Age-Related Changes in Survival Behaviour in Parasite-Free Hatchery-Reared Rainbow Trout (Oncorhynchus mykiss)
Abstract
Simple Summary
Abstract
1. Introduction
2. Materials and Methods
2.1. Subjects
2.2. Behavioural Tests
2.2.1. Emergence, Exploration, Habitat Choice and Bird Predator Tests
2.2.2. Fish Predator Test
2.2.3. Novel Food Test
2.3. Study of Parasites
2.4. Statistical Analysis
3. Results
3.1. Behaviour Tests
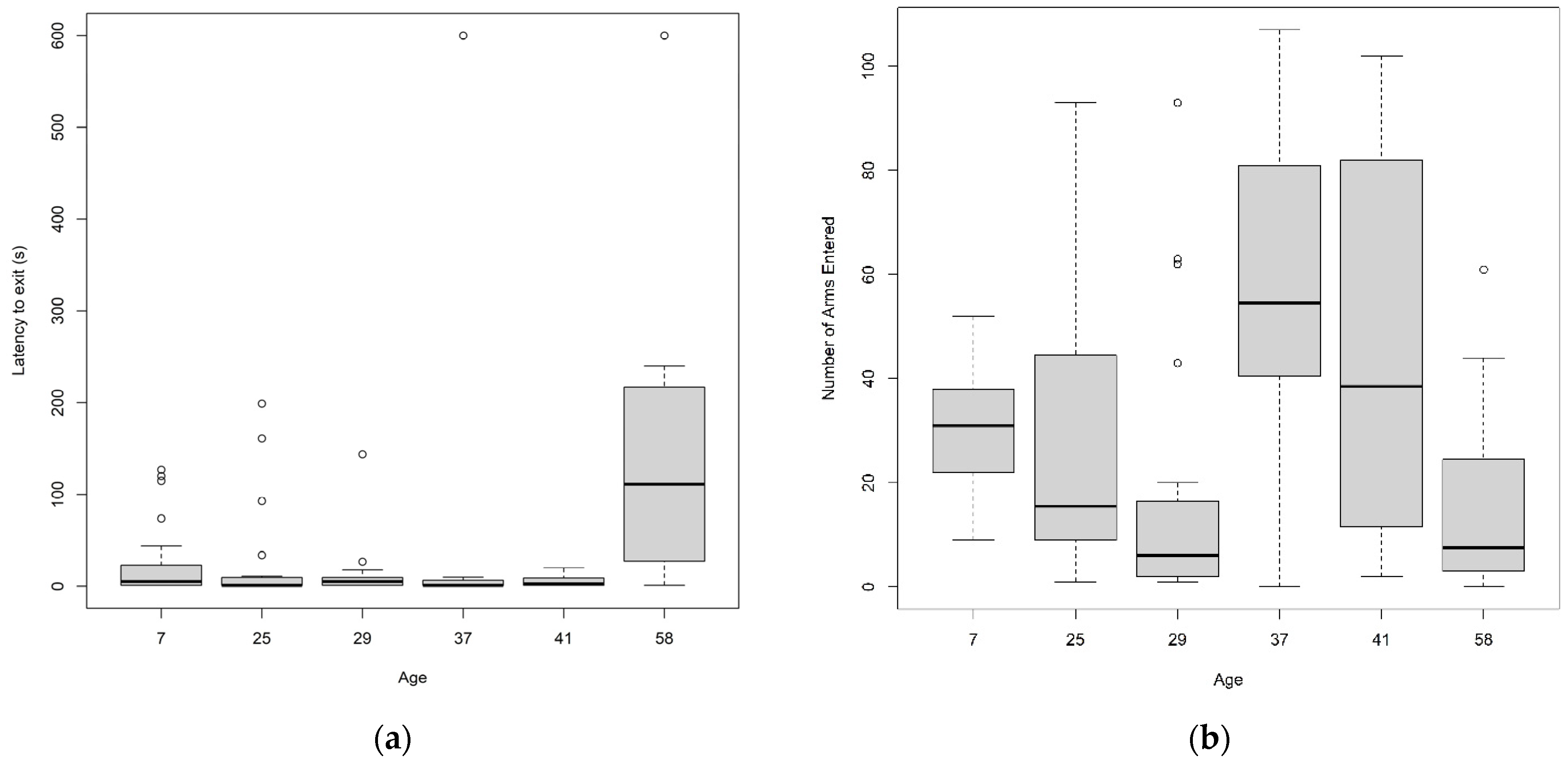
3.1.1. Emergence and Exploration Tests
3.1.2. Habitat Choice Test
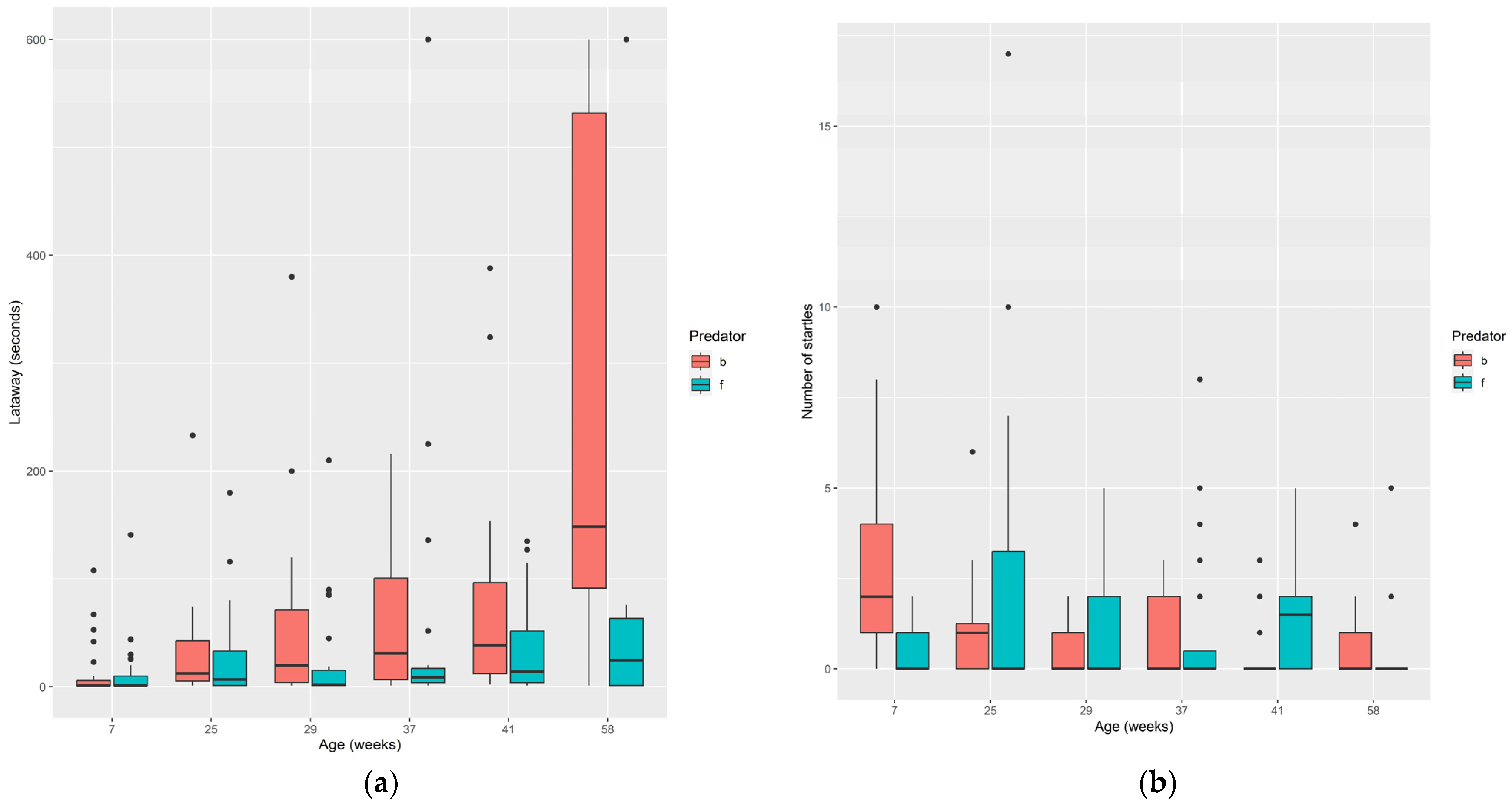
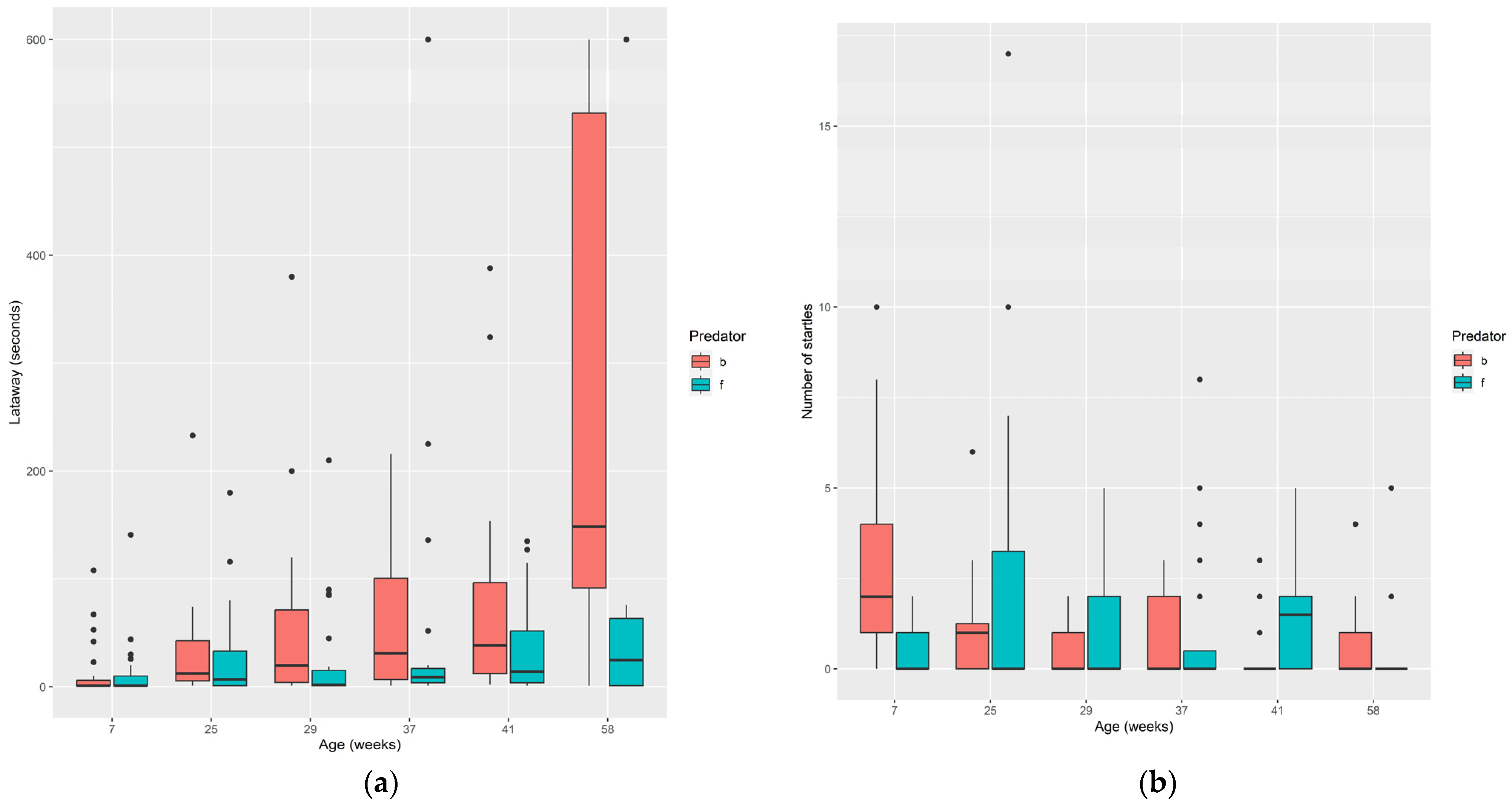
3.1.3. Predator Response
3.1.4. Novel Food Test
3.2. Parasite Prevalence and Other Findings of Fish Dissections
4. Discussion
5. Conclusions
Supplementary Materials
Author Contributions
Funding
Institutional Review Board Statement
Informed Consent Statement
Data Availability Statement
Acknowledgments
Conflicts of Interest
References
- Johnsson, J.I.; Brockmark, S.; Näslund, J. Environmental effects on behavioural development consequences for fitness of captive-reared fishes in the wild. J. Fish Biol. 2014, 85, 1946–1971. [Google Scholar] [CrossRef] [PubMed]
- Ebner, B. Murray cod an apex predator in the Murray River, Australia. Ecol. Freshw. Fish 2006, 15, 510–520. [Google Scholar] [CrossRef]
- Huntingford, F.A. Implications of domestication and rearing conditions for the behaviour of cultivated fishes. J. Fish Biol. 2004, 65, 122–142. [Google Scholar] [CrossRef]
- Søndergaard, M.; Jeppesen, E. Anthropogenic impacts on lake and stream ecosystems, and approaches to restoration. J. Appl. Ecol. 2007, 44, 1089–1094. [Google Scholar] [CrossRef]
- Mittelbach, G.G.; Ballew, N.G.; Kjelvik, M.K. Fish behavioral types and their ecological consequences. Can. J. Fish. Aquat. Sci. 2014, 71, 927–944. [Google Scholar] [CrossRef]
- Molony, B.W.; Bird, C.; Nguyen, V.P. The relative efficacy of stocking fry or yearling rainbow trout (Oncorhynchus mykiss) into a large impoundment dominated by redfin perch (Perca fluviatilis) in south-western Australia. Mar. Freshw. Res. 2004, 55, 781–785. [Google Scholar] [CrossRef]
- NSW Department of Primary Industries. Trout Strategy Framework. 2018. Available online: https://www.dpi.nsw.gov.au/__data/assets/pdf_file/0011/803909/trout-strategy-framework.pdf (accessed on 12 December 2023).
- Herde, A.; A Eccard, J. Consistency in boldness, activity and exploration at different stages of life. BMC Ecol. 2013, 13, 49. [Google Scholar] [CrossRef] [PubMed]
- Efrat, R.; Hatzofe, O.; Miller, Y.; Berger-Tal, O. Determinants of survival in captive-bred Griffon Vultures Gyps fulvus after their release to the wild. Conserv. Sci. Pr. 2020, 2, e308. [Google Scholar] [CrossRef]
- Brown, G.E.; Ferrari, M.C.O.; Malka, P.H.; Fregeau, L.; Kayello, L.; Chivers, D.P. Retention of acquired predator recognition among shy versus bold juvenile rainbow trout. Behav. Ecol. Sociobiol. 2013, 67, 43–51. [Google Scholar] [CrossRef]
- Thomson, J.S.; Watts, P.C.; Pottinger, T.G.; Sneddon, L.U. Plasticity of boldness in rainbow trout, Oncorhynchus mykiss: Do hunger and predation influence risk-taking behaviour? Horm. Behav. 2012, 61, 750–757. [Google Scholar] [CrossRef]
- Stuart, L. Trout and Trout Stocking: Acknowledging the Harm, Finding the Balance. Available online: https://finterest.au/trout-and-trout-stocking-acknowledging-the-harm-finding-the-balance/?fbclid=IwAR10IMvF2RKK71e8h0RaTwqqCh3xQB1tMoVCYKGb4AAwnUQ-Z62fQJHxdZI (accessed on 13 December 2023).
- Australian Bureau of Agricultural and Resource Economics and Science. National Survey Shows Significant Benefits of rec Fishing. Department of Agriculture, Fisheries and Forestry. 2023. Available online: https://www.agriculture.gov.au/abares/news/national-survey-shows-significant-benefits-of-rec-fishing (accessed on 13 December 2023).
- Crawford, S.S.; Muir, A.M. Global introductions of salmon and trout in the genus Oncorhynchus: 1870–2007. Rev. Fish Biol. Fish. 2008, 18, 313–344. [Google Scholar] [CrossRef]
- Crowl, T.A.; Townsend, C.R.; Mcintosh, A.R. The impact of introduced brown and rainbow trout on native fish: The case of Australasia. Rev. Fish Biol. Fish. 1992, 2, 217–241. [Google Scholar] [CrossRef]
- Koehn, J.D.; MacKenzie, R.F. Priority management actions for alien freshwater fish species in Australia. N. Z. J. Mar. Freshw. Res. 2004, 38, 457–472. [Google Scholar] [CrossRef]
- Morgan, D.L.; Gill, H.S.; Maddern, M.G.; Beatty, S.J. Distribution and impacts of introduced freshwater fishes in Western Australia. N. Z. J. Mar. Freshw. Res. 2004, 38, 511–523. [Google Scholar] [CrossRef]
- Kaminskas, S. Alien fish ascendancy and native fish extinction: Ecological history and observations on the Lower Goodradigbee River, Australia. Pac. Conserv. Biol. 2022, 29, 38–73. [Google Scholar] [CrossRef]
- Lewisch, E.; El-Matbouli, M. A fish health survey of selected Austrian rivers: Implications for stocking practices and a wide distribution of Tetracapsuloides bryosalmonae. Wien. Tierärztliche Monatsschrift 2018, 105, 81–91. [Google Scholar]
- Barber, I. Parasites, behaviour and welfare in fish. Appl. Anim. Behav. Sci. 2007, 104, 251–264. [Google Scholar] [CrossRef]
- Forwood, J.M.; Harris, J.O.; Landos, M.; Deveney, M.R. Evaluation of treatment methods using sodium percarbonate and formalin on Australian rainbow trout farms. Aquac. Eng. 2014, 63, 9–15. [Google Scholar] [CrossRef]
- Unger, P.; Palm, H.W. Parasite risk of maricultured rainbow trout (Oncorhynchus mykiss Walbaum, 1792) in the Western Baltic Sea, Germany. Aquac. Int. 2017, 25, 975–989. [Google Scholar] [CrossRef]
- Buchmann, K.; Bresciani, J. Parasitic infections in pond-reared rainbow trout Oncorhynchus mykiss in Denmark. Dis. Aquat. Org. 1997, 28, 125–138. [Google Scholar] [CrossRef]
- Jørgensen, T.R.; Larsen, T.B.; Buchmann, K. Parasite infections in recirculated rainbow trout (Oncorhynchus mykiss) farms. Aquaculture 2009, 289, 91–94. [Google Scholar] [CrossRef]
- WHO Report 2021. Foodborne Trematode Infections. Available online: https://www.who.int/news-room/fact-sheets/detail/foodborne-trematode-infections (accessed on 15 December 2023).
- Timi, J.T.; Poulin, R. Why ignoring parasites in fish ecology is a mistake. Int. J. Parasitol. 2020, 50, 755–761. [Google Scholar] [CrossRef]
- Shamsi, S.; Suthar, J. A revised method of examining fish for infection with zoonotic nematode larvae. Int. J. Food Microbiol. 2016, 227, 13–16. [Google Scholar] [CrossRef] [PubMed]
- R Core Team. R: A Language and Environment for Statistical Computing. R Foundation for Statistical Computing, Vienna, Austria. 2023. Available online: https://www.R-project.org/ (accessed on 11 November 2023).
- Andersson, M.; Khan, U.W.; Øverli, Ø.; Gjøen, H.M.; Höglund, E. Coupling between stress coping style and time of emergence from spawning nests in salmonid fishes: Evidence from selected rainbow trout strains (Oncorhynchus mykiss). Physiol. Behav. 2013, 116–117, 30–34. [Google Scholar] [CrossRef]
- Fausch, K.D. Profitable stream positions for salmonids: Relating specific growth rate to net energy gain. Can. J. Zool. 1984, 62, 441–451. [Google Scholar] [CrossRef]
- Billy, V.D.C.D.; Usseglio-Polatera, P. Traits of brown trout prey in relation to habitat characteristics and benthic invertebrate communities. J. Fish Biol. 2002, 60, 687–714. [Google Scholar] [CrossRef]
- Adriaenssens, B.; Johnsson, J.I. Learning and context-specific exploration behaviour in hatchery and wild brown trout. Appl. Anim. Behav. Sci. 2011, 132, 90–99. [Google Scholar] [CrossRef]
- Wilson, A.D.M.; Stevens, E.D. Consistency in Context-specific Measures of Shyness and Boldness in Rainbow Trout, Oncorhynchus mykiss. Ethology 2005, 111, 849–862. [Google Scholar] [CrossRef]
- Slaney, P.A.; Northcote, T.G. Effects of Prey Abundance on Density and Territorial Behavior of Young Rainbow Trout (Salmo gairdneri) in Laboratory Stream Channels. J. Fish. Res. Board Can. 1974, 31, 1201–1209. [Google Scholar] [CrossRef]
- Giles, N.; Huntingford, F.A. Predation risk and inter-population variation in antipredator behaviour in the three-spined stickleback, Gasterosteus aculeatus L. Anim. Behav. 1984, 32, 264–275. [Google Scholar] [CrossRef]
- I Johnsson, J.; Petersson, E.; Jönsson, E.; Björnsson, B.T.; Järvi, T. Domestication and growth hormone alter antipredator behaviour and growth patterns in juvenile brown trout, Salmo trutta. Can. J. Fish. Aquat. Sci. 1996, 53, 1546–1554. [Google Scholar] [CrossRef]
- McGlade, C.L.O.; Dickey, J.W.E.; Kennedy, R.; Donnelly, S.; Nelson, C.-A.; Dick, J.T.A.; Arnott, G. Behavioural traits of rainbow trout and brown trout may help explain their differing invasion success and impacts. Sci. Rep. 2022, 12, 1757. [Google Scholar] [CrossRef] [PubMed]
- Polverino, G.; Cigliano, C.; Nakayama, S.; Mehner, T. Emergence and development of personality over the ontogeny of fish in absence of environmental stress factors. Behav. Ecol. Sociobiol. 2016, 70, 2027–2037. [Google Scholar] [CrossRef]
- Freire, R.; Rogers, L.; Creece, D.; Shamsi, S. Neophobic behavioural responses of parasitised fish to a potential predator and baited hook. Appl. Anim. Behav. Sci. 2022, 254, 105722. [Google Scholar] [CrossRef]
- Lennox, R.J.; Alós, J.; Arlinghaus, R.; Horodysky, A.; Klefoth, T.; Monk, C.T.; Cooke, S.J. What makes fish vulnerable to capture by hooks? A conceptual framework and a review of key determinants. Fish Fish. 2017, 18, 986–1010. [Google Scholar] [CrossRef]
- Barton, D.P.; Shamsi, S. Freshwater fish as hosts for parasites in Australia: How much do we really know? Ecol. Freshw. Fish 2024, 33, e12754. [Google Scholar] [CrossRef]





| Age (Weeks) | N Fish Tested | Mean Length (mm) | SE |
|---|---|---|---|
| 7 | 25 | 32.4 | 0.7 |
| 25 | 20 | 104.8 | 4.4 |
| 29 | 24 | 112.9 | 3.5 |
| 37 | 20 | 188.9 | 5.9 |
| 41 | 24 | 190.3 | 8.5 |
| 58 | 12 | 237.0 | 5.4 |
| Age (Weeks) | Residual (χ2) | p Value |
|---|---|---|
| 7 | 4.72 | <0.0001 |
| 25 | −3.80 | 0.002 |
| 29 | −4.15 | 0.003 |
| 37 | 3.12 | 0.02 |
| 41 | 0.91 | 1.0 |
| 58 | −1.23 | 1.0 |
Disclaimer/Publisher’s Note: The statements, opinions and data contained in all publications are solely those of the individual author(s) and contributor(s) and not of MDPI and/or the editor(s). MDPI and/or the editor(s) disclaim responsibility for any injury to people or property resulting from any ideas, methods, instructions or products referred to in the content. |
© 2024 by the authors. Licensee MDPI, Basel, Switzerland. This article is an open access article distributed under the terms and conditions of the Creative Commons Attribution (CC BY) license (https://creativecommons.org/licenses/by/4.0/).
Share and Cite
Freire, R.; Michie, M.; Rogers, L.; Shamsi, S. Age-Related Changes in Survival Behaviour in Parasite-Free Hatchery-Reared Rainbow Trout (Oncorhynchus mykiss). Animals 2024, 14, 1315. https://doi.org/10.3390/ani14091315
Freire R, Michie M, Rogers L, Shamsi S. Age-Related Changes in Survival Behaviour in Parasite-Free Hatchery-Reared Rainbow Trout (Oncorhynchus mykiss). Animals. 2024; 14(9):1315. https://doi.org/10.3390/ani14091315
Chicago/Turabian StyleFreire, Rafael, Mathea Michie, Leia Rogers, and Shokoofeh Shamsi. 2024. "Age-Related Changes in Survival Behaviour in Parasite-Free Hatchery-Reared Rainbow Trout (Oncorhynchus mykiss)" Animals 14, no. 9: 1315. https://doi.org/10.3390/ani14091315
APA StyleFreire, R., Michie, M., Rogers, L., & Shamsi, S. (2024). Age-Related Changes in Survival Behaviour in Parasite-Free Hatchery-Reared Rainbow Trout (Oncorhynchus mykiss). Animals, 14(9), 1315. https://doi.org/10.3390/ani14091315

