Estimating Ross 308 Broiler Chicken Weight Through Integration of Random Forest Model and Metaheuristic Algorithms
Simple Summary
Abstract
1. Introduction
- The linear regression (LR) and RF models were developed to predict the weight of ROSS 308 broiler chickens.
- A novel approach that combines RF with five powerful metaheuristic optimization algorithms (PSO, GA, ACO, DE, and the GSA) was created to enhance weight prediction.
- The accuracy, applicability, and reliability of these algorithms were compared using data collected weekly from six poultry farms in Samsun, Türkiye, during the summer and winter seasons of 2014–2021.
2. Background
2.1. Random Forest (RF)
2.2. Metaheuristic Algorithms
- Genetic Algorithm (GA)
- Differential Evolution (DE)
- Gravitational Search Algorithm (GSA)
- Particle Swarm Optimization (PSO)
- Ant Colony Optimization (ACO)
2.3. Linear Regression (LR)
3. Methodology
3.1. Experimental Building and Data
3.2. Data Pre-Processing
3.3. Performance Criteria of Model
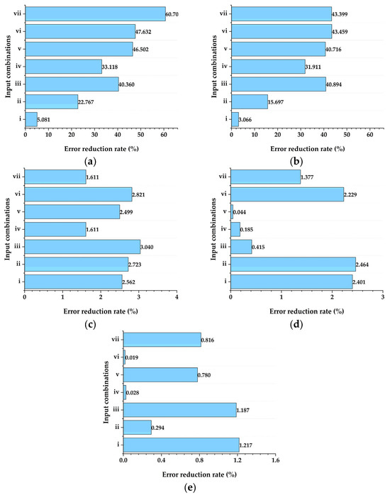
4. Results and Discussion
5. Conclusions
Author Contributions
Funding
Institutional Review Board Statement
Informed Consent Statement
Data Availability Statement
Acknowledgments
Conflicts of Interest
References
- Berckmans, D. Precision livestock farming technologies for welfare management in intensive livestock systems. Rev. Sci. Tech. 2014, 33, 189–196. [Google Scholar] [CrossRef] [PubMed]
- Henchion, M.; McCarthy, M.; Resconi, V.C.; Troy, D. Meat consumption: Trends and quality matters. Meat. Sci. 2014, 98, 561–568. [Google Scholar] [CrossRef] [PubMed]
- Whitton, C.; Bogueva, D.; Marinova, D.; Phillips, C.J. Are we approaching peak meat consumption? Analysis of meat consumption from 2000 to 2019 in 35 countries and its relationship to gross domestic product. Animals 2021, 11, 3466. [Google Scholar] [CrossRef]
- Mallick, P.; Muduli, K.; Biswal, J.N.; Pumwa, J. Broiler poultry feed cost optimization using linear programming technique. J. Oper. Strateg. Plan. 2020, 3, 31–57. [Google Scholar] [CrossRef]
- Mortensen, A.K.; Lisouski, P.; Ahrendt, P. Weight prediction of broiler chickens using 3D computer vision. Comput. Electron. Agric. 2016, 123, 319–326. [Google Scholar] [CrossRef]
- Flock, D.; Laughlin, K.; Bentley, J. Minimizing losses in poultry breeding and production: How breeding companies contribute to poultry welfare. World’s Poult. Sci. J. 2005, 61, 227–237. [Google Scholar] [CrossRef]
- Nyalala, I.; Okinda, C.; Kunjie, C.; Korohou, T.; Nyalala, L.; Chao, Q. Weight and volume estimation of poultry and products based on computer vision systems: A review. Poult. Sci. 2021, 100, 101072. [Google Scholar] [CrossRef]
- Wang, L.; Sun, C.; Li, W.; Ji, Z.; Zhang, X.; Wang, Y.; Yang, X. Establishment of broiler quality estimation model based on depth image and BP neural network. Trans. Chin. Soc. Agric. Eng. 2017, 33, 199–205. [Google Scholar]
- Amraei, S.; Mehdizadeh, S.A.; Sallary, S. Application of computer vision and support vector regression for weight prediction of live broiler chicken. Eng. Agric. Environ. Food 2017, 10, 266–271. [Google Scholar] [CrossRef]
- Wang, K.; Pan, J.; Rao, X.; Yang, Y.; Wang, F.; Zheng, R.; Ying, Y. An image-assisted rod-platform weighing system for weight information sampling of broilers. Trans. ASABE 2018, 61, 631–640. [Google Scholar] [CrossRef]
- Chedad, A.; Vranken, E.; Aerts, J.M.; Berckmans, D. Behaviour of chickens towards automatic weighing systems. IFAC Proc. Vol. 2000, 33, 207–212. [Google Scholar] [CrossRef]
- Chedad, A.; Aerts, J.M.; Vranken, E.; Lippens, M.; Zoons, J.; Berckmans, D. Do heavy broiler chickens visit automatic weighing systems less than lighter birds? Brit. Poult. Sci. 2003, 44, 663–668. [Google Scholar] [CrossRef] [PubMed]
- Küçüktopcu, E.; Cemek, B. Comparative analysis of artificial intelligence and nonlinear models for broiler growth curve. Int. J. Agric. Wild. Sci. 2021, 7, 515–523. [Google Scholar] [CrossRef]
- Sekeroglu, A.; Tahtalı, Y.; Sarica, M.; MS, G.; SH, A.; Duman, M. Comparison of growth curves of broiler under different stocking densities by gompertz model. Kafkas Üniversitesi Vet. Fakültesi Derg. 2013, 19, 669–672. [Google Scholar]
- Topal, M.; Bolukbasi, Ş. Comparison of nonlinear growth curve models in broiler chickens. J. Appl. Anim. Res. 2008, 34, 149–152. [Google Scholar] [CrossRef]
- Moharrery, A.; Kargar, A. Artificial Neural Network for prediction of plasma hormones, liver enzymes and performance in broilers. J. Anim. Feed. Sci. 2007, 16, 293. [Google Scholar] [CrossRef]
- Koushandeh, A.; Chamani, M.; Yaghobfar, A.; Sadeghi, A.A.; Baneh, H. Comparison of the accuracy of nonlinear models and artificial neural network in the performance prediction of Ross 308 broiler chickens. Poult. Sci. J. 2019, 7, 151–161. [Google Scholar]
- Ahmad, H. Poultry growth modeling using neural networks and simulated data. J. Appl. Poult. Res. 2009, 18, 440–446. [Google Scholar] [CrossRef]
- Demmers, T.G.; Cao, Y.; Gauss, S.; Lowe, J.C.; Parsons, D.J.; Wathes, C.M. Neural predictive control of broiler chicken growth. IFAC Proc. Vol. 2010, 43, 311–316. [Google Scholar] [CrossRef]
- Ahmadi, H.; Golian, A. Growth analysis of chickens fed diets varying in the percentage of metabolizable energy provided by protein, fat, and carbohydrate through artificial neural network. Poult. Sci. 2010, 89, 173–179. [Google Scholar] [CrossRef]
- Ghazanfari, S. Application of linear regression and artificial neural network for broiler chicken growth performance prediction. Iran. J. Appl. Anim. Sci. 2014, 4, 411–416. [Google Scholar]
- Johansen, S.V.; Bendtsen, J.D.; Martin, R.; Mogensen, J. Data driven broiler weight forecasting using dynamic neural network models. IFAC-Pap. Online 2017, 50, 5398–5403. [Google Scholar] [CrossRef]
- Pedrozo Abreu, L.H.; Yanagi Junior, T.; Bahuti, M.; Lima, R.R.D.; Lourençoni, D.; Fassani, É.J. Performance of broilers submitted to different intensities and duration of thermal stress. Dyna 2019, 86, 131–137. [Google Scholar] [CrossRef]
- James, G.; Witten, D.; Hastie, T.; Tibshirani, R. An Introduction to Statistical Learning, 1st ed.; Springer: Cham, Switzerland, 2013; pp. 135–596. [Google Scholar]
- Boulesteix, A.L.; Janitza, S.; Kruppa, J.; König, I.R. Overview of random forest methodology and practical guidance with emphasis on computational biology and bioinformatics. Wiley Interdiscip. Rev. Data Min. Knowl. Discov. 2012, 2, 493–507. [Google Scholar] [CrossRef]
- Tunca, E.; Köksal, E.S.; Öztürk, E.; Akay, H.; Çetin Taner, S. Accurate leaf area index estimation in sorghum using high-resolution UAV data and machine learning models. Phys. Chem. Earth Parts A/B/C 2024, 133, 103537. [Google Scholar] [CrossRef]
- Küçüktopcu, E. Comparative analysis of data-driven techniques to predict heating and cooling energy requirements of poultry buildings. Buildings 2023, 13, 142. [Google Scholar] [CrossRef]
- El-Shafiey, M.G.; Hagag, A.; El-Dahshan, E.S.A.; Ismail, M.A. A hybrid GA and PSO optimized approach for heart-disease prediction based on random forest. Multimed. Tools Appl. 2022, 81, 18155–18179. [Google Scholar] [CrossRef]
- Yang, L.; Shami, A. On hyperparameter optimization of machine learning algorithms: Theory and practice. Neurocomputing 2020, 415, 295–316. [Google Scholar] [CrossRef]
- Wang, W.C.; Xu, D.M.; Chau, K.W.; Chen, S. Improved annual rainfall-runoff forecasting using PSO–SVM model based on EEMD. J. Hydroinform. 2013, 15, 1377–1390. [Google Scholar] [CrossRef]
- Dariane, A.; Azimi, S. Forecasting streamflow by combination of a genetic input selection algorithm and wavelet transforms using ANFIS models. Hydrol. Sci. J. 2016, 61, 585–600. [Google Scholar] [CrossRef]
- Yaseen, Z.M.; Ebtehaj, I.; Bonakdari, H.; Deo, R.C.; Mehr, A.D.; Mohtar, W.H.M.W.; Singh, V.P. Novel approach for streamflow forecasting using a hybrid ANFIS-FFA model. J. Hydrol. 2017, 554, 263–276. [Google Scholar] [CrossRef]
- Yarat, S.; Senan, S.; Orman, Z. A comparative study on PSO with other metaheuristic methods. In Applying Particle Swarm Optimization, 1st ed.; Adıgüzel Mercangöz, B., Ed.; Springer: Cham, Switzerland, 2021; Volume 1, pp. 49–72. [Google Scholar]
- Abdel-Basset, M.; Abdel-Fatah, L.; Sangaiah, A.K. Metaheuristic algorithms: A comprehensive review. In Computational Intelligence for Multimedia Big Data on the Cloud with Engineering Applications, 1st ed.; Arun Kumar Sangaiah, A.K., Sheng, M., Zhang, Z., Eds.; Elsevier: London, UK, 2018; Volume 1, pp. 185–231. [Google Scholar]
- Kareem, S.W.; Ali, K.W.H.; Askar, S.; Xoshaba, F.S.; Hawezi, R. Metaheuristic algorithms in optimization and its application: A review. J. Adv. Res. Elec. Eng. 2022, 6, 7–12. [Google Scholar] [CrossRef]
- Breiman, L. Random forests. Mach. Learn. 2001, 45, 5–32. [Google Scholar] [CrossRef]
- Liaw, A.; Wiener, M. Classification and regression by random forest. R News 2002, 2, 18–22. [Google Scholar]
- Zhu, T. Analysis on the applicability of the random forest. J. Phys. Conf. Ser. 2020, 1607, 012123. [Google Scholar] [CrossRef]
- Yeşilkanat, C.M. Spatio-temporal estimation of the daily cases of COVID-19 in worldwide using random forest machine learning algorithm. Chaos Solitons Fractals 2020, 140, 110210. [Google Scholar] [CrossRef]
- Ok, A.O.; Akar, O.; Gungor, O. Evaluation of random forest method for agricultural crop classification. Eur. J. Remote Sens. 2012, 45, 421–432. [Google Scholar] [CrossRef]
- You, J.; van der Klein, S.A.; Lou, E.; Zuidhof, M.J. Application of random forest classification to predict daily oviposition events in broiler breeders fed by precision feeding system. Comput. Electron. Agric. 2020, 175, 105526. [Google Scholar] [CrossRef]
- Kulkarni, A.J.; Siarry, P. Metaheuristics for sustainable supply chain management. Eng. Appl. Artif. Intell. 2024, 133, 108239. [Google Scholar] [CrossRef]
- Lilichenko, M.; Kelley, A.M. Application of artificial neural networks and genetic algorithms to modeling molecular electronic spectra in solution. J. Chem. Phys. 2001, 114, 7094–7102. [Google Scholar] [CrossRef]
- Eslami, F.; Kamali, R. Developing machine learning models with metaheuristic algorithms for droplet size prediction in a microfluidic microchannel. Swarm Evol. Comput. 2024, 87, 101583. [Google Scholar] [CrossRef]
- Kramer, O.; Kramer, O. Genetic algorithms. In Genetic Algorithm Essentials, 1st ed.; Kacprzyk, J., Ed.; Springer: Cham, Switzerland, 2017; Volume 679, pp. 11–19. [Google Scholar]
- Storn, R.; Price, K. Differential evolution–a simple and efficient heuristic for global optimization over continuous spaces. J. Glob. Optim. 1997, 11, 341–359. [Google Scholar] [CrossRef]
- Kulkarni, A.J.; Siarry, P. Handbook of AI-Based Metaheuristics, 1st ed.; CRC Press: Boca Raton, FL, USA, 2022; pp. 3–392. [Google Scholar]
- Hashemi, A.; Dowlatshahi, M.B.; Nezamabadi-Pour, H. Gravitational search algorithm: Theory, literature review, and applications. In Handbook of AI-Based Metaheuristics, 1st ed.; Kulkarni, A.J., Siarry, P., Eds.; CRC Press: Boca Raton, FL, USA, 2022; pp. 119–150. [Google Scholar]
- Kennedy, J.; Eberhart, R. Particle swarm optimization. In Proceedings of the International Conference on Neural Networks, Perth, WA, Australia, 27 November 1995. [Google Scholar]
- Marini, F.; Walczak, B. Particle swarm optimization (PSO). A tutorial. Chemom. Intell. Lab. Syst. 2015, 149, 153–165. [Google Scholar] [CrossRef]
- Dorigo, M. Ant colony optimization. Scholarpedia 2007, 2, 1461. [Google Scholar] [CrossRef]
- Blum, C. Ant colony optimization: Introduction and recent trends. Phys. Life Rev. 2005, 2, 353–373. [Google Scholar] [CrossRef]
- Saadat, H.B.; Torshizi, R.V.; Manafiazar, G.; Masoudi, A.A.; Ehsani, A.; Shahinfar, S. An initial investigation into the use of machine learning methods for prediction of carcass component yields in F2 broiler chickens. Anim. Produc. Sci. 2024, 64, AN23129. [Google Scholar]
- Shahinfar, S.; Khansefid, M.; Haile-Mariam, M.; Pryce, J.E. Machine learning approaches for the prediction of lameness in dairy cows. Animal 2021, 15, 100391. [Google Scholar] [CrossRef]
- Jain, M.; Saihjpal, V.; Singh, N.; Singh, S.B. An overview of variants and advancements of PSO algorithm. Appl. Sci. 2022, 12, 8392. [Google Scholar] [CrossRef]
- Wang, D.; Tan, D.; Liu, L. Particle swarm optimization algorithm: An overview. Soft Comput. 2018, 22, 387–408. [Google Scholar] [CrossRef]
- Asokan, P.; Saravanan, R.; Vijayakumar, K. Machining parameters optimisation for turning cylindrical stock into a continuous finished profile using genetic algorithm (GA) and simulated annealing (SA). Int. J. Adv. Manuf. Technol. 2003, 21, 1–9. [Google Scholar] [CrossRef]
- Zhang, X.; Chen, X.; He, Z. An ACO-based algorithm for parameter optimization of support vector machines. Expert. Syst. Appl. 2010, 37, 6618–6628. [Google Scholar] [CrossRef]
- Duan, H.B.; Wang, D.B.; Yu, X.F. Novel approach to nonlinear PID parameter optimization using ant colony optimization algorithm. J. Bionic Eng. 2006, 3, 73–78. [Google Scholar] [CrossRef]
- Shuang, B.; Chen, J.; Li, Z. Study on hybrid PS-ACO algorithm. Appl. Intell. 2011, 34, 64–73. [Google Scholar] [CrossRef]
- Zaharie, D. Influence of crossover on the behavior of differential evolution algorithms. Appl. Soft Comput. 2009, 9, 1126–1138. [Google Scholar] [CrossRef]
- Weber, M.; Neri, F.; Tirronen, V. A study on scale factor in distributed differential evolution. Inform. Sci. 2011, 181, 2488–2511. [Google Scholar] [CrossRef]
- Sarafrazi, S.; Nezamabadi-Pour, H. Facing the classification of binary problems with a GSA-SVM hybrid system. Math. Comput. Model. 2013, 57, 270–278. [Google Scholar] [CrossRef]
- Azad, A.; Farzin, S.; Kashi, H.; Sanikhani, H.; Karami, H.; Kisi, O. Prediction of river flow using hybrid neuro-fuzzy models. Arab. J. Geosci. 2018, 11, 718. [Google Scholar] [CrossRef]
- Elbeltagi, E.; Hegazy, T.; Grierson, D. Comparison among five evolutionary-based optimization algorithms. Adv. Eng. İnformatics 2005, 19, 43–53. [Google Scholar] [CrossRef]
- Elghardouf, N.; Ennaciri, Y.; Elakkary, A.; Sefiani, N. Multi-loop active disturbance rejection control and PID control strategy for poultry house based on GA, PSO and GWO algorithms. Heliyon 2024, 10, e29579. [Google Scholar] [CrossRef]
- Supattananon, N.; Akararungruangkul, R. The modified particle swarm optimization for a special case of the assignment problem: A case study in chicken transportation. Math. Problem. Eng. 2020, 2020, 5716985. [Google Scholar] [CrossRef]
- Alfarisy, G.A.F.; Mahmudy, W.F.; Natsir, M.H. Good parameters for PSO in optimizing laying hen diet. Int. J. Electric. Comp. Eng. 2018, 8, 2419–2432. [Google Scholar]





| Parameters | Unit | Min | Max | Mean | SD | Sk | Kr | |
|---|---|---|---|---|---|---|---|---|
| Training | T | °C | 20.030 | 30.550 | 25.649 | 2.997 | −0.270 | −0.695 |
| RH | % | 56.410 | 72.780 | 64.178 | 3.865 | 0.054 | −0.422 | |
| FC | g | 150.000 | 4448.000 | 1938.622 | 1470.146 | 0.429 | −1.155 | |
| CW | g | 145.000 | 2714.000 | 1289.439 | 847.932 | 0.202 | −1.311 | |
| Testing | T | °C | 20.180 | 30.520 | 26.138 | 2.926 | −0.393 | −0.417 |
| RH | % | 57.150 | 72.470 | 63.859 | 3.978 | 0.107 | −0.519 | |
| FC | g | 158.000 | 4440.000 | 1863.362 | 1543.647 | 0.517 | −1.188 | |
| CW | g | 157.000 | 2685.000 | 1238.448 | 895.216 | 0.326 | −1.320 |
| Model | Inputs | Training | Testing | ||
|---|---|---|---|---|---|
| MAE | R | MAE | R | ||
| RF | T | 216.097 | 0.906 | 291.134 | 0.855 |
| RH | 340.817 | 0.806 | 394.552 | 0.767 | |
| FC | 26.520 | 0.999 | 39.639 | 0.997 | |
| T and RH | 75.406 | 0.983 | 112.374 | 0.958 | |
| T and FC | 27.631 | 0.999 | 37.755 | 0.998 | |
| RH and FC | 26.513 | 0.999 | 38.867 | 0.998 | |
| T, RH, and FC | 23.060 | 0.999 | 38.587 | 0.998 | |
| LR | T | 345.192 | 0.831 | 387.818 | 0.792 |
| RH | 648.554 | 0.380 | 664.290 | 0.502 | |
| FC | 82.816 | 0.993 | 80.043 | 0.994 | |
| T and RH | 331.533 | 0.856 | 376.514 | 0.823 | |
| T and FC | 72.837 | 0.994 | 73.812 | 0.995 | |
| RH and FC | 81.062 | 0.994 | 75.328 | 0.995 | |
| T, RH, and FC | 67.876 | 0.995 | 67.019 | 0.995 | |
| Algorithms | Parameters | i | ii | iii | iv | v | vi | vii |
|---|---|---|---|---|---|---|---|---|
| PSO | Cognitive component | 1 | 1 | 2 | 1 | 1.5 | 1 | 2 |
| Social component | 1.5 | 1.5 | 1 | 1 | 2 | 2 | 1.5 | |
| Inertia weight | 0.4 | 0.4 | 0.4 | 0.4 | 0.9 | 0.4 | 0.6 | |
| GA | Crossover rate | 0.9 | 0.9 | 0.5 | 0.5 | 0.5 | 0.7 | 0.9 |
| Mutation rate | 0.01 | 0.05 | 0.01 | 0.01 | 0.05 | 0.05 | 0.05 | |
| DE | Crossover probability | 0.5 | 0.9 | 0.9 | 0.5 | 0.9 | 0.5 | 0.9 |
| Scaling factor | 0.5 | 0.5 | 0.5 | 0.5 | 0.5 | 0.5 | 0.5 | |
| ACO | Pheromone evaporation rate | 0.1 | 0.4 | 0.1 | 0.1 | 0.4 | 0.2 | 0.1 |
| Selection pressure | 0.5 | 1 | 0.5 | 0.5 | 1.5 | 1 | 1.5 | |
| Zeta | 0.5 | 0.1 | 0.5 | 0.1 | 0.5 | 0.5 | 1 | |
| GSA | The coefficient of decrease | 50 | 100 | 100 | 150 | 100 | 100 | 150 |
| The initial value of the gravitational constant | 20 | 30 | 30 | 20 | 10 | 30 | 10 | |
| All algorithms | Population | 30 | 30 | 30 | 30 | 30 | 30 | 30 |
| Number of iterations | 200 | 200 | 200 | 200 | 200 | 200 | 200 |
| Algorithms | Training | Testing | ||
|---|---|---|---|---|
| MAE | R | MAE | R | |
| RF-PSO | 7.138 | 0.999 | 15.162 | 0.998 |
| RF-ACO | 23.625 | 0.999 | 21.841 | 0.997 |
| RF-GA | 23.664 | 0.999 | 37.965 | 0.997 |
| RF-GSA | 23.815 | 0.999 | 38.272 | 0.997 |
| RF-DE | 22.773 | 0.999 | 38.056 | 0.997 |
Disclaimer/Publisher’s Note: The statements, opinions and data contained in all publications are solely those of the individual author(s) and contributor(s) and not of MDPI and/or the editor(s). MDPI and/or the editor(s) disclaim responsibility for any injury to people or property resulting from any ideas, methods, instructions or products referred to in the content. |
© 2024 by the authors. Licensee MDPI, Basel, Switzerland. This article is an open access article distributed under the terms and conditions of the Creative Commons Attribution (CC BY) license (https://creativecommons.org/licenses/by/4.0/).
Share and Cite
Küçüktopçu, E.; Cemek, B.; Yıldırım, D. Estimating Ross 308 Broiler Chicken Weight Through Integration of Random Forest Model and Metaheuristic Algorithms. Animals 2024, 14, 3082. https://doi.org/10.3390/ani14213082
Küçüktopçu E, Cemek B, Yıldırım D. Estimating Ross 308 Broiler Chicken Weight Through Integration of Random Forest Model and Metaheuristic Algorithms. Animals. 2024; 14(21):3082. https://doi.org/10.3390/ani14213082
Chicago/Turabian StyleKüçüktopçu, Erdem, Bilal Cemek, and Didem Yıldırım. 2024. "Estimating Ross 308 Broiler Chicken Weight Through Integration of Random Forest Model and Metaheuristic Algorithms" Animals 14, no. 21: 3082. https://doi.org/10.3390/ani14213082
APA StyleKüçüktopçu, E., Cemek, B., & Yıldırım, D. (2024). Estimating Ross 308 Broiler Chicken Weight Through Integration of Random Forest Model and Metaheuristic Algorithms. Animals, 14(21), 3082. https://doi.org/10.3390/ani14213082

