Comparing the Performance of Automatic Milking Systems through Dynamic Testing Also Helps to Identify Potential Risk Factors for Mastitis
Abstract
Simple Summary
Abstract
1. Introduction
2. Materials and Methods
2.1. Herds and AMSs
2.2. Milking Dynamic Control
2.3. Data Recording and Statistical Analysis
3. Results
3.1. Data Description
3.2. Main Milking Parameters
3.3. Parameters Associated with Mastitis Risk
3.4. Frequencies of Bimodality and Irregular Vacuum Fluctuations
4. Discussion
5. Conclusions
Author Contributions
Funding
Institutional Review Board Statement
Informed Consent Statement
Data Availability Statement
Acknowledgments
Conflicts of Interest
References
- Sharipov, D.R.; Yakimov, O.A.; Gainullina, M.K.; Kashaeva, A.R.; Kamaldinov, I.N. Development of automatic milking systems and their classification. In Proceedings of the International Conference on Engineering Studies and Cooperation in Global Agricultural Production, Zernograd, Russia, 27–28 August 2020. [Google Scholar]
- Hamann, J.; Burvenich, C.; Bramley, A.J.; Osteras, O.; Woolford, M.; Woyke, M.; Haider, W.; Mayntz, M.; Ledu, J. Teat tissue reactions to machine milking and new infection risk. Bull. Int. Dairy Fed. 1994, 297, 1–43. [Google Scholar]
- Zecconi, A.; Hamann, J. Interpretation of machine effects on bovine teat tissues defence mechanisms. Milchwissenschaft 2006, 61, 356–359. [Google Scholar]
- Zecconi, A. Contagious mastitis control. FIL-IDF Bull. 2007, 416, 34–40. [Google Scholar]
- Hamann, J. Guidelines for the evaluation of the milking process. Bull. Int. Dairy Fed. 1997, 321, 26–30. [Google Scholar]
- Tancin, V.; Bruckmaier, R.M. Factors affecting milk ejection and removal during milking and suckling of dairy cows. Vet. Med. 2001, 46, 108–118. [Google Scholar] [CrossRef]
- Martin, T.; Gasselin, P.; Hostiou, N.; Feron, G.; Laurens, L.; Purseigle, F.; Ollivier, G. Robots and transformations of work in farm: A systematic review of the literature and a research agenda. Agron. Sustain. Dev. 2022, 42, 20. [Google Scholar] [CrossRef]
- Bijl, R.; Kooistra, S.R.; Hogeveen, H. The Profitability of Automatic Milking on Dutch Dairy Farms. J. Dairy Sci. 2007, 90, 239–248. [Google Scholar] [CrossRef] [PubMed]
- Jacobs, J.A.; Siegford, J.M. The impact of automatic milking systems on dairy cow management, behavior, health, and welfare. J. Dairy Sci. 2012, 95, 2227–2247. [Google Scholar] [CrossRef]
- Hansen, B.G.; Herje, H.O.; Höva, J. Profitability on dairy farms with automatic milking systems compared to farms with conventional milking systems. Int. Food Agribus. Manag. Rev. 2019, 22, 215–228. [Google Scholar] [CrossRef]
- Múnera-Bedoya, O.D.; Cassoli, L.D.; Machado, P.F.; Cerón-Muñoz, M.F. Influence of attitudes and behavior of milkers on the hygienic and sanitary quality of milk. PLoS ONE 2017, 12, e0184640. [Google Scholar] [CrossRef]
- Dufour, S.; Fréchette, A.; Barkema, H.W.; Mussell, A.; Scholl, D.T. Invited review: Effect of udder health management practices on herd somatic cell count. J. Dairy Sci. 2011, 94, 563–579. [Google Scholar] [CrossRef] [PubMed]
- Tarabla, H.D.; Dodd, K. Associations between farmers’ personal characteristics, management practices and farm performance. Br. Vet. J. 1990, 146, 157–164. [Google Scholar] [CrossRef] [PubMed]
- Kuczaj, M.; Mucha, A.; Kowalczyk, A.; Mordak, R.; Czerniawska-Piatkowska, E. Relationships between Selected Physiological Factors and Milking Parameters for Cows Using a Milking Robot. Animals 2020, 10, 2063. [Google Scholar] [CrossRef] [PubMed]
- Chikurtev, D.; Chikurteva, A.; Blagoeva, E. Technological Analysis of Types of Milking Systems and Robots: A Review. In Advances in Service and Industrial Robotics; Springer: Cham, Switzerland, 2024; pp. 575–584. [Google Scholar]
- Bruckmaier, R.M.; Wellnitz, O. Induction of milk ejection and milk removal in different production systems. J. Anim. Sci. 2008, 86, 15–20. [Google Scholar] [CrossRef]
- Odorcic, M.; Rasmussen, M.D.; Paulrud, C.O.; Bruckmaier, R.M. Review: Milking machine settings, teat condition and milking efficiency in dairy cows. Animal 2019, 13, S94–S99. [Google Scholar] [CrossRef]
- Castro, A.; Pereira, J.M.; Amiama, C.; Bueno, J. Estimating efficiency in automatic milking systems. J. Dairy Sci. 2012, 95, 929–936. [Google Scholar] [CrossRef]
- Pezzuolo, A.; Cillis, D.; Marinello, F.; Sartori, L. Estimating efficiency in automatic milking systems. In Proceedings of the 16th International Scientific Conference on Engineering for Rural Development, Jelgava, Latvia, 24–26 May 2017; pp. 736–741. [Google Scholar]
- Goodger, W.J.; Galland, J.C.; Christiansen, V.E. Survey of milking management practices on large dairy dairies and their relationship to udder health and production variables. J. Dairy Sci. 1988, 71, 2535–2542. [Google Scholar] [CrossRef]
- Vetter, A.; van Dorland, H.A.; Youssef, M.; Bruckmaier, R.M. Effects of a latency period between pre- stimulation and teat cup attachment and periodic vacuum reduction on milking characteristics and teat condition in dairy cows. J. Dairy Res. 2014, 81, 107–112. [Google Scholar] [CrossRef]
- Tancin, V.; Ipema, B.; Hogewerf, P.; Macuhova, J. Sources of variation in milk flow characteristics at udder and quarter levels. J. Dairy Sci. 2006, 89, 978–988. [Google Scholar] [CrossRef]
- Zecconi, A.; Frosi, S.; Cipolla, M.; Gusmara, C. Effects of chronic mastitis and its treatment with ketoprofen on the milk ejection curve. J. Dairy Res. 2018, 85, 50–52. [Google Scholar] [CrossRef]
- Erskine, R.J.; Norby, B.; Neuder, L.M.; Thomson, R.S. Decreased milk yield is associated with delayed milk ejection. J. Dairy Sci. 2019, 102, 6477–6484. [Google Scholar] [CrossRef] [PubMed]
- Besier, J.; Lind, O.; Bruckmaier, R.M. Dynamics of teat-end vacuum during machine milking: Types, causes and impacts on teat condition and udder health—A literature review. J. Appl. Anim. Res. 2016, 44, 263–272. [Google Scholar] [CrossRef]
- Bach, A.; Cabrera, V. Robotic milking: Feeding strategies and economic returns. J. Dairy Sci. 2017, 100, 7720–7728. [Google Scholar] [CrossRef] [PubMed]
- Fernandes, S.; Pereira, G.; Bexiga, R. Bimodal milk flow and overmilking in dairy cattle: Risk factors and consequences. Animal 2023, 17, 100716. [Google Scholar] [CrossRef] [PubMed]
- Aerts, J.; Sitkowska, B.; Piwczynski, D.; Kolenda, M.; Önder, H. The optimal level of factors for high daily milk yield in automatic milking system. Livest. Sci. 2022, 264, 10. [Google Scholar] [CrossRef]
- Tamburini, A.; Bava, L.; Piccinini, R.; Zecconi, A.; Zucali, M.; Sandrucci, A. Milk emission and udder health status in primiparous dairy cows during lactation. J. Dairy Res. 2010, 77, 13–19. [Google Scholar] [CrossRef]
- Zucali, M.; Bava, L.; Sandrucci, A.; Tamburini, A.; Piccinini, R.; Dapra, V.; Tonni, M.; Zecconi, A. Milk flow pattern, somatic cell count and teat apex score in primiparous dairy cows at the beginning of lactation. Ital. J. Anim. Sci. 2009, 8, 103–111. [Google Scholar] [CrossRef][Green Version]
- Jacobs, J.A.; Ananyeva, K.; Siegford, J.M. Dairy cow behavior affects the availability of an automatic milking system. J. Dairy Sci. 2012, 95, 2186–2194. [Google Scholar] [CrossRef]
- Weiss, D.; Bruckmaier, R.M. Optimization of individual prestimulation in dairy cows. J. Dairy Sci. 2005, 88, 137–147. [Google Scholar] [CrossRef] [PubMed]
- Jago, J.G.; Davis, K.L.; Copeman, P.J.; Woolford, M.M. The effect of pre-milking teat-brushing on milk processing time in an automated milking system. J. Dairy Res. 2006, 73, 187–192. [Google Scholar] [CrossRef]
- Lüdi, I.; Bruckmaier, R.M. The teat cup detachment level affects milking performance in an automatic milking system with teat cleaning and milking in the same teat cup. J. Dairy Res. 2022, 89, 279–284. [Google Scholar] [CrossRef] [PubMed]
- Sandrucci, A.; Tamburini, A.; Bava, L.; Zucali, M. Factors affecting milk flow traits in dairy cows: Results of a field study. J. Dairy Sci. 2007, 90, 1159–1167. [Google Scholar] [CrossRef] [PubMed]




| Characteristics | Brand | |||||
|---|---|---|---|---|---|---|
| A | B | C | D | E 1 | F 1 | |
| Traffic | Forced/free | Free | Forced/free | Free | Free | Free |
| Milking boxes | Single | Single | Single/multi | Single | Single/multi | Single/multi |
| Robot arm type | Special | Special | Special | Special | Special | Industrial |
| Drive control of the robot arm | Hydraulic | Electric | Electric | Pneumatic/electric | Electric | Electric |
| Robot arm location | Side of the udder | Side of the udder | Side of the udder | Side of the udder | Behind the udder | Side of the udder |
| Teat cleaning | Special cluster | Rotating brushes | Milking cluster | Rotating brushes | Special cluster | Special cluster |
| Entry and exit from milking box | Combined | Combined | Combined | Straight | Combined | Combined |
| Teat-end vacuum | Average teat-end vacuum with milk flow |
| Vacuum level and fluctuations | |
| Teat-end vacuum during peak flow | |
| Milking time testing | Presence of bimodal milking |
| Overmilking duration and vacuum | |
| Automatic take-off functioning | |
| Liner fit for teats | |
| Pulsator testing | Correct timing of the A, B, C, and D phases |
| Vacuum build-up in pulsator channels | |
| Cluster falloff testing | Vacuum recovery according to the ISO 6690 standard ISO 6690:2007 (Milking machine installations—Mechanical tests) |
| Slug test | Physical aspect of the slug in the milk line |
| Air injection rate and volume of water |
| Brand | Units | Frequency by Milk Yield (kg/Quarter) | ||||
|---|---|---|---|---|---|---|
| <2.50 | 2.51–3.50 | 3.51–4.50 | >4.50 | Total AMS Frequency | ||
| A | N | 59 a,1 | 107 b | 116 b | 216 c | 498 |
| % | 11.8% | 21.5% | 23.3% | 43.4% | 10.2% | |
| B | N | 247 a | 205 b | 169 b,c | 157 c | 778 |
| % | 31.7% | 26.3% | 21.7% | 20.2% | 15.9% | |
| C | N | 110 a | 262 b | 288 b,c | 334 c | 994 |
| % | 11.1% | 26.4% | 29.0% | 33.6% | 20.4% | |
| D | N | 769 a | 661 b | 631 b | 547 c | 2608 |
| % | 29.5% | 25.3% | 24.2% | 21.0% | 53.5% | |
| Total | N | 1185 | 1235 | 1204 | 1254 | 4878 |
| % | 24.3% | 25.3% | 24.7% | 25.7% | 100% | |
| Parameter | Factors | ||||
|---|---|---|---|---|---|
| Brand | Milk Yield | Brand × Milk Yield | p (Model) | R2 | |
| Milking duration | * | * | * | <0.001 | 22.1% |
| Milk let-down | * | n.s. a | * | <0.001 | 13.7% |
| Average milk flow | * | * | * | <0.001 | 20.2% |
| Mean vacuum during milking | * | * | * | <0.001 | 25.1% |
| Mean vacuum at peak | * | * | * | <0.001 | 29.7% |
| Parameter | Brand | Milk Yield (kg/Quarter) | |||
|---|---|---|---|---|---|
| <2.50 | 2.51–3.50 | 3.51–4.50 | >4.50 | ||
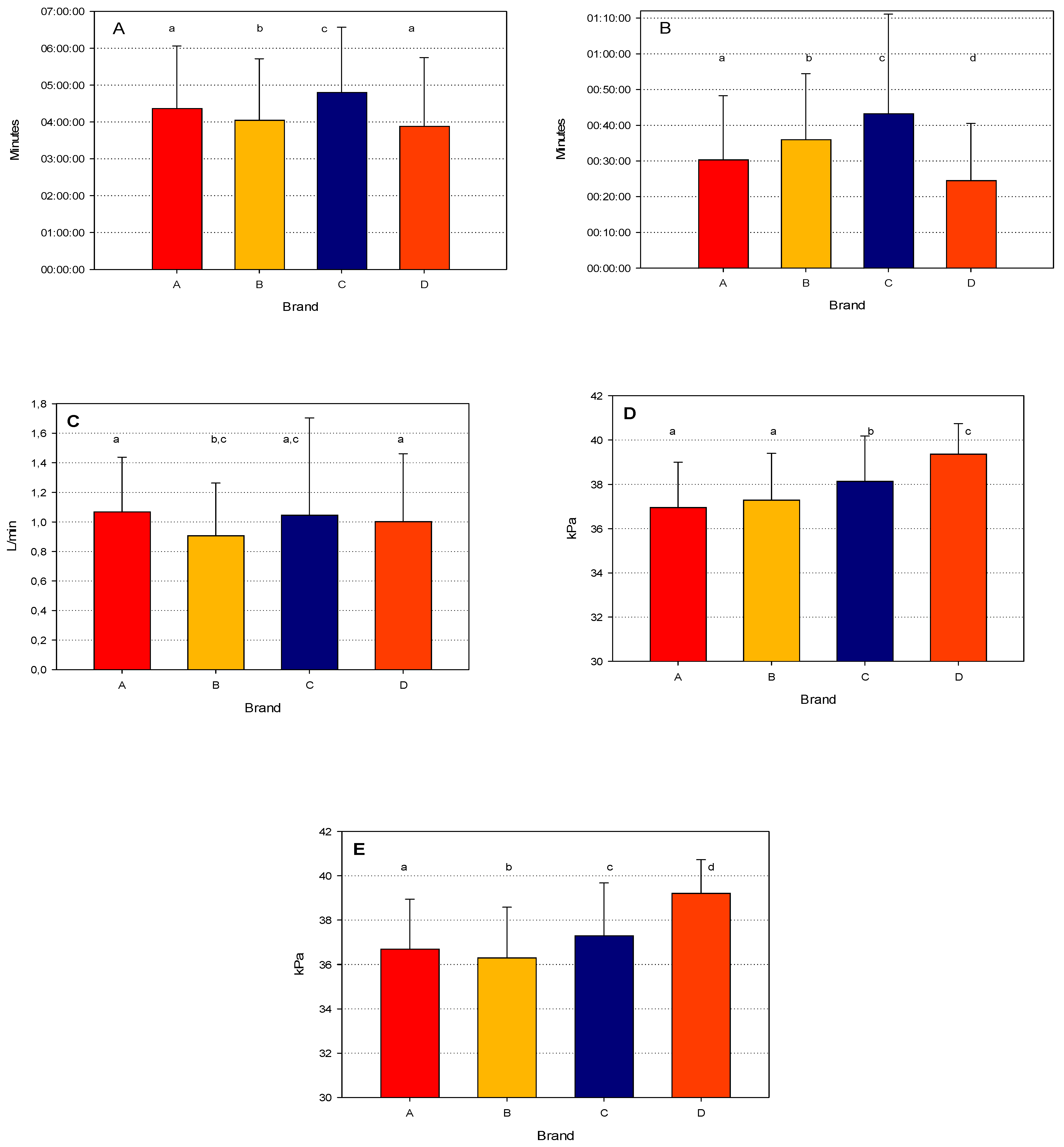
| Milking duration (min) | A | 2:47:55 a,1 | 3:43:47 a | 4:08:17 a,c | 5:14:40 a |
| B | 3:05:53 a,c | 3:39:47 a | 4:24:56 a,b | 5:39:48 b | |
| C | 3:24:31 c | 4:25:42 b | 4:35:32 b | 5:45:03 b | |
| D | 3:05:50 a,c | 3:39:35 a | 3:59:51 c | 5:09:01 a | |
| Mean | 3:06:44 | 3:45:46 | 4:12:43 | 5:23:26 | |
| Milk let-down (sec) | A | 0:25:56 a | 0:27:52 a | 0:33:04 a | 0:31:25 a |
| B | 0:40:35 b | 0:33:47 b | 0:32:43 a | 0:35:28 b | |
| C | 0:45:01 c | 0:42:37 c | 0:44:27 b | 0:42:20 c | |
| D | 0:23:46 a | 0:25:32 a | 0:24:27 c | 0:24:45 d | |
| Mean | 29:21 | 30:44 | 31:13 | 31:55 | |
| Average milk flow (l/min) | A | 0.76 a,b | 0.91 a | 1.09 a,c | 1.22 a |
| B | 0.73 b | 0.90 a | 0.97 a,b | 1.10 b | |
| C | 0.63 a | 0.78 b | 0.95 b | 1.47 c | |
| D | 0.74 a,b | 0.97 a | 1.16 c | 1.23 a | |
| Mean | 0.73 | 0.91 | 1.08 | 1.28 | |
| Mean vacuum during milking (kPa) | A | 37.45 a | 37.49 a | 37.17 a | 36.43 a |
| B | 37.82 a | 37.26 a | 36.86 a | 36.98 b | |
| C | 38.98 b | 38.22 b | 38.06 b | 37.83 c | |
| D | 39.55 c | 39.44 c | 39.32 c | 39.02 d | |
| Mean | 39.03 | 37.65 | 38.47 | 37.99 | |
| Mean vacuum at peak (kPa) | A | 39.02 a | 37.30 a | 36.92 a | 36.18 a |
| B | 36.55 a | 36.21 b | 35.99 b | 36.34 a | |
| C | 38.03 b | 37.38 a | 37.15 a | 37.11 b | |
| D | 39.33 c | 39.31 c | 39.22 c | 38.92 c | |
| Mean | 38.51 | 38.21 | 38.05 | 37.64 | |
| Parameter | Factors | ||||
|---|---|---|---|---|---|
| Brand | Milk Yield | Brand × Milk Yield | p (Model) | R2 | |
| Overmilking | * | n.s. a | * | <0.0001 | 19.8% |
| Mean overmilking vacuum | * | * | * | 0.013 | 1.3% |
| Mouthpiece chamber vacuum | * | n.s. | * | <0.001 | 5.8% |
| Delta vacuum fluctuations | * | * | * | <0.001 | 24.8% |
| Parameter | Brand | Milk Yield (kg/Quarter) | |||
|---|---|---|---|---|---|
| <2.50 | 2.51–3.50 | 3.51–4.50 | >4.50 | ||
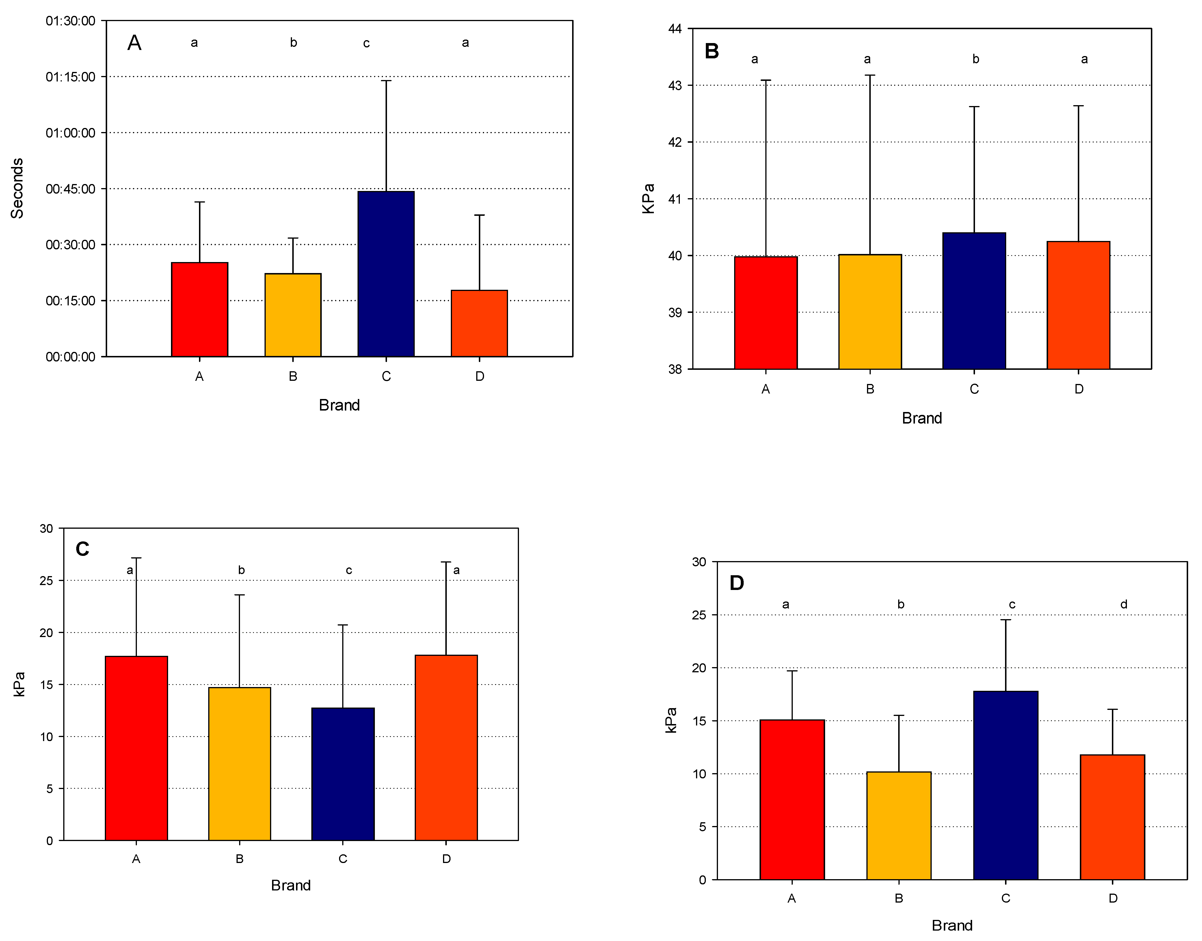
| Overmilking (sec) | A | 28:41 a,1 | 25:05 a | 25:51 a | 23:50 a |
| B | 21:25 b | 22:05 a | 23:27 a | 22:16 a | |
| C | 41:21 c | 41:54 b | 43:23 b | 47:45 b | |
| D | 20:52 b | 16:16 c | 16:02 c | 16:59 c | |
| Mean | 23:16 | 23:26 | 24:34 | 27:01 | |
| Mean overmilking vacuum (kPa) | A | 40.44 a | 40.62 a,c | 39.67 a | 39.70 a |
| B | 39.98 a | 40.16 a | 40.18 a,b | 39.69 a | |
| C | 40.51 a | 40.37 a,c | 40.49 b | 40.30 b | |
| D | 40.62 a | 40.39 c | 40.09 a | 39.70 a | |
| Mean | 40.47 | 40.37 | 40.15 | 39.86 | |
| Mouthpiece chamber vacuum (kPa) | A | 16.47 a,b | 16.82 a,b | 17.87 a | 18.39 a |
| B | 15.92 b | 15.04 b | 14.62 b | 12.41 b | |
| C | 12.96 c | 12.09 c | 11.90 c | 13.85 b | |
| D | 17.56 a | 17.94 a | 17.25 a | 18.68 a | |
| Mean | 16.74 | 16.12 | 15.66 | 16.56 | |
| Delta vacuum fluctuations (kPa) | A | 13.80 a | 14.87 a | 14.11 a | 16.02 a |
| B | 8.41 b | 10.62 b | 11.29 b | 11.10 b | |
| C | 17.22 c | 17.29 c | 19.31 c | 17.02 c | |
| D | 10.73 d | 11.51 d | 12.22 d | 12.95 d | |
| Mean | 11.00 | 12.88 | 13.96 | 14.33 | |
| 95% C.I. Odds Ratio | ||||||
|---|---|---|---|---|---|---|
| Factors | B | S.E. | Sign | Odds Ratio | Lower | Higher |
| Brand | <0.001 | |||||
| B vs. A | −0.046 | 0.156 | n.s. a | 0.96 | 0.70 | 1.30 |
| C vs. A | 0.178 | 0.156 | n.s. | 1.19 | 0.88 | 1.62 |
| D vs. A | −0.864 | 0.131 | <0.001 | 0.42 | 0.33 | 0.55 |
| Milk yield (kg/Quarter) | <0.001 | |||||
| 2.6–3.5 vs. <2.5 | −1.525 | 0.082 | <0.001 | 0.22 | 0.18 | 0.26 |
| 3.6–4.5 vs. <2.5 | −2.086 | 0.100 | <0.001 | 0.12 | 0.10 | 0.15 |
| >4.5 vs. <2.5 | −2.045 | 0.141 | <0.001 | 0.05 | 0.04 | 0.06 |
| 95% C.I. Odds Ratio | ||||||
|---|---|---|---|---|---|---|
| Factors | B | S.E. | Sign | Odds Ratio | Lower | Higher |
| Brand | <0.001 | |||||
| B vs. A | −1.007 | 0.122 | <0.001 | 0.37 | 0.29 | 0.464 |
| C vs. A | 1.223 | 0.117 | <0.001 | 3.40 | 2.70 | 4.27 |
| D vs. A | −1.323 | 0.098 | <0.001 | 0.27 | 0.22 | 0.32 |
| Milk yield (kg/Quarter) | <0.001 | |||||
| 2.6–3.5 vs. <2.5 | −0.709 | 0.073 | <0.001 | 0.49 | 0.43 | 0.57 |
| 3.6–4.5 vs. <2.5 | −0372 | 0.070 | <0.001 | 0.39 | 0.60 | 0.79 |
| >4.5 vs. <2.5 | −0.239 | 0.066 | <0.001 | 0.79 | 0.69 | 0.90 |
Disclaimer/Publisher’s Note: The statements, opinions and data contained in all publications are solely those of the individual author(s) and contributor(s) and not of MDPI and/or the editor(s). MDPI and/or the editor(s) disclaim responsibility for any injury to people or property resulting from any ideas, methods, instructions or products referred to in the content. |
© 2024 by the authors. Licensee MDPI, Basel, Switzerland. This article is an open access article distributed under the terms and conditions of the Creative Commons Attribution (CC BY) license (https://creativecommons.org/licenses/by/4.0/).
Share and Cite
Milanesi, S.; Donina, D.; Chierici Guido, V.; Zaghen, F.; Sora, V.M.; Zecconi, A. Comparing the Performance of Automatic Milking Systems through Dynamic Testing Also Helps to Identify Potential Risk Factors for Mastitis. Animals 2024, 14, 2789. https://doi.org/10.3390/ani14192789
Milanesi S, Donina D, Chierici Guido V, Zaghen F, Sora VM, Zecconi A. Comparing the Performance of Automatic Milking Systems through Dynamic Testing Also Helps to Identify Potential Risk Factors for Mastitis. Animals. 2024; 14(19):2789. https://doi.org/10.3390/ani14192789
Chicago/Turabian StyleMilanesi, Stefano, Dario Donina, Viviana Chierici Guido, Francesca Zaghen, Valerio M. Sora, and Alfonso Zecconi. 2024. "Comparing the Performance of Automatic Milking Systems through Dynamic Testing Also Helps to Identify Potential Risk Factors for Mastitis" Animals 14, no. 19: 2789. https://doi.org/10.3390/ani14192789
APA StyleMilanesi, S., Donina, D., Chierici Guido, V., Zaghen, F., Sora, V. M., & Zecconi, A. (2024). Comparing the Performance of Automatic Milking Systems through Dynamic Testing Also Helps to Identify Potential Risk Factors for Mastitis. Animals, 14(19), 2789. https://doi.org/10.3390/ani14192789

