From Gene to Protein: Unraveling the Reproductive Blueprint of Male Grey Squirrels via Nerve Growth Factor (NGF) and Cognate Receptors
Simple Summary
Abstract
1. Introduction
2. Materials and Methods
2.1. Animal Capture and Sample Collection
2.2. Histological Germinal Functional Phase Evaluation
2.3. RNA Extraction from FFPE Tissues and qPCR Gene Expression
2.4. Western Blotting Protein Expression
2.5. Immunohistochemistry Protein Localization
2.6. ELISA NGF Plasma Levels
2.7. Data Statistical Analysis
3. Results
3.1. Histological Evaluation of the Testis Reveals the Phase of the Reproductive Cycle
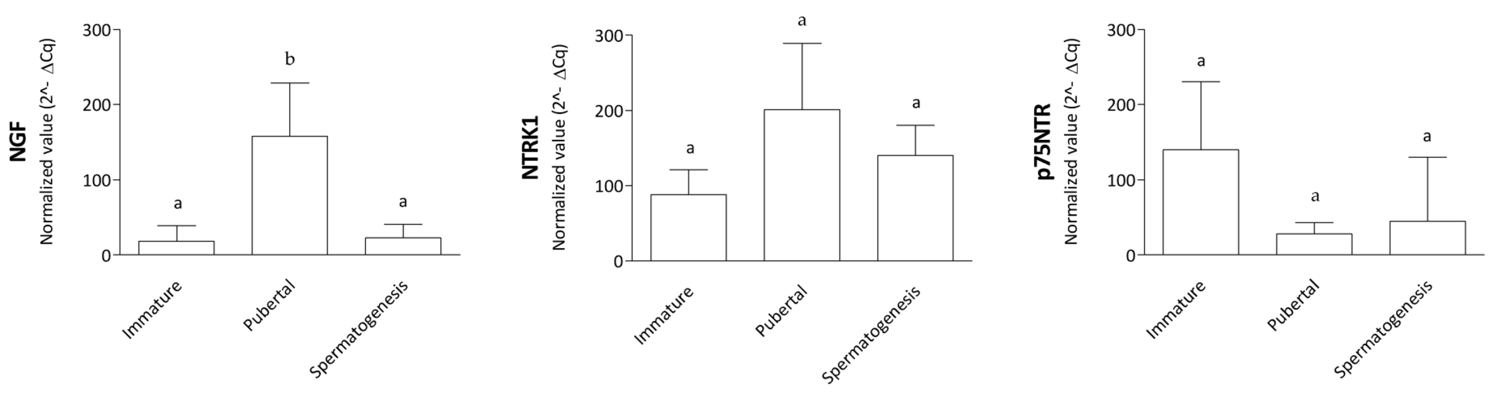
3.2. QPCR Gene Expression Levels of NGF and NGF Receptors
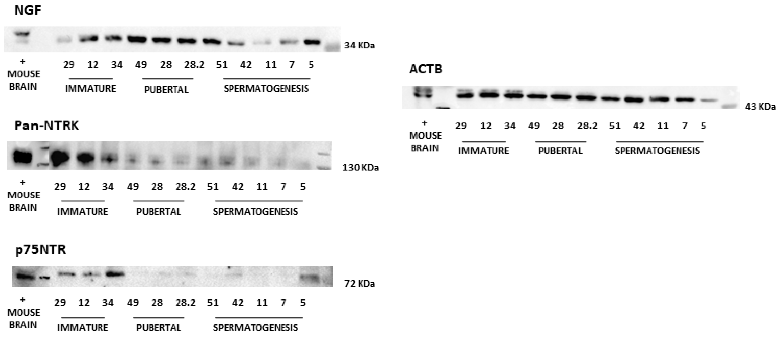
3.3. Western Blotting Protein Expression of NGF and NGF Receptors
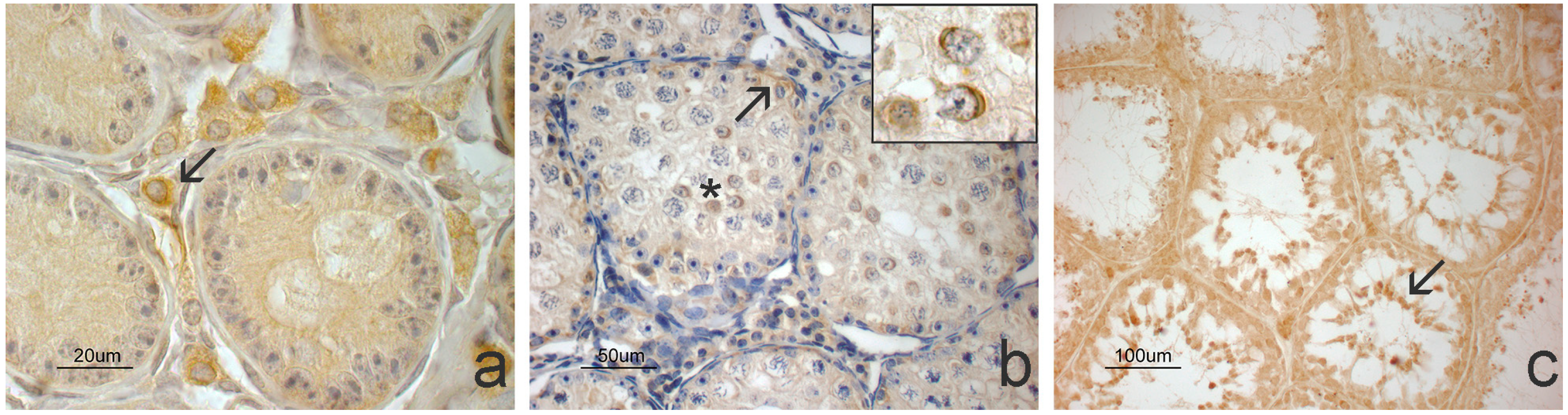
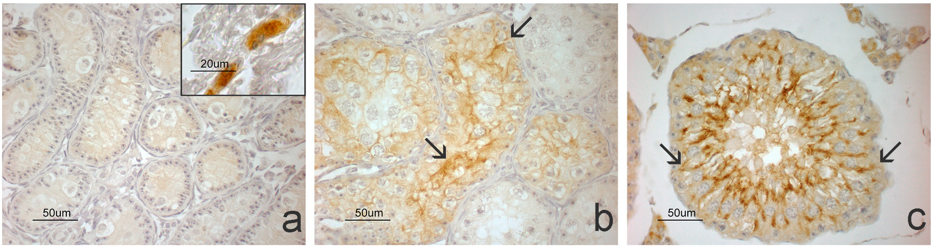
3.4. Immunohistochemistry Protein Localization of NGF and NGF Receptors
3.5. NGF Protein Plasma Levels
4. Discussion
5. Conclusions
Author Contributions
Funding
Institutional Review Board Statement
Informed Consent Statement
Data Availability Statement
Acknowledgments
Conflicts of Interest
References
- Thoenen, H.; Barde, Y.A. Physiology of Nerve Growth Factor. Physiol. Rev. 1980, 60, 1284–1335. [Google Scholar] [CrossRef] [PubMed]
- Snider, W.D. Functions of the Neurotrophins during Nervous System Development: What the Knockouts Are Teaching Us. Cell 1994, 77, 627–638. [Google Scholar] [CrossRef] [PubMed]
- Harper, G.P.; Barde, Y.-A.; Edgar, D.; Ganten, D.; Hefti, F.; Heumann, R.; Naujoks, K.W.; Rohrer, H.; Turner, J.E.; Thoenen, H. Biological and Immunological Properties of the Nerve Growth Factor from Bovine Seminal Plasma: Comparison with the Properties of Mouse Nerve Growth Factor. Neuroscience 1983, 8, 375–387. [Google Scholar] [CrossRef] [PubMed]
- Adams, G.P.; Ratto, M.H.; Huanca, W.; Singh, J. Ovulation-Inducing Factor in the Seminal Plasma of Alpacas and Llamas. Biol. Reprod. 2005, 73, 452–457. [Google Scholar] [CrossRef]
- Chen, B.X.; Yuen, Z.X.; Pan, G.W. Semen-Induced Ovulation in the Bactrian Camel (Camelus bactrianus). J. Reprod. Fertil. 1985, 74, 335–339. [Google Scholar] [CrossRef]
- Bogle, O.A.; Carrasco, R.A.; Ratto, M.H.; Singh, J.; Adams, G.P. Source and Localization of Ovulation-Inducing Factor/Nerve Growth Factor in Male Reproductive Tissues among Mammalian Species. Biol. Reprod. 2018, 99, 1194–1204. [Google Scholar] [CrossRef]
- Ratto, M.H.; Berland, M.; Silva, M.E.; Adams, G.P. New Insights of the Role of β-NGF in the Ovulation Mechanism of Induced Ovulating Species. Reproduction 2019, 157, R199–R207. [Google Scholar] [CrossRef]
- Lima, F.S.; Stewart, J.L.; Canisso, I.F. Insights into Nerve Growth Factor-β Role in Bovine Reproduction—Review. Theriogenology 2020, 150, 288–293. [Google Scholar] [CrossRef]
- Maranesi, M.; Petrucci, L.; Leonardi, L.; Piro, F.; Rebollar, P.G.; Millán, P.; Cocci, P.; Vullo, C.; Parillo, F.; Moura, A.; et al. New Insights on a NGF-Mediated Pathway to Induce Ovulation in Rabbits (Oryctolagus cuniculus). Biol. Reprod. 2018, 98, 634–643. [Google Scholar] [CrossRef]
- Maranesi, M.; Boiti, C.; Zerani, M. Nerve Growth Factor (NGF) and Animal Reproduction. Adv. Exp. Med. Biol. 2021, 1331, 277–287. [Google Scholar] [CrossRef]
- Ayer-LeLievre, C.; Olson, L.; Ebendal, T.; Hallböök, F.; Persson, H. Nerve Growth Factor mRNA and Protein in the Testis and Epididymis of Mouse and Rat. Proc. Natl. Acad. Sci. USA 1988, 85, 2628–2632. [Google Scholar] [CrossRef] [PubMed]
- Maranesi, M.; Zerani, M.; Leonardi, L.; Pistilli, A.; Arruda-Alencar, J.; Stabile, A.M.; Rende, M.; Castellini, C.; Petrucci, L.; Parillo, F.; et al. Gene Expression and Localization of NGF and Its Cognate Receptors NTRK1 and NGFR in the Sex Organs of Male Rabbits. Reprod. Domest. Anim. Zuchthyg. 2015, 50, 918–925. [Google Scholar] [CrossRef] [PubMed]
- Sari, L.M.; Zampini, R.; Argañaraz, M.E.; Carretero, M.I.; Fumuso, F.G.; Barraza, D.E.; Ratto, M.; Apichela, S.A. Expression of β-NGF and High-Affinity NGF Receptor (TrKA) in Llama (Lama glama) Male Reproductive Tract and Spermatozoa. Mol. Reprod. Dev. 2018, 85, 934–944. [Google Scholar] [CrossRef] [PubMed]
- Castellini, C.; Mattioli, S.; Dal Bosco, A.; Mancinelli, A.C.; Rende, M.; Stabile, A.M.; Pistilli, A. Role of NGF on Sperm Traits: A Review. Theriogenology 2020, 150, 210–214. [Google Scholar] [CrossRef]
- Zhang, H.; Wang, Y.; Zhang, J.; Wang, L.; Li, Q.; Sheng, X.; Han, Y.; Yuan, Z.; Weng, Q. Testicular Expression of NGF, TrkA and P75 during Seasonal Spermatogenesis of the Wild Ground Squirrel (Citellus dauricus Brandt). Eur. J. Histochem. 2015, 59, 2522. [Google Scholar] [CrossRef][Green Version]
- Levi-Montalcini, R. The Nerve Growth Factor 35 Years Later. Science 1987, 237, 1154–1162. [Google Scholar] [CrossRef]
- Schecterson, L.C.; Bothwell, M. Neurotrophin Receptors: Old Friends with New Partners. Dev. Neurobiol. 2010, 70, 332–338. [Google Scholar] [CrossRef]
- Underwood, C.K.; Coulson, E.J. The P75 Neurotrophin Receptor. Int. J. Biochem. Cell Biol. 2008, 40, 1664–1668. [Google Scholar] [CrossRef]
- Howe, C.L.; Mobley, W.C. Signaling Endosome Hypothesis: A Cellular Mechanism for Long Distance Communication. J. Neurobiol. 2004, 58, 207–216. [Google Scholar] [CrossRef]
- Angelastro, J.M.; Klimaschewski, L.; Tang, S.; Vitolo, O.V.; Weissman, T.A.; Donlin, L.T.; Shelanski, M.L.; Greene, L.A. Identification of Diverse Nerve Growth Factor-Regulated Genes by Serial Analysis of Gene Expression (SAGE) Profiling. Proc. Natl. Acad. Sci. USA 2000, 97, 10424–10429. [Google Scholar] [CrossRef]
- Marlin, M.C.; Li, G. Biogenesis and Function of the NGF/TrkA Signaling Endosome. Int. Rev. Cell Mol. Biol. 2015, 314, 239–257. [Google Scholar] [CrossRef] [PubMed]
- Koprowski, J.L. Sciurus carolinensis. Mamm. Species 1994, 480, 1–9. [Google Scholar] [CrossRef]
- Lowe, S.; Browne, M.; Boudjelas, S.; De Poorter, M. 100 of the World’s Worst Invasive Alien Species: A Selection from the Global Invasive Species Database. In Encyclopedia of Biological Invasions; Simberloff, D., Rejmanek, M., Eds.; University of California Press: Berkeley, CA, USA, 2019; pp. 715–716. ISBN 978-0-520-94843-3. [Google Scholar]
- Gurnell, J.; Pepper, H. A Critical Look at Conserving the British Red Squirrel Sciurus vulgaris. Mammal Rev. 1993, 23, 127–137. [Google Scholar] [CrossRef]
- Lawton, C.; Cown, P.; Bertolino, S.; Lurz, P.W.W.; Peters, A.R. The Consequences of Introducing Non-Indigenous Species: Two Case Studies, the Grey Squirrel in Europe and the Brushtail Possum in New Zealand. Rev. Sci. Tech. Int. Off. Epizoot. 2010, 29, 287–297. [Google Scholar] [CrossRef] [PubMed]
- Martinoli, A.; Bertolino, S.; Preatoni, D.G.; Balduzzi, A.; Marsan, A.; Genovesi, P.; Tosi, G.; Wauters, L.A. Headcount 2010: The Multiplication of the Grey Squirrel Populations Introduced to Italy. Hystrix Ital. J. Mammal. 2011, 21, 127–136. [Google Scholar] [CrossRef]
- Maranesi, M.; Bufalari, A.; Dall’Aglio, C.; Paoloni, D.; Moretti, G.; Crotti, S.; Manuali, E.; Stazi, M.; Bergamasco, F.; Cruciani, D.; et al. Reproductive Traits of an Invasive Alien Population of Grey Squirrel (Sciurus carolinensis) in Central Italy. Animals 2020, 10, 738. [Google Scholar] [CrossRef]
- Santicchia, F.; Romeo, C.; Grilli, G.; Vezzoso, S.; Wauters, L.A.; Mazzamuto, M.V.; Martinoli, A.; Ferrari, N. The Use of Uterine Scars to Explore Fecundity Levels in Invasive Alien Tree Squirrels. Hystrix Ital. J. Mammal. 2015, 26, 95–101. [Google Scholar] [CrossRef]
- La Morgia, V.; Paoloni, D.; Genovesi, P. Eradicating the Grey Squirrel Sciurus carolinensis from Urban Areas: An Innovative Decision-Making Approach Based on Lessons Learnt in Italy. Pest Manag. Sci. 2017, 73, 354–363. [Google Scholar] [CrossRef]
- Maranesi, M.; Petrucci, L.; Leonardi, L.; Bufalari, A.; Parillo, F.; Boiti, C.; Zerani, M. Kisspeptin/Kisspeptin Receptor System in Pseudopregnant Rabbit Corpora Lutea: Presence and Function. Sci. Rep. 2019, 9, 5044. [Google Scholar] [CrossRef]
- Maranesi, M.; Palermo, F.A.; Bufalari, A.; Mercati, F.; Paoloni, D.; Cocci, P.; Moretti, G.; Crotti, S.; Zerani, M.; Dall’Aglio, C. Seasonal Expression of NGF and Its Cognate Receptors in the Ovaries of Grey Squirrels (Sciurus carolinensis). Animals 2020, 10, 1558. [Google Scholar] [CrossRef]
- Mercati, F.; Scocco, P.; Maranesi, M.; Acuti, G.; Petrucci, L.; Cocci, P.; Renzi, A.; De Felice, E.; Dall’Aglio, C. Apelin System Detection in the Reproductive Apparatus of Ewes Grazing on Semi-Natural Pasture. Theriogenology 2019, 139, 156–166. [Google Scholar] [CrossRef] [PubMed]
- Mercati, F.; Guelfi, G.; Martì, M.J.I.; Dall’Aglio, C.; Calleja, L.; Caivano, D.; Marenzoni, M.L.; Capaccia, C.; Anipchenko, P.; Palermo, F.A.; et al. Seasonal Variation of NGF in Seminal Plasma and Expression of NGF and Its Cognate Receptors NTRK1 and p75NTR in the Sex Organs of Rams. Domest. Anim. Endocrinol. 2024, 89, 106877. [Google Scholar] [CrossRef] [PubMed]
- Livak, K.J.; Schmittgen, T.D. Analysis of Relative Gene Expression Data Using Real-Time Quantitative PCR and the 2−ΔΔCT Method. Methods 2001, 25, 402–408. [Google Scholar] [CrossRef] [PubMed]
- Clary, D.O.; Weskamp, G.; Austin, L.R.; Reichardt, L.F. TrkA Cross-Linking Mimics Neuronal Responses to Nerve Growth Factor. Mol. Biol. Cell 1994, 5, 549–563. [Google Scholar] [CrossRef]
- Li, C.; Watanabe, G.; Weng, Q.; Jin, W.; Furuta, C.; Suzuki, A.K.; Kawaguchi, M.; Taya, K. Expression of Nerve Growth Factor (NGF), and Its Receptors TrkA and P75 in the Reproductive Organs of the Adult Male Rats. Zool. Sci. 2005, 22, 933–937. [Google Scholar] [CrossRef]
- Ferraguti, G.; Fanfarillo, F.; Tarani, L.; Blaconà, G.; Tarani, F.; Barbato, C.; Minni, A.; Ralli, M.; Francati, S.; Greco, A.; et al. NGF and the Male Reproductive System: Potential Clinical Applications in Infertility. Int. J. Mol. Sci. 2022, 23, 13127. [Google Scholar] [CrossRef]
- Li, C.; Zhou, X. The Potential Roles of Neurotrophins in Male Reproduction. Reproduction 2013, 145, R89–R95. [Google Scholar] [CrossRef]
- Niu, Q.; Cao, M.; Yuan, C.; Huang, Y.; Zhao, Z.; Zhang, B.; Wang, X.; Wei, Y.; Fan, W.; Zhou, X.; et al. Effect of Nerve Growth Factor on the Proliferation in Newborn Bovine Testicular Sertoli Cells. Reproduction 2020, 160, 405–415. [Google Scholar] [CrossRef]
- Mercati, F.; Dall’Aglio, C.; Acuti, G.; Faeti, V.; Tardella, F.M.; Pirino, C.; De Felice, E.; Scocco, P. Oregano Feed Supplementation Affects Glycoconjugates Production in Swine Gut. Animals 2020, 10, 149. [Google Scholar] [CrossRef]
- Maranesi, M.; Di Loria, A.; Dall’Aglio, C.; Piantedosi, D.; Lepri, E.; Ciaramella, P.; Mercati, F. Leptin System in Obese Dog Skin: A Pilot Study. Animals 2020, 10, 2338. [Google Scholar] [CrossRef]
- Palmioli, E.; Dall’Aglio, C.; Bellesi, M.; Tardella, F.M.; Moscatelli, S.; Scocco, P.; Mercati, F. The Apelinergic System Immuno-Detection in the Abomasum and Duodenum of Sheep Grazing on Semi-Natural Pasture. Animals 2021, 11, 3173. [Google Scholar] [CrossRef] [PubMed]
- Cupp, A.S.; Kim, G.H.; Skinner, M.K. Expression and Action of Neurotropin-3 and Nerve Growth Factor in Embryonic and Early Postnatal Rat Testis Development. Biol. Reprod. 2000, 63, 1617–1628. [Google Scholar] [CrossRef] [PubMed]
- Cupp, A.S.; Tessarollo, L.; Skinner, M.K. Testis Developmental Phenotypes in Neurotropin Receptor trkA and trkC Null Mutations: Role in Formation of Seminiferous Cords and Germ Cell Survival. Biol. Reprod. 2002, 66, 1838–1845. [Google Scholar] [CrossRef] [PubMed][Green Version]
- Li, C.; Zheng, L.; Wang, C.; Zhou, X. Absence of Nerve Growth Factor and Comparison of Tyrosine Kinase Receptor A Levels in Mature Spermatozoa from Oligoasthenozoospermic, Asthenozoospermic and Fertile Men. Clin. Chim. Acta 2010, 411, 1482–1486. [Google Scholar] [CrossRef] [PubMed]
- Seidl, K.; Holstein, A.-F. Evidence for the Presence of Nerve Growth Factor (NGF) and NGF Receptors in Human Testis. Cell Tissue Res. 1990, 261, 549–554. [Google Scholar] [CrossRef] [PubMed]
- Parvinen, M.; Pelto-Huikko, M.; Söder, O.; Schultz, R.; Kaipia, A.; Mali, P.; Toppari, J.; Hakovirta, H.; Lönnerberg, P.; Ritzén, E.M. Expression of Beta-Nerve Growth Factor and Its Receptor in Rat Seminiferous Epithelium: Specific Function at the Onset of Meiosis. J. Cell Biol. 1992, 117, 629–641. [Google Scholar] [CrossRef]
- Lönnerberg, P.; Söder, O.; Parvinen, M.; Ritzén, E.M.; Persson, H. Beta-Nerve Growth Factor Influences the Expression of Androgen-Binding Protein Messenger Ribonucleic Acid in the Rat Testis. Biol. Reprod. 1992, 47, 381–388. [Google Scholar] [CrossRef]
- Perrard, M.-H.; Vigier, M.; Damestoy, A.; Chapat, C.; Silandre, D.; Rudkin, B.B.; Durand, P. Beta-Nerve Growth Factor Participates in an Auto/Paracrine Pathway of Regulation of the Meiotic Differentiation of Rat Spermatocytes. J. Cell. Physiol. 2007, 210, 51–62. [Google Scholar] [CrossRef]
- Frade, J.M.; Barde, Y.A. Nerve Growth Factor: Two Receptors, Multiple Functions. BioEssays News Rev. Mol. Cell. Dev. Biol. 1998, 20, 137–145. [Google Scholar] [CrossRef]
- Russo, M.A.; Odorisio, T.; Fradeani, A.; Rienzi, L.; De Felici, M.; Cattaneo, A.; Siracusa, G. Low-Affinity Nerve Growth Factor Receptor Is Expressed during Testicular Morphogenesis and in Germ Cells at Specific Stages of Spermatogenesis. Mol. Reprod. Dev. 1994, 37, 157–166. [Google Scholar] [CrossRef]
- Jin, W.; Tanaka, A.; Watanabe, G.; Matsuda, H.; Taya, K. Effect of NGF on the Motility and Acrosome Reaction of Golden Hamster Spermatozoa in Vitro. J. Reprod. Dev. 2010, 56, 437–443. [Google Scholar] [CrossRef] [PubMed]
- Jin, W.; Arai, K.Y.; Shimizu, K.; Kojima, C.; Itoh, M.; Watanabe, G.; Taya, K. Cellular Localization of NGF and Its Receptors trkA and p75LNGFR in Male Reproductive Organs of the Japanese Monkey, Macaca fuscata fuscata. Endocrine 2006, 29, 155–160. [Google Scholar] [CrossRef] [PubMed]
- Zhang, T.; He, M.; Zhang, J.; Tong, Y.; Chen, T.; Wang, C.; Pan, W.; Xiao, Z. Mechanisms of Primordial Follicle Activation and New Pregnancy Opportunity for Premature Ovarian Failure Patients. Front. Physiol. 2023, 14, 1113684. [Google Scholar] [CrossRef] [PubMed]








| Gene | NCBI Genebank Accession Number | Primers | bp | |
|---|---|---|---|---|
| NGF | XM_015502222.2 | F | TCCACCCACCCAGTCTTC | 178 |
| R | GCTCGGCACTTGGTCTCA | |||
| NTRK1 | XM_047554612.1 | F | TCGGACCATGCTGCCCATCC | 261 |
| R | AGGCGTTGCTGCGGTTCTCG | |||
| p75NTR | XM_047545416.1 | F | GGAGGACACGAGTCCTGAGC | 295 |
| R | CAGTGGAGAGTGCTGCAAAG | |||
| ACTB | XM_047552944.1 | F | TTGTGATGGACTCCGGAGAC | 186 |
| R | TGATGTCACGCACGATTTCC |
| Antisera | Species | Dilution | Commercialized |
|---|---|---|---|
| NGF Recombinant monoclonal | Rabbit | 1:100 | MA5-32067, Thermo Fisher Scientific, Waltham, MA, USA |
| Anti-NTRK1 | Rabbit | 1:100/1:500 | Maranesi et al., 2024 [33] |
| Anti-p75NTR | Rabbit | 1:100 | ab52987, Abcam, Cambridge, UK |
| Anti-rabbit biotin-conjugated | Goat | 1:200 | BA-1000-1.5, Vector Laboratories, Newark, CA, USA |
| Rabbit IgG | Rabbit | 1:100 | I-1000-5, Vector Laboratories, Newark, CA, USA [35] |
Disclaimer/Publisher’s Note: The statements, opinions and data contained in all publications are solely those of the individual author(s) and contributor(s) and not of MDPI and/or the editor(s). MDPI and/or the editor(s) disclaim responsibility for any injury to people or property resulting from any ideas, methods, instructions or products referred to in the content. |
© 2024 by the authors. Licensee MDPI, Basel, Switzerland. This article is an open access article distributed under the terms and conditions of the Creative Commons Attribution (CC BY) license (https://creativecommons.org/licenses/by/4.0/).
Share and Cite
Mercati, F.; Guelfi, G.; Bufalari, A.; Dall’Aglio, C.; Suvieri, C.; Cocci, P.; Palermo, F.A.; Anipchenko, P.; Capaccia, C.; Cenci-Goga, B.; et al. From Gene to Protein: Unraveling the Reproductive Blueprint of Male Grey Squirrels via Nerve Growth Factor (NGF) and Cognate Receptors. Animals 2024, 14, 3318. https://doi.org/10.3390/ani14223318
Mercati F, Guelfi G, Bufalari A, Dall’Aglio C, Suvieri C, Cocci P, Palermo FA, Anipchenko P, Capaccia C, Cenci-Goga B, et al. From Gene to Protein: Unraveling the Reproductive Blueprint of Male Grey Squirrels via Nerve Growth Factor (NGF) and Cognate Receptors. Animals. 2024; 14(22):3318. https://doi.org/10.3390/ani14223318
Chicago/Turabian StyleMercati, Francesca, Gabriella Guelfi, Antonello Bufalari, Cecilia Dall’Aglio, Chiara Suvieri, Paolo Cocci, Francesco Alessandro Palermo, Polina Anipchenko, Camilla Capaccia, Beniamino Cenci-Goga, and et al. 2024. "From Gene to Protein: Unraveling the Reproductive Blueprint of Male Grey Squirrels via Nerve Growth Factor (NGF) and Cognate Receptors" Animals 14, no. 22: 3318. https://doi.org/10.3390/ani14223318
APA StyleMercati, F., Guelfi, G., Bufalari, A., Dall’Aglio, C., Suvieri, C., Cocci, P., Palermo, F. A., Anipchenko, P., Capaccia, C., Cenci-Goga, B., Zerani, M., & Maranesi, M. (2024). From Gene to Protein: Unraveling the Reproductive Blueprint of Male Grey Squirrels via Nerve Growth Factor (NGF) and Cognate Receptors. Animals, 14(22), 3318. https://doi.org/10.3390/ani14223318

