Use of Different Synbiotic Strategies to Improve Gut Health in Dogs
Simple Summary
Abstract
1. Introduction
2. Materials and Methods
2.1. Diets
2.2. Experimental Design
2.3. Analytical Methods
2.4. Calculations
2.5. Statistical Analysis
3. Results
3.1. Fecal Quality
3.2. Apparent Digestibility of Nutrients and Metabolizable Energy
3.3. Fermentative Products in the Feces
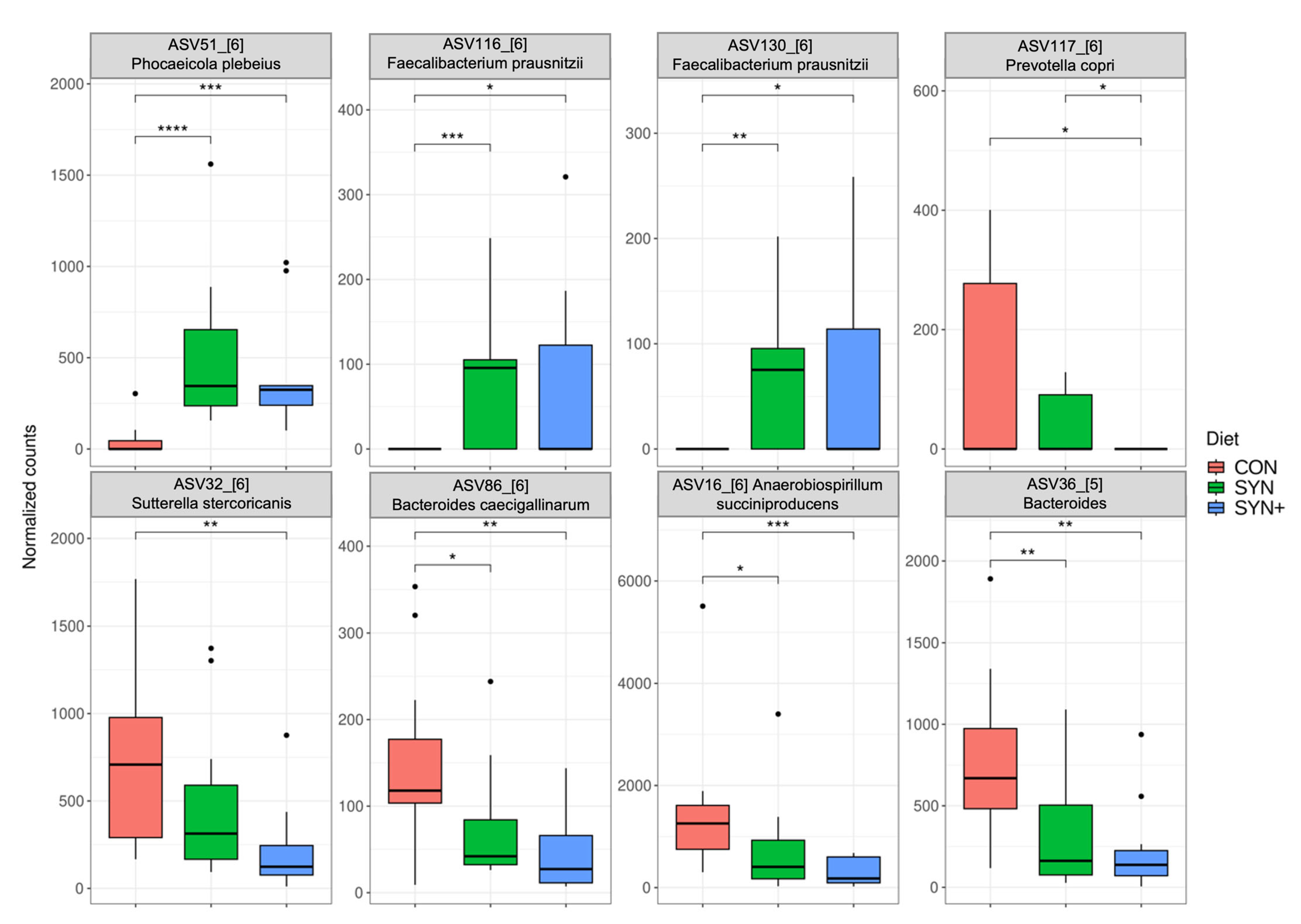
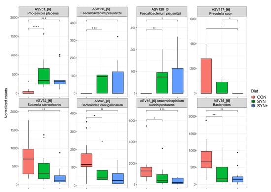
3.4. Fecal Microbiota
3.5. Serum Biochemistry and Immune Parameters
4. Discussion
4.1. Effects Driven by the Synbiotic Combination
4.2. Specific Effects Associated with SDP Supplementation
5. Conclusions
Supplementary Materials
Author Contributions
Funding
Institutional Review Board Statement
Informed Consent Statement
Data Availability Statement
Acknowledgments
Conflicts of Interest
References
- Ramirez, D.; Abellán-Victorio, A.; Beretta, V.; Camargo, A.; Moreno, D.A. Functional Ingredients from Brassicaceae Species: Overview and Perspectives. Int. J. Mol. Sci. 2020, 21, 1998. [Google Scholar] [CrossRef]
- Food and Agriculture Organization of the United Nations. FAO Term Portal 2024. Available online: https://www.fao.org/faoterm/viewentry/en/?entryId=170967 (accessed on 4 November 2024).
- Roberfroid, M. Functional Food Concept and Its Application to Prebiotics. Dig. Liver Dis. 2002, 34, S105–S110. [Google Scholar] [CrossRef]
- Granato, D.; Nunes, D.S.; Barba, F.J. An Integrated Strategy between Food Chemistry, Biology, Nutrition, Pharmacology, and Statistics in the Development of Functional Foods: A Proposal. Trends Food Sci. Technol. 2017, 62, 13–22. [Google Scholar] [CrossRef]
- Gibson, G.R.; Hutkins, R.; Sanders, M.E.; Prescott, S.L.; Reimer, R.A.; Salminen, S.J.; Scott, K.; Stanton, C.; Swanson, K.S.; Cani, P.D.; et al. Expert Consensus Document: The International Scientific Association for Probiotics and Prebiotics (ISAPP) Consensus Statement on the Definition and Scope of Prebiotics. Nat. Rev. Gastroenterol. Hepatol. 2017, 14, 491–502. [Google Scholar] [CrossRef] [PubMed]
- Patra, A.K. Responses of Feeding Prebiotics on Nutrient Digestibility, Faecal Microbiota Composition and Short-Chain Fatty Acid Concentrations in Dogs: A Meta-Analysis. Animal 2011, 5, 1743–1750. [Google Scholar] [CrossRef] [PubMed]
- Yu, C.; Ahmadi, S.; Shen, S.; Wu, D.; Xiao, H.; Ding, T.; Liu, D.; Ye, X.; Chen, S. Structure and Fermentation Characteristics of Five Polysaccharides Sequentially Extracted from Sugar Beet Pulp by Different Methods. Food Hydrocoll. 2022, 126, 107462. [Google Scholar] [CrossRef]
- Middelbos, I.S.; Fastinger, N.D.; Fahey, G.C. Evaluation of Fermentable Oligosaccharides in Diets Fed to Dogs in Comparison to Fiber Standards. J. Anim. Sci. 2007, 85, 3033–3044. [Google Scholar] [CrossRef] [PubMed]
- Hill, C.; Guarner, F.; Reid, G.; Gibson, G.R.; Merenstein, D.J.; Pot, B.; Morelli, L.; Canani, R.B.; Flint, H.J.; Salminen, S. Expert Consensus Document: The International Scientific Association for Probiotics and Prebiotics Consensus Statement on the Scope and Appropriate Use of the Term Probiotic. Nat. Rev. Gastroenterol. Hepatol. 2014, 11, 506–514. [Google Scholar] [CrossRef]
- Strompfová, V.; Lauková, A. Isolation and Characterization of Faecal Bifidobacteria and Lactobacilli Isolated from Dogs and Primates. Anaerobe 2014, 29, 108–112. [Google Scholar] [CrossRef]
- Grześkowiak, Ł.; Endo, A.; Beasley, S.; Salminen, S. Microbiota and Probiotics in Canine and Feline Welfare. Anaerobe 2015, 34, 14–23. [Google Scholar] [CrossRef]
- Schmitz, S.; Suchodolski, J. Understanding the Canine Intestinal Microbiota and Its Modification by Pro-, Pre- and Synbiotics—What Is the Evidence? Vet. Med. Sci. 2016, 2, 71–94. [Google Scholar] [CrossRef] [PubMed]
- Kubašová, I.; Lauková, A.; Hamarová, Ľ.; Pristaš, P.; Strompfová, V. Evaluation of Enterococci for Potential Probiotic Utilization in Dogs. Folia Microbiol. 2019, 64, 177–187. [Google Scholar] [CrossRef]
- Schauf, S.; Nakamura, N.; Castrillo, C. Effect of Calsporin® (Bacillus Subtilis C-3102) Addition to the Diet on Faecal Quality and Nutrient Digestibility in Healthy Adult Dogs. J. Appl. Anim. Nutr. 2019, 7, e3. [Google Scholar] [CrossRef]
- Kahraman, O.; Gurbuz, E.; Inal, F.; Arık, H.D.; Alatas, M.S.; Inanc, Z.S.; Ahmed, I. Effects of Bacillus Subtilis C-3102 Addition on Nutrient Digestibility, Faecal Characteristics, Blood Chemistry and Faecal Lactobacilli spp., Enterococci spp. and Escherichia Coli in Healthy Dogs. Ital. J. Anim. Sci. 2023, 22, 568–577. [Google Scholar] [CrossRef]
- Félix, A.P.; Netto, M.V.T.; Murakami, F.Y.; Brito, C.B.M.d.; de Oliveira, S.G.; Maiorka, A. Digestibility and Fecal Characteristics of Dogs Fed with Bacillus Subtilis in Diet. Ciênc. Rural 2010, 40, 2169–2173. [Google Scholar] [CrossRef]
- de Lima, D.C.; Souza, C.M.M.; Nakamura, N.; Mesa, D.; de Oliveira, S.G.; Félix, A.P. Dietary Supplementation with Bacillus Subtilis C-3102 Improves Gut Health Indicators and Fecal Microbiota of Dogs. Anim. Feed. Sci. Technol. 2020, 270, 114672. [Google Scholar] [CrossRef]
- Pandey, K.R.; Naik, S.R.; Vakil, B.V. Probiotics, Prebiotics and Synbiotics—A Review. J. Food Sci. Technol. 2015, 52, 7577–7587. [Google Scholar] [CrossRef]
- Hamasalim, H.J. Synbiotic as Feed Additives Relating to Animal Health and Performance. Adv. Microbiol. 2016, 6, 288–302. [Google Scholar] [CrossRef]
- Ogué-Bon, E.; Khoo, C.; McCartney, A.L.; Gibson, G.R.; Rastall, R.A. In Vitro Effects of Synbiotic Fermentation on the Canine Faecal Microbiota. FEMS Microbiol. Ecol. 2010, 73, 587–600. [Google Scholar] [CrossRef][Green Version]
- Tanprasertsuk, J.; Jha, A.R.; Shmalberg, J.; Jones, R.B.; Perry, L.A.M.; Maughan, H.; Honaker, R.W. The Microbiota of Healthy Dogs Demonstrates Individualized Responses to Synbiotic Supplementation in a Randomized Controlled Trial. Anim. Microbiome 2021, 3, 36. [Google Scholar] [CrossRef]
- Gagné, J.W.; Wakshlag, J.J.; Simpson, K.W.; Dowd, S.E.; Latchman, S.; Brown, D.A.; Brown, K.; Swanson, K.S.; Fahey, G.C. Effects of a Synbiotic on Fecal Quality, Short-Chain Fatty Acid Concentrations, and the Microbiome of Healthy Sled Dogs. BMC Vet. Res. 2013, 9, 246. [Google Scholar] [CrossRef]
- Campbell, J.M.; Crenshaw, J.D.; González-Esquerra, R.; Polo, J. Impact of Spray-Dried Plasma on Intestinal Health and Broiler Performance. Microorganisms 2019, 7, 219. [Google Scholar] [CrossRef]
- Torrallardona, D.; Conde, M.R.; Badiola, I.; Polo, J.; Brufau, J. Effect of Fishmeal Replacement with Spray-Dried Animal Plasma and Colistin on Intestinal Structure, Intestinal Microbiology, and Performance of Weanling Pigs Challenged with Escherichia Coli K99. J. Anim. Sci. 2003, 81, 1220–1226. [Google Scholar] [CrossRef]
- Ferreira, A.S.; Barbosa, F.F.; Tokach, M.D.; Santos, M. Spray Dried Plasma for Pigs Weaned at Different Ages. In Recent Patents on Food, Nutrition & Agriculture; Bentham Science Publishers: Sharjah, United Arab Emirates, 2009; Volume 1, pp. 231–235. [Google Scholar]
- Pérez-Bosque, A.; Polo, J.; Torrallardona, D. Spray Dried Plasma as an Alternative to Antibiotics in Piglet Feeds, Mode of Action and Biosafety. Porc. Heal. Manag. 2016, 2, 16. [Google Scholar] [CrossRef] [PubMed]
- Polo, J.; Rodríguez, C.; Saborido, N.; Ródenas, J. Functional Properties of Spray-Dried Animal Plasma in Canned Petfood. Anim. Feed. Sci. Technol. 2005, 122, 331–343. [Google Scholar] [CrossRef]
- Quigley, J.D.; Campbell, J.M.; Polo, J.; Russell, L.E. Effects of Spray-Dried Animal Plasma on Intake and Apparent Digestibility in Dogs. J. Anim. Sci. 2004, 82, 1685–1692. [Google Scholar] [CrossRef] [PubMed]
- De Andrade, T.; De Lima, D.C.; Domingues, L.P.; Félix, A.P.; De Oliveira, S.G.; Maiorka, A. Spray-Dried Porcine Plasma in Dog Foods: Implications on Digestibility, Palatability and Haematology. Semin. Cienc. Agrar. 2019, 40, 1287–1296. [Google Scholar] [CrossRef]
- Rodriguez, C.; Blanch, F.; Romano, V.; Saborido, N.; Rodenas, J.; Polo, J. Porcine Immunoglobulins Survival in the Intestinal Tract of Adult Dogs and Cats Fed Dry Food Kibbles Containing Spray-Dried Porcine Plasma (SDPP) or Porcine Immunoglobulin Concentrate (PIC). Anim. Feed. Sci. Technol. 2007, 139, 201–211. [Google Scholar] [CrossRef]
- Lynch, A.; Cogan, T.; Hall, E.; Day, M. Use of an In-Vitro Model of the Canine Gut Epithelium to Study Interactions with Campylobacter and E coli. In BSAVA Congress; British Small Animal Veterinary Association; Quedgeley, UK, 2011. [Google Scholar]
- Association of Official Analytical Chemist (AOAC). Official Methods of Analysis, 16th ed.; AOAC International: Arlington, TX, USA, 1995. [Google Scholar]
- Richardson, A.J.; Calder, A.G.; Stewart, C.S.; Smith, A. Simultaneous Determination of Volatile and Non-volatile Acidic Fermentation Products of Anaerobes by Capillary Gas Chromatography. Lett. Appl. Microbiol. 1989, 9, 5–8. [Google Scholar] [CrossRef]
- Jensen, M.T.; Cox, R.P.; Jensen, B.B. Microbial Production of Skatole in the Hind Gut of Pigs given Different Diets and Its Relation to Skatole Deposition in Backfat. Anim. Sci. 1995, 61, 293–304. [Google Scholar] [CrossRef]
- Arango Pulgarín, G.; Pérez Naranjo, J.C. Nitrate and Ammonium Determination in Soils Using Ion Selective Electrodes. Rev. Fac. Nac. Agron. Medellín 2005, 58, 2733–2740. [Google Scholar]
- BS-EN-15784-2009; Animal feeding stuffs—Isolation and enumeration of presumptive Bacillus spp. British Standard: London, UK, 2009; ICS 65.120.
- Klindworth, A.; Pruesse, E.; Schweer, T.; Peplies, J.; Quast, C.; Horn, M.; Glöckner, F.O. Evaluation of General 16S Ribosomal RNA Gene PCR Primers for Classical and Next-Generation Sequencing-Based Diversity Studies. Nucleic Acids Res. 2013, 41, e1. [Google Scholar] [CrossRef] [PubMed]
- Bolyen, E.; Rideout, J.R.; Dillon, M.R.; Bokulich, N.A.; Abnet, C.C.; Al-Ghalith, G.A.; Alexander, H.; Alm, E.J.; Arumugam, M.; Asnicar, F.; et al. Reproducible, Interactive, Scalable and Extensible Microbiome Data Science Using QIIME 2. Nat. Biotechnol. 2019, 37, 852–857. [Google Scholar] [CrossRef] [PubMed]
- Callahan, B.J.; McMurdie, P.J.; Rosen, M.J.; Han, A.W.; Johnson, A.J.A.; Holmes, S.P. DADA2: High-Resolution Sample Inference from Illumina Amplicon Data. Nat. Methods 2016, 13, 581–583. [Google Scholar] [CrossRef] [PubMed]
- Altschul, S.F.; Gish, W.; Miller, W.; Myers, E.W.; Lipman, D.J. Basic Local Alignment Search Tool. J. Mol. Biol. 1990, 215, 403–410. [Google Scholar] [CrossRef]
- Bokulich, N.A.; Kaehler, B.D.; Rideout, J.R.; Dillon, M.; Bolyen, E.; Knight, R.; Huttley, G.A.; Gregory Caporaso, J. Optimizing Taxonomic Classification of Marker-Gene Amplicon Sequences with QIIME 2’s Q2-Feature-Classifier Plugin. Microbiome 2018, 6, 90. [Google Scholar] [CrossRef] [PubMed]
- Weiss, S.; Xu, Z.Z.; Peddada, S.; Amir, A.; Bittinger, K.; Gonzalez, A.; Lozupone, C.; Zaneveld, J.R.; Vázquez-Baeza, Y.; Birmingham, A.; et al. Normalization and Microbial Differential Abundance Strategies Depend upon Data Characteristics. Microbiome 2017, 5, 27. [Google Scholar] [CrossRef] [PubMed]
- Dixon, P. VEGAN, a Package of R Functions for Community Ecology. J. Veg. Sci. 2003, 14, 927–930. [Google Scholar] [CrossRef]
- Ritchie, M.E.; Phipson, B.; Wu, D.; Hu, Y.; Law, C.W.; Shi, W.; Smyth, G.K. Limma Powers Differential Expression Analyses for RNA-Sequencing and Microarray Studies. Nucleic Acids Res. 2015, 43, e47. [Google Scholar] [CrossRef]
- FEDIAF. Nutritional Guidelines for Complete and Complementary Pet Food for Cats and Dogs; FEDIAF: Brussels, Belgium, 2021. [Google Scholar]
- Mallick, H.; Rahnavard, A.; McIver, L.J.; Ma, S.; Zhang, Y.; Nguyen, L.H.; Tickle, T.L.; Weingart, G.; Ren, B.; Schwager, E.H.; et al. Multivariable Association Discovery in Population-Scale Meta-Omics Studies. PLoS Comput. Biol. 2021, 17, e1009442. [Google Scholar] [CrossRef]
- Moreno, A.A.; Parker, V.J.; Winston, J.A.; Rudinsky, A.J. Dietary Fiber Aids in the Management of Canine and Feline Gastrointestinal Disease. J. Am. Vet. Med. Assoc. 2022, 260, S33–S45. [Google Scholar] [CrossRef]
- Pinna, C.; Biagi, G. The Utilisation of Prebiotics and Synbiotics in Dogs. Ital. J. Anim. Sci. 2014, 13, 169–178. [Google Scholar] [CrossRef]
- Pierce, J.L.; Cromwell, G.L.; Lindemann, M.D.; Russell, L.E.; Weaver, E.M. Effects of Spray-Dried Animal Plasma and Immunoglobulins on Performance of Early Weaned Pigs. J. Anim. Sci. 2005, 83, 2876–2885. [Google Scholar] [CrossRef]
- Lallès, J.P.; Bosi, P.; Janczyk, P.; Koopmans, S.J.; Torrallardona, D. Impact of Bioactive Substances on the Gastrointestinal Tract and Performance of Weaned Piglets: A Review. Animal 2009, 3, 1625–1643. [Google Scholar] [CrossRef] [PubMed]
- Burrows, C.F.; Kronfeld, D.S.; Banta, C.A.; Merritt, A.M. Effects of Fiber on Digestibility and Transit Time in Dogs. J. Nutr. 1982, 112, 1726–1732. [Google Scholar] [CrossRef] [PubMed]
- Montserrat-Malagarriga, M.; Castillejos, L.; Salas-Mani, A.; Torre, C.; Martín-Orúe, S.M. The Impact of Fiber Source on Digestive Function, Fecal Microbiota, and Immune Response in Adult Dogs. Animals 2024, 14, 196. [Google Scholar] [CrossRef] [PubMed]
- Wenk, C. The Role of Dietary Fibre in the Digestive Physiology of the Pig. Anim. Feed. Sci. Technol. 2001, 90, 21–33. [Google Scholar] [CrossRef]
- Kienzle, E.; Opitz, B.; Earle, K.E.; Smith, P.M.; Maskell, I.E. The Influence of Dietary Fibre Components on the Apparent Digestibility of Organic Matter and Energy in Prepared Dog and Cat Foods. J. Anim. Physiol. Anim. Nutr. 1998, 79, 46–56. [Google Scholar] [CrossRef]
- Diez, M.; Van Eenaeme, C.; Hornick, J.L.; Baldwin, P.; Istasse, L. Dietary Fibre in Dogs Diet: Comparisons between Cellulose, Pectin, Guar Gum, and between Two Incorporation Rates of Guar Gum. J. Anim. Physiol. Anim. Nutr. 1997, 78, 220–229. [Google Scholar] [CrossRef]
- Sivamaruthi, B.S.; Kesika, P.; Chaiyasut, C. A Mini-Review of Human Studies on Cholesterol-Lowering Properties of Probiotics. Sci. Pharm. 2019, 87, 26. [Google Scholar] [CrossRef]
- Sivamaruthi, B.S.; Kesika, P.; Chaiyasut, C. Influence of Probiotic Supplementation on Health Status of the Dogs: A Review. Appl. Sci. 2021, 11, 11384. [Google Scholar] [CrossRef]
- Ramos, H.C.; Hoffmann, T.; Marino, M.; Nedjari, H.; Presecan-Siedel, E.; Dreesen, O.; Glaser, P.; Jahn, D. Fermentative Metabolism of Bacillus Subtilis: Physiology and Regulation of Gene Expression. J. Bacteriol. 2000, 182, 3072–3080. [Google Scholar] [CrossRef]
- Xiong, R.G.; Zhou, D.D.; Wu, S.X.; Huang, S.Y.; Saimaiti, A.; Yang, Z.J.; Shang, A.; Zhao, C.N.; Gan, R.Y.; Li, H. Bin Health Benefits and Side Effects of Short-Chain Fatty Acids. Foods 2022, 11, 2863. [Google Scholar] [CrossRef]
- Middelbos, I.S.; Boler, B.M.V.; Qu, A.; White, B.A.; Swanson, K.S.; Fahey, G.C. Phylogenetic Characterization of Fecal Microbial Communities of Dogs Fed Diets with or Without Supplemental Dietary Fiber Using 454 Pyrosequencing. PLoS ONE 2010, 5, e9768. [Google Scholar] [CrossRef]
- Hand, D.; Wallis, C.; Colyer, A.; Penn, C.W. Pyrosequencing the Canine Faecal Microbiota: Breadth and Depth of Biodiversity. PLoS ONE 2013, 8, e53115. [Google Scholar] [CrossRef]
- Coelho, L.P.; Kultima, J.R.; Costea, P.I.; Fournier, C.; Pan, Y.; Czarnecki-Maulden, G.; Hayward, M.R.; Forslund, S.K.; Schmidt, T.S.B.; Descombes, P.; et al. Similarity of the Dog and Human Gut Microbiomes in Gene Content and Response to Diet. Microbiome 2018, 6, 72. [Google Scholar] [CrossRef]
- Mizukami, K.; Uchiyama, J.; Igarashi, H.; Murakami, H.; Osumi, T.; Shima, A.; Ishiahra, G.; Nasukawa, T.; Une, Y.; Sakaguchi, M. Age-Related Analysis of the Gut Microbiome in a Purebred Dog Colony. FEMS Microbiol. Lett. 2019, 366, fnz095. [Google Scholar] [CrossRef]
- Leylabadlo, H.E.; Ghotaslou, R.; Feizabadi, M.M.; Farajnia, S.; Moaddab, S.Y.; Ganbarov, K.; Khodadadi, E.; Tanomand, A.; Sheykhsaran, E.; Yousefi, B.; et al. The Critical Role of Faecalibacterium Prausnitzii in Human Health: An Overview. Microb. Pathog. 2020, 149, 104344. [Google Scholar] [CrossRef] [PubMed]
- Myint, H.; Iwahashi, Y.; Koike, S.; Kobayashi, Y. Effect of Soybean Husk Supplementation on the Fecal Fermentation Metabolites and Microbiota of Dogs. Anim. Sci. J. 2017, 88, 1730–1736. [Google Scholar] [CrossRef] [PubMed]
- Wu, X.; Park, S. Fecal Bacterial Community and Metagenome Function in Asians with Type 2 Diabetes, According to Enterotypes. Biomedicines 2022, 10, 2998. [Google Scholar] [CrossRef]
- Pilla, R.; Suchodolski, J.S. The Gut Microbiome of Dogs and Cats, and the Influence of Diet. Vet. Clin. North Am. Small Anim. Pract. 2021, 51, 605–621. [Google Scholar] [CrossRef] [PubMed]
- Lück, R.; Deppenmeier, U. Genetic Tools for the Redirection of the Central Carbon Flow Towards the Production of Lactate in the Human Gut Bacterium Phocaeicola (Bacteroides) Vulgatus. Appl. Microbiol. Biotechnol. 2022, 106, 1211–1225. [Google Scholar] [CrossRef]
- Kelly, T.N.; Bazzano, L.A.; Ajami, N.J.; He, H.; Zhao, J.; Petrosino, J.F.; Correa, A.; He, J. Gut Microbiome Associates with Lifetime Cardiovascular Disease Risk Profile Among Bogalusa Heart Study Participants. Circ. Res. 2016, 119, 956–964. [Google Scholar] [CrossRef] [PubMed]
- Panizza, C.; Wilkens, L.; Shvetsov, Y.; Maskarinec, G.; Park, S.-Y.; Shepherd, J.; Boushey, C.; Hebert, J.; Wirth, M.; Ernst, T. Associations of the Dietary Inflammatory Index with Total Adiposity and Ectopic Fat and the Mediating Effect of the Gut Microbiota. Curr. Dev. Nutr. 2021, 5, 1173. [Google Scholar] [CrossRef]
- Soonthornsit, J.; Ngamwongsatit, N.; Sangsuriya, P.; Arya, N. The Alterations of Fecal Microbiota in Dogs with Acute Diarrhea, Thailand. Thai J. Vet. Med. 2021, 51, 683–690. [Google Scholar] [CrossRef]
- Moretó, M.; Miró, L.; Amat, C.; Polo, J.; Manichanh, C.; Pérez-Bosque, A. Dietary Supplementation with Spray-Dried Porcine Plasma Has Prebiotic Effects on Gut Microbiota in Mice. Sci. Rep. 2020, 10, 2926. [Google Scholar] [CrossRef]
- Lee, J.J.; Kyoung, H.; Cho, J.H.; Park, K.I.; Kim, Y.; Ahn, J.; Choe, J.; Kim, Y.; Kim, H.B.; Song, M. Change in the Gut Microbiota of Lactating Sows and Their Piglets by Inclusion of Dietary Spray-Dried Plasma in Sow Diets. J. Microbiol. Biotechnol. 2024, 34, 516–524. [Google Scholar] [CrossRef]
- Tran, H.; Anderson, C.L.; Bundy, J.W.; Fernando, S.C.; Miller, P.S.; Burkey, T.E. Effects of Spray-Dried Porcine Plasma on Fecal Microbiota in Nursery Pigs. J. Anim. Sci. 2018, 96, 1017–1031. [Google Scholar] [CrossRef]
- Kieler, I.N.; Kamal, S.S.; Vitger, A.D.; Nielsen, D.S.; Lauridsen, C.; Bjornvad, C.R. Gut Microbiota Composition May Relate to Weight Loss Rate in Obese Pet Dogs. Vet. Med. Sci. 2017, 3, 252–262. [Google Scholar] [CrossRef]
- Hokkyo, A.; Kakiyama, S.; Shiwa, Y.; Kaga, C.; Kobayashi, T.; Nomoto, K.; Harima-Mizusawa, N. Continuous Intake of Galacto-Oligosaccharides Containing Syrup Contributes to Maintaining the Health of Household Dogs by Modulating Their Gut Microbiota. Biosci. Microbiota Food Health 2024, 43, 204–212. [Google Scholar] [CrossRef]
- Bernard, N.J. Prevotella Copri Associated with New-Onset Untreated RA. Nat. Rev. Rheumatol. 2013, 10, 2. [Google Scholar] [CrossRef]
- You, I.W.; Kim, M.J. Comparison of Gut Microbiota of 96 Healthy Dogs by Individual Traits: Breed, Age, and Body Condition Score. Animals 2021, 11, 2432. [Google Scholar] [CrossRef]
- Guo, M.; Wu, F.; Hao, G.; Qi, Q.; Li, R.; Li, N.; Wei, L.; Chai, T. Bacillus Subtilis Improves Immunity and Disease Resistance in Rabbits. Front. Immunol. 2017, 8, 254939. [Google Scholar] [CrossRef] [PubMed]
- Bosi, P.; Casini, L.; Finamore, A.; Cremokolini, C.; Merialdi, G.; Trevisi, P.; Nobili, F.; Mengheri, E. Spray-Dried Plasma Improves Growth Performance and Reduces Inflammatory Status of Weaned Pigs Challenged with Enterotoxigenic Escherichia Coli K88. J. Anim. Sci. 2004, 82, 1764–1772. [Google Scholar] [CrossRef] [PubMed]
- Pérez-Bosque, A.; Miró, L.; Amat, C.; Polo, J.; Moretó, M. The Anti-Inflammatory Effect of Spray-Dried Plasma Is Mediated by a Reduction in Mucosal Lymphocyte Activation and Infiltration in a Mouse Model of Intestinal Inflammation. Nutrients 2016, 8, 657. [Google Scholar] [CrossRef] [PubMed]
- Miró, L.; Amat, C.; Rosell-Cardona, C.; Campbell, J.M.; Polo, J.; Pérez-Bosque, A.; Moretó, M. Dietary Supplementation with Spray-Dried Porcine Plasma Attenuates Colon Inflammation in a Genetic Mouse Model of Inflammatory Bowel Disease. Int. J. Mol. Sci. 2020, 21, 6760. [Google Scholar] [CrossRef] [PubMed]
- Garcia-Just, A.; Miró, L.; Pérez-Bosque, A.; Amat, C.; Polo, J.; Pallàs, M.; Griñán-Ferré, C.; Moretó, M. Dietary Spray-Dried Porcine Plasma Prevents Cognitive Decline in Senescent Mice and Reduces Neuroinflammation and Oxidative Stress. J. Nutr. 2020, 150, 303–311. [Google Scholar] [CrossRef]





| CON | SYN | SYN+ | |
|---|---|---|---|
| Dry matter (%) | 92.96 | 93.40 | 93.55 |
| Crude protein (%) | 27.40 | 27.30 | 27.70 |
| Crude fat (%) | 15.15 | 15.04 | 15.82 |
| Ashes (%) | 6.33 | 6.47 | 6.38 |
| Crude fiber (%) | 1.84 | 3.65 | 3.65 |
| Total dietary fiber (%) | 5.25 | 7.90 | 8.70 |
| CON | SYN | SYN+ | p Value | |
|---|---|---|---|---|
| Fecal score | 2.85 ± 0.433 | 2.80 ± 0.223 | 2.81 ± 0.478 | 0.893 |
| Fecal dry matter (%) | 35.3 a ± 2.71 | 32.4 ab ± 5.05 | 32.0 b ± 3.02 | 0.040 |
| Fecal mass (g FM/day) | 86 a ± 15.2 | 136 b ± 23.4 | 126 b ± 32.3 | <0.001 |
| CON | SYN | SYN+ | p Value | |
|---|---|---|---|---|
| Dry matter (%) | 86.9 a ± 1.60 | 84.4 b ± 2.31 | 85.0 b ± 2.94 | <0.001 |
| Crude protein (%) | 86.4 ± 1.90 | 85.2 ± 2.00 | 85.7 ± 2.72 | 0.071 |
| Crude fat (%) | 96.2 ± 0.51 | 96.1 ± 0.59 | 96.3 ± 0.68 | 0.360 |
| Crude fiber (%) | 54.1 ± 8.99 | 50.3 ± 8.93 | 54.7 ± 9.53 | 0.262 |
| Energy (%) | 90.6 a ± 1.23 | 88.2 b ± 1.66 | 88.7 b ± 2.20 | <0.001 |
| Metabolizable energy (kcal/kg as fed), FEDIAF | 4045 a ± 53.0 | 3940 b ± 73.1 | 4008 a ± 97.3 | <0.001 |
| Concentration (µmol/g) | CON | SYN | SYN+ | p Value |
|---|---|---|---|---|
| Total SCFA | 176 a ± 23.5 | 209 b ± 46.5 | 195 ab ± 21.5 | 0.018 |
| Acetate | 94 a ± 12.1 | 116 b ± 23.4 | 104 ab ± 13.2 | 0.004 |
| Propionate | 58.0 ± 11.01 | 67.3 ± 19.87 | 66.5 ± 10.26 | 0.066 |
| Butyrate | 16.8 ± 2.44 | 19.4 ± 7.59 | 18.5 ± 6.96 | 0.372 |
| Valerate | 0.40 ± 0.078 | 0.62 ± 0.268 | 0.83 ± 1.011 | 0.189 |
| Total BCFA | 7.34 a ± 1.063 | 5.63 b ± 1.626 | 5.42 b ± 0.598 | 0.001 |
| Ammonia (mg/g) | 20.8 ± 10.37 | 12.3 ± 9.70 | 22.6 ± 19.54 | 0.133 |
| Molar Ratio (%SCFA) | ||||
| Acetate | 53.2 a ± 2.36 | 55.9 b ± 2.63 | 53.2 a ± 3.20 | 0.015 |
| Propionate | 32.8 ab ± 2.73 | 31.7 a ± 3.47 | 34.0 b ± 2.54 | 0.026 |
| Butyrate | 2.46 a ± 0.387 | 1.79 b ± 0.446 | 1.80 b ± 0.258 | 0.001 |
| Valerate | 0.45 ± 0.043 | 0.53 ± 0.154 | 0.65 ± 0.498 | 0.277 |
| Total BCFA | 4.22 a ± 0.724 | 2.76 b ± 0.749 | 2.80 b ± 0.359 | <0.001 |
| CON | SYN | SYN+ | p Value | |
|---|---|---|---|---|
| Leucocytes (count3/μL) | 7.01 a ± 1.243 | 7.99 b ± 1.529 | 7.03 a ± 1.023 | 0.015 |
| Lymphocytes (count3/μL) | 2.12 a ± 0.478 | 2.32 b ± 0.628 | 2.02 a ± 0.469 | 0.003 |
| Monocytes (count3/μL) | 0.46 ± 0.085 | 0.50 ± 0.161 | 0.45 ± 0.110 | 0.313 |
| Neutrophils (count3/μL) | 4.16 a ± 0.971 | 4.91 b ± 1.487 | 4.31 ab ± 0.699 | 0.049 |
| CD8 (count3/μL) | 0.54 ± 0.227 | 0.56 ± 0.269 | 0.52 ± 0.237 | 0.489 |
| CD4 (count3/μL) | 0.62 ± 0.159 | 0.63 ± 0.155 | 0.59 ± 0.129 | 0.707 |
| Total internalization (%) | 95.3 ± 1.92 | 95.3± 1.78 | 95.1 ± 1.90 | 0.906 |
| Neutrophil MFI * | 10,257 ± 2143 | 10,584 ± 1803 | 10,455 ± 2120 | 0.713 |
Disclaimer/Publisher’s Note: The statements, opinions and data contained in all publications are solely those of the individual author(s) and contributor(s) and not of MDPI and/or the editor(s). MDPI and/or the editor(s) disclaim responsibility for any injury to people or property resulting from any ideas, methods, instructions or products referred to in the content. |
© 2024 by the authors. Licensee MDPI, Basel, Switzerland. This article is an open access article distributed under the terms and conditions of the Creative Commons Attribution (CC BY) license (https://creativecommons.org/licenses/by/4.0/).
Share and Cite
Montserrat-Malagarriga, M.; Castillejos, L.; Salas-Mani, A.; Torre, C.; Martín-Orúe, S.M. Use of Different Synbiotic Strategies to Improve Gut Health in Dogs. Animals 2024, 14, 3366. https://doi.org/10.3390/ani14233366
Montserrat-Malagarriga M, Castillejos L, Salas-Mani A, Torre C, Martín-Orúe SM. Use of Different Synbiotic Strategies to Improve Gut Health in Dogs. Animals. 2024; 14(23):3366. https://doi.org/10.3390/ani14233366
Chicago/Turabian StyleMontserrat-Malagarriga, Miquel, Lorena Castillejos, Anna Salas-Mani, Celina Torre, and Susana María Martín-Orúe. 2024. "Use of Different Synbiotic Strategies to Improve Gut Health in Dogs" Animals 14, no. 23: 3366. https://doi.org/10.3390/ani14233366
APA StyleMontserrat-Malagarriga, M., Castillejos, L., Salas-Mani, A., Torre, C., & Martín-Orúe, S. M. (2024). Use of Different Synbiotic Strategies to Improve Gut Health in Dogs. Animals, 14(23), 3366. https://doi.org/10.3390/ani14233366

