Observation of Agonistic Behavior in Pacific White Shrimp (Litopenaeus vannamei) and Transcriptome Analysis
Abstract
Simple Summary
Abstract
1. Introduction
2. Materials and Methods
2.1. Experimental Animal Collection and Maintenance
2.2. Laboratory Experiments
2.2.1. Experimental Equipment
2.2.2. Data Acquisition and Statistical Analysis
2.3. RNA-Seq Experiment
2.3.1. Sample Collection
2.3.2. RNA Extraction, cDNA Library Construction, and Illumina Sequencing
2.3.3. Quality Control
2.3.4. Reads Mapping to the Reference Genome
2.3.5. DEG Analysis
2.3.6. GO and KEGG Enrichment Analysis of DEGs
2.4. Quantitative Real-Time PCR (qPCR) Verification
3. Results
3.1. Description of the Agonistic Behavior of L. vannamei
- Parade: A shrimp moves around the bottom of the tank, frequently contacting the tank wall with its flagellum.
- Demonstration: The shrimp swims back and forth near its opponent while twisting its body or making sudden, quick lunges at the opponent to intimidate and cause the opponent to retreat.
- Attack: The shrimp approaches its opponent and makes direct physical contact.
- Fight: Two shrimp confront each other head-on, using their front pereiopods to scratch at the opponent while their pleopods rapidly paddle to advance their bodies until one shrimp retreats or is pushed back.
- Chase: A shrimp follows its opponent, scratching at the opponent’s body with the first three pairs of pereiopods and sometimes hitting the opponent’s body, continuing until the opponent retreats.
- Impact: A shrimp quickly moves toward its opponent, striking the opponent from the front or side with its rostrum and occasionally using its antennae to nudge the opponent multiple times.
- Feint: A shrimp gradually approaches its opponent, tentatively using its pereiopods to scratch at the opponent’s body, which may lead to a retreat or escalate the confrontation.
- Temporary Retreat: The shrimp contracts its abdomen and jumps backwards, distancing itself temporarily from its opponent in preparation for a subsequent attack.
- Retreat: The shrimp contracts its abdominal flexors and oblique extensors forcefully while using its uropod to push water forward, propelling its body quickly backward.
3.2. Analysis of Agonistic Behavior and Establishment of the Markov Chain Model
3.3. RNA-Seq Data
3.4. Principal Component Analysis of Sequencing Data
3.5. DEG Analysis
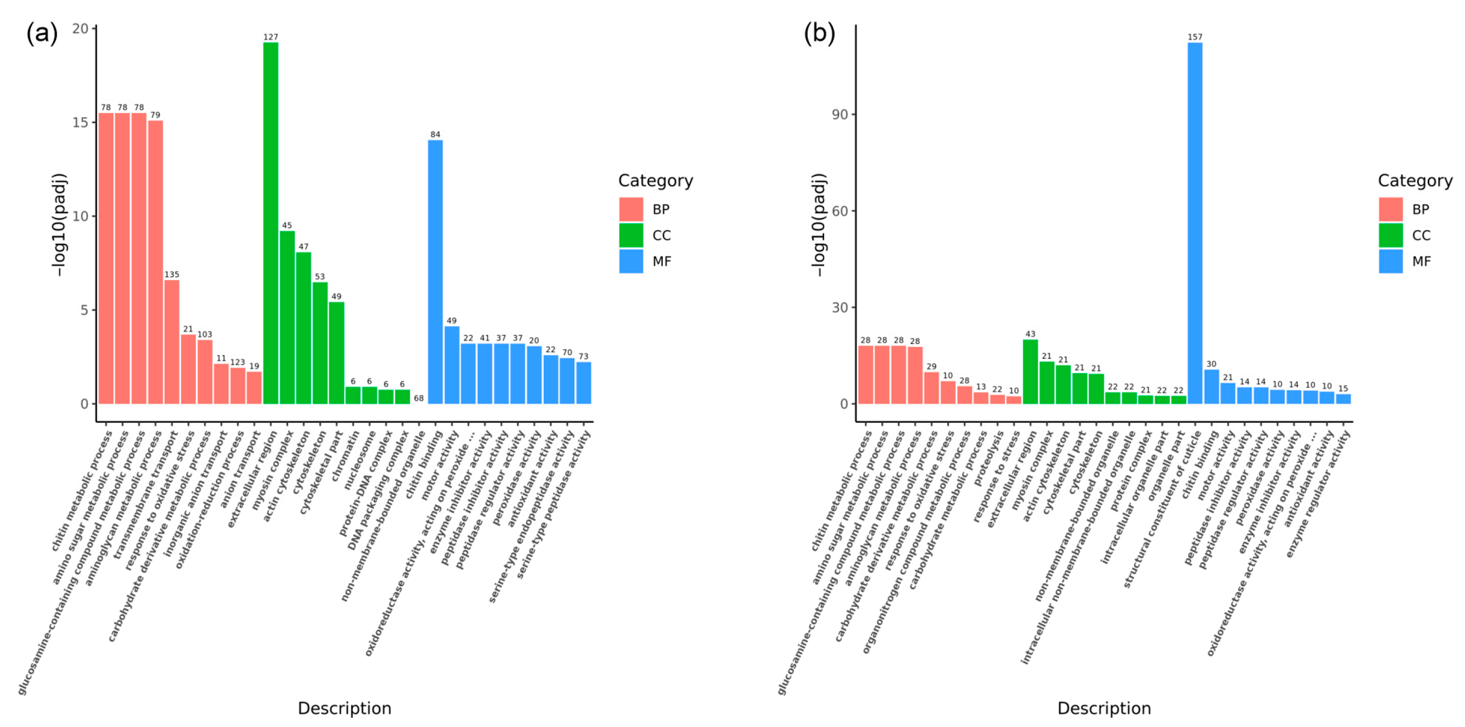
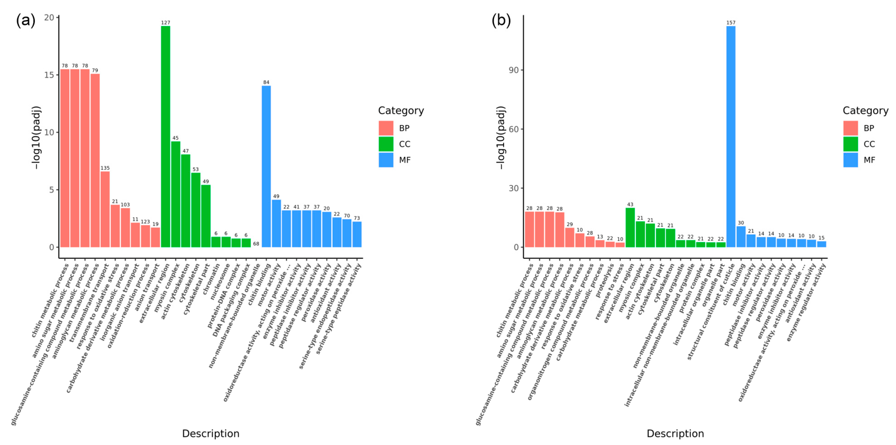
3.6. GO Enrichment Analysis of DEGs
3.7. KEGG Enrichment Analysis of DEGs
3.8. qPCR Verification
4. Discussion
4.1. Characteristics of Agonistic Behavior in L. vannamei
4.2. RNA-Seq of L. vannamei Analysis
5. Conclusions
Supplementary Materials
Author Contributions
Funding
Institutional Review Board Statement
Informed Consent Statement
Data Availability Statement
Acknowledgments
Conflicts of Interest
References
- Meadows, P.S.; Mitchell, K.A. An analysis of inter-and intraspecific aggregations in two sympatric species of hermit crab (Decapoda, Anomura, Paguridae). Mar. Freshw. Behav. Phy. 1973, 2, 187–196. [Google Scholar] [CrossRef]
- Ariyomo, T.O.; Watt, P.J. The effect of variation in boldness and aggressiveness on the reproductive success of zebrafish. Anim. Behav. 2012, 83, 41–46. [Google Scholar] [CrossRef]
- Ariyomo, T.O.; Watt, P.J. Aggression and sex differences in lateralization in the zebrafish. Anim. Behav. 2013, 86, 617–622. [Google Scholar] [CrossRef]
- Nelson, R.J.; Trainor, B.C. Neural mechanisms of aggression. Nat. Rev. Neurosci. 2007, 8, 536–546. [Google Scholar] [CrossRef] [PubMed]
- Matsumasa, M.; Murai, M. Changes in blood glucose and lactate levels of male fiddler crabs: Effects of aggression and claw waving. Anim. Behav. 2005, 69, 569–577. [Google Scholar] [CrossRef]
- FAO. Fisheries and Aquaculture. The State of World Fisheries and Aquaculture. Towards Blue Transformation; FAO: Rome, Italy, 2022. [Google Scholar]
- Abdussamad, E.M.; Thampy, D.M. Cannibalism in the tiger shrimp Penaeus monodon Fabricius in nursery rearing phase. J. Aquac. Trop. 1994, 9, 67–75. [Google Scholar]
- Sae-Lim, P.; Bijma, P. Comparison of designs for estimating genetic parameters and obtaining response to selection for social interaction traits in aquaculture. Aquaculture 2016, 451, 330–339. [Google Scholar] [CrossRef]
- Mishra, J.K.; Samocha, T.M.; Patnaik, S.; Speed, M.; Gandy, R.L.; Ali, A.-M. Performance of an intensive nursery system for the Pacific white shrimp, Litopenaeus vannamei, under limited discharge condition. Aquac. Eng. 2008, 38, 2–15. [Google Scholar] [CrossRef]
- Tierney, T.W.; Fleckenstein, L.J.; Ray, A.J. The effects of density and artificial substrate on intensive shrimp Litopenaeus vannamei nursery production. Aquac. Eng. 2020, 89, 102063. [Google Scholar] [CrossRef]
- Bardera, G.; Owen, M.A.G.; Façanha, F.N.; Alcaraz-Calero, J.M.; Alexander, M.E.; Sloman, K.A. The influence of density and dominance on Pacific white shrimp (Litopenaeus vannamei) feeding behaviour. Aquaculture 2021, 531, 735949. [Google Scholar] [CrossRef]
- Sanchez, D.R.; Fox, J.M.; Lawrence, A.L.; Castille, F.L.; Dunsford, B. A methodology for evaluation of dietary feeding stimulants for the Pacific white shrimp, Litopenaeus vannamei. J. World Aquac. Soc. 2005, 36, 14–23. [Google Scholar] [CrossRef]
- Araneda, M.E.; Hernández, J.M.; Gasca-Leyva, E.; Vela, M.A. Growth modelling including size heterogeneity: Application to the intensive culture of white shrimp (P. vannamei) in freshwater. Aquac. Eng. 2013, 56, 1–12. [Google Scholar] [CrossRef]
- Luan, S.; Luo, K.; Chai, Z.; Cao, B.; Meng, X.; Lu, X.; Liu, N.; Xu, S.; Kong, J. An analysis of indirect genetic effects on adult body weight of the Pacific white shrimp Litopenaeus vannamei at low rearing density. Genet. Sel. Evol. 2015, 47, 1–8. [Google Scholar] [CrossRef] [PubMed]
- Derby, C.D.; Elsayed, F.H.; Williams, S.A.; González, C.; Choe, M.; Bharadwaj, A.S.; Chamberlain, G.W. Krill meal enhances performance of feed pellets through concentration-dependent prolongation of consumption by Pacific white shrimp, Litopenaeus vannamei. Aquaculture 2016, 458, 13–20. [Google Scholar] [CrossRef]
- Peixoto, S.; Soares, R.; Davis, D.A. An acoustic based approach to evaluate the effect of different diet lengths on feeding behavior of Litopenaeus vannamei. Aquac. Eng. 2020, 91, 102114. [Google Scholar] [CrossRef]
- Wu, B.; Zhao, C.; Xiong, Z.; Mu, C.; Xu, S.; Wang, D. Analysis of the agonistic behaviour and behaviour pattern of Portunus trituberculatus. Aquac. Res. 2021, 52, 2233–2242. [Google Scholar] [CrossRef]
- Bardera, G.; Owen, M.A.G.; Pountney, D.; Alexander, M.E.; Sloman, K.A. The effect of short-term feed-deprivation and moult status on feeding behaviour of the Pacific white shrimp (Litopenaeus vannamei). Aquaculture 2019, 511, 734222. [Google Scholar] [CrossRef]
- Oliveira, R.F.; Silva, J.F.; Simoes, J.M. Fighting zebrafish: Characterization of aggressive behavior and winner–loser effects. Zebrafish 2011, 8, 73–81. [Google Scholar] [CrossRef] [PubMed]
- Cheng, W.; Zhang, H.; Wang, P.; Wei, Y.; Chen, C.; Hou, Y.; Deng, X.; Li, S.; Sun, S.; Cai, Q. The Multiple Influences of Natural Farming Environment on the Cultured Population Behavior of Kuruma Prawn, Penaeus japonicus. Animals 2022, 12, 3383. [Google Scholar] [CrossRef]
- Bardera, G.; Usman, N.; Owen, M.; Pountney, D.; Sloman, K.A.; Alexander, M.E. The importance of behaviour in improving the production of shrimp in aquaculture. Rev. Aquac. 2019, 11, 1104–1132. [Google Scholar] [CrossRef]
- Bardera, G.; Owen, M.A.G.; Façanha, F.N.; Sloman, K.A.; Alexander, M.E. The influence of sex on feeding behaviour in Pacific white shrimp (Litopenaeus vannamei). Appl. Anim. Behav. Sci. 2020, 224, 104946. [Google Scholar] [CrossRef]
- Chavanich, S.; Viyakarn, V.; Senanan, W.; Panutrakul, S. Laboratory assessment of feeding-behavior interactions between the introduced Pacific white shrimp Litopenaeus vannamei (Boone, 1931) (Penaeidae) and five native shrimps plus a crab species in Thailand. Aquat. Invasions 2016, 11, 67–74. [Google Scholar] [CrossRef]
- Zhang, X.; Yuan, J.; Sun, Y.; Li, S.; Gao, Y.I.; Yu, Y.; Liu, C.; Wang, Q.; Lv, X.; Zhang, X. Penaeid shrimp genome provides insights into benthic adaptation and frequent molting. Nat. Commun. 2019, 10, 356. [Google Scholar] [CrossRef] [PubMed]
- Zuo, J.; Li, Y.; Li, N.; Guo, H. Recent Advances in the Transcriptomic Study of Shrimps. Adv. Mar. Sci. 2018, 5, 9–17. [Google Scholar] [CrossRef]
- Sun, L. Screening, cloning and expression analysis of genes related to competitive behavior in Fenneropenaeus chinensis. Shanghai Ocean Univ. 2019, 63, 173–180. [Google Scholar]
- Zhao, Y.; Li, M.-C.; Konaté, M.M.; Chen, L.; Das, B.; Karlovich, C.; Williams, P.M.; Evrard, Y.A.; Doroshow, J.H.; McShane, L.M. TPM, FPKM, or normalized counts? A comparative study of quantification measures for the analysis of RNA-seq data from the NCI patient-derived models repository. J. Transl. Med. 2021, 19, 1–15. [Google Scholar] [CrossRef] [PubMed]
- Sahraeian, S.M.E.; Mohiyuddin, M.; Sebra, R.; Tilgner, H.; Afshar, P.T.; Au, K.F.; Bani Asadi, N.; Gerstein, M.B.; Wong, W.H.; Snyder, M.P. Gaining comprehensive biological insight into the transcriptome by performing a broad-spectrum RNA-seq analysis. Nat. Commun. 2017, 8, 59. [Google Scholar] [CrossRef]
- Livak, K.J.; Schmittgen, T.D. Analysis of relative gene expression data using real-time quantitative PCR and the 2−ΔΔCT method. Methods 2001, 25, 402–408. [Google Scholar] [CrossRef]
- Romano, N.; Zeng, C. Cannibalism of decapod crustaceans and implications for their aquaculture: A review of its prevalence, influencing factors, and mitigating methods. Rev. Fish. Sci. Aquac. 2017, 25, 42–69. [Google Scholar] [CrossRef]
- Sun, Y.; Wang, F.; Dong, S. A comparative study of the effect of starvation regimes on the foraging behavior of Portunus trituberculatus and Charybdis japonica. Physiol. Behav. 2015, 151, 168–177. [Google Scholar] [CrossRef]
- Eap, D.; Correa, S.; Ngo-Vu, H.; Derby, C.D. Chemosensory basis of feeding behavior in Pacific white shrimp, Litopenaeus vannamei. Biol. Bull. 2020, 239, 115–131. [Google Scholar] [CrossRef] [PubMed]
- Zhang, P.; Zhang, X.; Li, J. Research advances in behavioral ecology of penaeid shrimp II. Effects of environmental factors on behavior of penaeid shrimps. Ying Yong Sheng Tai Xue Bao J. Appl. Ecol. 2006, 17, 340–344. [Google Scholar]
- Smallegange, I.M.; Sabelis, M.W.; van der Meer, J. Assessment games in shore crab fights. J. Exp. Mar. Biol. Ecol. 2007, 351, 255–266. [Google Scholar] [CrossRef]
- Wiltschko, A.B.; Johnson, M.J.; Iurilli, G.; Peterson, R.E.; Katon, J.M.; Pashkovski, S.L.; Abraira, V.E.; Adams, R.P.; Datta, S.R. Mapping sub-second structure in mouse behavior. Neuron 2015, 88, 1121–1135. [Google Scholar] [CrossRef] [PubMed]
- Jones, L.K.; Jennings, B.M.; Goelz, R.M.; Haythorn, K.W.; Zivot, J.B.; de Waal, F.B.M. An ethogram to quantify operating room behavior. Ann. Behav. Med. 2016, 50, 487–496. [Google Scholar] [CrossRef] [PubMed]
- Forkosh, O. Animal behavior and animal personality from a non-human perspective: Getting help from the machine. Patterns 2021, 2, 100194. [Google Scholar] [CrossRef] [PubMed]
- Yang, X.-Z.; Pang, Y.-Y.; Huang, G.-Y.; Xu, M.-J.; Zhang, C.; He, L.; Lv, J.-H.; Song, Y.-M.; Song, X.-Z.; Cheng, Y.-X. The serotonin or dopamine by cyclic adenosine monophosphate-protein kinase A pathway involved in the agonistic behaviour of Chinese mitten crab, Eriocheir sinensis. Physiol. Behav. 2019, 209, 112621. [Google Scholar] [CrossRef] [PubMed]
- Briffa, M.; Elwood, R.W. Use of energy reserves in fighting hermit crabs. Proc. R. Soc. Lond. Ser. B Biol. Sci. 2004, 271, 373–379. [Google Scholar] [CrossRef]
- Zhu, B.; Wang, F.; Su, X.; Lu, Y.; Zhang, H. Effect of different amount of food and female resource on competitive strategy and agonistic behavior of swimming crab (Portunus trituberculatus). Aquaculture 2021, 536, 736471. [Google Scholar] [CrossRef]
- Toscano, B.J.; Monaco, C.J. Testing for relationships between individual crab behavior and metabolic rate across ecological contexts. Behav. Ecol. Sociobiol. 2015, 69, 1343–1351. [Google Scholar] [CrossRef]
- Hoogenboom, M.O.; Armstrong, J.D.; Groothuis, T.G.G.; Metcalfe, N.B. The growth benefits of aggressive behavior vary with individual metabolism and resource predictability. Behav. Ecol. 2013, 24, 253–261. [Google Scholar] [CrossRef]
- Nässel, D.R.; Pauls, D.; Huetteroth, W. Neuropeptides in modulation of Drosophila behavior: How to get a grip on their pleiotropic actions. Curr. Opin. Insect Sci. 2019, 36, 1–8. [Google Scholar] [CrossRef] [PubMed]
- Picones, A.; Aréchiga, H. Electrophysiological properties of crayfish retinal photoreceptors. J. Exp. Biol. 1990, 150, 111–122. [Google Scholar] [CrossRef]
- Okamoto, N.; Kakui, K. Phototaxis in Two Shallow-Water Zeuxo Species (Crustacea: Tanaidacea). Zool. Sci. 2023, 40, 203–207. [Google Scholar] [CrossRef] [PubMed]
- Santos, A.D.A.; López-Olmeda, J.F.; Sánchez-Vázquez, F.J.; Fortes-Silva, R. Synchronization to light and mealtime of the circadian rhythms of self-feeding behavior and locomotor activity of white shrimps (Litopenaeus vannamei). Comp. Biochem. Physiol. Part A Mol. Integr. Physiol. 2016, 199, 54–61. [Google Scholar] [CrossRef]
- Velasque, M.; Denton, J.A.; Briffa, M. Under the influence of light: How light pollution disrupts personality and metabolism in hermit crabs. Environ. Pollut. 2023, 316, 120594. [Google Scholar] [CrossRef] [PubMed]
- Farca Luna, A.J.; Hurtado-Zavala, J.I.; Reischig, T.; Heinrich, R. Circadian regulation of agonistic behavior in groups of parthenogenetic marbled crayfish, Procambarus sp. J. Biol. Rhythm. 2009, 24, 64–72. [Google Scholar] [CrossRef]
- Hankins, M.W.; Peirson, S.N.; Foster, R.G. Melanopsin: An exciting photopigment. Trends Neurosci. 2008, 31, 27–36. [Google Scholar] [CrossRef]
- Pang, Y.Y.; Zhang, C.; Xu, M.J.; Huang, G.Y.; Cheng, Y.X.; Yang, X.Z. The transcriptome sequencing and functional analysis of eyestalk ganglions in Chinese mitten crab (Eriocheir sinensis) treated with different photoperiods. PLoS ONE 2019, 14, e0210414. [Google Scholar] [CrossRef]








| Day 1 (Round 1) | Day 2 (Round 2) | Day 3 (Round 3) | |
|---|---|---|---|
| Aggressive group | + | + | + |
| Non-aggressive group | − | − | − |
| Primer Name | Sequence (5′–3′) |
|---|---|
| LOC113811845-F | AAATTAGGAGACGCCATGAATC |
| LOC113811845-R | TCAACGCCCAAGCCAGAG |
| LOC113811105-F | GGTCTTCATCCTCCTTGGTC |
| LOC113811105-R | TTGGCTTCTCCTGACTCGTA |
| LOC113806160-F | AAGGTTATTACGCCGACACTG |
| LOC113806160-R | GGTACTGCTGGTTGAAGATGG |
| LOC113816327-F | TACGCAAGGGAGCCACTAAC |
| LOC113816327-R | ACGGCAACTAATGGAAGCAA |
| LOC113816237-F | AAAACCCAACCCTCCCTCTC |
| LOC113816237-R | GCAACATCGTCGCCTAATCC |
| LOC113806595-F | CGATTCCAACCCGTGTCCTC |
| LOC113806595-R | TGCTCCTTCACCCTTCACAC |
| LOC113811118-F | CTCGCAACAACGACAACACT |
| LOC113811118-R | AATGGAACGCAGGAGTCAAA |
| LOC113830189-F | CATCCGCCTCCAGTTCGTG |
| LOC113830189-R | TGGTCGTCGCTTCTTAGGG |
| LOC113816208-F | AGGGAATGGTGGCTCTGTCG |
| LOC113816208-R | CAATGGGTCCTGCTGGGATA |
| LOC113804544-F | TTCCTCTGCCCGTTCCTAAA |
| LOC113804544-R | CTGTGAGCCTCCACCGTAAT |
| 18S-F | TATACGCTAGTGGAGCTGGAA |
| 18S-R | GGGGAGGTAGTGACGAAAAAT |
| Behavior | Parade | Demonstration | Attack | Fight | Chase | Impact | Feint | Temporary Retreat | Retreat |
|---|---|---|---|---|---|---|---|---|---|
| Parade | 100 | ||||||||
| Demonstration | 30.08 | 69.92 | |||||||
| Attack | 33.09 | 33.84 | 18.04 | 15.03 | |||||
| Fight | 32.82 | 67.18 | |||||||
| Chase | 50.60 | 49.40 | |||||||
| Impact | 23.99 | 76.01 | |||||||
| Feint | 40.12 | 24.20 | 35.68 | ||||||
| Temporary retreat | 45.47 | 54.53 | |||||||
| Retreat | 52.21 | 47.79 |
| Behavior | Encounter Stage | Contact Stage | Withdrawal Stage |
|---|---|---|---|
| Parade | 100 | ||
| Demonstration | 30.08 | 69.92 | |
| Attack | 100 | ||
| Fight | 32.82 | 67.18 | |
| Chase | 50.60 | 49.40 | |
| Impact | 23.99 | 76.01 | |
| Feint | 40.12 | 59.88 | |
| Temporary retreat | 45.47 | 54.53 | |
| Retreat | 100 |
Disclaimer/Publisher’s Note: The statements, opinions and data contained in all publications are solely those of the individual author(s) and contributor(s) and not of MDPI and/or the editor(s). MDPI and/or the editor(s) disclaim responsibility for any injury to people or property resulting from any ideas, methods, instructions or products referred to in the content. |
© 2024 by the authors. Licensee MDPI, Basel, Switzerland. This article is an open access article distributed under the terms and conditions of the Creative Commons Attribution (CC BY) license (https://creativecommons.org/licenses/by/4.0/).
Share and Cite
Wu, B.; Zhao, C.; Zheng, X.; Peng, Z.; Liu, M. Observation of Agonistic Behavior in Pacific White Shrimp (Litopenaeus vannamei) and Transcriptome Analysis. Animals 2024, 14, 1691. https://doi.org/10.3390/ani14111691
Wu B, Zhao C, Zheng X, Peng Z, Liu M. Observation of Agonistic Behavior in Pacific White Shrimp (Litopenaeus vannamei) and Transcriptome Analysis. Animals. 2024; 14(11):1691. https://doi.org/10.3390/ani14111691
Chicago/Turabian StyleWu, Bo, Chenxi Zhao, Xiafei Zheng, Zhilan Peng, and Minhai Liu. 2024. "Observation of Agonistic Behavior in Pacific White Shrimp (Litopenaeus vannamei) and Transcriptome Analysis" Animals 14, no. 11: 1691. https://doi.org/10.3390/ani14111691
APA StyleWu, B., Zhao, C., Zheng, X., Peng, Z., & Liu, M. (2024). Observation of Agonistic Behavior in Pacific White Shrimp (Litopenaeus vannamei) and Transcriptome Analysis. Animals, 14(11), 1691. https://doi.org/10.3390/ani14111691

