The Effects of Lentinan on the Hematological and Immune Indices of Dairy Cows
Abstract
Simple Summary
Abstract
1. Introduction
2. Materials and Methods
2.1. Animals and Experimental Design
2.2. Sample Collection
2.3. Hematological Parameter, Blood Biochemical Indicator, Serum Immunologic Factor, and Antioxidant Indicator Analyses
2.4. Plasma Metabolomic Analysis
2.5. Statistical Analysis
3. Results
3.1. Effect of LNT Supplementation on the Hematological Parameters of the Dairy Cows
3.2. Effect of LNT Supplementation on the Serum Biochemical Indices of the Dairy Cows
3.3. Effect of LNT Supplementation on the Serum Immune Indices of the Dairy Cows
3.4. Effect of LNT Supplementation on Serum Redox Indices of the Dairy Cows
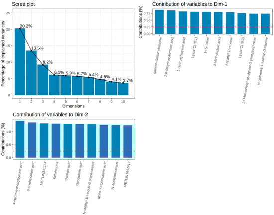
3.5. Metabolomic Analysis of Blood Samples
3.6. Differential Metabolites between the LNT and CON Groups
3.7. Metabolite Set Enrichment Analysis and Metabolic Pathway Analysis
3.8. Correlation Analysis
4. Discussion
5. Conclusions
Author Contributions
Funding
Institutional Review Board Statement
Informed Consent Statement
Data Availability Statement
Acknowledgments
Conflicts of Interest
References
- Giavasis, I. Bioactive fungal polysaccharides as potential functional ingredients in food and nutraceuticals. Curr. Opin. Biotech. 2014, 26, 162–173. [Google Scholar] [CrossRef]
- Yoshino, S.; Nishikawa, K.; Morita, S.; Takahashi, T.; Sakata, K.; Nagao, J.; Nemoto, H.; Murakami, N.; Matsuda, T.; Hasegawa, H.; et al. Randomised phase III study of S-1 alone versus S-1 plus lentinan for unresectable or recurrent gastric cancer (JFMC36-0701). Eur. J. Cancer. 2016, 65, 164–171. [Google Scholar] [CrossRef]
- Han, X.; Luo, R.; Ye, N.; Hu, Y.; Fu, C.; Gao, R.; Fu, S.; Gao, F. Research progress on natural β-glucan in intestinal diseases. Int. J. Biol. Macromol. 2022, 219, 1244–1260. [Google Scholar] [CrossRef]
- Zhang, Y.; Zhang, M.; Jiang, Y.; Li, X.; He, Y.; Zeng, P.; Guo, Z.; Chang, Y.; Luo, H.; Liu, Y.; et al. Lentinan as an immunotherapeutic for treating lung cancer: A review of 12 years clinical studies in China. J. Cancer. Res Clin. 2018, 144, 2177–2186. [Google Scholar] [CrossRef]
- Murphy, E.J.; Rezoagli, E.; Pogue, R.; Simonassi-Paiva, B.; Abidin, I.I.Z.; Fehrenbach, G.W.; O’Neil, E.; Major, I.; Laffey, J.G.; Rowan, N. Immunomodulatory activity of β-glucan polysaccharides isolated from different species of mushroom–A potential treatment for inflammatory lung conditions. Sci. Total. Environ. 2022, 809, 152177. [Google Scholar] [CrossRef] [PubMed]
- Jo, W.S.; Choi, Y.J.; Mm, H.J.; Lee, J.Y.; Nam, B.H.; Lee, J.D.; Lee, S.W.; Seo, S.Y.; Jeong, M.H. The anti-inflammatory effects of water extract from Cordyceps militaris in murine macrophage. Mycobiology 2010, 38, 46–51. [Google Scholar] [CrossRef]
- Du, B.; Lin, C.; Bian, Z.; Xu, B. An insight into anti-inflammatory effects of fungal beta-glucans. Trends. Food. Sci. Technol. 2015, 41, 49–59. [Google Scholar] [CrossRef]
- Ahn, H.; Jeon, E.; Kim, J.C.; Kang, S.G.; Yoon, S.I.; Ko, H.J.; Kim, P.H.; Lee, G.S. Lentinan from shiitake selectively attenuates AIM2 and non-canonical inflammasome activation while inducing pro-inflammatory cytokine production. Sci. Rep. 2017, 7, 1314. [Google Scholar] [CrossRef] [PubMed]
- Ren, G.; Yu, M.; Li, K.; Hu, Y.; Wang, Y.; Xu, X.; Qu, J. Seleno-lentinan prevents chronic pancreatitis development and modulates gut microbiota in mice. J. Funct. Foods. 2016, 22, 177–188. [Google Scholar] [CrossRef]
- Ren, G.; Xu, L.; Lu, T.; Zhang, Y.; Wang, Y.; Yin, J. Protective effects of lentinan on lipopolysaccharide induced inflammatory response in intestine of juvenile taimen (Hucho taimen, Pallas). Int. J. Biol. Macromol. 2019, 121, 317–325. [Google Scholar] [CrossRef]
- Ma, T.; Tu, Y.; Zhang, N.; Deng, K.; Zhou, Z.; Yun, Q.; Diao, Q. Effects of dietary yeast β-glucan on nutrient digestibility and serum profiles in pre-ruminant Holstein calves. J. Integr. Agr. 2015, 14, 749–757. [Google Scholar] [CrossRef]
- Poławska, E.; Bagnicka, A.W.; Niemczuk, K.; Lipińska, J.O. Relations between the oxidative status, mastitis, milk quality and disorders of reproductive functions in dairy cows—A review. Anim. Sci. Pap. Rep. 2012, 30, 297–307. [Google Scholar]
- NRC (National Research Council). Nutrient Requirements of Dairy Cattle, 7th ed.; National Academy Press: Washington, DC, USA, 2001. [Google Scholar]
- Aiello, S.E.; Moses, M.A. The Merck Veterinary Manual, 11th ed.; Merck & Company, Incorporated: White Station, NJ, USA, 2016. [Google Scholar]
- Wang, J. Veterinary Internal Medicine, 2nd ed.; China Agricultural University Press: Beijing, China, 1999; pp. 323–326. [Google Scholar]
- Seegers, H.; Fourichon, C.; Beaudeau, F. Production effects related to mastitis and mastitis economics in dairy cattle herds. Vet. Res. 2003, 34, 475–491. [Google Scholar] [CrossRef] [PubMed]
- Leitner, G.; Shoshani, E.; Krifucks, O.; Chaffer, M.; Saran, A. Milk leucocyte population patterns in bovine udder infection of different aetiology. J. Vet. Med. B. 2000, 47, 581–589. [Google Scholar] [CrossRef] [PubMed]
- Roland, L.; Drillich, M.; Iwersen, M. Hematology as a diagnostic tool in bovine medicine. J. Vet. Diagn. Investig. 2014, 26, 592–598. [Google Scholar] [CrossRef] [PubMed]
- Meglia, G.E.; Johannisson, A.; Agenäs, S.; Holtenius, K.; Waller, K.P. Effects of feeding intensity during the dry period on leukocyte and lymphocyte sub-populations, neutrophil function and health in periparturient dairy cows. Vet. J. 2005, 169, 376–384. [Google Scholar] [CrossRef]
- Spies, C.M.; Strehl, C.; van der Goes, M.C.; Bijlsma, J.W.; Buttgereit, F. Glucocorticoids. Best. Pract. Res. Cl. Rh. 2011, 25, 891–900. [Google Scholar] [CrossRef]
- Lippi, G.; Plebani, M. Red blood cell distribution width (RDW) and human pathology. One size fits all. Clin. Chem. Lab. Med. 2014, 52, 1247–1249. [Google Scholar] [CrossRef]
- Sherman, K.E. Alanine aminotransferase in clinical practice: A review. Arch. Intern. Med. 1991, 151, 260–265. [Google Scholar] [CrossRef]
- Kaplan, M.M. Alanine aminotransferase levels: What’s normal? Ann. Intern. Med. 2002, 137, 49–51. [Google Scholar] [CrossRef]
- Whitehead, M.W.; Hawkes, N.D.; Hainsworth, I.; Kingham, J.G.C. A prospective study of the causes of notably raised aspartate aminotransferase of liver origin. Gut 1999, 45, 129–133. [Google Scholar] [CrossRef]
- Ndrepepa, G. Aspartate aminotransferase and cardiovascular disease—A narrative review. J. Lab. Precis. Med. 2021, 6, 6. [Google Scholar] [CrossRef]
- Bagni, M.; Romano, N.; Finoia, M.G.; Abelli, L.; Scapigliati, G.; Tiscar, P.G.; Sarti, M.; Marino, G. Short-and long-term effects of a dietary yeast β-glucan (Macrogard) and alginic acid (Ergosan) preparation on immune response in sea bass (Dicentrarchus labrax). Fish. Shellfish. Immun. 2005, 18, 311–325. [Google Scholar] [CrossRef] [PubMed]
- Damodharan, K.; Palaniyandi, S.A.; Yang, S.H.; Suh, J.W. Functional probiotic characterization and in vivo cholesterol-lowering activity of Lactobacillus helveticus isolated from fermented cow milk. J. Microbiol. Biotechn. 2016, 26, 1675–1686. [Google Scholar] [CrossRef]
- Lennon, J.H.D.; Mixner, J.P. Some sources of variation in total plasma cholesterol levels in dairy cattle. J. Dairy. Sci. 1957, 40, 1424–1429. [Google Scholar] [CrossRef]
- Bell, S.; Goldman, V.M.; Bistrian, B.R.; Arnold, A.H.; Ostroff, G.; Forse, R.A. Effect of β-glucan from oats and yeast on serum lipids. Crit. Rev. Food. Sci. 1999, 39, 189–202. [Google Scholar] [CrossRef]
- Othman, R.A.; Moghadasian, M.H.; Jones, P.J. Cholesterol-lowering effects of oat β-glucan. Nutr. Rev. 2011, 69, 299–309. [Google Scholar] [CrossRef] [PubMed]
- Sima, P.; Vannucci, L.; Vetvicka, V. β-glucans and cholesterol. Int. J. Mol. Med. 2018, 41, 1799–1808. [Google Scholar]
- Bochniarz, M.; Zdzisińska, B.; Wawron, W.; Szczubiał, M.; Dąbrowski, R. Milk and serum IL-4, IL-6, IL-10, and amyloid A concentrations in cows with subclinical mastitis caused by coagulase-negative staphylococci. J. Dairy. Sci. 2017, 100, 9674–9680. [Google Scholar] [CrossRef] [PubMed]
- Volman, J.J.; Ramakers, J.D.; Plat, J. Dietary modulation of immune function by β-glucans. Physiol. Behav. 2008, 94, 276–284. [Google Scholar] [CrossRef] [PubMed]
- Vetvicka, V.; Vannucci, L.; Sima, P. The effects of β-glucan on pig growth and immunity. Open. Biochem. J. 2014, 8, 89. [Google Scholar] [CrossRef]
- Liao, H.; Ye, J.; Gao, L.; Liu, Y. The main bioactive compounds of Scutellaria baicalensis Georgi. for alleviation of inflammatory cytokines: A comprehensive review. Biomed. Pharmacother. 2021, 133, 110917. [Google Scholar] [CrossRef]
- Wang, X.; Wang, W.; Wang, L.; Yu, C.; Zhang, G.; Zhu, H.; Wang, C.; Zhao, S.; Hu, C.A.; Liu, Y. Lentinan modulates intestinal microbiota and enhances barrier integrity in a piglet model challenged with lipopolysaccharide. Food. Funct. 2019, 10, 479–489. [Google Scholar] [CrossRef]
- Nishitani, Y.; Zhang, L.; Yoshida, M.; Azuma, T.; Kanazawa, K.; Hashimoto, T.; Mizuno, M. Intestinal anti-inflammatory activity of lentinan: Influence on IL-8 and TNFR1 expression in intestinal epithelial cells. PLoS ONE 2013, 8, e62441. [Google Scholar] [CrossRef] [PubMed]
- Zhang, Q.H.; Zhang, Y.; Liu, J.; Cao, Y.M. The shiitake mushroom-derived immuno-stimulant lentinan protects against murine malaria blood-stage infection by evoking adaptive immune-responses. Int. Immunopharmacol. 2009, 9, 455–462. [Google Scholar]
- Wang, X.E.; Wang, Y.H.; Zhou, Q.; Peng, M.; Zhang, J.; Chen, M.; Ma, L.J.; Xie, G.M. Immunomodulatory effect of lentinan on aberrant T subsets and cytokines profile in non-small cell lung cancer patients. Pathol. Oncol. Res. 2020, 26, 499–505. [Google Scholar] [CrossRef]
- Zhang, Q.; Cong, R.; Hu, M.; Zhu, Y.; Yang, X. Immunoenhancement of edible fungal polysaccharides (lentinan, tremellan, and pachymaran) on cyclophosphamide-induced immunosuppression in mouse model. Evid-Based. Compl. Alt. 2017, 2017, 9459156. [Google Scholar] [CrossRef] [PubMed]
- Sharma, N.; Singh, N.K.; Singh, O.P.; Pandey, V.; Verma, P.K. Oxidative stress and antioxidant status during transition period in dairy cows. Asian. Austral. J. Anim. 2011, 24, 479–484. [Google Scholar] [CrossRef]
- Mirzad, A.N.; Tada, T.; Ano, H.; Kobayashi, I.; Yamauchi, T.; Katamoto, H. Seasonal changes in serum oxidative stress biomarkers in dairy and beef cows in a daytime grazing system. J. Vet. Med. Sci. 2018, 80, 20–27. [Google Scholar] [CrossRef]
- Chakrapani, A.; Gissen, P.; McKiernan, P. Disorders of tyrosine metabolism. In Inborn Metabolic Diseases: Diagnosis and Treatment, 7th ed.; Saudubray, J.M., Baumgartner, M.R., García-Cazorla, Á., Walter, J., Eds.; Springer Berlin: Heidelberg, Germany, 2016; Volume 18, pp. 265–275. [Google Scholar]
- Levine, R.J.; Conn, H.O. Tyrosine metabolism in patients with liver disease. J. Clin. Investig. 1967, 46, 2012–2020. [Google Scholar] [CrossRef]
- Tessari, P.; Vettore, M.; Millioni, R.; Puricelli, L.; Orlando, R. Effect of liver cirrhosis on phenylalanine and tyrosine metabolism. Curr. Opin. Clin. Nutr. 2010, 13, 81–86. [Google Scholar] [CrossRef] [PubMed]
- Wiemken, A. Trehalose in yeast, stress protectant rather than reserve carbohydrate. Anton. Leeuw. 1990, 58, 209–217. [Google Scholar] [CrossRef] [PubMed]
- Higashiyama, T. Novel functions and applications of trehalose. Pure. Appl. Chem. 2003, 74, 1263–1269. [Google Scholar] [CrossRef]
- Aoki, N.; Furukawa, S.; Sato, K.; Kurokawa, Y.; Kanda, S.; Takahashi, Y.; Mitsuzumi, H.; Itabashi, H. Supplementation of the diet of dairy cows with trehalose results in milk with low lipid peroxide and high antioxidant content. J. Dairy. Sci. 2010, 93, 4189–4195. [Google Scholar] [CrossRef]
- Vanaporn, M.; Titball, R.W. Trehalose and bacterial virulence. Virulence 2020, 11, 1192–1202. [Google Scholar] [CrossRef] [PubMed]
- Stachowicz, A.; Wiśniewska, A.; Kuś, K.; Kiepura, A.; Gębska, A.; Gajda, M.; Białas, M.; Totoń-Żurańska, J.; Stachyra, K.; Suski, M.; et al. The influence of trehalose on atherosclerosis and hepatic steatosis in apolipoprotein E knockout mice. Int. J. Mol. Sci. 2019, 20, 1552. [Google Scholar] [CrossRef] [PubMed]
- Li, R.X.; Chen, L.Y.; Yao, B.; Rahimnejad, S.; Ren, J.; Luo, Y.; Qiao, F.; Zhang, M.L.; Du, Z.Y. Trehalose alleviated hepatic cholesterol accumulation via inhibiting transformation from glucose-derived acyl-CoA to cholesterol synthesis in Nile tilapia. Aquaculture 2022, 560, 738600. [Google Scholar] [CrossRef]
- Lee, K.H.; Guo, J.; Song, Y.; Ariff, A.; O’Sullivan, M.; Hales, B.; Mullins, B.J.; Zhang, G. Dysfunctional gut microbiome networks in childhood IgE-Mediated food allergy. Int. J. Mol. Sci. 2021, 22, 2079. [Google Scholar] [CrossRef] [PubMed]
- Zhen, W.; Liu, Y.; Shao, Y.; Ma, Y.; Wu, Y.; Guo, F.; Abbas, W.; Guo, Y.; Wang, Z. Yeast β-glucan altered intestinal microbiome and metabolome in older hens. Front. Microbiol. 2021, 12, 3741. [Google Scholar] [CrossRef]
- Mu, Y.; Lin, X.; Wang, Z.; Hou, Q.; Wang, Y.; Hu, Z. High-production dairy cattle exhibit different rumen and fecal bacterial community and rumen metabolite profile than low-production cattle. MicrobiologyOpen 2019, 8, e00673. [Google Scholar] [CrossRef]
- Chesters, N.C.; O’Hagan, D. Biosynthesis of the fungal metabolite, piliformic acid (2-hexylidene-3-methylsuccinic acid). J. Chem. Soc. Perkin Trans. 1 1997, 6, 827–834. [Google Scholar] [CrossRef]
- Kamiyama, M.; Horiuchi, M.; Umano, K.; Kondo, K.; Otsuka, Y.; Shibamoto, T. Antioxidant/anti-inflammatory activities and chemical composition of extracts from the mushroom Trametes versicolor. Int. J. Nutr. Food. Sci. 2013, 2, 85–91. [Google Scholar] [CrossRef]
- Evidente, A.; Kornienko, A.; Cimmino, A.; Andolfi, A.; Lefranc, F.; Mathieu, V.; Kiss, R. Fungal metabolites with anticancer activity. Nat. Prod. Rep. 2014, 31, 617–627. [Google Scholar] [CrossRef]
- Giroud-Gerbetant, J.; Joffraud, M.; Giner, M.P.; Cercillieux, A.; Bartova, S.; Makarov, M.V.; Zapata-Pérez, R.; Sánchez-García, J.L.; Houtkooper, R.H.; Migaud, M.E.; et al. A reduced form of nicotinamide riboside defines a new path for NAD+ biosynthesis and acts as an orally bioavailable NAD+ precursor. Mol. Metab. 2019, 30, 192–202. [Google Scholar] [CrossRef]






| Ingredient | Concentration (%) | Nutritional Composition | Content (%) |
|---|---|---|---|
| Wheat whole-plant silage | 20.80 | Dry matter | 55.21 |
| Alfalfa hay | 6.10 | Crude protein | 17.19 |
| Chinese wildrye | 10.50 | Neutral detergent fibers | 38.44 |
| High-energy forage 1 | 2.20 | Acid detergent fiber | 20.97 |
| Distiller grains | 4.30 | Ether extract | 2.46 |
| Potato skin | 8.00 | Ca | 1.06 |
| CaHPO4 | 0.40 | P | 0.44 |
| Limestone | 0.40 | NEL/(MJ/kg) 4 | 7.06 |
| NaHCO3 | 0.10 | ||
| NaCl | 0.10 | ||
| TMR high-yield concentrate 2 | 45.10 | ||
| Premix 3 | 2.00 | ||
| Total | 100.00 |
| Item | Treatment | Reference Values | SEM | p-Value | |||
|---|---|---|---|---|---|---|---|
| CON | LL | ML | HL | ||||
| WBC, ×109/L | 20.31 | 13.76 | 11.74 | 14.40 | 5.0–16.0 | 1.343 | 0.124 |
| Mon, ×109/L | 0.99 | 0.73 | 0.69 | 0.73 | 0.3–1.6 | 0.065 | 0.221 |
| Lymph, ×109/L | 12.81 | 8.10 | 5.31 | 8.19 | 1.5–9.0 | 1.032 | 0.069 |
| Gran, ×109/L | 6.51 | 4.93 | 5.74 | 5.49 | 2.3–9.1 | 0.361 | 0.507 |
| Lymph, % | 60.41 a | 55.96 a | 44.89 b | 54.53 ab | 20.0–60.3 | 1.922 | 0.023 |
| Mon, % | 5.17 | 5.73 | 6.04 | 5.84 | 4.0–12.1 | 0.217 | 0.528 |
| Gran, % | 34.41 a | 38.31 a | 49.07 b | 39.63 a | 30.0–65.0 | 1.784 | 0.018 |
| RBC, ×1012/L | 6.34 | 6.18 | 6.39 | 6.69 | 5.00–10.10 | 0.242 | 0.907 |
| HGB, g/L | 102.43 | 94.29 | 104.14 | 103.71 | 90–139 | 3.977 | 0.815 |
| HCT, % | 30.51 | 28.59 | 30.73 | 31.29 | 28.0–46.0 | 1.184 | 0.878 |
| MCV, fL | 48.63 | 49.01 | 48.07 | 46.87 | 38.0–53.0 | 0.642 | 0.682 |
| MCH, pg | 16.17 | 16.00 | 16.20 | 15.66 | 13.0–19.0 | 0.206 | 0.770 |
| MCHC, g/L | 334.71 | 329.14 | 340.00 | 336.19 | 300–370 | 2.192 | 0.383 |
| RDW, % | 16.40 a | 15.51 ab | 15.11 b | 15.23 b | 14.0–19.0 | 0.178 | 0.026 |
| PLT, ×109/L | 456.86 | 409.71 | 482.57 | 422.57 | 120–820 | 28.382 | 0.815 |
| PDW | 15.87 | 15.71 | 15.91 | 15.73 | 14.0–19.0 | 0.081 | 0.774 |
| MPV, fL | 5.81 | 5.77 | 5.86 | 5.67 | 3.8–7.0 | 0.083 | 0.882 |
| PCT, % | 0.26 | 0.23 | 0.28 | 0.24 | 0.12–0.42 | 0.026 | 0.741 |
| Item | Treatment | Reference Values | SEM | p-Value | |||
|---|---|---|---|---|---|---|---|
| CON | LL | ML | HL | ||||
| ALT, U/L | 47.11 a | 40.30 b | 37.33 b | 47.01 a | 1.140 | <0.001 | |
| AST, U/L | 111.24 a | 98.43 ab | 84.09 b | 100.70 ab | 50.0–150.0 | 3.242 | 0.020 |
| ALP, U/L | 60.66 | 61.87 | 48.97 | 57.29 | 28.0–233.0 | 2.636 | 0.313 |
| TP, g/L | 71.13 ab | 74.01 a | 68.63 b | 71.70 ab | 62.0–80.0 | 0.776 | 0.029 |
| ALB, g/L | 31.70 | 30.49 | 30.04 | 30.93 | 25.0–35.0 | 0.265 | 0.145 |
| GLB, g/L | 39.33 | 43.52 | 38.59 | 39.86 | 30.0–49.0 | 0.774 | 0.074 |
| A/G | 0.81 | 0.71 | 0.79 | 0.77 | 0.017 | 0.496 | |
| UREA, mmol/L | 5.30 | 5.05 | 5.18 | 5.33 | 3.60–9.30 | 0.088 | 0.688 |
| GLU, mmol/L | 3.95 | 4.13 | 3.80 | 4.06 | 3.11–4.89 | 0.054 | 0.144 |
| Ca, mmol/L | 2.58 | 2.52 | 2.46 | 2.51 | 2.00–3.00 | 0.018 | 0.161 |
| P, mmol/L | 1.77 | 1.55 | 1.65 | 1.51 | 1.30–2.80 | 0.051 | 0.298 |
| TC, mmol/L | 7.97 a | 7.25 ab | 6.21 b | 6.79 b | 1.20–5.20 | 0.209 | 0.014 |
| TG, mmol/L | 0.10 | 0.09 | 0.08 | 0.08 | ≤0.10 | 0.004 | 0.111 |
| Item | Treatment | SEM | p-Value | |||
|---|---|---|---|---|---|---|
| CON | LL | ML | HL | |||
| IL-1β, pg/mL | 109.47 | 104.72 | 58.97 | 58.20 | 9.356 | 0.070 |
| IL-2, pg/mL | 108.43 a | 90.10 ab | 68.86 b | 67.20 b | 5.824 | 0.027 |
| IL-4, pg/mL | 8.04 b | 11.84 a | 11.95 a | 11.39 a | 0.577 | 0.039 |
| IL-6, pg/mL | 96.02 | 134.68 | 84.31 | 82.54 | 8.511 | 0.099 |
| IL-8, pg/mL | 59.02 a | 41.20 b | 43.29 b | 44.86 b | 2.401 | 0.026 |
| IL-10, pg/mL | 30.20 | 47.86 | 50.38 | 39.19 | 3.124 | 0.083 |
| IL-11, pg/mL | 128.75 | 147.49 | 154.96 | 141.31 | 6.738 | 0.590 |
| IgA, μg/mL | 38.19 | 42.63 | 37.25 | 48.40 | 2.442 | 0.376 |
| IgG, μg/mL | 178.66 | 224.82 | 172.25 | 198.05 | 11.932 | 0.133 |
| IgM, μg/mL | 7.98 b | 10.05 ab | 10.67 ab | 13.77 a | 0.613 | 0.005 |
| TGF-β1, pg/mL | 124.07 | 173.61 | 157.71 | 157.96 | 9.419 | 0.298 |
| TNF-α, pg/mL | 49.56 | 58.59 | 36.59 | 37.36 | 3.499 | 0.077 |
| Item | Treatment | SEM | p-Value | |||
|---|---|---|---|---|---|---|
| CON | LL | ML | HL | |||
| SOD, U/mL | 133.13 | 187.93 | 148.78 | 150.61 | 8.121 | 0.106 |
| GSH-Px, IU/mL | 143.24 | 135.03 | 107.04 | 115.82 | 11.990 | 0.701 |
| MDA, nmol/mL | 3.06 | 3.17 | 2.57 | 3.37 | 0.162 | 0.342 |
Disclaimer/Publisher’s Note: The statements, opinions and data contained in all publications are solely those of the individual author(s) and contributor(s) and not of MDPI and/or the editor(s). MDPI and/or the editor(s) disclaim responsibility for any injury to people or property resulting from any ideas, methods, instructions or products referred to in the content. |
© 2024 by the authors. Licensee MDPI, Basel, Switzerland. This article is an open access article distributed under the terms and conditions of the Creative Commons Attribution (CC BY) license (https://creativecommons.org/licenses/by/4.0/).
Share and Cite
Tan, L.; Fan, C.; Wang, D.; Li, X.; Wang, M.; Zhuo, Z.; Li, S.; Ding, Y.; Yang, Z.; Cheng, J. The Effects of Lentinan on the Hematological and Immune Indices of Dairy Cows. Animals 2024, 14, 1314. https://doi.org/10.3390/ani14091314
Tan L, Fan C, Wang D, Li X, Wang M, Zhuo Z, Li S, Ding Y, Yang Z, Cheng J. The Effects of Lentinan on the Hematological and Immune Indices of Dairy Cows. Animals. 2024; 14(9):1314. https://doi.org/10.3390/ani14091314
Chicago/Turabian StyleTan, Lun, Caiyun Fan, Dian Wang, Xiao Li, Meng Wang, Zhao Zhuo, Shuaihong Li, Yuhang Ding, Zixi Yang, and Jianbo Cheng. 2024. "The Effects of Lentinan on the Hematological and Immune Indices of Dairy Cows" Animals 14, no. 9: 1314. https://doi.org/10.3390/ani14091314
APA StyleTan, L., Fan, C., Wang, D., Li, X., Wang, M., Zhuo, Z., Li, S., Ding, Y., Yang, Z., & Cheng, J. (2024). The Effects of Lentinan on the Hematological and Immune Indices of Dairy Cows. Animals, 14(9), 1314. https://doi.org/10.3390/ani14091314

