INSL3 Variation in Dogs Following Suppression and Recovery of the HPG Axis
Abstract
Simple Summary
Abstract
1. Introduction
2. Materials and Methods
2.1. Validation of a Heterologous Immunoassay to Measure Canine INSL3
2.2. Animals and Study Design
2.3. Statistics
2.4. Ethical Approvals
3. Results
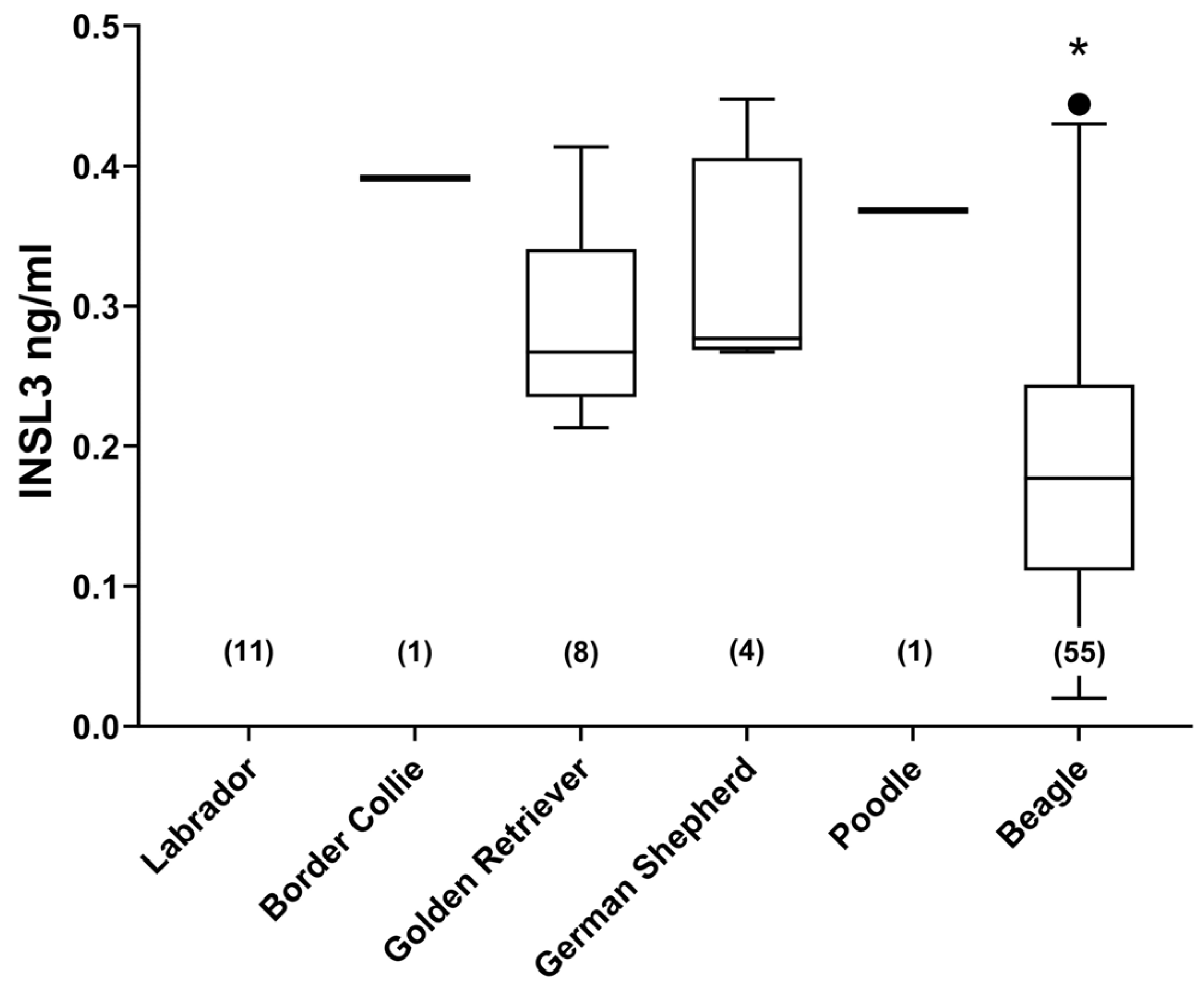
3.1. Effect of Breed, Age, and Weight
3.2. Effect of HPG Axis Suppression
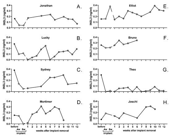
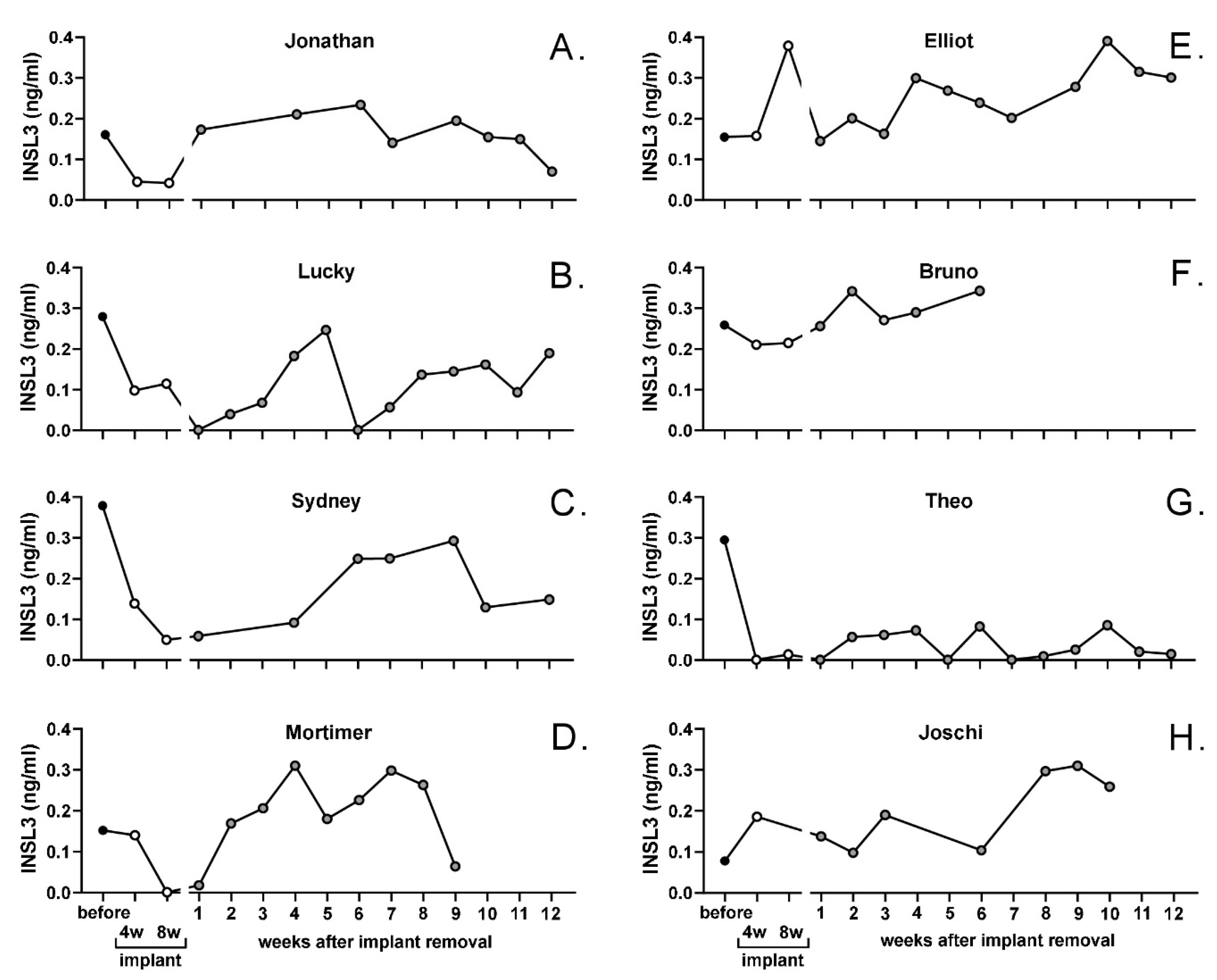
3.3. Recovery of Leydig-Cell Functional Capacity Following Removal of the Gonazon® Implant
4. Discussion
5. Conclusions
Supplementary Materials
Author Contributions
Funding
Institutional Review Board Statement
Informed Consent Statement
Data Availability Statement
Acknowledgments
Conflicts of Interest
References
- Huhtaniemi, I.T.; Wu, F.C.W. Ageing male (part I): Pathophysiology and diagnosis of functional hypogonadism. Best. Pract. Res. Clin. Endocrinol. Metab. 2022, 36, 101622. [Google Scholar] [CrossRef]
- Ivell, R.; Anand-Ivell, R. The biology of Insulin-like Factor 3 (INSL3) in human reproduction. Hum. Reprod. Update 2009, 15, 463–476. [Google Scholar] [CrossRef] [PubMed]
- Kawamura, K.; Kumagai, J.; Sudo, S.; Chun, S.Y.; Pisarska, M.; Morita, H.; Toppari, J.; Fu, P.; Wade, J.D.; Bathgate, R.A.; et al. Paracrine regulation of mammalian oocyte maturation and male germ cell survival. Proc. Natl. Acad. Sci. USA 2004, 101, 7323–7328. [Google Scholar] [CrossRef] [PubMed]
- Amory, J.K.; Page, S.T.; Anawalt, B.D.; Coviello, A.D.; Matsumoto, A.M.; Bremner, W.J. Elevated end-of-treatment serum INSL3 is associated with failure to completely suppress spermatogenesis in men receiving male hormonal contraception. J. Androl. 2007, 28, 548–554. [Google Scholar] [CrossRef] [PubMed]
- Minagawa, I.; Murata, Y.; Terada, K.; Shibata, M.; Park, E.Y.; Sasada, H.; Kohsaka, T. Evidence for the role of INSL3 on sperm production in boars by passive immunisation. Andrologia 2018, 50, e13010. [Google Scholar] [CrossRef] [PubMed]
- Ferlin, A.; Pepe, A.; Gianesello, L.; Garolla, A.; Feng, S.; Giannini, S.; Zaccolo, M.; Facciolli, A.; Morello, R.; Agoulnik, A.I.; et al. Mutations in the insulin-like factor 3 receptor are associated with osteoporosis. J. Bone Min. Res. 2008, 23, 683–693. [Google Scholar] [CrossRef] [PubMed]
- De Toni, L.; Agoulnik, A.I.; Sandri, M.; Foresta, C.; Ferlin, A. INSL3 in the muscolo-skeletal system. Mol. Cell Endocrinol. 2019, 487, 12–17. [Google Scholar] [CrossRef] [PubMed]
- Ivell, R.; Alhujaili, W.; Kohsaka, T.; Anand-Ivell, R. Physiology and evolution of the INSL3/RXFP2 hormone/receptor system in higher vertebrates. Gen. Comp. Endocrinol. 2020, 299, 113583. [Google Scholar] [CrossRef] [PubMed]
- Luan, Y.; Wu, S.; Wang, M.; Pu, Y.; Zhao, Q.; Ma, Y.; Jiang, L.; He, X. Identification of critical genes for ovine horn development based on transcriptome during the embryonic period. Biology 2023, 12, 591. [Google Scholar] [CrossRef]
- Ivell, R.; Heng, K.; Anand-Ivell, R. Insulin-Like Factor 3 and the HPG axis in the male. Front. Endocrinol. 2014, 5, 6. [Google Scholar] [CrossRef]
- Ivell, R.; Wade, J.D.; Anand-Ivell, R. INSL3 as a biomarker of Leydig cell functionality. Biol. Reprod. 2013, 88, 147. [Google Scholar] [CrossRef]
- Anand-Ivell, R.J.K.; Wohlgemuth, J.; Haren, M.T.; Hope, P.J.; Hatzinikolas, G.; Wittert, G.; Ivell, R. Peripheral INSL3 concentrations decline with age in a large population of Australian men. Int. J. Androl. 2006, 29, 618–626. [Google Scholar] [CrossRef]
- Anand-Ivell, R.; Heng, K.; Severn, K.; Antonio, L.; Bartfai, G.; Casanueva, F.F.; Huhtaniemi, I.; Giwercman, A.; Maggi, M.; O’Neill, T.W.; et al. Association of age, hormonal, and lifestyle factors with the Leydig cell biomarker INSL3 in aging men from the EMAS (European Male Aging Study) cohort. Andrology 2022, 10, 1328–1338. [Google Scholar] [CrossRef]
- Pathirana, I.N.; Yamasaki, H.; Kawate, N.; Tsuji, M.; Büllesbach, E.E.; Takahashi, M.; Hatoya, S.; Inaba, T.; Tamada, H. Plasma insulin-like peptide 3 and testosterone concentrations in male dogs: Changes with age and effects of cryptorchidism. Theriogenology 2012, 77, 550–557. [Google Scholar] [CrossRef]
- Hallberg, S.I.; Olsson, H.; Lau, A.; Wallander, S.; Snell, A.; Bergman, D.; Holst, B.S. Endocrine and dog factors associated with semen quality. Sci. Rep. 2024, 14, 718. [Google Scholar] [CrossRef] [PubMed]
- Anand-Ivell, R.; Heng, K.; Hafen, B.; Setchell, B.; Ivell, R. Dynamics of INSL3 peptide expression in the rodent testis. Biol. Reprod. 2009, 81, 480–487. [Google Scholar] [CrossRef] [PubMed]
- Chong, Y.H.; Pankhurst, M.W.; McLennan, I.S. The testicular hormones AMH, InhB, INSL3, and testosterone can be independently deficient in older men. J. Gerontol. A Biol. Sci. Med. Sci. 2017, 72, 548–553. [Google Scholar] [CrossRef] [PubMed]
- Albrethsen, J.; Johannsen, T.H.; Jørgensen, N.; Frederiksen, H.; Sennels, H.P.; Jørgensen, H.L.; Fahrenkrug, J.; Petersen, J.H.; Linneberg, A.; Nordkap, L.; et al. Evaluation of serum Insulin-like factor 3 quantification by LC-MS/MS as a biomarker of Leydig cell function. J. Clin. Endocrinol. Metab. 2020, 105, dgaa145. [Google Scholar] [CrossRef] [PubMed]
- Pan, Y.; Jing, J.; Dong, F.; Yao, Q.; Zhang, W.; Zhang, H.; Yao, B.; Dai, J. Association between phthalate metabolites and biomarkers of reproductive function in 1066 Chinese men of reproductive age. J. Hazard Mater. 2015, 300, 729–736. [Google Scholar] [CrossRef] [PubMed]
- Hanna, C.B.; Yao, S.; Patta, M.C.; Jensen, J.T.; Wu, X. Expression of insulin-like 3 (INSL3) and differential splicing of its receptor in the ovary of rhesus macaques. Reprod. Biol. Endocrinol. 2010, 8, 150. [Google Scholar] [CrossRef] [PubMed]
- Hannan, M.A.; Kawate, N.; Fukami, Y.; Weerakoon, W.W.P.N.; Büllesbach, E.E.; Inaba, T.; Tamada, H. Changes of plasma concentrations of insulin-like peptide 3 and testosterone, and their association with scrotal circumference during pubertal development in male goats. Theriogenology 2017, 92, 51–56. [Google Scholar] [CrossRef]
- Kawate, N.; Ohnari, A.; Pathirana, I.N.; Sakase, M.; Büllesbach, E.E.; Takahashi, M.; Inaba, T.; Tamada, H. Changes in plasma concentrations of insulin-like peptide 3 and testosterone from birth to pubertal age in beef bulls. Theriogenology 2011, 76, 1632–1638. [Google Scholar] [CrossRef]
- Anand-Ivell, R.; Byrne, C.J.; Arnecke, J.; Fair, S.; Lonergan, P.; Kenny, D.A.; Ivell, R. Prepubertal nutrition alters Leydig cell functional capacity and timing of puberty. PLoS ONE 2019, 14, e0225465. [Google Scholar] [CrossRef] [PubMed]
- Weerakoon, W.W.P.N.; Sakase, M.; Kawate, N.; Hannan, M.A.; Kohama, N.; Tamada, H. Plasma IGF-I, INSL3, testosterone, inhibin concentrations and scrotal circumferences surrounding puberty in Japanese Black beef bulls with normal and abnormal semen. Theriogenology 2018, 114, 54–62. [Google Scholar] [CrossRef] [PubMed]
- Minagawa, I.; Sagata, D.; Pitia, A.M.; Kohriki, H.; Shibata, M.; Sasada, H.; Hasegawa, Y.; Kohsaka, T. Dynamics of insulin-like factor 3 and its receptor expression in boar testes. J. Endocrinol. 2014, 220, 247–261. [Google Scholar] [CrossRef] [PubMed]
- Tsogtgerel, M.; Komyo, N.; Murase, H.; Hannan, M.A.; Watanabe, K.; Ohtaki, T.; Tsumagari, S.; Kawate, N.; Nambo, Y. Serum concentrations and testicular expressions of insulin-like peptide 3 and Anti-Müllerian hormone in normal and cryptorchid male horses. Theriogenology 2020, 154, 135–142. [Google Scholar] [CrossRef] [PubMed]
- Álvarez-Carretero, S.; Tamuri, A.U.; Battini, M.; Nascimento, F.F.; Carlisle, E.; Asher, R.J.; Yang, Z.; Donoghue, P.C.J.; dos Reis, M. A species-level timeline of mammal evolution integrating phylogenomic data. Nature 2022, 602, 263–267. [Google Scholar] [CrossRef] [PubMed]
- Anand-Ivell, R.; Hiendleder, S.; Viñoles, C.; Martin, G.B.; Fitzsimmons, C.; Eurich, A.; Hafen, B.; Ivell, R. INSL3 in the ruminant: A powerful indicator of gender- and genetic-specific feto-maternal dialogue. PLoS ONE 2011, 6, e19821. [Google Scholar] [CrossRef] [PubMed]
- Goericke-Pesch, S.; Spang, A.; Schulz, M.; Ozalp, G.; Bergmann, M.; Ludwig, C.; Hoffmann, B. Recrudescence of spermatogenesis in the dog following downregulation using a slow-release GnRH agonist implant. Reprod. Domest. Anim. 2009, 44 (Suppl. 2), 302–308. [Google Scholar] [CrossRef] [PubMed]
- Goericke-Pesch, S.; Wilhelm, E.; Ludwig, C.; Desmoulins, P.O.; Driancourt, M.A.; Hoffmann, B. Evaluation of the clinical efficacy of Gonazon® implants in the treatment of reproductive pathologies, behavioral problems, and suppression of reproductive function in the male dog. Theriogenology 2010, 73, 920–926. [Google Scholar] [CrossRef]
- Goericke-Pesch, S.; Gentil, M.; Spang, A.; Kowalewski, M.P.; Failing, K.; Hoffmann, B. Status of the down-regulated canine testis using two different GNRH agonist implants in comparison with the juvenile testis. Reproduction 2013, 146, 517–526. [Google Scholar] [CrossRef] [PubMed][Green Version]
- Gentil, M.; Hoffmann, B.; Spang, A.; Failing, K.; Goericke-Pesch, S. Restart of steroidogenesis in dogs during recrudescence of testicular function following downregulation with a GnRH-agonist implant. Cell Tissue Res. 2012, 350, 513–523. [Google Scholar] [CrossRef]
- Anand-Ivell, R.; Tremellen, K.; Dai, Y.; Heng, K.; Yoshida, M.; Knight, P.G.; Hale, G.E.; Ivell, R. Circulating Insulin-like factor 3 (INSL3) in healthy and infertile women. Hum. Reprod. 2013, 28, 3093–3102. [Google Scholar] [CrossRef] [PubMed]
- Rasmussen, J.J.; Albrethsen, J.; Frandsen, M.N.; Jørgensen, N.; Juul, A.; Kistorp, C. Serum Insulin-like Factor 3 levels are reduced in former androgen users, suggesting impaired Leydig cell capacity. J. Clin. Endocrinol. Metab. 2021, 106, e2664–e2672. [Google Scholar] [CrossRef]
- Sadeghian, H.; Anand-Ivell, R.; Balvers, M.; Relan, V.; Ivell, R. Constitutive regulation of the Insl3 gene in rat Leydig cells. Mol. Cell Endocrinol. 2005, 241, 10–20. [Google Scholar] [CrossRef]
- Hombach-Klonisch, S.; Schön, J.; Kehlen, A.; Blottner, S.; Klonisch, T. Seasonal expression of INSL3 and Lgr8/Insl3 receptor transcripts indicates variable differentiation of Leydig cells in the roe deer testis. Biol. Reprod. 2004, 71, 1079–1087. [Google Scholar] [CrossRef]
- Albrethsen, J.; Østergren, P.B.; Norup, P.B.; Sønksen, J.; Fode, M.; Kistorp, C.; Nordsborg, N.B.; Solheim, S.A.; Mørkeberg, J.; Main, K.M.; et al. Serum Insulin-like factor 3, testosterone, and LH in experimental and therapeutic testicular suppression. J. Clin. Endocrinol. Metab. 2023, 108, 2834–2839. [Google Scholar] [CrossRef]
- Tajar, A.; Forti, G.; O’Neill, T.W.; Lee, D.M.; Silman, A.J.; Finn, J.D.; Bartfai, G.; Boonen, S.; Casanueva, F.F.; Giwercman, A.; et al. Characteristics of secondary, primary, and compensated hypogonadism in aging men: Evidence from the European Male Ageing Study. J. Clin. Endocrinol. Metab. 2010, 95, 1810–1818. [Google Scholar] [CrossRef] [PubMed]
- Ivell, R.; Heng, K.; Severn, K.; Antonio, L.; Bartfai, G.; Casanueva, F.F.; Huhtaniemi, I.; Giwercman, A.; Maggi, M.; O’Connor, D.B.; et al. The biomarker INSL3 as a predictor of age-related morbidity: Findings from the EMAS cohort. Front. Endocrinol. 2022, 13, 1016107. [Google Scholar] [CrossRef]
- Taha, M.A.; Noakes, D.E.; Allen, W.E. Some aspects of reproductive function in the male Beagle at puberty. J. Small Anim. Pract. 1981, 22, 663–667. [Google Scholar] [CrossRef]
- Mialot, J.P.; Guerin, C.; Begon, D. Growth, testicular development and sperm output in the dog from birth to post pubertal period. Andrologia 1985, 17, 450–460. [Google Scholar] [CrossRef] [PubMed]
- Rehm, S. Spontaneous testicular lesions in purpose-bred Beagle dogs. Toxic. Pathol. 2000, 28, 782–787. [Google Scholar] [CrossRef] [PubMed]
- Martins, M.I.M.; de Souza, F.F.; Oba, E.; Lopes, M.D. The effect of season on serum testosterone concentrations in dogs. Theriogenology 2006, 66, 1603–1605. [Google Scholar] [CrossRef] [PubMed]
- Gobello, C. Prepubertal and pubertal canine reproductive studies: Conflicting aspects. Reprod. Dom. Anim. 2014, 49, e70–e73. [Google Scholar] [CrossRef]





| Species | Mean ± SD/Range (ng/mL) | References | |
|---|---|---|---|
| Rat | (Sprague Dawley) | 2.8 ± 0.2 | [16] |
| (Wistar) | 1.5 + 0.1 | [16] | |
| Mouse | 0.78 + 0.03 | [16] | |
| Human | 1.3 ± 0.5 | [12] | |
| 1.8 ± 1.1 | [17] | ||
| 1.3 (95%CI 0.9–2.7) | [18] | ||
| 0.94 ± 0.31 | [19] | ||
| Macaque | 0.44 ± 0.13 | [20] | |
| Goat | 10–30 | [21] | |
| Bull | 10–20 | [22] | |
| 3–6 | [23] | ||
| 6-10 | [24] | ||
| Pig | 10–15 | [25] | |
| Horse | 19.9 ± 17.7 | [26] | |
| Dog | 0.05–0.43 | [14] | |
| 0.09 (0.005–0.163) a | [15] | ||
Disclaimer/Publisher’s Note: The statements, opinions and data contained in all publications are solely those of the individual author(s) and contributor(s) and not of MDPI and/or the editor(s). MDPI and/or the editor(s) disclaim responsibility for any injury to people or property resulting from any ideas, methods, instructions or products referred to in the content. |
© 2024 by the authors. Licensee MDPI, Basel, Switzerland. This article is an open access article distributed under the terms and conditions of the Creative Commons Attribution (CC BY) license (https://creativecommons.org/licenses/by/4.0/).
Share and Cite
Anand-Ivell, R.; Coutinho, A.R.; Dai, Y.; England, G.; Goericke-Pesch, S.; Ivell, R. INSL3 Variation in Dogs Following Suppression and Recovery of the HPG Axis. Animals 2024, 14, 675. https://doi.org/10.3390/ani14050675
Anand-Ivell R, Coutinho AR, Dai Y, England G, Goericke-Pesch S, Ivell R. INSL3 Variation in Dogs Following Suppression and Recovery of the HPG Axis. Animals. 2024; 14(5):675. https://doi.org/10.3390/ani14050675
Chicago/Turabian StyleAnand-Ivell, Ravinder, Acacia Rebello Coutinho, Yanzhenzi Dai, Gary England, Sandra Goericke-Pesch, and Richard Ivell. 2024. "INSL3 Variation in Dogs Following Suppression and Recovery of the HPG Axis" Animals 14, no. 5: 675. https://doi.org/10.3390/ani14050675
APA StyleAnand-Ivell, R., Coutinho, A. R., Dai, Y., England, G., Goericke-Pesch, S., & Ivell, R. (2024). INSL3 Variation in Dogs Following Suppression and Recovery of the HPG Axis. Animals, 14(5), 675. https://doi.org/10.3390/ani14050675

