Scholar] [CrossRef] [PubMed]
- Larson, R.L. Heifer Development: Reproduction and Nutrition. Vet. Clin. N. Am. Food Anim. Pract. 2007, 23, 53–68. [Google Scholar] [CrossRef]
- Wathes, D.C.; Pollott, G.E.; Johnson, K.F.; Richardson, H.; Cooke, J.S. Heifer Fertility and Carry over Consequences for Life Time Production in Dairy and Beef Cattle. Animal 2014, 8, 91–104. [Google Scholar] [CrossRef]
- Brickell, J.S.; McGowan, M.M.; Wathes, D.C. Effect of Management Factors and Blood Metabolites during the Rearing Period on Growth in Dairy Heifers on UK Farms. Domest. Anim. Endocrinol. 2009, 36, 67–81. [Google Scholar] [CrossRef]
- Van Eetvelde, M.; Opsomer, G. Innovative Look at Dairy Heifer Rearing: Effect of Prenatal and Post-Natal Environment on Later Performance. Reprod. Domest. Anim. 2017, 52, 30–36. [Google Scholar] [CrossRef] [PubMed]
- Adewuyi, A.A.; Gruysi, E.; Eerdenburg, F.J.C.M.V. Non Esterified Fatty Acids (NEFA) in Dairy Cattle. A Review. Vet. Q. 2005, 27, 117–126. [Google Scholar] [CrossRef] [PubMed]
- Vázquez-Mosquera, J.M.; Fernández-Novo, A.; Bonet-Bo, M.; Pérez-Villalobos, N.; Pesántez-Pacheco, J.L.; Pérez-Solana, M.L.; de Mercado, E.; Gardón, J.C.; Villagrá, A.; Sebastián, F.; et al. MOET Efficiency in a Spanish Herd of Japanese Black Heifers and Analysis of Environmental and Metabolic Determinants. Biology 2022, 11, 225. [Google Scholar] [CrossRef] [PubMed]
- Constable, P.D.; Hinchcliff, K.W.; Done, S.H.; Grünberg, W. Veterinary Medicine: A Textbook of the Diseases of Cattle, Horses, Sheep, Pigs and Goats, 11th ed.; Elsevier Health Sciences: St. Louis, MO, USA, 2016; pp. 2217–2219. [Google Scholar]
- Grummer, R.R.; Carroll, D.J. A review of lipoprotein cholesterol metabolism: Importance to ovarian function. J. Anim. Sci. 1988, 66, 3160–3173. [Google Scholar] [CrossRef]
- Taylor, V.J.; Beever, D.E.; Bryant, M.J.; Wathes, D.C. First Lactation Ovarian Function in Dairy Heifers in Relation to Prepubertal Metabolic Profiles. J. Endocrinol. 2004, 180, 63–75. [Google Scholar] [CrossRef] [PubMed]
- Gifford, C.A.; Holland, B.P.; Mills, R.L.; Maxwell, C.L.; Farney, J.K.; Terrill, S.J.; Step, D.L.; Richards, C.J.; Burciaga Robles, L.O.; Krehbiel, R. Growth and Development Symposium: Impacts of inflammation on cattle growth and carcass merit. J. Anim. Sci. 2012, 90, 1438–1451. [Google Scholar] [CrossRef]
- Van Niekerk, J.K.; Fischer-Tlustos, A.J.; Wilms, J.N.; Hare, K.S.; Welboren, A.C.; Lopez, A.J.; Yohe, T.T.; Cangiano, L.R.; Leal, L.N.; Steele, M.A. ADSA Foundation Scholar Award: New frontiers in calf and heifer nutrition-From conception to puberty. J. Dairy Sci. 2021, 104, 8341–8362. [Google Scholar] [CrossRef] [PubMed]
- Taylor, J.D.; Fulton, R.W.; Lehenbauer, T.W.; Step, D.L.; Confer, A.W. The Epidemiology of Bovine Respiratory Disease: What Is the Evidence for Predisposing Factors? Can. Vet. J. 2010, 51, 1095–1102. [Google Scholar]
- Cummings, D.B.; Meyer, N.F.; Step, D.L. Bovine Respiratory Disease Considerations in Young Dairy Calves. Veterinary Clinics of North America. Food Anim. Pract. 2022, 38, 93–105. [Google Scholar] [CrossRef]
- Berckmans, D. Precision Livestock Farming Technologies for Welfare Management in Intensive Livestock Systems. Rev. Sci. Tech. 2014, 33, 189–196. [Google Scholar] [CrossRef] [PubMed]
- Grimard, B.; de Boyer des Roches, A.; Coignard, M.; Lehébel, A.; Chuiton, A.; Mounier, L.; Veissier, I.; Guatteo, R.; Bareille, N. Relationships between Welfare and Reproductive Performance in French Dairy Herds. Vet. J. 2019, 248, 1–7. [Google Scholar] [CrossRef] [PubMed]
- Sandelin, A.; Hälli, O.; Härtel, H.; Herva, T.; Seppä-Lassila, L.; Tuunainen, E.; Rautala, H.; Soveri, T.; Simojoki, H. Effect of Farm and Animal-Level Factors on Youngstock Mortality and Growth on Calf Rearing Farms. Prev. Vet. Med. 2021, 193, 105416. [Google Scholar] [CrossRef] [PubMed]





| Item | Starter Feed | Postweaning Feed | Growth Feed | Prepuberty Feed | AI Feed | Pregnant Feed |
|---|---|---|---|---|---|---|
| H, % | 11.3/11.3 | 11.7/11.7 | 53.7/53.6 | 50.6/50.6 | 48.3 | 52.2 |
| DM, % | 88.7/88.7 | 88.3/88.3 | 46.3/46.4 | 49.4/49.4 | 51.7 | 47.8 |
| Forage, % | 20.6/20.6 | 27.2/27.2 | 32.3/32.3 | 46.3 | 49.5 | |
| ME, Mcal/kg | 3113/3104 | 2783/2778 | 2462/2465 | 2400/2399 | 2173 | 2092 |
| NEL, Mcal/kg | 2.0/2.0 | 1.8/1.8 | 1.6/1.5 | 1.5/1.5 | 1.3 | 1.3 |
| CP, % | 19.0/19.0 | 16.9/16.8 | 16.1/16.1 | 15.1/15.1 | 14.6 | 14.0 |
| RDP, % | 11.0/10.9 | 8.9/8.9 | 9.9/9.9 | 9.3/9.3 | 8.4 | 8.3 |
| RUP, % | 8.1/8.1 | 8.0/8.0 | 6.2/6.2 | 5.8/5.8 | 6.2 | 5.7 |
| CF, % | 8.1/8.1 | 13.5/13.5 | 18.4/18.4 | 19.8/19.8 | 25.9 | 27.4 |
| ADF, % | 10.8/10.8 | 20.0/20.0 | 27.3/27.3 | 28.8/28.8 | 35.9 | 38.0 |
| NDF, % | 20.9/20.8 | 35.5/35.4 | 44.2/44.2 | 46.4/46.4 | 58.9 | 62.2 |
| Starch | 40.1/40.0 | 33.0/32.9 | 18.8/18.8 | 18.9/18.9 | 7.2 | 4.6 |
| Sugar | 4.6/4.6 | 5.9/6.0 | 3.7/3.7 | 3.4/3.4 | 4.0 | 3.3 |
| NFC, % | 51.0/50.9 | 37.6/37.5 | 24.3/24.3 | 23.9/23.9 | 13.3 | 10.5 |
| Fat, % | 3.3/3.3 | 4.2/4.2 | 7.5/7.5 | 6.9/6.9 | 5.8 | 5.8 |
| Ash, % | 5.8/6.0 | 5.9/6.0 | 8.3/8.4 | 8.1/8.1 | 7.8 | 7.9 |
| TDN, % | 80.0/79.8 | 71.7/71.6 | 67.2/67.2 | 66.1/66.2 | 60.5 | 59.2 |
| Ca, % | 0.71/0.72 | 0.91/0.92 | 1.12/1.13 | 1.12/1.13 | 0.9 | 0.9 |
| P, % | 0.4/0.4 | 0.5/0.5 | 0.4/0.4 | 0.4/0.4 | 0.4 | 0.3 |
| Milk FU | 1.0/1.0 | 0.9/0.9 | 0.9/0.9 | 0.8 | 0.7 | |
| Na, % | 0.2/0.2 | 0.1/0.1 | 0.3/0.3 | 0.3/0.3 | 0.3 | 0.3 |
| Parameter | Score 0 | Score 1 | Score 2 | Score 3 |
|---|---|---|---|---|
| Rectal temperature, °C | 37.8–38.2 | 38.3–38.8 | 38.9–39.4 | ≥39.5 |
| Cough | None | Single cough | Induced or spontaneous occasional cough | Repeated spontaneous cough |
| Nasal discharge | Normal | Minimal, unilateral, cloudy | Bilateral mucus | Copious mucopurulent |
| Ear posture | Normal | Ear flick | Unilateral drop | Head tilt |
| Ocular discharge | Normal | Minimal | Moderate | Heavy |
| Feces | Normal consistency | Semiformed, pasty | Loose, but stays on top of bedding | Watery, sifts through bedding |
| Values at Weaning | Values at Open-Door Pen Transfer | p Values from Weaning to Open-Door Pen Transfer | Values at End of Gluconate Supplementation | p Values from Open-Door Pen Transfer to End of Gluconate Supplementation | ||
|---|---|---|---|---|---|---|
| Ultrasound lung score (points) | 2FG | 2.0 ± 0.54 | 1.87 ± 0.56 | 2F vs. 3F: 0.073 G: 0.977 2F vs. 3F × G: 0.423 2F vs. 3F × G × time: 0.690 time: 0.032 | 1.63 ± 0.64 | 2F vs. 3F: 0.973 G: 0.637 2F vs. 3F × G: 0.904 2F vs. 3F × G × time: 0.690 time: <0.001 |
| 2F | 1.86 ± 0.53 | 1.78 ± 0.52 | 1.59 ± 0.56 | |||
| 3FG | 1.82 ± 0.61 | 1.9 ± 0.54 | 1.6 ± 0.55 | |||
| 3F | 1.76 ± 0.58 | 1.8 ± 0.58 | 1.6 ± 0.62 | |||
| Health score (points) | 2FG | 1.86 ± 0.52 | 1.77 ± 0.51 | 2F vs. 3F: 0.081 G: 0.978 2F vs. 3F × G: 0.917 2F vs. 3F × G × time: 0.985 time: 0.003 | 1.41 ± 0.52 | 2F vs. 3F: 0.960 G: 0.622 2F vs. 3F × G: 0.864 2F vs. 3F × G × time: 0.985 time: <0.001 |
| 2F | 1.81 ± 0.53 | 1.78 ± 0.49 | 1.35 ± 0.54 | |||
| 3FG | 1.68 ± 0.62 | 1.83 ± 0.45 | 1.43 ± 0.53 | |||
| 3F | 1.65 ± 0.51 | 1.84 ± 0.47 | 1.39 ± 0.55 |
Disclaimer/Publisher’s Note: The statements, opinions and data contained in all publications are solely those of the individual author(s) and contributor(s) and not of MDPI and/or the editor(s). MDPI and/or the editor(s) disclaim responsibility for any injury to people or property resulting from any ideas, methods, instructions or products referred to in the content. |
© 2024 by the authors. Licensee MDPI, Basel, Switzerland. This article is an open access article distributed under the terms and conditions of the Creative Commons Attribution (CC BY) license (https://creativecommons.org/licenses/by/4.0/).
Share and Cite
Revilla-Ruiz, A.; Carulla, P.; Fernandez-Novo, A.; de Mercado, E.; Pérez-Navarro, A.; Patrón-Collantes, R.; Sebastián, F.; Pérez-Garnelo, S.S.; González-Martín, J.V.; Estellés, F.; et al. Effect of Milk-Feeding Frequency and Calcium Gluconate Supplementation on Growth, Health, and Reproductive and Metabolic Features of Holstein Heifers at a Rearing Farm. Animals 2024, 14, 1336. https://doi.org/10.3390/ani14091336
Revilla-Ruiz A, Carulla P, Fernandez-Novo A, de Mercado E, Pérez-Navarro A, Patrón-Collantes R, Sebastián F, Pérez-Garnelo SS, González-Martín JV, Estellés F, et al. Effect of Milk-Feeding Frequency and Calcium Gluconate Supplementation on Growth, Health, and Reproductive and Metabolic Features of Holstein Heifers at a Rearing Farm. Animals. 2024; 14(9):1336. https://doi.org/10.3390/ani14091336
Chicago/Turabian StyleRevilla-Ruiz, Angel, Patricia Carulla, Aitor Fernandez-Novo, Eduardo de Mercado, Alejandro Pérez-Navarro, Raquel Patrón-Collantes, Francisco Sebastián, Sonia S. Pérez-Garnelo, Juan V. González-Martín, Fernando Estellés, and et al. 2024. "Effect of Milk-Feeding Frequency and Calcium Gluconate Supplementation on Growth, Health, and Reproductive and Metabolic Features of Holstein Heifers at a Rearing Farm" Animals 14, no. 9: 1336. https://doi.org/10.3390/ani14091336
APA StyleRevilla-Ruiz, A., Carulla, P., Fernandez-Novo, A., de Mercado, E., Pérez-Navarro, A., Patrón-Collantes, R., Sebastián, F., Pérez-Garnelo, S. S., González-Martín, J. V., Estellés, F., Villagrá, A., & Astiz, S. (2024). Effect of Milk-Feeding Frequency and Calcium Gluconate Supplementation on Growth, Health, and Reproductive and Metabolic Features of Holstein Heifers at a Rearing Farm. Animals, 14(9), 1336. https://doi.org/10.3390/ani14091336

