Methane Emission of Italian Mediterranean Buffaloes Measured Using a Laser Detector During a Lactation Cycle
Simple Summary
Abstract
1. Introduction
2. Materials and Methods
2.1. Animals, Diet, and Facilities
2.2. CH4 Emission Measurements
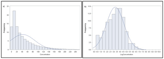
2.3. Data Process and Statistical Analysis
3. Results
3.1. Methane Emission
3.1.1. Animal-Based Factors
3.1.2. Environment-Based Effects
3.1.3. Management-Based Effects
4. Discussion
5. Conclusions
Author Contributions
Funding
Institutional Review Board Statement
Informed Consent Statement
Data Availability Statement
Conflicts of Interest
Appendix A
| ITEM | DESCRIPTION |
| Detection Method | Tunable Diode Laser Absorption Spectroscopy (TDLAS) |
| Detection Gas | Methane (CH4) or methane contained gases |
| Measurements Range | 0~50,000 ppm*m |
| Detection Distance | 0.5~30 m nominal. Actual detection distance may vary from objectives and conditions |
| Sensitivity | 5 ppm*m at a distance from 0–10 m |
| Accuracy | ±10% (100~1000) ppm*m |
| Response Time | 0.1 s |
| Alarm Range | 1–9999 ppm*m |
| Alarm Models | Audible tone, visual flash and concentration reported on the display |
| Selftest & Calibration | Built-in self-test and automatic calibration before startup |
| Laser Safety Class | In conformity with IEC60825-1.2007, a class 1 laser is equipped on this instrument as the detector and a class 2 or 3R laser used as the spotter |
| Explosion Proof | Ex ib IIA T3 Gb |
| Enclosure Protection | IP54 |
| Operating Conditions | (−20~+50) °C, (30~95)%RH (non-condensing) |
| Storage Condition | (−30~+60) °C, <90%RH (non-condensing) |
| Power Supply | Rechargeable lithium-ion battery |
| Battery Duration | ≥8 h at 25 °C under screen brightness level 3 and sound volume level 2 |
| Battery Charging Time | ≤4 h |
| Weight | <1.5 kg |
Appendix B

References
- Vignone, O. Come sta Cambiando il Numero di Aziende e Capi nel Comparto Bufalino? Ruminantia 12/06/2024. Available online: https://www.ruminantia.it/come-sta-cambiando-il-numero-di-aziende-e-capi-nel-comparto-bufalino/ (accessed on 31 October 2024).
- Banca Dati Nazionale. Anagrafe Zootecnica; Statistiche—Dettaglio Consistenza Bufalini. Available online: https://www.vetinfo.it/j6_statistiche/#/report-list/2 (accessed on 31 October 2024).
- Sabia, E.; Gauly, M.; Napolitano, F.; Cifuni, G.F.; Claps, S. The effect of different dietary treatments on volatile organic compounds and aromatic characteristics of buffalo mozzarella cheese. Int. J. Dairy Technol. 2020, 73, 594–603. [Google Scholar] [CrossRef]
- Tedeschi, L.O.; Abdalla, A.L.; Álvarez, C.; Anuga, S.W.; Arango, J.; Beauchemin, K.A.; Becquet, P.; Berndt, A.; Burns, R.; De Camillis, C.; et al. Quantification of Methane Emitted by Ruminants: A Review of Methods. J. Anim. Sci. 2022, 100, skac197. [Google Scholar] [CrossRef]
- Garnsworthy, P.C.; Difford, G.F.; Bell, M.J.; Bayat, A.R.; Huhtanen, P.; Kuhla, B.; Lassen, J.; Peiren, N.; Pszczola, M.; Sorg, D.; et al. Comparison of Methods to Measure Methane for Use in Genetic Evaluation of Dairy Cattle. Animals 2019, 9, 837. [Google Scholar] [CrossRef] [PubMed] [PubMed Central]
- Della Rosa, M.M.; Jonker, A.; Waghorn, G.C. A review of technical variations and protocols used to measure methane emissions from ruminants using respiration chambers, SF6 tracer technique and GreenFeed, to facilitate global integration of published data. Anim. Feed Sci. Technol. 2021, 279, 115018. [Google Scholar] [CrossRef]
- Bekele, W.; Guinguina, A.; Zegeye, A.; Simachew, A.; Ramin, M. Contemporary Methods of Measuring and Estimating Methane Emission from Ruminants. Methane 2022, 1, 82–95. [Google Scholar] [CrossRef]
- Uemoto, Y.; Tomaru, T.; Masuda, M.; Uchisawa, K.; Hashiba, K.; Nishikawa, Y.; Suzuki, K.; Kojima, T.; Suzuki, T.; Terada, F. Exploring Indicators of Genetic Selection Using the Sniffer Method to Reduce Methane Emissions from Holstein Cows. Anim. Biosci. 2024, 37, 173–183. [Google Scholar] [CrossRef]
- Jonker, A.; Waghorn, G.C. Guideline for Estimating Methane Emissions from Individual Ruminants Using: GreenFeed; ‘Sniffers’; Hand-Held Laser Detector and Portable Accumulation Chambers. MPI Technical Paper No: 2020/05. 2020. Available online: https://globalresearchalliance.org/publication-library/?doctype=223&research-group=212 (accessed on 31 October 2024).
- Sannino, M.; Faugno, S.; Crimaldi, M.; Di Francia, A.; Ardito, L.; Serrapica, F.; Masucci, F. Effects of an automatic milking system on milk yield and quality of Mediterranean buffaloes. J. Dairy Sci. 2018, 101, 8308–8312. [Google Scholar] [CrossRef] [PubMed]
- Sannino, M.; Faugno, S.; Serrapica, F.; Varricchio, M.L.; Grasso, F.; Di Francia, D.; Masucci, A. Automatic milking system in Mediterranean buffaloes: Experimental results and considerations. Ital. J. Anim. Sci. 2019, 18, 40–41. [Google Scholar] [CrossRef]
- Sorg, D. Measuring Livestock CH4 Emissions with the Laser Methane Detector: A Review. Methane 2022, 1, 38–57. [Google Scholar] [CrossRef]
- Chagunda, M.G.G.; Ross, D.; Roberts, D.J. On the use of a laser methane detector in dairy cows. Comput. Electron. Agric. 2009, 68, 157–160. [Google Scholar] [CrossRef]
- Chagunda, M.G.G.; Yan, T. Do Methane Measurements from a Laser Detector and an Indirect Open-Circuit Respiration Calorimetric Chamber Agree Sufficiently Closely? Anim. Feed Sci. Technol. 2011, 165, 8–14. [Google Scholar] [CrossRef]
- Chagunda, M.G.G.; Ross, D.; Rooke, J.; Yan, T.; Douglas, J.L.; Poret, L.; McEwan, N.R.; Teeranavattanakul, P.; Roberts, D.J. Measurement of enteric methane from ruminants using a hand-held laser methane detector. Acta Agric. Scand. A Anim. Sci. 2013, 63, 68–75. [Google Scholar] [CrossRef]
- Bruder, T.; Rouille, B.; Yan, T.; Chagunda, M.G.G. Towards a Robust Protocol for Enteric Methane Measurements Using a Hand Held Laser Methane Detector in Ruminants; ICAR Technical Series; ICAR: Rome, Italy, 2017; Volume 22, pp. 27–33. Available online: https://www.icar.org/wp-content/uploads/2018/01/ICAR-Technical-Series-22-Edinburgh-2018-Proceedings.pdf (accessed on 31 October 2024).
- Pickering, N.K.; Chagunda, M.G.G.; Banos, G.; Mrode, R.; McEwan, J.C.; Wall, E. Genetic parameters for predicted methane production and laser methane detector measurements. J. Anim. Sci. 2015, 93, 11–20. [Google Scholar] [CrossRef] [PubMed]
- Sorg, D.; Mühlbach, S.; Rosner, F.; Kuhla, B.; Derno, M.; Meese, S.; Schwarm, A.; Kreuzer, M.; Swalve, H. The agreement between two next-generation laser methane detectors and respiration chamber facilities in recording methane concentrations in the spent air produced by dairy cows. Comput. Electron. Agric. 2017, 143, 262–272. [Google Scholar] [CrossRef]
- Sorg, D.; Difford, G.F.; Mühlbach, S.; Kuhla, B.; Swalve, H.H.; Lassen, J.; Strabel, T.; Pszczola, M. Comparison of a laser methane detector with the greenfeed and two breath analysers for on-farm measurements of methane emissions from dairy cows. Comput. Electron. Agric. 2018, 153, 285–294. [Google Scholar] [CrossRef]
- Ricci, P.; Chagunda, M.G.G.; Rooke, J.; Houdijk, J.G.M.; Duthie, C.A.; Hyslop, J.; Roehe, R.; Waterhouse, A. Evaluation of the laser methane detector to estimate methane emissions from ewes and steers. J. Anim. Sci. 2014, 92, 5239–5250. [Google Scholar] [CrossRef] [PubMed]
- Doran, S. Development of Proxy Indicators of Methane Output by Sheep Using Rapid-Throughput Field and Laboratory Technologie. Ph.D. Thesis, Aberystwyth University, Aberystwyth, UK, 2014. [Google Scholar]
- Roessler, R.; Chefor, F.; Schlecht, E. Using a portable laser methane detector in goats to assess diurnal; diet- and position-dependent variations in enteric methane emissions. Comput. Electron. Agric. 2018, 150, 110–117. [Google Scholar] [CrossRef]
- Roessler, R.; Schlecht, E. Application of the laser methane detector for measurements in freely grazing goats: Impact on animals’ behaviour and methane emissions. Animal 2021, 15, 100070. [Google Scholar] [CrossRef] [PubMed]
- Lanzoni, L.; Chagunda, M.G.G.; Fusaro, I.; Chincarini, M.; Giammarco, M.; Atzori, A.S.; Podaliri, M.; Vignola, G. Assessment of Seasonal Variation in Methane Emissions of Mediterranean Buffaloes Using a Laser Methane Detector. Animals 2022, 12, 3487. [Google Scholar] [CrossRef]
- Meo Zilio, D.; Steri, R.; Iacurto, M.; Catillo, G.; Barile, V.; Chiariotti, A.; Cenci, F.; La Mantia, M.C.; Buttazzoni, L. Precision Livestock Farming for Mediterranean Water Buffalo: Some Applications and Opportunities from the Agridigit Project. In Safety, Health and Welfare in Agriculture and Agro-Food Systems; Biocca, M., Cavallo, E., Cecchini, M., Failla, S., Romano, E., Eds.; SHWA 2020; LNCE 252; Springer: Cham, Switzerland, 2022; pp. 41–50. [Google Scholar] [CrossRef]
- Denninger, T.M.; Schwarm, A.; Dohme-Meier, F.; Münger, A.; Bapst, B.; Wegmann, S.; Grandl, F.; Vanlierde, A.; Sorg, D.; Ortmann, S.; et al. Accuracy of methane emissions predicted from milk mid-infrared spectra and measured by laser methane detectors in Brown Swiss dairy cows. J. Dairy Sci. 2020, 103, 2024–2039. [Google Scholar] [CrossRef] [PubMed]
- Sejian, V.; Lal, R.; Lakritz, J.; Ezeji, T. Measurement and Prediction of Enteric Methane Emission. Int. J. Biometeorol. 2011, 55, 1–16. [Google Scholar] [CrossRef]
- Patra, A.K. Prediction of enteric methane emission from buffaloes using statistical models. Agric. Ecosyst. Environ. 2014, 195, 139–148. [Google Scholar] [CrossRef]
- Cóndor, R.D.; Valli, L.; De Rosa, G.; Di Francia, A.; De Lauretis, R. Estimation of the methane emission factor for the Italian Mediterranean buffalo. Animal 2008, 2, 1247–1253. [Google Scholar] [CrossRef]
- Xue, B.; Wang, L.Z.; Yan, T. Methane emission inventories for enteric fermentation and manure management of yak, buffalo and dairy and beef cattle in China from 1988 to 2009. Agric. Ecosyst. Environ. 2014, 195, 202–210. [Google Scholar] [CrossRef]
- Popa, D.; Popa, R.; Vidu, L.; Nicolae, C. Emission of Methane from Enteric Fermentation of Cattle and Buffaloes in Romania between 1989-2014. Agric. Agric. Sci. Procedia 2016, 10, 289–298. [Google Scholar] [CrossRef]
- Malik, P.K.; Trivedi, S.; Mohapatra, A.; Kolte, A.P.; Sejian, V.; Bhatta, R.; Rahman, H. Comparison of enteric methane yield and diversity of ruminal methanogens in cattle and buffaloes fed on the same diet. PLoS ONE 2021, 16, e0256048. [Google Scholar] [CrossRef]
- Catillo, G.; Macciotta, N.P.P.; Carretta, A.; Cappio-Borlino, A. Effects of Age and Calving Season on Lactation Curves of Milk Production Traits in Italian Water Buffaloes. J. Dairy Sci. 2002, 85, 1298–1306. [Google Scholar] [CrossRef]
- AOAC. Official Methods of Analysis; AOAC: Gaithersburg, MD, USA, 1990; Volume 1. [Google Scholar]
- Van Soest, P.J.; Robertson, J.B.; Lewis, B.A. Methods for dietary fiber; neutral detergent fiber; and nonstarch polysaccharides in relation to animal nutrition. J. Dairy Sci. 1991, 74, 3583–3597. [Google Scholar] [CrossRef] [PubMed]
- Boré, R.; Bruder, T.; El Jabri, M.; March, M.; Hargreaves, P.R.; Rouillé, B.; Dewhurst, R.J.; Chagunda, M.G.G. Measurement Duration but Not Distance, Angle, and Neighbour-Proximity Affects Precision in Enteric Methane Emissions when Using the Laser Methane Detector Technique in Lactating Dairy Cows. Animals 2022, 12, 1295. [Google Scholar] [CrossRef]
- Bell, M.J.; Garnsworthy, P.; Mallis, D.; Eckard, R.; Moate, P.; Yan, T. Modified Approach to Estimating Daily Methane Emissions of Dairy Cows by Measuring Filtered Eructations during Milking. Landbauforschung 2019, 69, 47–56. [Google Scholar] [CrossRef]
- Niero, G.; Cendron, F.; Penasa, M.; De Marchi, M.; Cozzi, G.; Cassandro, M. Repeatability and Reproducibility of Measures of Bovine Methane Emissions Recorded Using a Laser Detector. Animals 2020, 10, 606. [Google Scholar] [CrossRef] [PubMed]
- SAS. SAS/STAT User’s Guide, Version 9.4 ed; SAS Institute Inc.: Cary, NC, USA, 2010. [Google Scholar]
- de Vries, M.B.E.; Engel, B.; den Uijl, I.; van Schaik, G.; Dijkstra, T.; de Boer, I.J.M.; Bokkers, E.A.M. Assessment time of the welfare quality® protocol for dairy cattle. Anim. Welf. 2013, 22, 85–93. [Google Scholar] [CrossRef]
- Sharma, A.; Phillips, C.J.C. Avoidance Distance in Sheltered Cows and Its Association with Other Welfare Parameters. Animals 2019, 9, 396. [Google Scholar] [CrossRef] [PubMed]
- Gaviria-Uribe, X.; Bolivar, D.M.; Rosenstock, T.S.; Molina-Botero, I.C.; Chirinda, N.; Barahona, R.; Arango, J. Nutritional Quality, Voluntary Intake and Enteric Methane Emissions of Diets Based on Novel Cayman Grass and Its Associations With Two Leucaena Shrub Legumes. Front. Vet. Sci. 2020, 7, 579189. [Google Scholar] [CrossRef] [PubMed]
- Santander, D.; Clariget, J.; Banchero, G.; Alecrim, F.; Simon Zinno, C.; Mariotta, J.; Gere, J.; Ciganda, V.S. Beef Steers and Enteric Methane: Reducing Emissions by Managing Forage Diet Fiber Content. Animals 2023, 13, 1177. [Google Scholar] [CrossRef]
- Benaouda, M.; González-Ronquillo, M.; Avilés-Nova, F.; Vázquez-Carrillo, M.F.; Castelan-Ortega, O. Effect of Fiber Digestibility on Methane Emission, Milk Production and Quality in Dairy Cattle. Arch. Latinoam. Prod. Anim. 2023, 31, 213–220. [Google Scholar] [CrossRef]
- Dimauro, C.; Catillo, G.; Bacciu, N.; Macciotta, N.P.P. Fit of different models to the laction curve of Italian water buffalo. Ital. J. Anim. Sci. 2005, 4, 22–24. [Google Scholar] [CrossRef]
- Lassen, J.; Løvendahl, P. Heritability estimates for enteric methane emissions from Holstein cattle measured using noninvasive methods. J. Dairy Sci. 2015, 99, 1959–1967. [Google Scholar] [CrossRef]
- Bell, M.J.; Potterton, S.L.; Craigon, J.; Saunders, N.; Wilcox, R.H.; Hunter, M.; Goodman, J.R.; Garnsworthy, P.C. Variation in Enteric Methane Emissions among Cows on Commercial Dairy Farms. Animal 2014, 8, 1540–1546. [Google Scholar] [CrossRef] [PubMed]
- Garnsworthy, P.C.; Craigon, J.; Hernandez-Medrano, J.H.; Saunders, N. Variation among Individual Dairy Cows in Methane Measurements Made on Farm during Milking. J. Dairy Sci. 2012, 95, 3181–3189. [Google Scholar] [CrossRef]
- Luna-Palomera, C.; Domínguez-Viveros, J.; Aguilar-Palma, G.N.; Castillo-Rangel, F.; Sánchez-Dávila, F.; Macías-Cruz, U. Analysis of the lactation curve of Murrah Buffaloes with mixed non-linear models. Chilean J. Agric. Anim. Sci. 2021, 37, 200–208. [Google Scholar] [CrossRef]
- Yadav, S.P.; Sikka, P.; Kumar, D.; Sarkar, S.; Pandey, A.K.; Yadav, P.S.; Sethi, R.K. Variation in milk constituents during different parity and seasons in Murrah buffaloes. Indian J. Anim. Sci. 2013, 83, 747–751. Available online: https://www.researchgate.net/publication/263917725 (accessed on 31 October 2024).
- Bell, M.; Craigon, J.; Saunders, N.; Goodman, J.; Garnsworthy, P. Does the diurnal pattern of enteric methane emissions from dairy cows change over time? Animal 2018, 12, 2065–2070. [Google Scholar] [CrossRef]
- Hardan, A.; Garnsworthy, P.C.; Bell, M.J. Variability in Enteric Methane Emissions among Dairy Cows during Lactation. Animals 2023, 13, 157. [Google Scholar] [CrossRef]
- Adyatama, A.; Muktiani, A.; Samsudewa, D. Correlation Between Consumption of Nutrient with Milk Production and Milk Quality in Dairy Cow. IOP Conf. Ser. Earth Environ. Sci. 2024, 1364, 012088. [Google Scholar] [CrossRef]
- Harder, I.; Stamer, E.; Junge, W.; Thaller, G. Lactation curves and model evaluation for feed intake and energy balance in dairy cows. J. Dairy Sci. 2019, 102, 7204–7216. [Google Scholar] [CrossRef] [PubMed]
- Wankar, A.K.; Singh, G.; Yadav, B. Biochemical profile and methane emission during controlled thermal stress in buffaloes (Bubalus Bubalis). Buffalo Bull. 2017, 36, 35–42. [Google Scholar]
- Talukdar, P.; Kundu, S.S.; Mondal, G. Quantification of methane emissions from Murrah buffaloes fed different energy diets during various temperature humidity index periods in a tropical environment. Anim. Prod. Sci. 2017, 59, 169–176. [Google Scholar] [CrossRef]
- Tavolaro, F.M.; Thomson, L.M.; Ross, A.W.; Morgan, P.J.; Helfer, G. Photoperiodic effects on seasonal physiology, reproductive status and hypothalamic gene expression in young male F344 rats. J. Neuroendocrinol. 2015, 27, 79–87. [Google Scholar] [CrossRef] [PubMed]
- Lim, D.H.; Kim, T.I.; Park, S.M.; Ki, K.S.; Kim, Y. Effects of photoperiod and light intensity on milk production and milk composition of dairy cows in automatic milking system. J. Anim. Sci. Technol. 2021, 63, 626–639. [Google Scholar] [CrossRef] [PubMed]
- Kumar, A.; Kumar Mandal, D. 2022 Order of entry at milking and its relationship with milk yield, udder health and milk composition in jersey crossbred cows. Pharma Innov. J. 2022, 11, 298–301. [Google Scholar]
- Rathore, A.K. Order of cow entry at milking and its relationships with milk yield and consistency of the order. Appl. Anim. Ethol. 1982, 8, 45–52. [Google Scholar] [CrossRef]
- Cutress, D.; Williams, C. Rumen Fill Scoring for Monitoring Health in Dairy Cows. Farming Connect 2020. Available online: https://pure.aber.ac.uk/ws/portalfiles/portal/49882088/Rumen_fill_scoring_for_monitoring_health_in_dairy_cows..pdf (accessed on 9 December 2024).
- Goopy, J.P.; Donaldson, A.; Hegarty, R.; Vercoe, P.E.; Haynes, F.; Barnett, M.; Oddy, V.H. Low-methane yield sheep have smaller rumens and shorter rumen retention time. Br. J. Nutr. 2014, 111, 578–585. [Google Scholar] [CrossRef] [PubMed]









| DM % | CP % | NDF % | ADF % | ADL % | Ash % |
|---|---|---|---|---|---|
| 70.23 ± 1.19 | 15.69 ± 1.15 | 53.56 ± 4.25 | 26.71 ± 2.28 | 6.67 ± 1.40 | 6.67 ± 1.40 |
| Factor | DF Num * | DF Den * | F-Value | Pr > F |
|---|---|---|---|---|
| (DIM) DIM Class | 13 | 4.50 × 105 | 70.08 | <0.0001 |
| (P) Parity | 4 | 4.50 × 105 | 18.92 | <0.0001 |
| (M) Month | 9 | 4.50 × 105 | 86.81 | <0.0001 |
| (LO) Laser Operator | 4 | 4.50 × 105 | 204.15 | <0.0001 |
| (MO) Milking order | 19 | 4.50 × 105 | 59.45 | <0.0001 |
| (MS) Milking session | 1 | 4.50 × 105 | 1725.66 | <0.0001 |
| (R) Rumination | 1 | 4.50 × 105 | 2.59 | 0.3024 |
| (MWO) Mixer wagon operator | 3 | 4.50 × 105 | 130.92 | <0.0001 |
| Parity | LW |
|---|---|
| 2 | 719.3 ± 63.7 |
| 3 | 736.6 ± 60.3 |
| 4 | 740.7 ± 47.2 |
| 5 | 741.6 ± 35.9 |
| 6 | 746.4 ± 13.1 |
Disclaimer/Publisher’s Note: The statements, opinions and data contained in all publications are solely those of the individual author(s) and contributor(s) and not of MDPI and/or the editor(s). MDPI and/or the editor(s) disclaim responsibility for any injury to people or property resulting from any ideas, methods, instructions or products referred to in the content. |
© 2024 by the authors. Licensee MDPI, Basel, Switzerland. This article is an open access article distributed under the terms and conditions of the Creative Commons Attribution (CC BY) license (https://creativecommons.org/licenses/by/4.0/).
Share and Cite
Meo Zilio, D.; Iacurto, M.; Cenci, F.; Steri, R. Methane Emission of Italian Mediterranean Buffaloes Measured Using a Laser Detector During a Lactation Cycle. Animals 2024, 14, 3652. https://doi.org/10.3390/ani14243652
Meo Zilio D, Iacurto M, Cenci F, Steri R. Methane Emission of Italian Mediterranean Buffaloes Measured Using a Laser Detector During a Lactation Cycle. Animals. 2024; 14(24):3652. https://doi.org/10.3390/ani14243652
Chicago/Turabian StyleMeo Zilio, David, Miriam Iacurto, Francesco Cenci, and Roberto Steri. 2024. "Methane Emission of Italian Mediterranean Buffaloes Measured Using a Laser Detector During a Lactation Cycle" Animals 14, no. 24: 3652. https://doi.org/10.3390/ani14243652
APA StyleMeo Zilio, D., Iacurto, M., Cenci, F., & Steri, R. (2024). Methane Emission of Italian Mediterranean Buffaloes Measured Using a Laser Detector During a Lactation Cycle. Animals, 14(24), 3652. https://doi.org/10.3390/ani14243652

