Using RET-He and Delta-He in the Sysmex XN-1000V Analyzer to Differentiate Between Chronic Hemorrhagic and Chronic Inflammatory Anemia in Small Animals
Simple Summary
Abstract
1. Introduction
2. Materials and Methods
2.1. Case Selection and Classification
2.2. Sample Handling and Measurements
2.3. Statistical Analysis
3. Results
3.1. Conventional Hematological Parameters in Dogs and Cats with AID, CHA, and ACI
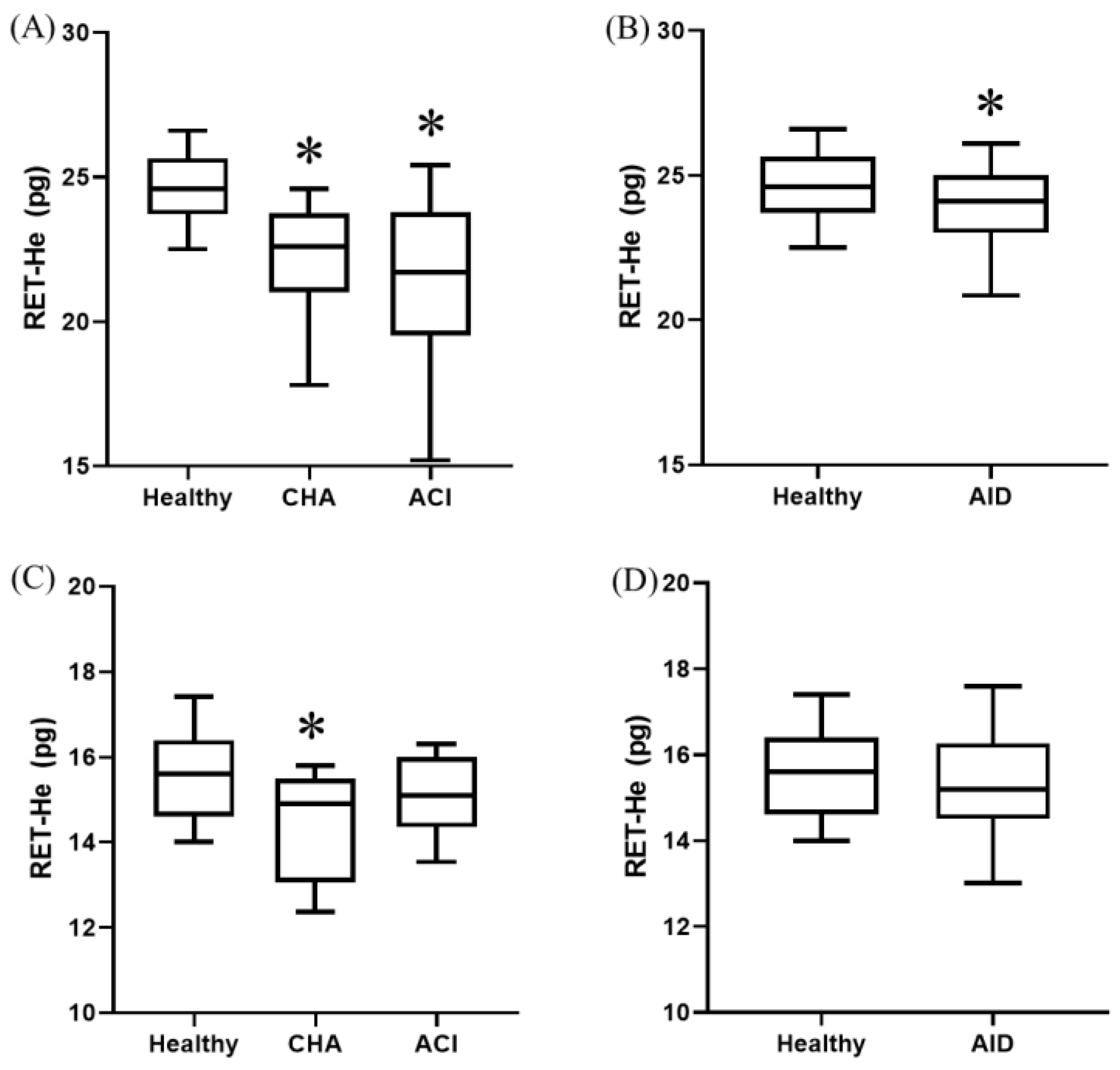
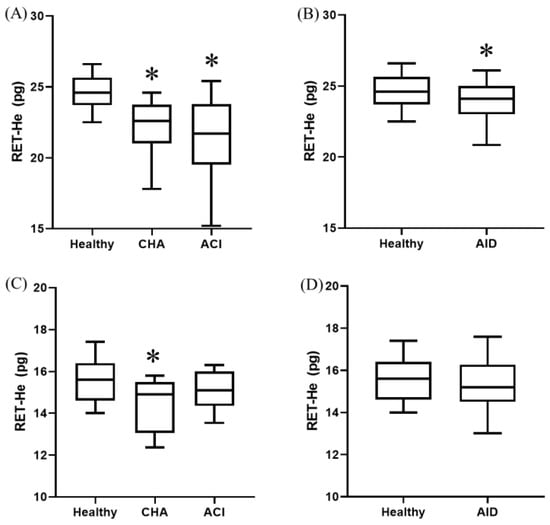
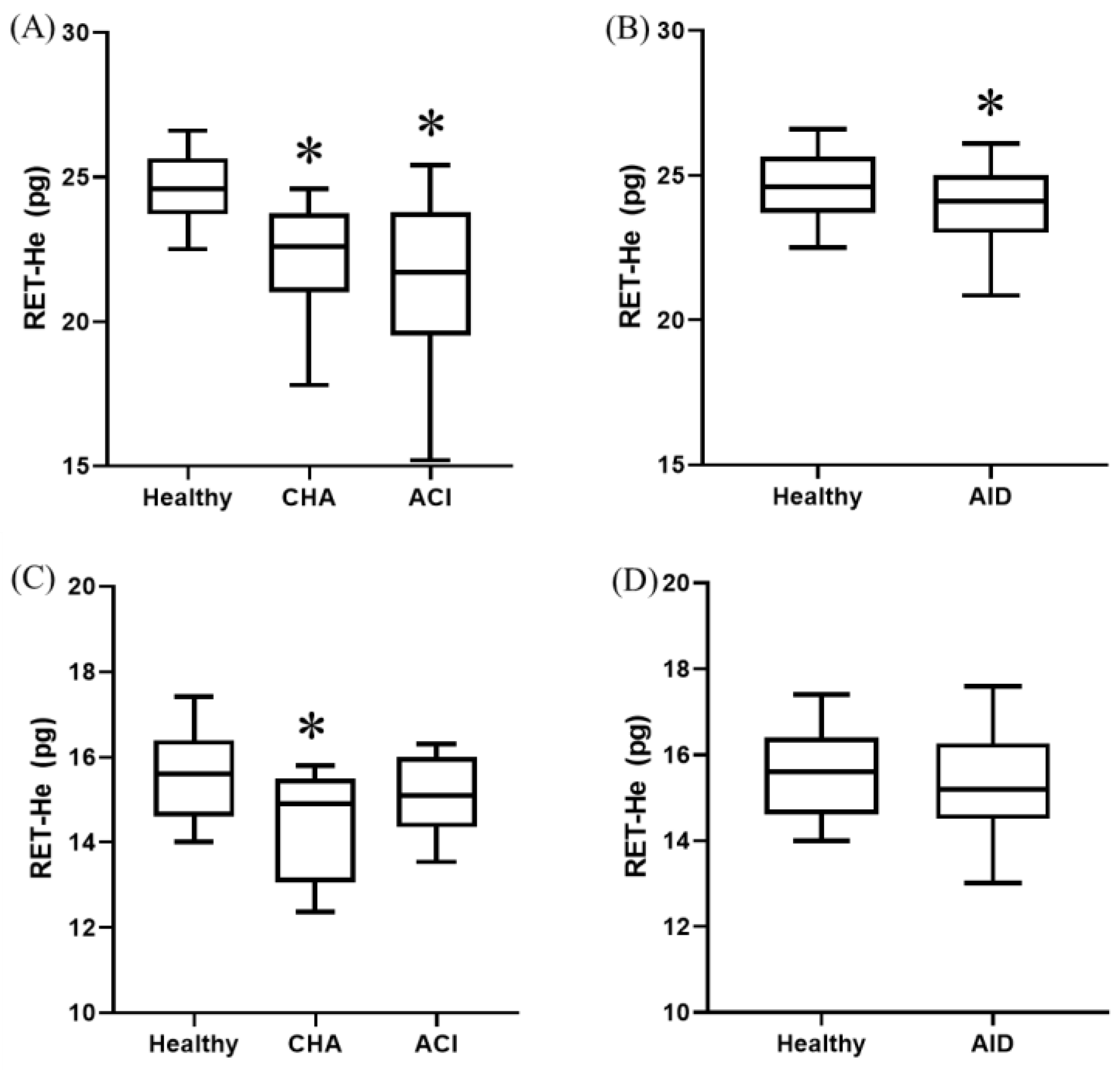
3.2. RET-He in Dogs and Cats with AID, CHA, and ACI
3.3. Delta-He in Dogs and Cats with AID, CHA, and ACI
3.4. %Hypo-He in Dogs and Cats with AID, CHA, and ACI
3.5. Vet Hema-Plot
3.6. RIs for RET-He, Delta-He, and %Hypo-He in Healthy Dogs and Cats Using the Sysmex XN-1000V
4. Discussion
5. Conclusions
Supplementary Materials
Author Contributions
Funding
Institutional Review Board Statement
Informed Consent Statement
Data Availability Statement
Conflicts of Interest
References
- Comazzi, S.; Pieralisi, C.; Bertazzolo, W. Haematological and biochemical abnormalities in canine blood: Frequency and associations in 1022 samples. J. Small Anim. Pract. 2004, 45, 343–349. [Google Scholar] [CrossRef] [PubMed]
- Perez-Ecija, A.; Martinez, C.; Fernandez-Castañer, J.; Mendoza, F.J. The immature reticulocyte fraction (IRF) in the Sysmex XN-1000V analyzer can differentiate between causes of regenerative and non-regenerative anemia in dogs and cats. Animals 2024, 14, 349. [Google Scholar] [CrossRef] [PubMed]
- Tvedten, H. Classification and laboratory evaluation of anemia. In Schalm’s Veterinary Hematology, 7th ed.; Brooks, M.B., Harr, K.E., Seelig, D.V., Wardrop, K.J., Weiss, D.J., Eds.; Wiley Blackwell: Hoboken, NJ, USA, 2022; pp. 198–208. [Google Scholar]
- Schaefer, D.M.; Stokol, T. The utility of reticulocyte indices in distinguishing iron deficiency anemia from anemia of inflammatory disease, portosystemic shunting, and breed-associated microcytosis in dogs. Vet. Clin. Pathol. 2015, 44, 109–119. [Google Scholar] [CrossRef] [PubMed]
- Naigamwalla, D.Z.; Webb, J.A.; Giger, U. Iron deficiency anemia. Can. Vet. J. 2012, 53, 250–256. [Google Scholar] [PubMed] [PubMed Central]
- Moloney, C.; Stavroulaki, E.M.; Augusto, M. Reference intervals for reticulocyte indices, immature reticulocyte fraction, and the percentage of hypochromic red blood cells in adult large breed dogs using the ADVIA 2120 hematology analyzer. Vet. Clin. Pathol. 2023, 52, 755–760. [Google Scholar] [CrossRef]
- Weimann, A.; Cremer, M.; Hernáiz-Driever, P.; Zimmermann, M. Delta-He, Ret-He and a new diagnostic plot for differential diagnosis and therapy monitoring of patients suffering from various disease-specific types of anemia. Clin. Lab. 2016, 62, 667–677. [Google Scholar] [CrossRef]
- Fuchs, J.; Moritz, A.; Grußendorf, E.; Lechner, J.; Neuerer, F.; Nickel, R.; Rieker, T.; Schwedes, C.; DeNicola, D.B.; Russell, J.; et al. Evaluation of reticulocyte hemoglobin content (RET-He) in the diagnosis of iron-deficient erythropoiesis in dogs. Vet. Clin. Pathol. 2017, 46, 558–568. [Google Scholar] [CrossRef]
- Theurl, I.; Aigner, E.; Theurl, M.; Nairz, M.; Seifert, M.; Schroll, A.; Sonnweber, T.; Eberwein, L.; Witcher, D.R.; Murphy, A.T.; et al. Regulation of iron homeostasis in anemia of chronic disease and iron deficiency anemia: Diagnostic and therapeutic implications. Blood J. Am. Soc. Hematol. 2009, 113, 5277–5286. [Google Scholar] [CrossRef]
- Fuchs, J.; Moritz, A.; Grußendorf, E.; Lechner, J.; Neuerer, F.; Nickel, R.; Rieker, T.; Schwedes, C.; DeNicola, D.B.; Russell, J.; et al. Canine reticulocyte hemoglobin content (RET-He) in different types of iron-deficient erythropoiesis. Vet. Clin. Pathol. 2017, 46, 422–429. [Google Scholar] [CrossRef]
- Radakovich, L.B.; Santangelo, K.S.; Olver, C.S. Reticulocyte hemoglobin content does not differentiate true from functional iron deficiency in dogs. Vet. Clin. Pathol. 2015, 44, 511–518. [Google Scholar] [CrossRef]
- Marchetti, V.; Lubas, G.; Lombardo, A.; Corazza, M.; Guidi, G.; Cardini, G. Evaluation of erythrocytes, platelets, and serum iron profile in dogs with chronic enteropathy. Vet. Med. Int. 2010, 2010, 716040. [Google Scholar] [CrossRef] [PubMed]
- Steinberg, J.D.; Olver, C.S. Hematologic and biochemical abnormalities indicating iron deficiency are associated with decreased reticulocyte hemoglobin content (CHr) and reticulocyte volume (rMCV) in dogs. Vet. Clin. Pathol. 2005, 34, 23–27. [Google Scholar] [CrossRef] [PubMed]
- Keiner, M.; Fuchs, J.; Bauer, N.; Moritz, A. Evaluation of reticulocyte hemoglobin content (RETIC-HGB) for the diagnosis of iron-limited erythropoiesis in cats. Vet. Clin. Pathol. 2020, 49, 557–566. [Google Scholar] [CrossRef] [PubMed]
- Betting, A.; Schweighauser, A.; Francey, T. Diagnostic value of reticulocyte indices for the assessment of the iron status of cats with chronic kidney disease. J. Vet. Intern. Med. 2022, 36, 619–628. [Google Scholar] [CrossRef] [PubMed]
- Canals, C.; Remacha, A.F.; Sardá, M.P.; Piazuelo, J.M.; Royo, M.T.; Romero, M.A. Clinical utility of the new Sysmex XE 2100 parameter—reticulocyte hemoglobin equivalent—in the diagnosis of anemia. Haematologica 2005, 90, 1133–1134. [Google Scholar] [PubMed]
- Danielson, K.; Beshara, S.; Qureshi, A.R.; Heimbürger, O.; Lindholm, B.; Hansson, M.; Hylander, B.; Germanis, G.; Stenvinkel, P.; Barany, P. Delta-He: A novel marker of inflammation predicting mortality and ESA response in peritoneal dialysis patients. Clin. Kidney J. 2014, 7, 275–281. [Google Scholar] [CrossRef]
- Amir, N.; Md Noor, S.; Subbiah, I.; Osman, M.; Seman, Z. Percentage of hypochromic red cells as a potential screening test to evaluate iron status in blood donors. Int. J. Lab. Hematol. 2019, 41, 418–423. [Google Scholar] [CrossRef]
- Friedrichs, K.R.; Harr, K.E.; Freeman, K.P.; Szladovits, B.; Walton, R.M.; Barnhart, K.F.; Blanco-Chavez, J. ASVCP (American Society for Veterinary Clinical Pathology) reference interval guidelines: Determination of de novo reference intervals in veterinary species and other related topics. Vet. Clin. Pathol. 2012, 41, 441–453. [Google Scholar] [CrossRef]
- Hoenemann, C.; Ostendorf, N.; Zarbock, A.; Doll, D.; Hagemann, O.; Zimmermann, M.; Luedi, M. Reticulocyte and erythrocyte hemoglobin parameters for iron deficiency and anemia diagnostics in patient blood management. A narrative review. J. Clin. Med. 2021, 10, 4250. [Google Scholar] [CrossRef]
- Thomas, L.; Franck, S.; Messinger, M.; Linssen, J.; Thomé, M.; Thomas, C. Reticulocyte hemoglobin measurement—Comparison of two methods in the diagnosis of iron-restricted erythropoiesis. Clin. Chem. Lab. Med. 2005, 43, 1193–1202. [Google Scholar] [CrossRef]
- Prins, M.; van Leeuwen, M.W.; Teske, E. Stability and reproducibility of ADVIA 120-measured red blood cell and platelet parameters in dogs, cats, and horses, and the use of reticulocyte haemoglobin content (CH(R)) in the diagnosis of iron deficiency. Tijdschr Diergeneeskd 2009, 134, 272–278. [Google Scholar] [PubMed]
- Hunt, A.; Jugan, M.C. Anemia, iron deficiency, and cobalamin deficiency in cats with chronic gastrointestinal disease. J. Vet. Intern. Med. 2021, 35, 172–178. [Google Scholar] [CrossRef] [PubMed]
- Thomas, C.; Kobold, U.; Balan, S.; Roeddiger, R.; Thomas, L. Serum hepcidin-25 may replace the ferritin index in the Thomas plot in assessing iron status in anemic patients. Int. J. Lab. Hematol. 2011, 33, 187–193. [Google Scholar] [CrossRef] [PubMed]
- Hoffmann, C.; Hoffmann, P.; Zimmermann, M. Diagnostic testing for a high-grade inflammation: Parameter dynamics and novel markers. Clin. Chem. Lab. Med. 2015, 53, 541–547. [Google Scholar] [CrossRef] [PubMed]
- Meléndez-Lazo, A.; Tvarijonaviciute, A.; Cerón, J.J.; Planellas, M.; Pastor, J. Evaluation of the relationship between selected reticulocyte parameters and inflammation determined by plasma C-reactive protein in dogs. J. Comp. Pathol. 2015, 152, 304–312. [Google Scholar] [CrossRef]
- Schoorl, M.; Schoorl, M.; Linssen, J.; Villanueva, M.M.; NoGuera, J.A.; Martinez, P.H.; Bartels, P.C. Efficacy of advanced discriminating algorithms for screening on iron-deficiency anemia and β-thalassemia trait: A multicenter evaluation. Am. J. Clin. Pathol. 2012, 138, 300–304. [Google Scholar] [CrossRef]
- Urrechaga, E.; Borque, L.; Escanero, J.F. Potential utility of the new Sysmex XE 5000 red blood cell extended parameters in the study of disorders of iron metabolism. Clin. Chem. Lab. Med. 2009, 47, 1411–1416. [Google Scholar] [CrossRef]




| Group | Inclusion Criteria | Exclusion Criteria (Dogs//Cats) |
|---|---|---|
| Healthy | -Normal anamnesis and physical examination. -CBC and biochemistry panel within reference ranges. | -Delayed CBC after blood collection (>6 h) (151 dogs//101 cats). -Marked lipemia and/or hemolysis (35 dogs//10 cats). -Previous blood transfusion (<30 days) (17 dogs//1 cat). -Younger than 3 months (45 dogs//4 cats). -Greyhound, Shar Pei, Chow Chow, Akita and Shiba Inu (79 dogs//0 cats). |
| AID | -Evidence (gastroenteritis, peritonitis) or suspicion (fever, leukocytosis) of an acute (<1 week of evolution) inflammatory disease. | -All of those mentioned in the healthy group (327 dogs//116 cats). -Anemia (of any type). -Leukopenia (10 dogs//2 cats). |
| CHA | -Non-regenerative anemia with evidence of chronic blood loss (diagnosis of anemia due to gastrointestinal hemorrhage, thrombocytopenia, trauma, surgery, chronic hematuria, or internal bleeding). | -All of those mentioned in the healthy group (327 dogs//116 cats). -Doubtful classification between groups (209 dogs//91 cats). -Evidence of renal disease (41 dogs//34 cats). -Evidence or suspicion (concurrent leukopenia) of bone marrow failure (20 dogs//22 cats). -Evidence of hemolysis (29 dogs//12 cats). |
| ACI | -Non-regenerative anemia with evidence (peritonitis, pancreatitis, pneumonia, systemic infection) or suspicion (fever, leukocytosis) of a chronic inflammatory disease. |
| Dogs (n = 1323) | Cats (n = 318) | |||||||
|---|---|---|---|---|---|---|---|---|
| Healthy (n = 969) | AID (n = 194) | CHA (n = 61) | ACI (n = 99) | Healthy (n = 153) | AID (n = 82) | CHA (n = 37) | ACI (n = 46) | |
| HCT (%) a | 45.8 ± 5.5 | 46.5 ± 6.3 | 26.1 ± 5.8 1,2 | 26.0 ± 6.4 1,2 | 36.5 ± 5.1 | 36.7 ± 5.6 | 20.5 ± 5.4 1,2 | 23.7 ± 9.1 1,2 |
| RBC (106/µL) b | 6.6 (1.2) | 6.3 (1.5) | 4.3 (1.2) 1,2 | 4.1 (1.7) 1,2 | 8.2 ± 1.3 | 8.3 ± 1.4 | 4.7 ± 1.2 1,2 | 5.4 ± 2.3 1,2 |
| Hb (g/dL) | 15.9 (3.0) | 15.5 (3.9) | 8.7 (3.0) 1,2 | 9.0 (3.6) 1,2 | 11.9 (2.6) | 12.2 (3.0) | 7.0 (3.2) 1,2 | 8.0 (2.2) 1,2 |
| MCV (fL) b | 69.7 (3.8) | 70.1 (4.8) | 67.6 (3.6) 1,2 | 68.5 (5.3) 1,2 | 44.7 ± 3.7 | 44.8 ± 3.8 | 43.7 ± 4.0 | 44.3 ± 5.2 |
| MCH (pg) | 24.1 (1.4) | 24.2 (2.0) 1 | 22.2 (3.1) 1,2 | 22.8 (2.3) 1,2 | 14.7 (1.9) | 14.9 (1.7) | 14.2 (1.8) | 14.4 (1.7) |
| MCHC (g/dL) a | 34.6 ± 1.1 | 34.7 ± 1.9 | 33.5 ± 3.7 1,2 | 33.0 ± 1.9 1,2 | 33.1 ± 1.6 | 33.3 ± 1.9 | 32.7 ± 1.8 | 33.9 ± 6.2 |
| RDW (fL) b | 34.2 (3.5) | 34.6 (4.4) | 34.4 (8.4) | 34.0 (6.7) | 34.4 ± 5.4 | 35.9 ± 6.6 | 35.7 ± 6.6 | 35.4 ± 6.4 |
| RET-He (pg) | 24.6 (1.9) | 24.1 (2.0) 1 | 22.6 (2.7) 1,2 | 21.7 (4.3) 1,2 | 15.6 (1.8) | 15.2 (1.9) | 14.9 (2.4) 1,2 | 15.1 (1.6) |
| RBC-He (pg) | 23.7 (1.3) | 23.7 (1.6) | 21.6 (2.9) 1,2 | 22.9 (2.6) 1,2,3 | 14.2 (1.5) | 13.9 (1.8) | 14.0 (2.3) | 14.1 (1.7) |
| Delta-He (pg) | 0.80 (1.3) | 0.65 (1.7) 1 | 0.80 (1.7) 2 | −0.50 (3.6) 1,2,3 | 1.20 (1.0) | 1.05 (1.2) | 0.60 (0.7) 1,2 | 0.80 (1.2) |
| %Hypo-He (%) | 0.60 (0.9) | 0.75 (1.4) | 5.10 (12) 1,2 | 2.60 (5.2) 1,2 | 31.5 (55) | 42.3 (60) | 80.1 (23) 1,2 | 76.3 (42) 1 |
| PLT (103/µL) | 243 (139) | 249 (192) | 171 (242) 1,2 | 218 (204) 2 | 257 (109) | 341 (314) 1 | 209 (167) | 215 (104) |
| WBC (103/µL) | 9.2 (4.3) | 20.7 (9.3) 1 | 9.8 (7.7) 2 | 24.5 (10) 1,3 | 9.1 (4.5) | 17.4 (19) | 10.5 (4.4) | 12.8 (3.6) 1 |
| Parameter | Lower Limit | Upper Limit | CI 90% of Lower Limit | CI 90% of Upper Limit | |
|---|---|---|---|---|---|
| Dogs (n = 969) | RET-He (pg) | 21.1 | 27.2 | 20.7–21.3 | 27.1–27.4 |
| Delta-He (pg) | −1.7 | 3.3 | −2.0–−1.5 | 3.1–3.5 | |
| %Hypo-He (%) | 0.2 | 5.1 | 0.2–0.2 | 4.7–5.7 | |
| Cats (n = 153) | RET-He | 13.7 | 19.3 | 13.7–13.7 | 18.4–22.8 |
| Delta-He | −0.8 | 4.0 | −0.9–−0.2 | 3.2–5.3 | |
| %Hypo | 3.5 | 94.1 | 0.7–4.2 | 90.7–96.1 |
Disclaimer/Publisher’s Note: The statements, opinions and data contained in all publications are solely those of the individual author(s) and contributor(s) and not of MDPI and/or the editor(s). MDPI and/or the editor(s) disclaim responsibility for any injury to people or property resulting from any ideas, methods, instructions or products referred to in the content. |
© 2024 by the authors. Licensee MDPI, Basel, Switzerland. This article is an open access article distributed under the terms and conditions of the Creative Commons Attribution (CC BY) license (https://creativecommons.org/licenses/by/4.0/).
Share and Cite
Perez-Ecija, A.; Fernandez-Castañer, J.; Martinez, C.; Mendoza, F.J. Using RET-He and Delta-He in the Sysmex XN-1000V Analyzer to Differentiate Between Chronic Hemorrhagic and Chronic Inflammatory Anemia in Small Animals. Animals 2024, 14, 3215. https://doi.org/10.3390/ani14223215
Perez-Ecija A, Fernandez-Castañer J, Martinez C, Mendoza FJ. Using RET-He and Delta-He in the Sysmex XN-1000V Analyzer to Differentiate Between Chronic Hemorrhagic and Chronic Inflammatory Anemia in Small Animals. Animals. 2024; 14(22):3215. https://doi.org/10.3390/ani14223215
Chicago/Turabian StylePerez-Ecija, Alejandro, Julio Fernandez-Castañer, Carmen Martinez, and Francisco J. Mendoza. 2024. "Using RET-He and Delta-He in the Sysmex XN-1000V Analyzer to Differentiate Between Chronic Hemorrhagic and Chronic Inflammatory Anemia in Small Animals" Animals 14, no. 22: 3215. https://doi.org/10.3390/ani14223215
APA StylePerez-Ecija, A., Fernandez-Castañer, J., Martinez, C., & Mendoza, F. J. (2024). Using RET-He and Delta-He in the Sysmex XN-1000V Analyzer to Differentiate Between Chronic Hemorrhagic and Chronic Inflammatory Anemia in Small Animals. Animals, 14(22), 3215. https://doi.org/10.3390/ani14223215

