Antibacterial and Antibiofilm Activity of Essential Oils Against Aeromonas spp. Isolated from Rainbow Trout
Simple Summary
Abstract
1. Introduction
2. Materials and Methods
2.1. Isolation and Identification of Aeromonas spp.
2.2. Essential Oils
2.3. Disc Diffusion Method
2.4. Determination of Minimum Inhibitory Concentration
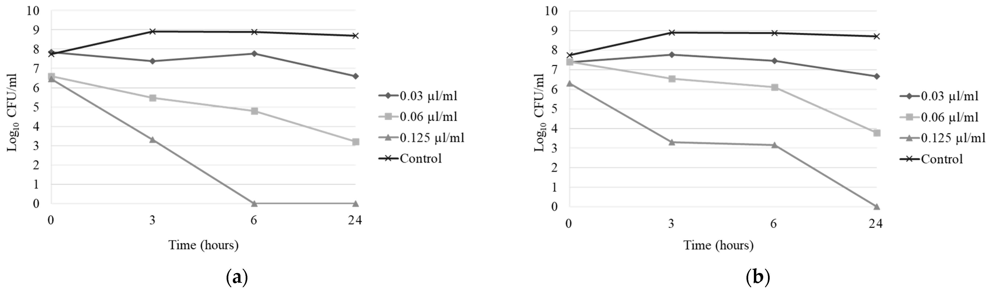
2.5. Time–Kill Curve
2.6. Scanning Electron Microscopy
2.7. Testing the Ability of Biofilm Formation
2.8. Determination of Antibiofilm Activity
3. Results
3.1. Identification of Isolates from Rainbow Trout
3.2. Antibacterial Activity of EOs
3.3. Time–Kill Curve
3.4. Scanning Electron Microscopy
3.5. Ability to Form a Biofilm
3.6. Antibiofilm Activity of EOs
4. Discussion
5. Conclusions
Author Contributions
Funding
Institutional Review Board Statement
Informed Consent Statement
Data Availability Statement
Conflicts of Interest
References
- Shahbandeh, M. World Fish Production—Fishing and Aquaculture 2007–2023. Available online: https://www.statista.com/statistics/272311/world-fish-production-by-fishing-and-aquaculture-since-2004/ (accessed on 12 March 2024).
- Santos, L.; Ramos, F. Antimicrobial resistance in aquaculture: Current knowledge and alternatives to tackle the problem. Int. J. Antimicrob. Agents 2018, 52, 135–143. [Google Scholar] [CrossRef] [PubMed]
- Bondad-Reantaso, M.G.; MacKinnon, B.; Karunasagar, I.; Fridman, S.; Alday-Sanz, V.; Brun, E.; Le Groumellec, M.; Li, A.; Surachetpong, W.; Karunasagar, I.; et al. Review of alternatives to antibiotic use in aquaculture. Rev. Aquac. 2023, 15, 1421–1451. [Google Scholar] [CrossRef]
- Li, T.; Raza, S.H.A.; Yang, B.; Sun, Y.; Wang, G.; Sun, W.; Qian, A.; Wang, C.H.; Kang, Y.; Shan, X. Aeromonas veronii infection in commercial freshwater fish: A potential threat to public health. Animals 2020, 10, 608. [Google Scholar] [CrossRef]
- Vasquez, I.; Hossain, A.; Gnanagobal, H.; Valderrama, K.; Campbell, B.; Ness, M.; Charette, S.J.; Gamperi, A.K.; Cipriano, R.; Segovia, C.; et al. Comparative genomics of typical and atypical Aeromonas salmonicida complete genomes revealed new insights into pathogenesis evolution. Microorganisms 2022, 10, 189. [Google Scholar] [CrossRef]
- Fečkaninová, A.; Koščová, J.; Mudroňová, D.; Popelka, P.; Toropilová, J. The use of probiotic bacteria against Aeromonas infections in salmonid aquaculture. Aquaculture 2017, 469, 1–8. [Google Scholar] [CrossRef]
- Menanteau-Ledouble, S.; Kumar, G.; Saleh, M.; El-Matbouli, M. Aeromonas salmonicida: Updates on an old acquaintance. Dis. Aquat. Organ. 2016, 120, 49–68. [Google Scholar] [CrossRef]
- Behera, B.K.; Parida, S.N.; Kumar, V.; Swain, H.S.; Parida, P.K.; Bisai, K.; Dhar, S.; Das, B.K. Aeromonas veronii is a lethal pathogen isolated from gut of infected Labeo rohita: Molecular insight to understand the bacterial virulence and its induced host immunity. Pathogens 2023, 12, 598. [Google Scholar] [CrossRef]
- Shree, P.; Singh, C.K.; Sodhi, K.K.; Surya, J.N.; Singh, D. Biofilms: Understanding the structure and contribution towards bacterial resistance in antibiotics. Med. Microecol. 2023, 16, 100084. [Google Scholar] [CrossRef]
- Dawood, M.A.O.; El Basuini, M.F.; Yilmaz, S.; Abdel-Latif, H.M.R.; Alagawany, M.; Kari, Z.A.; Razab, M.K.A.A.; Hamid, N.K.A.; Moonmanee, T.; Doan, H.V. Exploring the roles of dietary herbal essential oils in aquaculture: A review. Animals 2022, 12, 823. [Google Scholar] [CrossRef]
- Assane, I.M.; Valladão, G.M.R.; Pilarski, F. Chemical composition, cytotoxicity and antimicrobial activity of selected plant-derived essential oils against fish pathogens. Aquac. Res. 2021, 52, 793–809. [Google Scholar] [CrossRef]
- Dawood, M.A.O.; El Basuini, M.F.; Zaineldin, A.I.; Yilmaz, S.; Hasan, M.T.; Ahmadifar, E.; El Asely, A.M.; Abdel-Latif, H.M.R.; Alagawany, M.; Abu-Elala, N.M.; et al. Antiparasitic and antibacterial functionality of essential oils: An alternative approach for sustainable aquaculture. Pathogens 2021, 10, 185. [Google Scholar] [CrossRef] [PubMed]
- Maurya, A.; Singh, V.K.; Das, S.; Prasad, J.; Kedia, A.; Upadhyay, N.; Dubey, N.K.; Dwivedy, A.K. Essential oil nanoemulsion as eco-friendly and safe preservative: Bioefficacy against microbial food deterioration and toxin secretion, mode of action, and future opportunities. Front. Microbiol. 2021, 12, 751062. [Google Scholar] [CrossRef] [PubMed]
- Da Cunha, J.A.; Heinzmann, B.M.; Baldisserotto, B. The effects of essential oils and their major compounds on fish bacterial pathogens–a review. J. Appl. Microbiol. 2018, 125, 328–344. [Google Scholar] [CrossRef] [PubMed]
- Cáceres, M.; Hidalgo, W.; Stashenko, E.; Torres, R.; Ortiz, C. Essential oils of aromatic plants with antibacterial, anti-biofilm and anti-quorum sensing activities against pathogenic bacteria. Antibiotics 2020, 9, 147. [Google Scholar] [CrossRef] [PubMed]
- Sharifi, A.; Mohammadzadeh, A.; Zahraei Salehi, T.; Mahmoodi, P. Antibacterial, antibiofilm and antiquorum sensing effects of Thymus daenensis and Satureja hortensis essential oils against Staphylococcus aureus isolates. J. Appl. Microbiol. 2017, 124, 379–388. [Google Scholar] [CrossRef]
- Ghavam, M.; Bacchetta, G.; Castangia, I.; Manca, M.L. Evaluation of the composition and antimicrobial activities of essential oils from four species of Lamiaceae Martinov native to Iran. Sci. Rep. 2022, 12, 17044. [Google Scholar] [CrossRef]
- Barbosa, L.N.; da Silva Probst, I.; Andrade, B.F.M.T.; Alves, F.C.B.; Albano, M.; da Cunha, M.D.L.R.D.S.; Doyama, J.T.; Rall, V.L.M.; Júnior, A.F. In vitro antibacterial and chemical properties of essential oils including native plants from Brazil against pathogenic and resistant bacteria. J. Oleo Sci. 2015, 64, 289–298. [Google Scholar] [CrossRef]
- Silva, F.; Lourenço, O.; Queiroz, J.A.; Domingues, F.C. Bacteriostatic versus bactericidal activity of ciprofloxacin in Escherichia coli assessed by flow cytometry using a novel far-red dye. J. Antibiot. 2011, 64, 321–325. [Google Scholar] [CrossRef]
- Liang, D.; Feng, B.; Li, N.; Su, L.; Wang, Z.; Kong, F.; Bi, Y. Preparation, characterization, and biological activity of Cinnamomum cassia essential oil nano-emulsion. Ultrason. Sonochem. 2022, 86, 106009. [Google Scholar] [CrossRef] [PubMed]
- O’Toole, G.A.; Pratt, L.A.; Watnick, P.I.; Newman, D.K.; Weaver, V.B.; Kolter, R. Genetic approaches to study of biofilms. Methods Enzymol. 1999, 310, 91–109. [Google Scholar]
- Gómez-Sequeda, N.; Cáceres, M.; Stashenko, E.E.; Hidalgo, W.; Ortiz, C. Antimicrobial and antibiofilm activities of essential oils against Escherichia coli O157: H7 and methicillin-resistant Staphylococcus aureus (MRSA). Antibiotics 2020, 9, 730. [Google Scholar] [CrossRef] [PubMed]
- Rota, M.C.; Herrera, A.; Martínez, R.M.; Sotomayor, J.A.; Jordán, M.J. Antimicrobial activity and chemical composition of Thymus vulgaris, Thymus zygis and Thymus hyemalis essential oils. Food Control 2008, 19, 681–687. [Google Scholar] [CrossRef]
- Stepanović, S.; Vuković, D.; Hola, V.; Bonaventura, G.D.; Djukić, S.; Ćirković, I.; Ruzicka, F. Quantification of biofilm in microtiter plates: Overview of testing conditions and practical recommendations for assessment of biofilm production by staphylococci. Apmis 2007, 115, 891–899. [Google Scholar] [CrossRef] [PubMed]
- Abdella, B.; Shokrak, N.M.; Abozahra, N.A.; Elshamy, Y.M.; Kadira, H.I.; Mohamed, R.A. Aquaculture and Aeromonas hydrophila: A complex interplay of environmental factors and virulence. Aquac. Int. 2024, 32, 7671–7681. [Google Scholar] [CrossRef]
- Du, Y.; Liu, P.; Meng, L.; Sharawy, Z.; Liu, Y. Colonization of Aeromonas salmonicida subsp. masoucida strains in Atlantic salmon (Salmo salar L.) during infection. Aquac. Res. 2018, 49, 1826–1833. [Google Scholar]
- Abd-El-Malek, A.M. Incidence and virulence characteristics of Aeromonas spp. in fish. Vet. World 2017, 10, 34. [Google Scholar] [CrossRef] [PubMed]
- El Deen, A.N.; Dorgham-Sohad, M.; Hassan-Azza, H.M.; Hakim, A.S. Studies on Aeromonas hydrophila in cultured Oreochromis niloticus at Kafr El Sheikh Governorate, Egypt with reference to histopathological alterations in some vital organs. World J. Fish Mar. Sci. 2014, 6, 233–240. [Google Scholar]
- Ebbed, A.S.; Alaa Eldin, M.A.; Mohamed, A.M.; Basma, F.E. Prevalence of Aeromonas species and their herbal control in fish. Glob. Vet. 2017, 18, 286–293. [Google Scholar]
- Neil, B.; Cheney, G.L.; Rosenzweig, J.A.; Sha, J.; Chopra, A.K. Antimicrobial resistance in aeromonads and new therapies targeting quorum sensing. Appl. Microbiol. Biotechnol. 2024, 108, 205. [Google Scholar] [CrossRef]
- Aziz, Z.A.A.; Ahmad, A.; Setapar, S.H.M.; Karakucuk, A.; Azim, M.M.; Lokhat, D.; Rafatullah, M.; Ganash, M.; Kamal, M.A.; Ashraf, G.M. Essential oils: Extraction techniques, pharmaceutical and therapeutic potential-a review. Curr. Drug Metab. 2018, 19, 1100–1110. [Google Scholar] [CrossRef]
- Falleh, H.; Jemaa, M.B.; Saada, M.; Ksouri, R. Essential oils: A promising eco-friendly food preservative. Food Chem. 2020, 330, 127268. [Google Scholar] [CrossRef] [PubMed]
- Souza, C.D.F.; Baldissera, M.D.; Baldisserotto, B.; Heinzmann, B.M.; Martos-Sitcha, J.A.; Mancera, J.M. Essential oils as stress-reducing agents for fish aquaculture: A review. Front. Physiol. 2019, 10, 785. [Google Scholar] [CrossRef] [PubMed]
- Vidács, A.; Kerekes, E.; Rajkó, R.; Petkovits, T.; Alharbi, N.S.; Khaled, J.M.; Vágvölgyi, C.; Krisch, J. Optimization of essential oil-based natural disinfectants against Listeria monocytogenes and Escherichia coli biofilms formed on polypropylene surfaces. J. Mol. Liq. 2018, 255, 257–262. [Google Scholar] [CrossRef]
- Frankič, T.; Voljč, M.; Salobir, J.; Rezar, V. Use of herbs and spices and their extracts in animal nutrition. Acta Agric. Slov. 2009, 94, 95–102. [Google Scholar] [CrossRef]
- Lim, A.C.; Tang, S.C.H.; Zin, N.M.; Maisarah, A.M.; Ariffin, I.A.; Ker, P.J.; Mahlia, T.M.I. Chemical composition, antioxidant, antibacterial, and antibiofilm activities of Backhousia citriodora essential oil. Molecules 2022, 27, 4895. [Google Scholar] [CrossRef] [PubMed]
- Nazzaro, F.; Fratianni, F.; De Martino, L.; Coppola, R.; De Feo, V. Effect of essential oils on pathogenic bacteria. Pharmaceuticals 2013, 6, 1451–1474. [Google Scholar] [CrossRef]
- Semeniuc, C.A.; Pop, C.R.; Rotar, A.M. Antibacterial activity and interactions of plant essential oil combinations against Gram-positive and Gram-negative bacteria. J. Food Drug Anal. 2017, 25, 403–408. [Google Scholar] [CrossRef]
- Hou, T.; Sansa, S.S.; Li, H.; Xing, Y.; Nanda, A.; Netala, V.R.; Zhang, Z. Essential oils and its antibacterial, antifungal and anti-oxidant activity applications: A review. Food Biosci. 2022, 47, 101716. [Google Scholar] [CrossRef]
- Thielmann, J.; Muranyi, P.; Kazman, P. Screening essential oils for their antimicrobial activities against the foodborne pathogenic bacteria Escherichia coli and Staphylococcus aureus. Heliyon 2019, 5, e01860. [Google Scholar] [CrossRef]
- Mutlu-Ingok, A.; Tasir, S.; Seven, A.; Akgun, N.; Karbancioglu-Guler, F. Evaluation of the single and combined antibacterial efficiency of essential oils for controlling Campylobacter coli, Campylobacter jejuni, Escherichia coli, Staphylococcus aureus, and mixed cultures. Flavour Fragr. J. 2019, 34, 280–287. [Google Scholar] [CrossRef]
- De Aguiar, F.C.; Solarte, A.L.; Gómez, L.; Galan-Relaño, A.; Luque, I.; Tarradas, C.; Rodriguez-Ortega, M.J.; Huerta, B. Antimicrobial susceptibility of selected Essential Oils and their compounds against Streptococcus suis. Res. Sq. 2020, 74, 63–72. [Google Scholar]
- Abers, M.; Schroeder, S.; Goelz, L.; Sulser, A.; St. Rose, T.; Puchalski, K.; Langland, J. Antimicrobial activity of the volatile substances from essential oils. BMC Complement Altern. Med. 2021, 21, 124. [Google Scholar] [CrossRef] [PubMed]
- Kolypetri, S.; Kostoglou, D.; Nikolaou, A.; Kourkoutas, Y.; Giaouris, E. Chemical composition, antibacterial and antibiofilm actions of oregano (Origanum vulgare subsp. Hirtum) essential oil against Salmonella Typhimurium and Listeria monocytogenes. Foods 2023, 12, 2893. [Google Scholar]
- Băicuș, A.; Mattuzzi, F.C.; Paraschiv, A.M.; Dinu, R.S.; Dumitrescu, M.C.; Marinescu, A.A.; Ionescu, D.; Dragos, D. Antibacterial Activity of Clove, Oregano, Thyme, Eucalyptus, and Tea Tree Essential Oils against and strains. Rev. Rom. Med. Lab. 2022, 30, 327–338. [Google Scholar]
- Sienkiewicz, M.; Łysakowska, M.; Denys, P.; Kowalczyk, E. The antimicrobial activity of thyme essential oil against multidrug resistant clinical bacterial strains. Mic. Drug Resist. 2012, 18, 137–148. [Google Scholar] [CrossRef]
- Sienkiewicz, M.; Łysakowska, M.; Ciecwierz, J.; Denys, P.; Kowalczyk, E. Antibacterial activity of thyme and lavender essential oils. Med. Chem. 2011, 7, 674–689. [Google Scholar] [CrossRef]
- de Sá Silva, C.; de Figueiredo, H.M.; Stamford, T.L.M.; da Silva, L.H.M. Inhibition of Listeria monocytogenes by Melaleuca alternifolia (tea tree) essential oil in ground beef. Int. J. Food Microbiol. 2019, 293, 79–86. [Google Scholar] [CrossRef] [PubMed]
- Mahboubi, M.; Kazempour, N. Chemical composition and antimicrobial activity of peppermint (Mentha piperita L.) Essential oil. Songklanakarin J. Sci. Technol. 2014, 36, 83–87. [Google Scholar]
- Soleimani, M.; Arzani, A.; Arzani, V.; Roberts, T.H. Phenolic compounds and antimicrobial properties of mint and thyme. J. Herb. Med. 2022, 36, 100604. [Google Scholar] [CrossRef]
- Zhan, X.; Tan, Y.; Lv, Y.; Fang, J.; Zhou, Y.; Gao, X.; Zhu, H.; Shi, C. The antimicrobial and antibiofilm activity of oregano essential oil against Enterococcus faecalis and its application in chicken breast. Foods 2022, 11, 2296. [Google Scholar] [CrossRef]
- Vidaković Knežević, S.; Knežević, S.; Vranešević, J.; Kravić, S.Ž.; Lakićević, B.; Kocić-Tanackov, S.; Karabasil, N. Effects of selected essential oils on Listeria monocytogenes in biofilms and in a model food system. Foods 2023, 12, 1930. [Google Scholar] [CrossRef] [PubMed]
- Kachur, K.; Suntres, Z. The antibacterial properties of phenolic isomers, carvacrol and thymol. Crit. Rev. Food Sci. Nutr. 2020, 60, 3042–3053. [Google Scholar] [CrossRef]
- Stępień-Pyśniak, D.; Hauschild, T.; Kosikowska, U.; Dec, M.; Urban-Chmiel, R. Biofilm formation capacity and presence of virulence factors among commensal Enterococcus spp. from wild birds. Sci. Rep. 2019, 9, 11204. [Google Scholar] [CrossRef]
- Talagrand-Reboul, E.; Jumas-Bilak, E.; Lamy, B. The social life of Aeromonas through biofilm and quorum sensing systems. Front. Microbiol. 2017, 8, 37. [Google Scholar] [CrossRef]
- Cordeiro, L.; Figueiredo, P.; Souza, H.; Sousa, A.; Andrade-Júnior, F.; Medeiros, D.; Nóbrega, J.; Silva, D.; Martins, E.; Barbosa-Filho, J.; et al. Terpinen-4-ol as an Antibacterial and Antibiofilm Agent against Staphylococcus aureus. Int. J. Mol. Sci. 2020, 21, 4531. [Google Scholar] [CrossRef] [PubMed]
- Al-Wandawy, A.H.; Zwain, L.A.; Omer, S.A. Antibacterial and antibiofilm effect of menthol and thymol on vaginal bacteria. Indian J. Forensic Med. Toxicol. 2020, 14, 414–418. [Google Scholar]
- Liu, F.; Jin, P.; Gong, H.; Sun, Z.; Du, L.; Wang, D. Antibacterial and antibiofilm activities of thyme oil against foodborne multiple antibiotics-resistant Enterococcus faecalis. Poult. Sci. 2020, 99, 5127–5136. [Google Scholar] [CrossRef]
- Qureshi, W.; Saeed, F.; Ajaz, M.; Rasool, S.A. In vitro antimicrobial, antibiofilm and antiphage activity of thyme (Thymus vulgaris). Pak. J. Bot. 2022, 22, 660–666. [Google Scholar] [CrossRef]
- de Oliveira, M.A.; da C Vegian, M.R.; Brighenti, F.L.; Salvador, M.J.; Koga-Ito, C.Y. Antibiofilm effects of Thymus vulgaris and Hyptis spicigera essential oils on cariogenic bacteria. Future Microbiol. 2021, 16, 241–255. [Google Scholar] [CrossRef]
- Liu, T.; Wang, J.; Gong, X.; Wu, X.; Liu, L.; Chi, F. Rosemary and tea tree essential oils exert Antibiofilm activities in vitro against Staphylococcus aureus and Escherichia coli. J. Food Prot. 2020, 83, 1261–1267. [Google Scholar] [CrossRef]
- Sarwar, W.; Ali, Q.; Ahmed, S. Microscopic visualization of the antibiofilm potential of essential oils against Staphylococcus aureus and Klebsiella pneumoniae. Microsc. Res. Tech. 2022, 85, 3921–3931. [Google Scholar] [CrossRef] [PubMed]







| Essential Oil | Chemical Composition | Essential Oil | Chemical Composition |
|---|---|---|---|
| Eucalyptus EO (Eucalyptus globulus LABILL.) | α-pinene β-pinene sabinene α-phellandrene limonene 1.8-cineol camphor | Pine EO (Pinus silvestris L.) | α-pinene camphene β-pinene car-3-ene β-myrcene limonene β-phellandrene p-cymene terpinolene bornyl acetate β-caryophyllene |
| Knee timber EO (Pini mungo L.) | α-pinene camphene β-pinene car-3-ene limonene p-cymene terpinolene bornyl acetate β-caryophyllene | Rosemary EO (Rosmarinus officinalis L.) | α-pinene camphene β-pinene β-myrcene limonene cineol p-cymene camphor bornyl acetate α-terpineol borneol verbenone |
| Peppermint EO (Mentha piperita L.) | limonene cineol menthone menthofuran isomenthone menthyl acetate isopulegol menthol pulegone carvone cineol/limonene | Thyme EO (Thymus vulgaris L.) | β-myrcene γ-terpinene p-cymene linalool terpinen-4-ol thymol carvacrol |
| Oregano EO (Origanum vulgare L.) | carvacrol | Tea tree EO (Melaleuca alternifolia) | terpinen-4-ol |
| Biochemical Test | A. hydrophila (n = 4) | A. salmonicida subsp. masoucida (n = 12) | A. veronii (n = 4) |
|---|---|---|---|
| % of Positive Results | |||
| Oxidase | 100.0 | 100.0 | 100.0 |
| Catalase | 100.0 | 100.0 | 100.0 |
| Urease | 0.0 | 8.33 | 0.0 |
| Arginine | 50.0 | 91.67 | 100.0 |
| Ornithine | 0.0 | 8.33 | 0.0 |
| Lysin | 25.0 | 8.33 | 100.0 |
| Acetamide | 0.0 | 8.33 | 0.0 |
| β-glucosidase | 50.0 | 100.0 | 0.0 |
| N-acetyl-β-d-glucosaminidase | 100.0 | 100.0 | 100.0 |
| Simmons citrate | 75.0 | 58.33 | 100.0 |
| Lactose | 50.0 | 8.33 | 0.0 |
| Mannitol | 100.0 | 100.0 | 100.0 |
| Trehalose | 100.0 | 100.0 | 100.0 |
| Xylose | 0.0 | 0.0 | 0.0 |
| Arabinose | 100.0 | 50.0 | 0.0 |
| α-Galactosidase | 0.0 | 0.0 | 75.0 |
| β-Galactosidase | 100.0 | 83.33 | 100.0 |
| Malonate | 25.0 | 0.0 | 100.0 |
| Galactose | 100.0 | 100.0 | 75.0 |
| Maltose | 100.0 | 100.0 | 75.0 |
| Cellobiose | 100.0 | 66.67 | 25.0 |
| Saccharose | 100.0 | 100.0 | 75.0 |
| Inositol | 0.0 | 0.0 | 25.0 |
| γ-Glutamyltransferase | 100.0 | 100.0 | 75.0 |
| Phosphatase | 100.0 | 83.33 | 0.0 |
| Aesculin | 25.0 | 33.33 | 0.0 |
| Bacterial Isolate | Oregano | Thyme | Tea Tree | Peppermint | Rosemary | Eucalyptus | Pine | Knee Timber | Ciprofloxacin | |
|---|---|---|---|---|---|---|---|---|---|---|
| A. salmonicida subsp. masoucida | Isolate 4 | 38.67 ± 6.03 a | 46.0 ± 5.29 a | 26.0 ± 1.0 b | 24.0 ± 1.0 b | 23.33 ± 5.77 b | 17.67 ± 2.08 bc | 16.67 ± 2.52 bc | 14.0 ± 4.36 c | 32.67 ± 0.15 |
| Isolate 7 | 37.0 ± 4.36 a | 44.0 ± 1.0 b | 21.33 ± 1.53 ce | 23.0 ± 2.65 c | 18.67 ± 2.08 cef | 15.67 ± 0.12 de | 14.67 ± 1.53 df | 10.33 ± 1.15 d | 24.33 ± 0.12 | |
| Isolate 24 | 41.67 ± 1.53 a | 36.0 ± 1.0 a | 28.67 ± 0.8 b | 17.67 ± 3.06 bd | 20.33 ± 6.81 bd | 17.67 ± 2.52 bd | 16.0 ± 1.73 cd | 8.33 ± 1.53 c | 32.0 ± 0.1 | |
| Isolate 27 | 39.67 ± 0.58 a | 40.33 ± 4.73 a | 32.33 ± 5.86 ab | 26.67 ± 4.73 bc | 19.33 ± 1.15 ce | 16.67 ± 2.08 de | 17.33 ± 0.58 cd | 9.0 ± 1.73 d | 34.33 ± 0.06 | |
| Isolate 59 | 39.0 ± 1.0 ac | 41.0 ± 1.0 a | 34.33 ± 2.08 bc | 36.0 ± 2.0 c | 17.33 ± 1.53 d | 24.33 ± 2.08 e | 28.67 ± 0.15 e | 16.67 ± 1.15 d | 26.33 ± 0.15 | |
| Isolate 63 | 43.67 ± 2.08 a | 43.33 ± 1.15 a | 37.67 ± 1.53 b | 29.0 ± 2.65 ce | 24.0 ± 2.0 e | 26.67 ± 1.15 ce | 29.67 ± 1.53 c | 18.67 ± 2.08 d | 35.33 ± 0.12 | |
| Isolate 70 | 32.67 ± 2.52 a | 39.33 ± 1.53 b | 34.0 ± 1.0 a | 35.0 ± 1.0 ab | 11.0 ± 1.73 e | 20.33 ± 1.53 c | 26.67 ± 1.53 d | 17.0 ± 1.0 c | 31.67 ± 0.12 | |
| Isolate 71 | 32.0 ± 1.0 ac | 40.33 ± 4.73 b | 37.67 ± 1.53 ab | 30.0 ± 1.0 ce | 25.67 ± 2.08 ef | 23.67 ± 1.53 f | 21.67 ± 0.58 f | 11.67 ± 1.53 d | 37.33 ± 0.15 | |
| Isolate 73 | 34.33 ± 1.15 a | 46.67 ± 0.58 b | 36.33 ± 2.31 a | 38.67 ± 2.08 a | 24.33 ± 1.15 d | 25.67 ± 2.08 d | 25.0 ± 1.73 d | 10.33 ± 0.58 c | 30.67 ± 0.06 | |
| Isolate 84 | 42.33 ± 0.58 a | 43.67 ± 0.5 a | 22.33 ± 2.08 b | 28.33 ± 1.53 c | 23.67 ± 1.53 b | 26.0 ± 1.0 bc | 25.0 ± 3.0 bc | 8.33 ± 0.58 d | 29.67 ± 0.06 | |
| Isolate 85 | 34.0 ± 1.0 a | 44.0 ± 1.0 b | 33.67 ± 1.53 a | 34.67 ± 1.53 a | 22.0 ± 1.0 d | 23.0 ± 2.0 d | 16.67 ± 1.53 c | 18.0 ± 1.0 c | 25.33 ± 0.15 | |
| Isolate 86 | 33.67 ± 1.15 a | 33.33 ± 1.53 a | 39.0 ± 1.0 b | 31.33 ± 2.52 a | 16.0 ± 1.0 ce | 22.67 ± 2.08 d | 17.33 ± 1.53 e | 12.33 ± 1.53 c | 23.67 ± 0.06 | |
| A. hydrophila | Isolate 65 | 40.33 ± 1.53 a | 31.0 ± 1.0 b | 42.0 ± 2.0 a | 31.67 ± 2.08 b | 12.33 ± 1.53 e | 20.0 ± 1.0 c | 25.67 ± 1.53 d | 18.0 ± 2.0 c | 15.33 ± 0.15 |
| Isolate 69 | 24.67 ± 4.51 ac | 30.33 ± 1.53 ab | 33.67 ± 1.53 b | 23.67 ± 1.53 c | 11.33 ± 1.53 e | 20.67 ± 1.53 cd | 17.0 ± 2.65 de | 15.0 ± 1.0 de | 27.0 ± 0.17 | |
| Isolate 72 | 32.67 ± 2.52 a | 32.0 ± 1.0 a | 28.67 ± 1.53 a | 31.0 ± 1.0 b | 14.33 ± 1.53 c | 20.0 ± 1.0 d | 23.33 ± 1.53 d | 12.67 ± 1.16 c | 29.33 ± 0.06 | |
| Isolate 74 | 38.33 ± 0.58 a | 41.0 ± 1.0 a | 41.0 ± 1.0 a | 26.0 ± 2.0 b | 26.67 ± 0.58 b | 21.33 ± 0.58 c | 16.0 ± 1.0 d | 21.0 ± 1.0 c | 25.0 ± 0.1 | |
| A. veronii | Isolate 87 | 29.0 ± 1.0 a | 41.0 ± 1.0 b | 32.33 ± 2.52 ab | 35.33 ± 1.15 c | 26.67 ± 0.58 a | 20.67 ± 1.53 d | 16.67 ± 1.53 e | 21.0 ± 1.0 d | 29.0 ± 0.1 |
| Isolate 88 | 36.0 ± 1.0 ac | 40.0 ± 1.0 b | 39.33 ± 0.58 ab | 33.33 ± 2.08 c | 23.67 ± 1.53 e | 26.67 ± 1.53 e | 26.33 ± 1.53 e | 19.33 ± 1.53 d | 28.67 ± 0.15 | |
| Isolate 89 | 28.33 ± 1.53 ac | 40.67 ± 1.15 b | 29.0 ± 1.0 a | 24.33 ± 2.08 c | 16.33 ± 0.58 d | 18.67 ± 1.53 d | 16.7 ± 1.53 d | 16.67 ± 1.53 d | 29.33 ± 0.15 | |
| Isolate 90 | 30.33 ± 1.15 a | 43.0 ± 1.0 b | 35.0 ± 1.0 c | 33.67 ± 1.53 c | 18.0 ± 1.0 f | 23.0 ± 1.0 e | 21.33 ± 1.53 e | 13.0 ± 1.0 d | 24.33 ± 0.06 | |
| Bacterial Isolate | Oregano | Thyme | Tea Tree | Peppermint | |
|---|---|---|---|---|---|
| A. salmonicida subsp. masoucida | Isolate 4 | 0.06 ± 0.005 | 0.06 ± 0.005 | 0.25 ± 0.013 | 0.25 ± 0.007 |
| Isolate 7 | 0.06 ± 0.01 | 0.125 ± 0.001 | 0.25 ± 0.006 | 0.25 ± 0.011 | |
| Isolate 24 | 0.06 ± 0.026 | 0.125 ± 0.008 | 0.25 ± 0.003 | 0.25 ± 0.0 | |
| Isolate 27 | 0.06 ± 0.002 | 0.125 ± 0.002 | 0.25 ± 0.039 | 0.25 ± 0.049 | |
| Isolate 59 | 0.125 ± 0.006 | 0.125 ± 0.008 | 0.25 ± 0.005 | 0.5 ± 0.001 | |
| Isolate 63 | 0.125 ± 0.001 | 0.125 ± 0.002 | 0.25 ± 0.002 | 0.5 ± 0.005 | |
| Isolate 70 | 0.125 ± 0.002 | 0.125 ± 0.007 | 0.25 ± 0.008 | 0.25 ± 0.004 | |
| Isolate 71 | 0.125 ± 0.003 | 0.125 ± 0.007 | 0.5 ± 0.01 | 0.5 ± 0.001 | |
| Isolate 73 | 0.06 ± 0.005 | 0.125 ± 0.001 | 0.25 ± 0.005 | 0.25 ± 0.006 | |
| Isolate 84 | 0.125 ± 0.004 | 0.125 ± 0.003 | 0.5 ± 0.014 | 0.5 ± 0.003 | |
| Isolate 85 | 0.125 ± 0.006 | 0.125 ± 0.006 | 0.5 ± 0.016 | 0.5 ± 0.018 | |
| Isolate 86 | 0.125 ± 0.002 | 0.125 ± 0.002 | 0.5 ± 0.01 | 0.5 ± 0.003 | |
| A. hydrophila | Isolate 65 | 0.125 ± 0.002 | 0.125 ± 0.001 | 0.5 ± 0.001 | 0.5 ± 0.002 |
| Isolate 69 | 0.125 ± 0.003 | 0.125 ± 0.006 | 0.5 ± 0.001 | 0.5 ± 0.002 | |
| Isolate 72 | 0.125 ± 0.008 | 0.125 ± 0.007 | 0.5 ± 0.003 | 0.5 ± 0.001 | |
| Isolate 74 | 0.125 ± 0.003 | 0.125 ± 0.006 | 0.5 ± 0.001 | 0.5 ± 0.003 | |
| A. veronii | Isolate 87 | 0.06 ± 0.034 | 0.25 ± 0.006 | 1.0 ± 0.001 | 1.0 ± 0.004 |
| Isolate 88 | 0.125 ± 0.003 | 0.25 ± 0.003 | 1.0 ± 0.004 | 1.0 ± 0.003 | |
| Isolate 89 | 0.125 ± 0.002 | 0.25 ± 0.002 | 1.0 ± 0.06 | 1.0 ± 0.02 | |
| Isolate 90 | 0.125 ± 0.001 | 0.25 ± 0.006 | 1.0 ± 0.007 | 0.5 ± 0.02 | |
| Isolate | Oregano (µL/mL/%) | Thyme (µL/mL/%) | Tea Tree (µL/mL/%) | Peppermint (µL/mL/%) |
|---|---|---|---|---|
| A. hydrophila (Isolate 69) | 0.015/63.94 | 0.06/72.2 | 0.06/52.99 | 0.015/63.94 |
| A. salmonicida subsp. masoucida (Isolate 85) | 0.015/51.95 | 0.015/60.92 | 0.015/54.11 | 0.06/59.65 |
| A. veronii (Isolate 87) | 0.03/57.4 | 0.06/58.28 | 0.125/53.54 | 0.25/55.37 |
| A. veronii (Isolate 88) | 0.03/56.84 | 0.06/59.27 | 0.06/57.43 | 0.25/73.23 |
| A. veronii (Isolate 89) | 0.06/69.76 | 0.06/55.55 | 0.25/54.6 | 0.25/70.32 |
| A. veronii (Isolate 90) | 0.03/50.7 | 0.03/53.11 | 0.25/58.6 | 0.25/56.78 |
Disclaimer/Publisher’s Note: The statements, opinions and data contained in all publications are solely those of the individual author(s) and contributor(s) and not of MDPI and/or the editor(s). MDPI and/or the editor(s) disclaim responsibility for any injury to people or property resulting from any ideas, methods, instructions or products referred to in the content. |
© 2024 by the authors. Licensee MDPI, Basel, Switzerland. This article is an open access article distributed under the terms and conditions of the Creative Commons Attribution (CC BY) license (https://creativecommons.org/licenses/by/4.0/).
Share and Cite
Hudecová, P.; Koščová, J.; Hajdučková, V.; Király, J.; Horňak, P. Antibacterial and Antibiofilm Activity of Essential Oils Against Aeromonas spp. Isolated from Rainbow Trout. Animals 2024, 14, 3202. https://doi.org/10.3390/ani14223202
Hudecová P, Koščová J, Hajdučková V, Király J, Horňak P. Antibacterial and Antibiofilm Activity of Essential Oils Against Aeromonas spp. Isolated from Rainbow Trout. Animals. 2024; 14(22):3202. https://doi.org/10.3390/ani14223202
Chicago/Turabian StyleHudecová, Patrícia, Jana Koščová, Vanda Hajdučková, Ján Király, and Peter Horňak. 2024. "Antibacterial and Antibiofilm Activity of Essential Oils Against Aeromonas spp. Isolated from Rainbow Trout" Animals 14, no. 22: 3202. https://doi.org/10.3390/ani14223202
APA StyleHudecová, P., Koščová, J., Hajdučková, V., Király, J., & Horňak, P. (2024). Antibacterial and Antibiofilm Activity of Essential Oils Against Aeromonas spp. Isolated from Rainbow Trout. Animals, 14(22), 3202. https://doi.org/10.3390/ani14223202

