Effects of Zinc Oxide Nanoparticles (ZnO NPs) on Growth, Immune Responses and Histopathological Alterations in Asian Seabass (Lates calcarifer, Bloch 1790) under Low-Salinity Conditions
Abstract
Simple Summary
Abstract
1. Introduction
2. Materials and Methods
2.1. Experimental Fish
2.2. Experimental Design
2.3. Growth Parameters, Mortality and Water Quality Parameters
2.4. Hematological Analysis
2.5. Immune Parameters in Serum
2.5.1. Nitroblue Tetrazolium (NBT) Dye Reduction
2.5.2. Lysozyme Activity Assay
2.5.3. Bactericidal Activity (BA)
2.6. Zn Analysis in Fish Tissues
2.7. Gene Expression Analysis of Immune-Related Genes
2.7.1. Total RNA Extraction and cDNA Synthesis
2.7.2. Quantitative Real-Time PCR (qRT-PCR) Analysis
2.8. Histopathological Analysis
2.9. Data and Statistical Analysis
3. Results
3.1. Water Quality Analysis
3.2. Fish Growth and Mortality
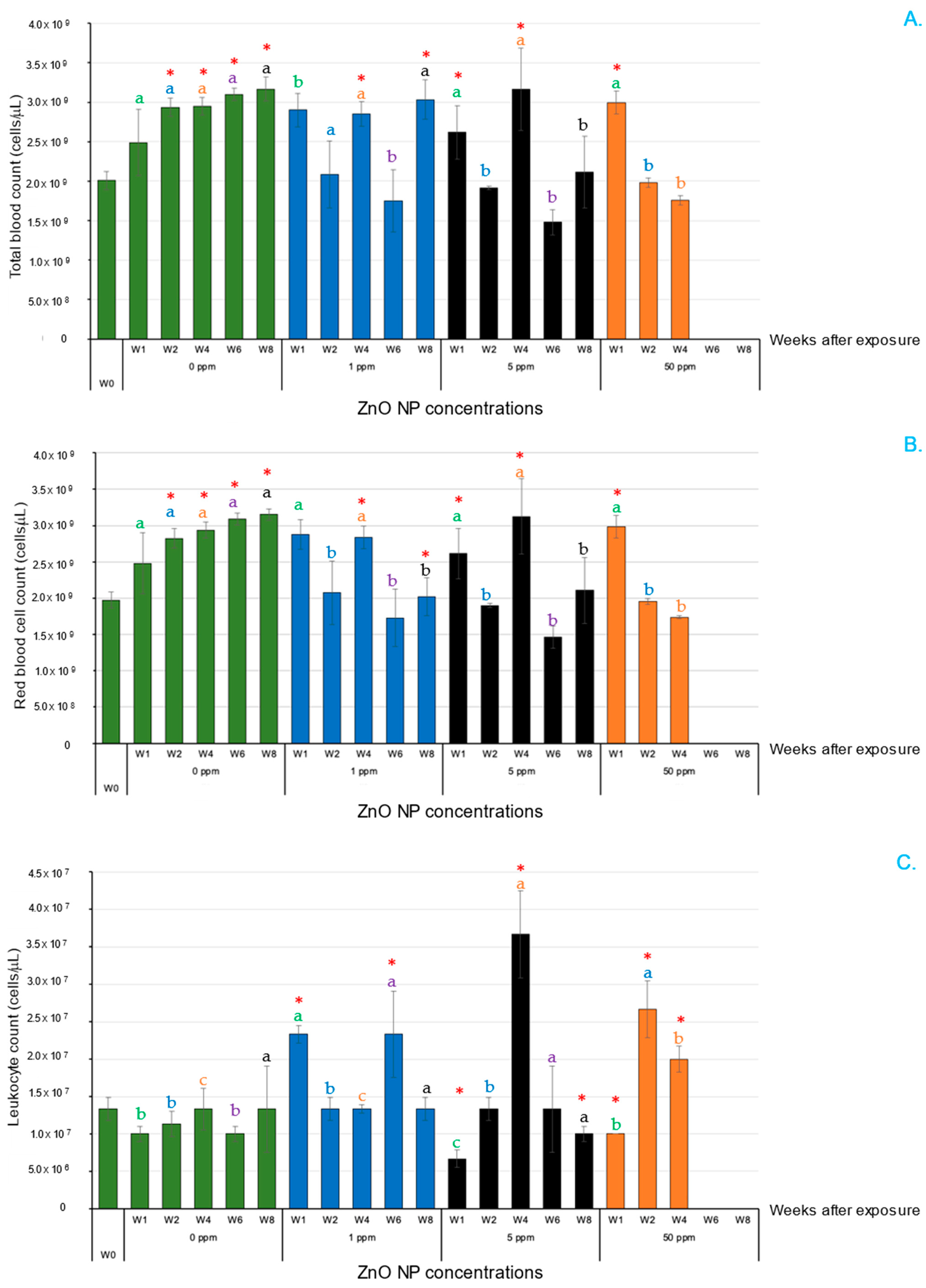
3.3. Hematological Analyses
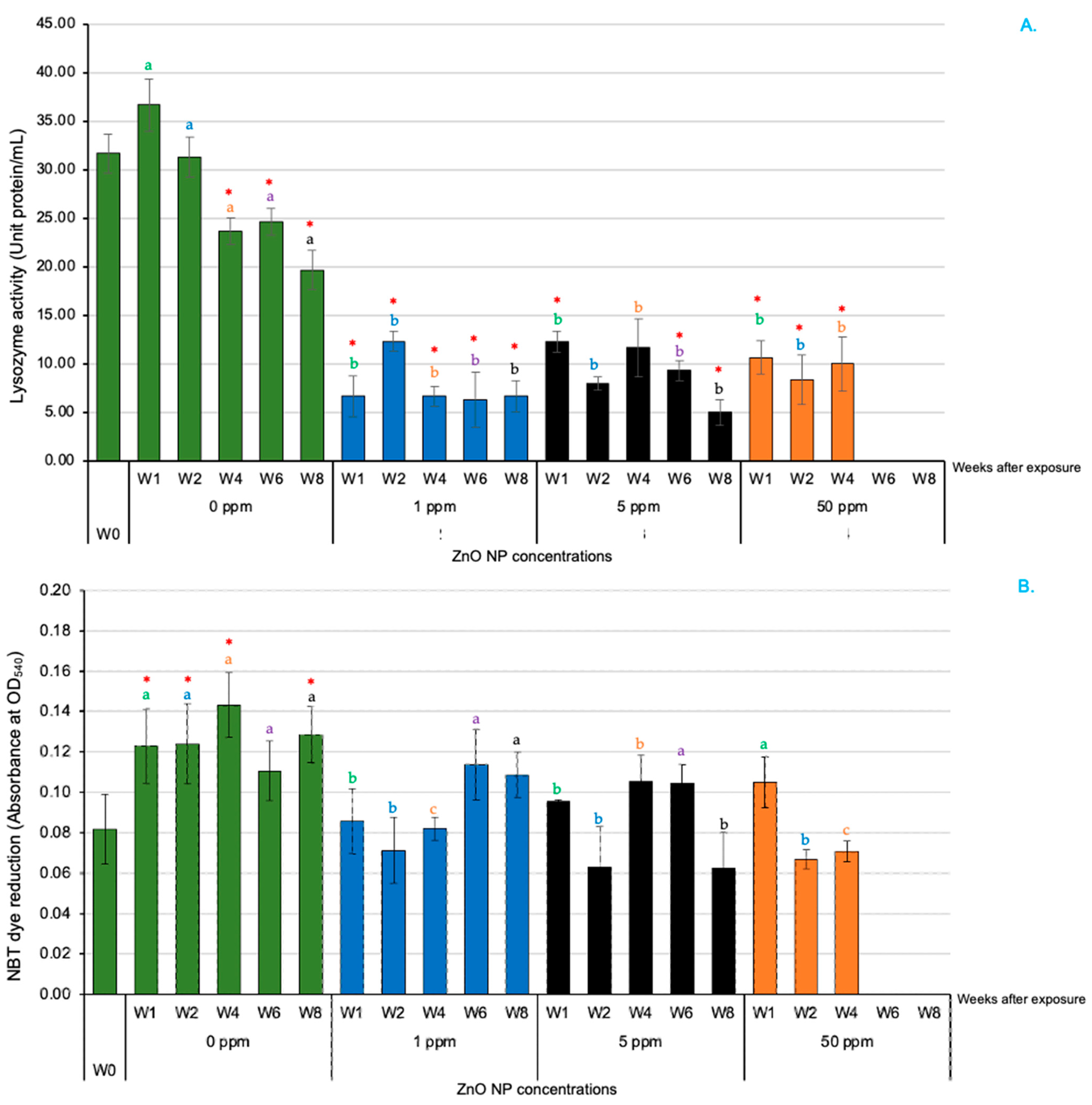
3.4. Innate Immune Parameters in Serum
3.5. Zn Concentration Measurement in Tissues
3.6. qRT-PCR Analysis of the Expression of Immune-Related Genes
3.7. Histopathological Alterations
4. Discussion
5. Conclusions
Supplementary Materials
Author Contributions
Funding
Institutional Review Board Statement
Informed Consent Statement
Data Availability Statement
Acknowledgments
Conflicts of Interest
References
- Rather, M.A.; Sharma, R.; Aklakur, M.; Ahmad, S.; Kumar, N.; Khan, M.; Ramya, V.L. Nanotechnology: A novel tool for aquaculture and fisheries development. A prospective mini-review. Fish. Aqua. J. 2011, 16, 3. [Google Scholar]
- Taherian, S.M.R.; Hosseini, S.A.; Jafari, A.; Etminan, A.; Birjandi, M. Acute toxicity of zinc oxide nanoparticles from Satureja hortensis on rainbow trout (Oncorhynchus mykiss). Turk. J. Fish. Aquat. Sci. 2019, 20, 481–489. [Google Scholar] [CrossRef] [PubMed]
- Rashidian, G.; Lazado, C.C.; Mahboub, H.H.; Mohammadi-Aloucheh, R.; Prokić, M.D.; Nada, H.S.; Faggio, C. Chemically and green synthesized ZnO nanoparticles alter key immunological molecules in common carp (Cyprinus carpio) skin mucus. Int. J. Mol. Sci. 2021, 22, 3270. [Google Scholar] [CrossRef]
- Khan, I.; Saeed, K.; Khan, I. Nanoparticles: Properties, applications and toxicities. Arab. J. Chem. 2019, 12, 908–931. [Google Scholar] [CrossRef]
- Smijs, T.G.; Pavel, S. Titanium dioxide and zinc oxide nanoparticles in sunscreens: Focus on their safety and effectiveness. Nanotechnol. Sci. Appl. 2011, 4, 95. [Google Scholar] [CrossRef] [PubMed]
- Asghar, M.S.; Qureshi, N.A.; Jabeen, F.; Khan, M.S.; Shakeel, M.; Noureen, A. Toxicity of zinc nanoparticles in fish: A critical review. J. Bio. Env. Sci. 2015, 7, 431–439. [Google Scholar]
- Sahoo, S.; Maiti, M.; Ganguly, A.; Jacob George, J.; Bhowmick, A.K. Effect of zinc oxide nanoparticles as cure activator on the properties of natural rubber and nitrile rubber. J. Appl. Polym. Sci. 2007, 105, 2407–2415. [Google Scholar] [CrossRef]
- Ruszkiewicz, J.A.; Pinkas, A.; Ferrer, B.; Peres, T.V.; Tsatsakis, A.; Aschner, M. Neurotoxic effect of active ingredients in sunscreen products, a contemporary review. Toxicol. Rep. 2017, 4, 245–259. [Google Scholar] [CrossRef] [PubMed]
- Guzmán, M.; Agulló, N.; Borrós, S. Reducing zinc oxide in rubber industry use through the development of mixed metal oxide nanoparticles. In Proceedings of the 11th Edition of the Trends in Nanotechnology International Conference (TNT2010), Braga, Portugal, 6–10 September 2010. [Google Scholar]
- Kim, K.B.; Kim, Y.W.; Lim, S.K.; Roh, T.H.; Bang, D.Y.; Choi, S.M.; Lim, D.S.; Kim, Y.J.; Baek, S.-H.; Kim, M.-K.; et al. Risk assessment of zinc oxide, a cosmetic ingredient used as a UV filter of sunscreens. J. Toxicol. Environ. Health B 2017, 20, 155–182. [Google Scholar] [CrossRef]
- Osmond, G. Zinc white: A review of zinc oxide pigment properties and implications for stability in oil-based paintings. AICCM Bull. 2012, 33, 20–29. [Google Scholar] [CrossRef]
- Gancheva, M.; Markova-Velichkova, M.; Atanasova, G.; Kovacheva, D.; Uzunov, I.; Cukeva, R. Design and photocatalytic activity of nanosized zinc oxides. Appl. Surf. Sci. 2016, 368, 258–266. [Google Scholar] [CrossRef]
- Jiang, J.; Pi, J.; Cai, J. The advancing of zinc oxide nanoparticles for biomedical applications. Bioinorg. Chem. Appl. 2018, 5, 1062562. [Google Scholar] [CrossRef]
- Lowry, G.V.; Gregory, K.B.; Apte, S.C.; Lead, J.R. Transformations of nanomaterials in the environment. Environ. Sci. Technol. 2012, 46, 6893–6899. [Google Scholar] [CrossRef] [PubMed]
- Majumdar, S.; Trujillo-Reyes, J.; Hernandez-Viezcas, J.A.; White, J.C.; Peralta-Videa, J.R.; Gardea-Torresdey, J.L. Cerium biomagnification in a terrestrial food chain: Influence of particle size and growth stage. Environ. Sci. Technol. 2016, 50, 6782–6792. [Google Scholar] [CrossRef] [PubMed]
- Maharramov, A.M.; Hasanova, U.A.; Suleymanova, I.A.; Osmanova, G.E.; Hajiyeva, N.E. The engineered nanoparticles in food chain: Potential toxicity and effects. SN Appl. Sci. 2019, 1, 1–25. [Google Scholar] [CrossRef]
- Dang, F.; Huang, Y.; Wang, Y.; Zhou, D.; Xing, B. Transfer and toxicity of silver nanoparticles in the food chain. Environ. Sci. Nano 2021, 8, 8. [Google Scholar] [CrossRef]
- Jovanović, B.; Palić, D. Immunotoxicology of non-functionalized engineered nanoparticles in aquatic organisms with special emphasis on fish—Review of current knowledge, gap identification, and call for further research. Aquat. Toxicol. 2012, 118, 141–151. [Google Scholar] [CrossRef] [PubMed]
- Ilinskaya, A.N.; Dobrovolskaia, M.A. Immunosuppressive and anti-inflammatory properties of engineered nanomaterials. Br. J. Pharmacol. 2014, 171, 3988–4000. [Google Scholar] [CrossRef]
- Wu, F.; Cui, S.; Sun, M.; Xie, Z.; Huang, W.; Huang, X.; Liu, L.; Hu, M.; Lu, W.; Wang, Y. Combined effects of ZnO NPs and seawater acidification on the haemocyte parameters of thick shell mussel Mytilus coruscus. Sci. Total. Environ. 2018, 624, 820–830. [Google Scholar] [CrossRef]
- Shang, Y.; Lan, Y.; Liu, Z.; Kong, H.; Huang, X.; Wu, F.; Liu, L.; Hu, M.; Huang, W.; Wang, Y. Synergistic effects of nano-ZnO and low pH of sea water on the physiological energetics of the thick shell mussel Mytilus coruscus. Front. Physiol. 2018, 9, 757. [Google Scholar] [CrossRef]
- Yousefian, M. Spawning of South Caspian kutum Rutilus frisii kutum in the most migratory river of South Caspian Sea. Asian J. Anim. Vet. Adv. 2008, 3, 437–442. [Google Scholar] [CrossRef]
- Baker, R.T.M.; Martin, P.; Davies, S.J. Ingestion of sub-lethal levels of iron sulphate by African catfish affects growth and tissue lipid peroxidation. Aquat. Toxicol. 1997, 40, 51–61. [Google Scholar] [CrossRef]
- Zhao, X.; Wang, S.; Wu, Y.; You, H.; Lv, L. Acute ZnO nanoparticles exposure induces developmental toxicity, oxidative stress and DNA damage in embryo-larval zebrafish. Aquat. Toxicol. 2013, 136, 49–59. [Google Scholar] [CrossRef]
- Moore, R.; Reynold, L.F. Migration patterns of barramundi, Lates calcarifer (Bloch), in Papua New Guinea. Mar. Freshw. Res. 1982, 33, 671–682. [Google Scholar] [CrossRef]
- Pethiyagoda, R.; Gill, A.C. Description of two new species of sea bass (Teleostei: Latidae: Lates) from Myanmar and Sri Lanka. Zootaxa 2012, 3314, 1–16. [Google Scholar] [CrossRef]
- Irmawati, I.; Umar, M.T.; Husain, A.A.A.; Malina, A.C.; Kadir, N.N.; Alimuddin, A. Distribution and characteristics of Asian seabass (Lates calcarifer Bloch, 1790) in South Sulawesi. IOP Conf. Ser. Earth Environ. Sci. 2020, 564, 012011. [Google Scholar] [CrossRef]
- Senanan, W.; Pechsiri, J.; Sonkaew, S.; Na-Nakorn, U.; Sean-In, N.; Yashiro, R. Genetic relatedness and differentiation of hatchery populations of Asian seabass (Lates calcarifer) (Bloch, 1790) broodstock in Thailand inferred from microsatellite genetic markers. Aquac. Res. 2015, 46, 2897–2912. [Google Scholar] [CrossRef]
- Sari, L.D.; Fadjar, M.; Widodo, M.S.; Valen, F.S. Growth analysis of Asian seabass (Lates calcarifer Bloch 1790) based on morphometrics in BPBAP Situbondo, East Java. AACL Bioflux 2020, 13, 2445–2451. [Google Scholar]
- Department of Fisheries (DOF). Fisheries (DOF). Fisheries Statistics of Thailand 2020 no. 4/2022. In Fisheries Development Policy and Planning Division; Department of Fisheries, Ministry of Agriculture and Cooperatives: Bangkok, Thailand, 2022. [Google Scholar]
- Suanyuk, N.; Sukkasame, N.; Tanmark, N.; Yoshida, T.; Itami, T.; Thune, R.L.; Tantikitti, C.; Supamattaya, K. Streptococcus iniae infection in cultured Asian seabass (Lates calcarifer) and red tilapia (Oreochromis sp.) in southern Thailand. Songklanakarin J. Sci. Technol. 2010, 32, 341–348. [Google Scholar]
- Chokmangmeepisarn, P.; Thangsunan, P.; Kayansamruaj, P.; Rodkhum, C. Resistome characterization of Flavobacterium columnare isolated from freshwater cultured Asian sea bass (Lates calcarifer) revealed diversity of quinolone resistance associated genes. Aquaculture 2021, 544, 737149. [Google Scholar] [CrossRef]
- Saengrung, J.; Bunnoy, A.; Du, X.; Huang, L.; An, R.; Liang, X.; Srisapoome, P. Effects of ribonucleotide supplementation in modulating the growth of probiotic Bacillus subtilis and the synergistic benefits for improving the health performance of Asian seabass (Lates calcarifer). Fish Shellfish. Immunol. 2023, 140, 108983. [Google Scholar] [CrossRef] [PubMed]
- Wijayanto, D.; Bambang, A.N.; Nugroho, R.A.; Kurohman, F.; Nursanto, D.B. Effect of salinity on growth and benefit-cost ratio of Asian seabass reared in artificial media. AACL Bioflux 2021, 14, 3000–3005. [Google Scholar]
- Mozanzadeh, M.T.; Safari, O.; Oosooli, R.; Mehrjooyan, S.; Najafabadi, M.Z.; Hoseini, S.J.; Saghavi, H.; Monem, J. The effect of salinity on growth performance, digestive and antioxidant enzymes, humoral immunity and stress indices in two euryhaline fish species: Yellowfin seabream (Acanthopagrus latus) and Asian seabass (Lates calcarifer). Aquaculture 2021, 534, 736329. [Google Scholar] [CrossRef]
- Clesceri, L.S.; Eaton, A.D.; Greenberg, A.E. Standard Methods for the Examination of Water and Wastewater, 20th Edn APHA; AWWA-WEF: Washington, WA, USA, 1998. [Google Scholar]
- Mukhopadhyay, P.K.; Rout, S.K. Effects of different dietary lipids on growth and tissue fatty acid changes in fry of the carp Catla catla (Hamilton). Aquac. Res. 1996, 27, 623–630. [Google Scholar] [CrossRef]
- Thummabancha, K.; Onparn, N.; Srisapoome, P. Analysis of hematologic alterations, immune responses and metallothionein gene expression in Nile tilapia (Oreochromis niloticus) exposed to silver nanoparticles. J. Immunotoxicol. 2016, 13, 909–917. [Google Scholar] [CrossRef]
- Segal, A.W.; Levi, A.J. Factors influencing the entry of dye into neutrophil leucocytes in the nitroblue tetrazolium test. Clin. Sci. Mol. Med. 1975, 48, 201–212. [Google Scholar] [CrossRef]
- Parry, R.M.; Chandau, R.C.; Shahani, R.M. A rapid and sensitive assay of muramidase. Proc. Soc. Exp. Biol. Med. 1965, 119, 384–386. [Google Scholar] [CrossRef]
- Aly, S.M.; Ahmed, Y.A.G.; Abdel-Aziz Ghareeb, A.; Mohamed, M.F. Studies on Bacillus subtilis and Lactobacillus acidophilus, as potential probiotics, on the immune response and resistance of Tilapia nilotica (Oreochromis niloticus) to challenge infections. Fish Shellfish. Immunol. 2008, 25, 128–136. [Google Scholar] [CrossRef]
- Arslan, Z.; Ates, M.; McDuffy, W.; Agachan, M.S.; Farah, I.O.; Yu, W.W.; Bednar, A.J. Probing metabolic stability of CdSe nanoparticles: Alkaline extraction of free cadmium from liver and kidney samples of rats exposed to CdSe nanoparticles. J. Hazard. Mater. 2011, 192, 192–199. [Google Scholar] [CrossRef]
- Livak, K.J.; Schmittgen, T.D. Analysis of relative gene expression data using real-time quantitative PCR and the 2(−ΔΔc(t)) method. Methods 2001, 25, 402–408. [Google Scholar] [CrossRef]
- Janani, B.; Raju, L.L.; Thomas, A.M.; Alyemeni, M.N.; Dudin, G.A.; Wijaya, L.; Alsahli, A.A.; Ahmad, P.; Khan, S.S. Impact of bovine serum albumin—A protein corona on toxicity of ZnO NPs in environmental model systems of plant, bacteria, algae and crustaceans. Chemosphere 2021, 270, 128629. [Google Scholar] [CrossRef] [PubMed]
- Scown, T.; Van Aerle, R.; Tyler, C. Do engineered nanoparticles pose a significant threat to the aquatic environment? Crit. Rev. Toxicol. 2010, 40, 653–670. [Google Scholar] [CrossRef] [PubMed]
- Kahru, A.; Dubourguier, H.-C. From ecotoxicology to nanoecotoxicology. Toxicology 2010, 269, 105–119. [Google Scholar] [CrossRef]
- Wu, F.; Harper, B.J.; Stacey, L. Comparative dissolution, uptake, and toxicity of zinc oxide particles in individual aquatic species and mixed populations. Environ. Toxicol. Chem. 2019, 38, 591–602. [Google Scholar] [CrossRef] [PubMed]
- Chevallet, M.; Gallet, B.; Fuchs, A.; Jouneau, P.; Um, K.; Mintz, E.; Michaud-Soret, I. Metal homeostasis disruption and mitochondrial dysfunction in hepatocytes exposed to sub-toxic doses of zinc oxide nanoparticles. Nanoscale 2016, 8, 18495–18506. [Google Scholar] [CrossRef]
- Adams, L.K.; Lyon, D.Y.; Alvarez, P.J. Comparative eco-toxicity of nanoscale TiO2, SiO2, and ZnO water suspensions. Water Res. 2006, 40, 3527–3532. [Google Scholar] [CrossRef]
- Huang, Z.; Zheng, X.; Yan, D.; Yin, G.; Liao, X.; Kang, Y.; Yao, Y.; Huang, D.; Hao, B. Toxicological effect of ZnO nanoparticles based on bacteria. Langmuir 2008, 24, 4140–4144. [Google Scholar] [CrossRef]
- Zhang, L.; Jiang, Y.; Ding, Y.; Daskalakis, N.; Jeuken, L.; Povey, M.; O’Neill, A.J.; York, D.W. Mechanistic investigation into antibacterial behaviour of suspensions of ZnO nanoparticles against E. coli. J. Nanoparticle Res. 2010, 12, 1625–1636. [Google Scholar] [CrossRef]
- Bacchetta, R.; Maran, B.; Marelli, M.; Santo, N.; Tremolada, P. Role of soluble zinc in ZnO nanoparticle cytotoxicity in Daphniamagna: A morphological approach. Environ. Res. 2016, 148, 376–385. [Google Scholar] [CrossRef]
- Kaya, H.; Aydin, F.; Gürkan, M.; Yilmaz, S.; Ates, M.B.; Demir, V.; Arslan, Z. A comparative toxicity study between small and large size zinc oxide nanoparticles in tilapia (Oreochromis niloticus): Organ pathologies, osmoregulatory responses and immunological parameters. Chemosphere 2015, 144, 571–582. [Google Scholar] [CrossRef]
- Hou, J.; Liu, H.; Zhang, S.; Liu, X.; Hayat, T.; Alsaedi, A.; Wang, X. Mechanism of toxic effects of nano-ZnO on cell cycle of zebrafish (Danio rerio). Chemosphere 2019, 229, 206–213. [Google Scholar] [CrossRef] [PubMed]
- Mandal, A.H.; Ghosh, S.; Adhurjya, D.; Chatterjee, P.; Samajdar, I.; Mukherjee, D.; Dhara, K.; Saha, N.C.; Piccione, G.; Multisanti, C.R.; et al. Exploring the impact of zinc oxide nanoparticles on fish and fish-food organisms: A review. Aqua. Rep. 2024, 36, 102038. [Google Scholar] [CrossRef]
- Saha, S.; Chukwuka, A.V.; Mukherjee, D.; Dhara, K.; Saha, N.C.; Faggio, C. Behavioral and physiological toxicity thresholds of a freshwater vertebrate (Heteropneustes fossilis) and invertebrate (Branchiura sowerbyi), exposed to zinc oxide nanoparticles (nZnO): A general unified threshold model of survival (GUTS). Comp. Biochem. Physiol. Part C Toxicol. Pharmacol. 2022, 262, 109450. [Google Scholar] [CrossRef] [PubMed]
- Aziz, S.; Abdullah, S.; Abbas, K.; Zia, M.A. Effects of engineered zinc oxide nanoparticles on freshwater fish, Labeo rohita: Characterization of ZnO nanoparticles, acute toxicity and oxidative stress. Pak. Vet. J. 2020, 40, 479–483. [Google Scholar] [CrossRef]
- Kaya, H.; Duysak, M.; Akbulut, M.; Yılmaz, S.; Gurkan, M.; Arslan, Z.; Demir, V.; Ates, M. Effects of sub-chronic exposure to zinc nanoparticles on tissue accumulation, serum biochemistry, and histopathological changes in tilapia (Oreochromis niloticus). Environ. Toxicol. 2017, 32, 1213–1225. [Google Scholar] [CrossRef]
- Li, S.-W.; Huang, C.-W.; Liao, V.H.-C. Early-life long-term exposure to ZnO nanoparticles suppresses innate immunity regulated by SKN-1/Nrf and the p38 MAPK signaling pathway in Caenorhabditis elegans. Environ. Pollut. 2020, 256, 113382. [Google Scholar] [CrossRef]
- Papp, D.; Csermely, P.; Sőti, C. A role for SKN-1/Nrf in pathogen resistance and immunosenescence in Caenorhabditis elegans. PLoS Pathog. 2012, 8, e1002673. [Google Scholar] [CrossRef]
- Kim, C.-S.; Nguyen, H.-D.; Ignacio, R.M.; Kim, J.-H.; Cho, H.-C.; Maeng, E.H.; Kim, Y.-R.; Kim, M.-K.; Park, B.-K.; Kim, S.-K. Immunotoxicity of zinc oxide nanoparticles with different size and electrostatic charge. Int. J. Nanomed. 2014, 9, 195–205. [Google Scholar]
- Wagner, S.; Gondikas, A.; Neubauer, E.; Hofmann, T.; von der Kammer, F. Spot the difference: Engineered and natural nanoparticles in the environment-release, behavior, and fate. Angew. Chem. Int. Ed. 2014, 53, 12398–12419. [Google Scholar] [CrossRef]
- Yung, M.; Kwok, K.; Djuriši´c, A.; Giesy, J.; Leung, K. Influences of temperature and salinity on physicochemical properties and toxicity of zinc oxide nanoparticles to the marine diatom Thalassiosira pseudonana. Sci. Rep. 2017, 7, 3662. [Google Scholar] [CrossRef] [PubMed]
- Lai, R.; Yung, M.; Zhou, G.; He, Y.; Ng, A.; Djuriši´c, A.; Shih, K.; Leung, K. Temperature and salinity jointly drive the toxicity of zinc oxide nanoparticles: A challenge to environmental risk assessment under global climate change. Environ. Sci. Nano. 2020, 7, 2995–3006. [Google Scholar] [CrossRef]
- Lin, Y.; Wang, J.; Dai, H.; Mao, F.; Chen, Q.; Yan, H.; Chen, M. Salinity Moderated the toxicity of zinc oxide nanoparticles (ZnO NPs) towards the early development of Takifugu obscurus. Int. J. Environ. Res. Public Health 2023, 20, 3209. [Google Scholar] [CrossRef] [PubMed]
- Park, J.; Kim, S.; Yoo, J.; Lee, J.; Park, J.; Jung, J. Effect of salinity on acute copper and zinc toxicity to Tigriopus japonicus: The difference between metal ions and nanoparticles. Mar. Pollut. Bull. 2014, 85, 526–531. [Google Scholar] [CrossRef] [PubMed]
- Verma, D.K.; Singh, S.; Maurya, N.K.; Kumar, P.; Jayaswal, R. Important water quality parameters in aquaculture: An overview. Agric. Ecosyst. Environ. 2022, 3, 24–29. [Google Scholar]












Disclaimer/Publisher’s Note: The statements, opinions and data contained in all publications are solely those of the individual author(s) and contributor(s) and not of MDPI and/or the editor(s). MDPI and/or the editor(s) disclaim responsibility for any injury to people or property resulting from any ideas, methods, instructions or products referred to in the content. |
© 2024 by the authors. Licensee MDPI, Basel, Switzerland. This article is an open access article distributed under the terms and conditions of the Creative Commons Attribution (CC BY) license (https://creativecommons.org/licenses/by/4.0/).
Share and Cite
Sukhsangchan, R.; Phaksopa, J.; Uchuwittayakul, A.; Chou, C.-C.; Srisapoome, P. Effects of Zinc Oxide Nanoparticles (ZnO NPs) on Growth, Immune Responses and Histopathological Alterations in Asian Seabass (Lates calcarifer, Bloch 1790) under Low-Salinity Conditions. Animals 2024, 14, 2737. https://doi.org/10.3390/ani14182737
Sukhsangchan R, Phaksopa J, Uchuwittayakul A, Chou C-C, Srisapoome P. Effects of Zinc Oxide Nanoparticles (ZnO NPs) on Growth, Immune Responses and Histopathological Alterations in Asian Seabass (Lates calcarifer, Bloch 1790) under Low-Salinity Conditions. Animals. 2024; 14(18):2737. https://doi.org/10.3390/ani14182737
Chicago/Turabian StyleSukhsangchan, Roochira, Jitraporn Phaksopa, Anurak Uchuwittayakul, Chi-Chung Chou, and Prapansak Srisapoome. 2024. "Effects of Zinc Oxide Nanoparticles (ZnO NPs) on Growth, Immune Responses and Histopathological Alterations in Asian Seabass (Lates calcarifer, Bloch 1790) under Low-Salinity Conditions" Animals 14, no. 18: 2737. https://doi.org/10.3390/ani14182737
APA StyleSukhsangchan, R., Phaksopa, J., Uchuwittayakul, A., Chou, C.-C., & Srisapoome, P. (2024). Effects of Zinc Oxide Nanoparticles (ZnO NPs) on Growth, Immune Responses and Histopathological Alterations in Asian Seabass (Lates calcarifer, Bloch 1790) under Low-Salinity Conditions. Animals, 14(18), 2737. https://doi.org/10.3390/ani14182737

