Temporal Distribution Patterns of Cryptic Brachionus calyciflorus (Rotifera) Species in Relation to Biogeographical Gradient Associated with Latitude
Abstract
Simple Summary
Abstract
1. Introduction
2. Materials and Methods
2.1. Sample Collection and Environment Variables Analyses
2.2. DNA Extraction, PCR Amplification and Sequencing
2.3. Sequence Alignment and Phylogenetic Analyses
2.4. COI/ITS1 Group Diagnosis and Abundance Estimation
2.5. Data Analysis
3. Results
3.1. Temporal Variation in Environmental Variables
3.2. Sequence Variation, Phylogenetic Relationships, and COI/ITS1 Group Diagnosis
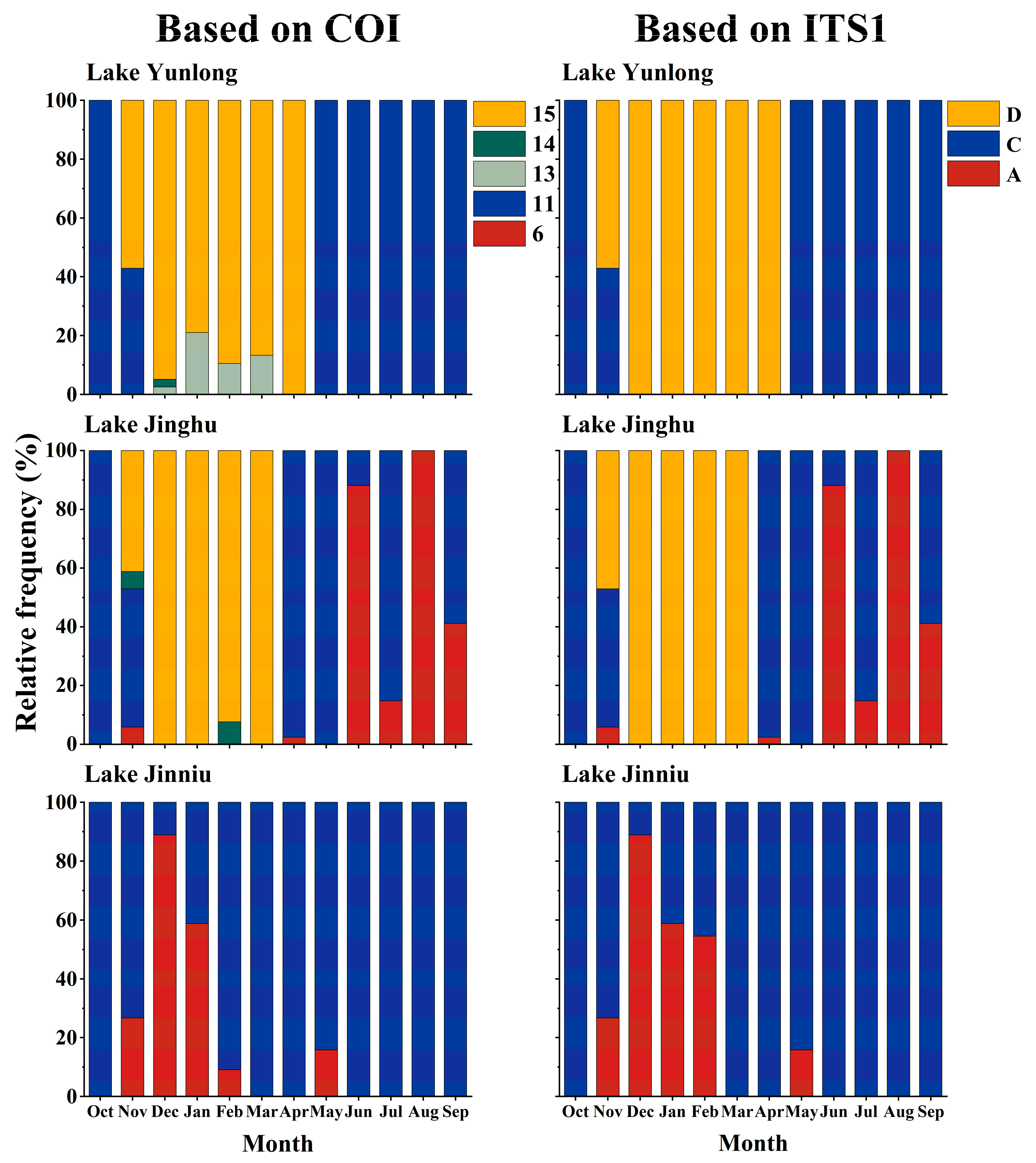
3.3. Temporal Distributions, Relative Frequencies, and Densities of COI/ITS1 Groups
3.4. Effects of Environmental Variables on the Relative Frequencies and Densities of COI/ITS1 Groups
4. Discussion
5. Conclusions
Supplementary Materials
Author Contributions
Funding
Institutional Review Board Statement
Informed Consent Statement
Data Availability Statement
Acknowledgments
Conflicts of Interest
References
- Knowlton, N. Sibling species in the sea. Annu. Rev. Ecol. Evol. Syst. 1993, 24, 189–216. [Google Scholar] [CrossRef]
- Schonrogge, K.; Barr, B.; Wardlaw, J.C.; Napper, E.; Gardner, M.G.; Breen, J.; Elmes, G.W.; Thomas, J.A. When rare species become endangered: Cryptic speciation in myrmecophilous hoverflies. Biol. J. Linn. Soc. 2002, 75, 291–300. [Google Scholar] [CrossRef]
- Bickford, D.; Lohman, D.J.; Sodhi, N.S. Cryptic species as a window on diversity and conservation. Trends Ecol. Evol. 2007, 22, 148–155. [Google Scholar] [CrossRef] [PubMed]
- Dayrat, B. Towards integrative taxonomy. Biol. J. Linn. Soc. 2005, 85, 407–415. [Google Scholar] [CrossRef]
- Puillandre, N.; Lambert, A.; Brouillet, S.; Achaz, G. ABGD, automatic barcode gap discovery for primary species delimitation. Mol. Ecol. 2012, 21, 1864–1877. [Google Scholar] [CrossRef] [PubMed]
- Leibold, M.; McPeek, M. Coexistence of the niche and neutral perspectives in community ecology. Ecology 2006, 87, 1399–1410. [Google Scholar] [CrossRef] [PubMed]
- Gabaldón, C.; Fontaneto, D.; Carmona, M.J.; Montero-Pau, J.; Serra, M. Ecological differentiation in cryptic rotifer species: What we can learn from the Brachionus plicatilis complex. Hydrobiologia 2017, 796, 7–18. [Google Scholar] [CrossRef]
- Ortells, R.; Gómez, A.; Serra, M. Coexistence of cryptic rotifer species: Ecological and genetic characterization of Brachionus plicatilis. Freshw. Biol. 2003, 48, 2194–2202. [Google Scholar] [CrossRef]
- Nicholls, B.; Racey, P.A. Contrasting home-range size and spatial partitioning in cryptic and sympatric pipistrelle bats. Behav. Ecol. Sociobiol. 2006, 61, 131–142. [Google Scholar] [CrossRef]
- Wellborn, G.A.; Cothran, R.D. Niche diversity in crustacean cryptic species: Complementarity in spatial distribution and predation risk. Oecologia 2007, 154, 175–183. [Google Scholar] [CrossRef]
- Leibold, M.A. The niche concept revisited: Mechanistic models and community context. Ecology 1995, 76, 1371–1382. [Google Scholar] [CrossRef]
- Chase, J.; Leibold, M. Ecological Niches: Linking Classical and Contemporary Approaches; University of Chicago Press: Chicago, IL, USA, 2003. [Google Scholar]
- Walczyńska, A.; Fontaneto, D.; Kordbacheh, A.; Hamil, S.; Jimenez-Santos, M.A.; Paraskevopoulou, S.; Pociecha, A.; Zhang, W. Niche differentiation in rotifer cryptic species complexes: A review of environmental effects. Hydrobiologia 2023. [Google Scholar] [CrossRef]
- Gómez, A.; Temprano, M.; Serra, M. Ecological genetics of a cyclical parthenogen in temporary habitats. J. Evol. Biol. 1995, 8, 601–622. [Google Scholar] [CrossRef]
- Gómez, A.; Carmona, M.J.; Serra, M. Ecological factors affecting gene flow in the Brachionus plicatilis complex (Rotifera). Oecologia 1997, 111, 350–356. [Google Scholar] [CrossRef] [PubMed]
- Montero-Pau, J.; Ramos-Rodríguez, E.; Serra, M.; Gómez, A. Long-term coexistence of rotifer species. PLoS ONE 2011, 6, e21530. [Google Scholar] [CrossRef]
- Gabaldón, C.; Montero-Pau, J.; Serra, M.; Carmona, M.J. Morphological similarity and ecological overlap in two rotifer species. PLoS ONE 2013, 8, e57087. [Google Scholar] [CrossRef]
- Papakostas, S.; Michaloudi, E.; Triantafyllidis, A.; Kappas, I.; Abatzopoulos, T.J. Allochronic divergence and clonal succession: Two microevolutionary processes sculpturing population structure of Brachionus rotifers. Hydrobiologia 2013, 700, 33–45. [Google Scholar] [CrossRef]
- Campillo, S.; García-Roger, E.M.; Carmona, M.J.; Serra, M. Local adaptation in rotifer populations. Evol. Ecol. 2010, 25, 933–947. [Google Scholar] [CrossRef]
- Gabaldón, C.; Serra, M.; Carmona, M.J.; Montero-Pau, J. Life-history traits, abiotic environment and coexistence: The case of two cryptic rotifer species. J. Exp. Mar. Biol. Ecol. 2015, 465, 142–152. [Google Scholar] [CrossRef]
- Gabaldón, C.; Carmona, M.J.; Montero-Pau, J.; Serra, M. Long-term competitive dynamics of two cryptic rotifer species: Diapause and fluctuating conditions. PLoS ONE 2015, 10, e0124406. [Google Scholar] [CrossRef]
- Walczyńska, A.; Serra, M. Body size variability across habitats in the Brachionus plicatilis cryptic species complex. Sci. Rep. 2022, 12, 6912. [Google Scholar] [CrossRef]
- Ciros-Pérez, J.; Carmona, M.J.; Serra, M. Resource competition between sympatric cryptic rotifer species. Limnol. Oceanogr. 2001, 46, 1511–1523. [Google Scholar] [CrossRef]
- Ciros-Pérez, J.; Carmona, M.J.; Lapesa, S.; Serra, M. Predation as a factor mediating resource competition among rotifer cryptic species. Limnol. Oceanogr. 2004, 49, 40–50. [Google Scholar] [CrossRef]
- Lapesa, S.; Snell, T.W.; Fields, D.M. Selective feeding of Arctodiaptomus salinus (Copepoda, Calanoida) on co-occurring cryptic rotifer species. Freshw. Biol. 2004, 49, 1053–1061. [Google Scholar] [CrossRef]
- Michaloudi, E.; Papakostas, S.; Stamou, G.; Nedela, V.; Tihlarikova, E.; Zhang, W.; Declerck, S. Reverse taxonomy applied to the Brachionus calyciflorus cryptic species complex: Morphometric analysis confirms species delimitations revealed by molecular phylogenetic analysis and allows the (re)description of four species. PLoS ONE 2018, 13, e0203168. [Google Scholar] [CrossRef] [PubMed]
- Li, L.; Niu, C.J.; Ma, R. Rapid temporal succession identified by COI of the rotifer Brachionus calyciflorus Pallas in Xihai Pond, Beijing, China, in relation to ecological traits. J. Plankton Res. 2010, 32, 951–959. [Google Scholar] [CrossRef]
- Li, Y.; Xi, Y.-L.; Wang, A.; Niu, X.; Wen, X.; Liu, G. Temporal variation in composition of Brachionus calyciflorus complex and life history traits of sibling species in Lake Tingtang. Acta Ecol. Sin. 2014, 34, 6172–6181. [Google Scholar]
- Niu, X.; Xi, Y.-L.; Li, Y.; Wang, A.; Liu, G. Rapid change in structure of Brachionus calyciflorus complex collected from Jiulian Pond and its ecological mechanism. J. Appl. Ecol. 2013, 24, 3561–3566. [Google Scholar]
- Wen, X.-L.; Xi, Y.-L.; Zhang, G.; Xue, Y.-H.; Xiang, X.-L. Coexistence of cryptic Brachionus calyciflorus (Rotifera) species: Roles of environmental variables. J. Plankton Res. 2016, 38, 478–489. [Google Scholar] [CrossRef]
- Zhang, Y.; Zhou, A.; Xi, Y.-L.; Sun, Q.; Ning, L.-F.; Xie, P.; Wen, X.-L.; Xiang, X.-L. Temporal patterns and processes of genetic differentiation of the Brachionus calyciflorus (Rotifera) complex in a subtropical shallow lake. Hydrobiologia 2018, 807, 313–331. [Google Scholar] [CrossRef]
- Zhang, W.; Lemmen, K.D.; Zhou, L.; Papakostas, S.; Declerck, S.A. Patterns of differentiation in the life history and demography of four recently described species of the Brachionus calyciflorus cryptic species complex. Freshw. Biol. 2019, 64, 1994–2005. [Google Scholar] [CrossRef]
- Paraskevopoulou, S.; Dennis, A.B.; Weithoff, G.; Tiedemann, R. Temperature-dependent life history and transcriptomic responses in heat-tolerant versus heat-sensitive Brachionus rotifers. Sci. Rep. 2020, 10, 13281. [Google Scholar] [CrossRef] [PubMed]
- Wen, X.-L.; Xi, Y.-L.; Qian, F.P.; Zhang, G.; Xiang, X.-L. Comparative analysis of rotifer community structure in five subtropical shallow lakes in east China: Role of physical and chemical conditions. Hydrobiologia 2011, 661, 303–316. [Google Scholar] [CrossRef]
- Huang, X.-F. Survey, Observation and Analysis of Lake Ecology; Chinese Standard Press: Beijing, China, 1999. [Google Scholar]
- Montero-Pau, J.; Gómez, Á.; Muñoz, J. Application of an inexpensive and high-throughput genomic DNA extraction method for the molecular ecology of zooplanktonic diapausing eggs. Limnol. Oceanogr. 2008, 6, 218–222. [Google Scholar] [CrossRef]
- Folmer, O.; Black, M.; Hoeh, W. DNA primers for amplification of mitochondrial cytochrome coxidase subunit I from diverse metazoan invertebrates. Mol. Mar. Biol. Biotechnol. 1994, 3, 294–299. [Google Scholar] [PubMed]
- Xi, Y.-L.; Chen, Y.-Q.; Zhuge, Y.; Huang, X.-F. Sequence analysis of rDNA 18S-28S intergenic spacer regions from Brachionus calyciflorus, B. bidentata, B. diversicornis and B. angularis in lake Donghu, China. Acta Hydrobiol. Sin. 2003, 27, 427–430. [Google Scholar]
- Sara, H. Bioinformatik: BLAST. Biol. Unserer Zeit 2018, 48, 367–368. [Google Scholar]
- Posada, D.; Crandall, K.A. Modeltest: Testing the model of DNA substitution. Bioinformatics 1998, 9, 817–818. [Google Scholar] [CrossRef]
- Ronquist, F.; Huelsenbeck, J.P. MRBAYES 3: Bayesian Phylogenetic inference under mixed models. Bioinformatics 2003, 19, 1572–1574. [Google Scholar] [CrossRef]
- Xiang, X.-L.; Xi, Y.-L.; Wen, X.-L.; Zhang, G.; Wang, J.-X.; Hu, K. Patterns and processes in the genetic differentiation of the Brachionus calyciflorus complex, a passively dispersing freshwater zooplankton. Mol. Phylogenet. Evol. 2011, 59, 386–398. [Google Scholar] [CrossRef]
- Xiang, X.-L.; Xi, Y.-L.; Wen, X.-L.; Zhang, G.; Wang, J.-X.; Hu, K. Genetic differentiation and phylogeographical structure of the Brachionus calyciflorus complex in eastern China. Mol. Ecol. 2011, 20, 3027–3044. [Google Scholar] [CrossRef]
- Papakostas, S.E.; Michaloudi, K.; Proios, M.; Brehm, L.; Verhage, J.; Rota, J.; Peña, C.; Stamou, G.; Pritchard, V.L.; Fontaneto, D.; et al. Integrative taxonomy recognizes evolutionary units despite widespread mitonuclear discordance: Evidence from a rotifer cryptic species complex. Syst. Biol. 2016, 65, 508–524. [Google Scholar] [CrossRef] [PubMed]
- Fontaneto, D.; Kaya, M.; Herniou, E.A.; Barraclough, T.G. Extreme levels of hidden diversity in microscopic animals (Rotifera) revealed by DNA taxonomy. Mol. Phylogenet. Evol. 2009, 53, 182–189. [Google Scholar] [CrossRef] [PubMed]
- Mills, S.; Alcántara-Rodríguez, J.A.; Ciros-Pérez, J.; Gómez, A.; Hagiwara, A.; Galindo, K.H.; Walsh, E.J. Fifteen species in one: Deciphering the Brachionus plicatilis species complex (Rotifera, Monogononta) through DNA taxonomy. Hydrobiologia 2017, 796, 39–58. [Google Scholar] [CrossRef]
- Puillandre, N.; Modica, M.V.; Zhang, Y.; Sirovich, L.; Boisselier, M.C.; Cruaud, C.; Holford, M.; Samadi, S. Large-scale species delimitation method for hyperdiverse groups. Mol. Ecol. 2012, 21, 2671–2691. [Google Scholar] [CrossRef]
- Zhang, J.-J.; Kapli, P.; Pavlidis, P.; Stamatakis, A. A general species delimitation method with applications to phylogenetic placements. Bioinformatics 2013, 29, 2869–2876. [Google Scholar] [CrossRef]
- Fontaneto, D.; Iakovenko, N.; Eyres, I.; Kaya, M.; Wyman, M.; Barraclough, T.G. Cryptic diversity in the genus Adineta Hudson & Gosse, 1886 (Rotifera: Bdelloidea: Adinetidae): A DNA taxonomy approach. Hydrobiology 2011, 662, 27–33. [Google Scholar]
- Fontaneto, D.; Flot, J.F.; Tang, C.Q. Guidelines for DNA taxonomy with a focus on the meiofauna. Mar. Biodivers. 2015, 45, 433–451. [Google Scholar] [CrossRef]
- Sanderson, M.J. Estimating absolute rates of molecular evolution and divergence times: A penalized likelihood approach. Mol. Biol. Evol. 2002, 19, 101–109. [Google Scholar] [CrossRef]
- Xi, Y.-L.; Li, H.-B.; Cheng, X.-F. Morphometric differences among three cryptic species in Brachionus calyciflorus species complex. Acta Ecol. Sin. 2010, 30, 3645–3653. [Google Scholar]
- R Core Team. R: A Language and Environment for Statistical Computing Version 4.2.2; R Foundation for Statistical Computing: Vienna, Austria, 2022; Available online: https://www.R-project.org/ (accessed on 15 March 2023).
- Schlick-Steiner, B.C.; Arthofer, W.; Steiner, F.M. Take up the challenge! Opportunities for evolution research from resolving conflict in integrative taxonomy. Mol. Ecol. 2014, 23, 4192–4194. [Google Scholar] [CrossRef]
- Yang, W.; Deng, Z.; Blair, D.; Hu, W.; Yin, M. Phylogeography of the freshwater rotifer Brachionus calyciflorus species complex in China. Hydrobiologia 2022, 849, 2813–2829. [Google Scholar] [CrossRef]
- Avise, J.C. Phylogeography: The History and Formation of Species; Harvard University Press: Cambridge, MA, USA, 2000. [Google Scholar]
- Petit, R.; Excoffier, L. Gene flow and species delimitation. Trends Ecol. Evol. 2009, 24, 386–393. [Google Scholar] [CrossRef]
- Zhang, W.; Declerck, S.A.J. Intrinsic postzygotic barriers constrain cross-fertilization between two hybridising sibling rotifer species of the Brachionus calyciflorus species complex. Freshw. Biol. 2022, 67, 240–249. [Google Scholar] [CrossRef]
- Hebert, P. Interspecific hybridization between cyclic parthenogens. Evolution 1985, 39, 216–220. [Google Scholar] [CrossRef] [PubMed]
- King, C.E.; Serra, M. Seasonal variation as a determinant of population structure in rotifers reproducing by cyclical parthenogenesis. Hydrobiologia 1998, 387/388, 361–372. [Google Scholar] [CrossRef]
- Chesson, P. Mechanisms of maintenance of species diversity. Annu. Rev. Ecol. Evol. Syst. 2000, 31, 343–366. [Google Scholar] [CrossRef]
- Chesson, P.; Huntly, N. The roles of harsh and fluctuating conditions in the dynamics of ecological communities. Am. Nat. 1997, 150, 519–553. [Google Scholar] [CrossRef]





| Sample Code | Collection Date | Number of Sequenced Individuals | Tem (°C) | pH | Chl-a (μg L−1) | DO (mg L−1) | TN (mg L−1) | TP (mg L−1) | NH4+–N (mg L−1) |
|---|---|---|---|---|---|---|---|---|---|
| Lake Yunlong | |||||||||
| YL10 | Oct 2018 | 23 | 16.7 | 7.73 | 25.12 | 8.90 | 1.29 | 0.133 | 0.31 |
| YL11 | Nov 2018 | 7 | 10.9 | 8.16 | 22.39 | 1.42 | 1.61 | 0.090 | 0.33 |
| YL12 | Dec 2018 | 40 | 4.9 | 8.2 | 13.65 | 3.90 | 1.48 | 0.067 | 0.32 |
| YL01 | Jan 2019 | 19 | 3.7 | 8.85 | 8.19 | 2.14 | 2.32 | 0.046 | 0.41 |
| YL02 | Feb 2019 | 19 | 3.2 | 8.77 | 5.46 | 2.30 | 1.96 | 0.057 | 0.34 |
| YL03 | Mar 2019 | 15 | 14.0 | 8.6 | 26.75 | 1.97 | 1.96 | 0.058 | 0.46 |
| YL04 | Apr 2019 | 16 | 18.9 | 6.94 | 36.04 | 1.35 | 2.27 | 0.062 | 0.21 |
| YL05 | May 2019 | 30 | 23.6 | 8.92 | 33.85 | 1.74 | 1.91 | 0.065 | 0.33 |
| YL06 | Jun 2019 | 33 | 28.7 | 9.06 | 27.30 | 1.94 | 1.99 | 0.073 | 0.36 |
| YL07 | Jul 2019 | 26 | 28.3 | 8.92 | 66.07 | 1.13 | 1.37 | 0.092 | 0.40 |
| YL08 | Aug 2019 | 42 | 28.6 | 9.22 | 60.61 | 1.52 | 2.02 | 0.069 | 0.41 |
| YL09 | Sep 2019 | 20 | 23.0 | 8.48 | 50.23 | 1.53 | 1.90 | 0.095 | 0.44 |
| Lake Jinghu | |||||||||
| JH10 | Oct 2018 | 18 | 19.5 | 8.72 | 20.75 | 1.38 | 0.96 | 0.087 | 0.04 |
| JH11 | Nov 2018 | 17 | 5.6 | 8.93 | 19.66 | 2.66 | 0.93 | 0.073 | 0.04 |
| JH12 | Dec 2018 | 16 | 5.6 | 7.90 | 15.29 | 2.30 | 1.11 | 0.048 | 0.04 |
| JH01 | Jan 2019 | 20 | 8.0 | 9.16 | 10.37 | 2.35 | 0.92 | 0.049 | 0.05 |
| JH02 | Feb 2019 | 13 | 7.6 | 8.41 | 3.82 | 1.80 | 0.67 | 0.030 | 0.06 |
| JH03 | Mar 2019 | 20 | 16.5 | 8.85 | 37.67 | 1.21 | 1.16 | 0.086 | 0.05 |
| JH04 | Apr 2019 | 41 | 19.4 | 8.59 | 25.66 | 1.97 | 0.70 | 0.058 | 0.06 |
| JH05 | May 2019 | 15 | 25.2 | 9.19 | 12.01 | 1.44 | 0.84 | 0.082 | 0.15 |
| JH06 | Jun 2019 | 43 | 28.5 | 9.51 | 26.21 | 1.75 | 1.35 | 0.087 | 0.33 |
| JH07 | Jul 2019 | 27 | 34.3 | 8.93 | 42.04 | 0.77 | 0.68 | 0.031 | 0.10 |
| JH08 | Aug 2019 | 18 | 31.0 | 8.61 | 36.58 | 1.06 | 1.50 | 0.125 | 0.14 |
| JH09 | Sep 2019 | 17 | 25.9 | 8.49 | 22.93 | 1.04 | 1.06 | 0.078 | 0.31 |
| Lake Jinniu | |||||||||
| JN10 | Oct 2018 | 9 | 29.0 | 6.56 | 24.70 | 1.83 | 3.37 | 0.120 | 2.38 |
| JN11 | Nov 2018 | 15 | 26.0 | 6.60 | 40.18 | 0.51 | 8.73 | 1.000 | 1.67 |
| JN12 | Dec 2018 | 18 | 17.0 | 6.70 | 21.83 | 0.43 | 12.38 | 0.920 | 7.05 |
| JN01 | Jan 2019 | 17 | 20.0 | 6.20 | 115.40 | 8.06 | 11.61 | 0.300 | 5.65 |
| JN02 | Feb 2019 | 22 | 23.0 | 6.70 | 165.00 | 1.64 | 9.86 | 0.490 | 1.04 |
| JN03 | Mar 2019 | 38 | 25.0 | 6.70 | 45.80 | 4.47 | 4.96 | 0.180 | 1.77 |
| JN04 | Apr 2019 | 15 | 26.0 | 6.50 | 105.80 | 5.80 | 2.88 | 0.020 | 0.34 |
| JN05 | May 2019 | 38 | 26.0 | 6.50 | 215.90 | 5.34 | 3.46 | 0.180 | 0.26 |
| JN06 | Jun 2019 | 12 | 25.5 | 7.12 | 107.80 | 4.95 | 4.15 | 0.260 | 2.54 |
| JN07 | Jul 2019 | 9 | 25.5 | 6.70 | 36.48 | 5.07 | 6.73 | 0.090 | 1.51 |
| JN08 | Aug 2019 | 14 | 25.5 | 6.40 | 156.38 | 4.82 | 3.41 | 0.150 | 1.64 |
| JN09 | Sep 2019 | 28 | 25.0 | 6.40 | 74.63 | 6.05 | 4.02 | 0.190 | 1.18 |
| Groups | Lake Yunlong | Lake Jinghu | Lake Jingniu | |||||||
|---|---|---|---|---|---|---|---|---|---|---|
| Tem (A) | Chl-a (B) | A × B | Tem (A) | Chl-a (B) | A × B | Cop (A) | Chl-a (B) | A × B | ||
| “6” | z | - | - | - | 30.01 | 23.26 | −25.54 | −13.405 | 5.603 | 23.279 |
| P | - | - | - | <2 × 10−16 *** | <2 × 10−16 *** | <2 × 10−16 *** | <2 × 10−16 *** | <2.11 × 10−8 *** | <2 × 10−16 *** | |
| “11” | z | 8.978 | 4.923 | −0.916 | 36.892 | −1.924 | −4.899 | 273.1 | 140.3 | −171.5 |
| P | <2 × 10−16 *** | 8.53 × 10−7 *** | 0.36 | <2 × 10−16 *** | 0.0544 | 9.65 × 10−7 *** | <2 × 10−16 *** | <2 × 10−16 *** | <2 × 10−16 *** | |
| “13” | z | −0.109 | −0.611 | −1.312 | - | - | - | - | - | - |
| P | 0.913 | 0.541 | 0.19 | - | - | - | - | - | - | |
| “15” | z | −4.526 | 12.448 | −13.961 | 85.53 | 55.86 | −74.39 | - | - | - |
| P | 6.02 × 10−6 *** | <2 × 10−16 *** | <2 × 10−16 *** | <2 × 10−16 *** | <2 × 10−16 *** | 1.06 × 10−9 *** | - | - | - | |
| “A” | z | - | - | - | 30.21 | 23.30 | −25.59 | −12.39 | 14.86 | 21.52 |
| P | - | - | - | <2 × 10−16 *** | <2 × 10−16 *** | <2 × 10−16 *** | <2 × 10−16 *** | <2 × 10−16 *** | <2 × 10−16 *** | |
| “C” | z | 8.978 | 4.923 | −0.916 | 36.576 | −2.045 | −4.667 | 273.4 | 139.4 | −171.1 |
| P | <2 × 10−16 *** | 8.53 × 10−7 *** | 0.36 | <2 × 10−16 *** | 0.0408 * | 3.05 × 10−6 *** | <2 × 10−16 *** | <2 × 10−16 *** | <2 × 10−16 *** | |
| “D” | z | −4.98 | 11.81 | −13.41 | 74.21 | 51.74 | −66.63 | - | - | - |
| P | 6.35 × 10−7 *** | <2 × 10−16 *** | <2 × 10−16 *** | <2 × 10−16 *** | <2 × 10−16 *** | <2 × 10−16 *** | - | - | - | |
Disclaimer/Publisher’s Note: The statements, opinions and data contained in all publications are solely those of the individual author(s) and contributor(s) and not of MDPI and/or the editor(s). MDPI and/or the editor(s) disclaim responsibility for any injury to people or property resulting from any ideas, methods, instructions or products referred to in the content. |
© 2024 by the authors. Licensee MDPI, Basel, Switzerland. This article is an open access article distributed under the terms and conditions of the Creative Commons Attribution (CC BY) license (https://creativecommons.org/licenses/by/4.0/).
Share and Cite
Xu, Y.; Ge, L.-L.; Cheng, X.-F.; Xiang, X.-L.; Wen, X.-L.; Wang, Y.-J.; Fu, H.; Ge, Y.-L.; Xi, Y.-L. Temporal Distribution Patterns of Cryptic Brachionus calyciflorus (Rotifera) Species in Relation to Biogeographical Gradient Associated with Latitude. Animals 2024, 14, 244. https://doi.org/10.3390/ani14020244
Xu Y, Ge L-L, Cheng X-F, Xiang X-L, Wen X-L, Wang Y-J, Fu H, Ge Y-L, Xi Y-L. Temporal Distribution Patterns of Cryptic Brachionus calyciflorus (Rotifera) Species in Relation to Biogeographical Gradient Associated with Latitude. Animals. 2024; 14(2):244. https://doi.org/10.3390/ani14020244
Chicago/Turabian StyleXu, Yuan, Le-Le Ge, Xin-Feng Cheng, Xian-Ling Xiang, Xin-Li Wen, Yong-Jin Wang, Hao Fu, Ya-Li Ge, and Yi-Long Xi. 2024. "Temporal Distribution Patterns of Cryptic Brachionus calyciflorus (Rotifera) Species in Relation to Biogeographical Gradient Associated with Latitude" Animals 14, no. 2: 244. https://doi.org/10.3390/ani14020244
APA StyleXu, Y., Ge, L.-L., Cheng, X.-F., Xiang, X.-L., Wen, X.-L., Wang, Y.-J., Fu, H., Ge, Y.-L., & Xi, Y.-L. (2024). Temporal Distribution Patterns of Cryptic Brachionus calyciflorus (Rotifera) Species in Relation to Biogeographical Gradient Associated with Latitude. Animals, 14(2), 244. https://doi.org/10.3390/ani14020244
