Are Current Protection Methods Ensuring the Safe Emancipation of Young Black Storks? Telemetry Study of Space Use by Black Storks (Ciconia nigra) in the Early Post-Breeding Period
Abstract
Simple Summary
Abstract
1. Introduction
2. Materials and Methods
2.1. Photo Dataset
2.2. GPS Telemetry Dataset
2.3. Data Analysis
2.4. Statistical Analysis
3. Results
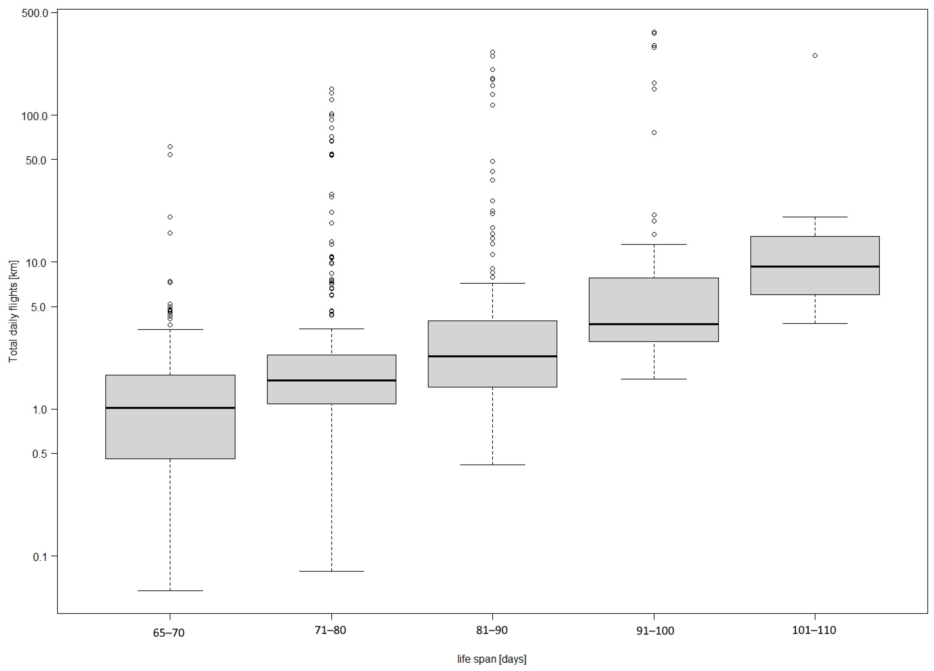
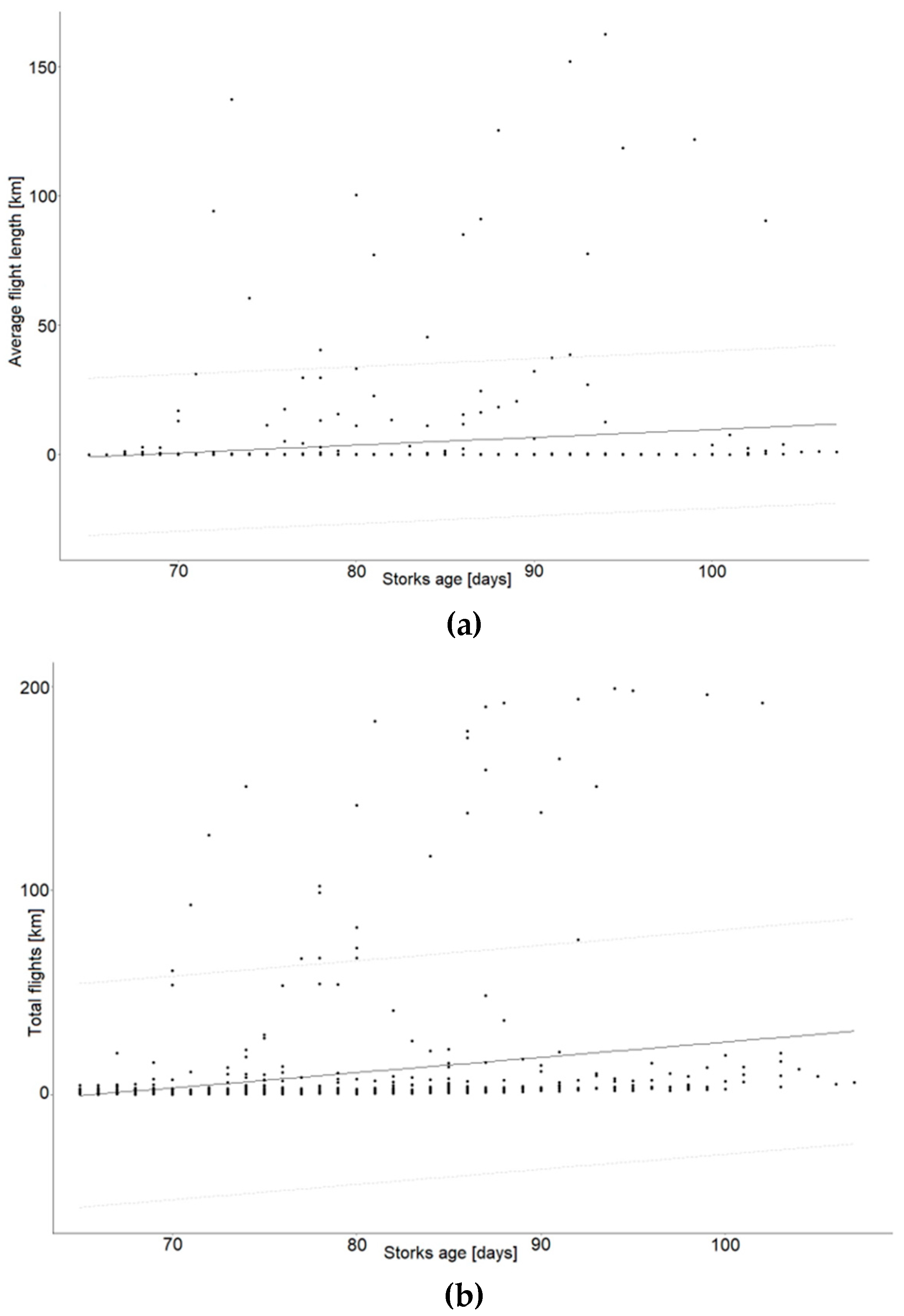
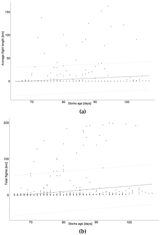
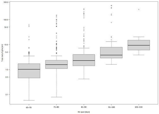
3.1. Use of Space
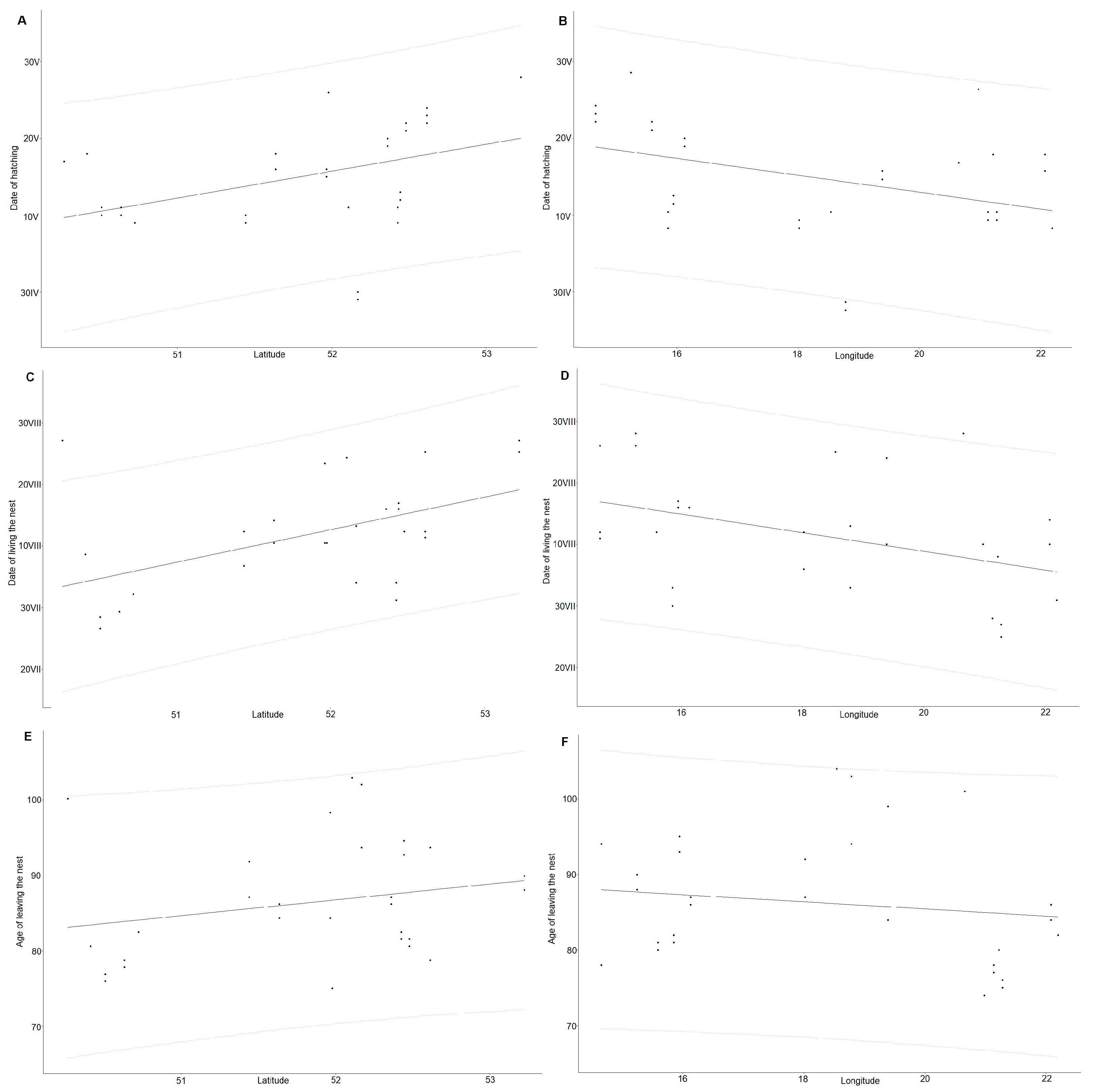
3.2. Breeding Phenology
3.3. Resting Places Near Nests
4. Discussion
5. Conclusions
Author Contributions
Funding
Institutional Review Board Statement
Informed Consent Statement
Data Availability Statement
Acknowledgments
Conflicts of Interest
References
- Anderwald, D.; Czajka, L.; Rubacha, S.; Zygmunt, M.; Mirski, P. Autumn migration of Ospreys from two distinct populations in Poland reveals partial migratory divide. Avian Res. 2021, 12, 46. [Google Scholar] [CrossRef]
- Maciorowski, G.; Galanki, A.; Kominos, T.; Drretakis, M.; Mirski, P. The importance of wetlands for the Greater Spotted Eagle Clanga clanga wintering in the Mediterranean Basin. Bird Conserv. Int. 2019, 29, 115–123. [Google Scholar] [CrossRef]
- Mirski, P.; Anderwald, D.; Lewandowski, S.; Pieczyński, P.; Zawadzka, D. Przemieszczenia juwenalnych bielików z Wigierskiego Parku Narodowego po opuszczeniu gniazd. Stud. I Mater. CEPL 2017, 19, 56–66. [Google Scholar]
- Mirski, P.; Anderwald, D.; Pieczyński, P.; Zawadzka, D. Znaczenie miejsca gniazdowego i przebieg usamodzielniania się młodych bielików z Wigierskiego Parku Narodowego. Stud. I Mater. CEPL 2018, 20, 134–144. [Google Scholar]
- Mirski, P.; Anderwald, D. Ranging Behavior of Non-Breeding and Breeding Adult White-Tailed Eagles. Diversity 2023, 15, 1208. [Google Scholar] [CrossRef]
- Bobek, M.; Hampl, R.; Peške, L.; Pojer, F.; Šimek, J.; Bureš, S. African Odyssey project—Satellite tracking of black storks Ciconia nigra breeding at a migratory divide. J. Avian Biol. 2008, 39, 500–506. [Google Scholar] [CrossRef]
- Flack, A.; Aikens, E.O.; Kölzsch, A.; Nourani, E.; Snell, K.R.S.; Fiedler, W.; Linek, N.; Bauer, H.-G.; Thorup, K.; Partecke, J.; et al. New frontiers in bird migration research. Curr. Biol. 2022, 32, R1187–R1199. [Google Scholar] [CrossRef] [PubMed]
- Zurell, D.; von Wehrden, H.; Rotics, S.; Kaatz, M.; Groß, H.; Schlag, L.; Schäfer, M.; Sapir, N.; Turjeman, S.; Wikelski, M.; et al. Home Range Size and Resource Use of Breeding and Non-breeding White Storks Along a Land Use Gradient. Front. Ecol. Evol. 2018, 6, 79. [Google Scholar] [CrossRef]
- Cano, L.S.; Tellería, J.L. Migration and winter distribution of Iberian and central European black storks Ciconia nigra moving to Africa across the Strait of Gibraltar: A comparative study. J. Avian Biol. 2013, 44, 189–197. [Google Scholar] [CrossRef]
- Chevallier, D.; Le Maho, Y.; Brossault, P.; Baillon, F.; Massemin, S. The use of stopover sites by Black Storks (Ciconia nigra) migrating between West Europe and West Africa as revealed by satellite telemetry. J. Ornithol. 2011, 152, 1–13. [Google Scholar] [CrossRef]
- Jadoul, G.; Hourlay, F.; Toussaint, A.-C. Suivi de la migration automnale de la Cigogne noire (Ciconia nigra) par télémétrie satellitaire. Aves 2003, 40, 155–164. [Google Scholar]
- Grishchenko, V. Phenology of the Black Stork (Ciconia nigra) migrations in Ukraine. Aves 2003, 40, 165–170. [Google Scholar]
- Dudzik, K.; Dolata, P.T.; Janic, B.; Profus, P.; Prochowski, R.; Zieliński, P. Polskie bociany czarne Ciconia nigra na zachodnim szlaku wędrówkowym i pierwsze przypadki ich zimowania na Półwyspie Iberyjskim. Chrońmy Przyr. Ojczystą 2015, 72, 163–183. [Google Scholar]
- Directive, E.B. Council Directive 79/409/EEC of 2 April 1979 on the conservation of wild birds. OJ L 1979, 103, 1979. [Google Scholar]
- Cramp, S.; Simmons, K.L.E. The Birds of the Western Palearctic, 2nd ed.; Oxford University Press: Oxford, UK, 1980. [Google Scholar]
- Available online: http://datazone.birdlife.org/species/factsheet/3830 (accessed on 3 April 2024).
- BirdLife International. IUCN Red List for Birds. 2021. Available online: http://www.birdlife.org (accessed on 14 March 2024).
- Chodkiewicz, T.; Chylarecki, P.; Sikora, A.; Wardecki, Ł.; Bobrek, R.; Neubauer, G.; Marchowski, D.; Dmoch, A.; Kuczyński, L. The report under Article 12 of the Birds Directive in Poland for the period 2013–2018: Status, trends, threats. Biul. Monit. Przyr. 2019, 20, 1–80. [Google Scholar]
- Zawadzki, G.; Zawadzki, J.; Drozdowski, S.; Zawadzka, D. Key Factors for Living in the Vicinity of a Top Predator: The Case of Black Stork and White-Tailed Eagle in NE Poland. Eur. Zool. J. 2022, 1223–1237. [Google Scholar] [CrossRef]
- Anderwald, D. Bocian czarny—Stan populacji, zagrożenia I projektowane działania ochronne KOO w ramach projektu “Bocianimy w lasach”. Biul. Kom. Ochr. Orłów 2017, 17, 51–56. [Google Scholar]
- Kaługa, I. Active protection of the black stork Ciconia nigra and its habitats. Stud. I Mater. CEPL 2007, 16, 386–392. [Google Scholar]
- Zieliński, P.; Stopczyński, M.; Janic, B.; Gapys, A.; Bańbura, J. Is the zonal protection of the Black Stork Ciconia nigra breeding places sufficient? Stud. I Mater. CEPL 2011, 27, 49–56. [Google Scholar]
- Jermaczek, A.; Chapiński, P. Bird protection and forest management in a draft of a protection plan of the Wielkopolska part of the Special Protection Area “Puszcza nad Gwdą”. Stud. I Mater. CEPL 2011, 27, 151–157. [Google Scholar]
- Lõhmus, A.; Sellis, U. Nest trees—A limiting factor for the Black Stork (Ciconia nigra) population in Estonia. Aves 2003, 40, 84–91. [Google Scholar]
- Moreno-Opo, R.; Fernández-Olalla, M.; Guil, F.; Arredondo, A.; Higuero, R.; Martín, M.; Soria, C.; Guzmán, J. The role of ponds as feeding habitat for an umbrella species: Best management practices for the black stork Ciconia nigra in Spain. Oryx 2011, 45, 448–455. [Google Scholar] [CrossRef]
- Chevallier, D.; Handrich, Y.; Georges, J.-Y.; Baillon, F.; Brossault, P.; Aurouet, A.; Le Maho, Y.; Massemin, S. Influence of weather conditions on the flight of migrating black storks. Proc. R. Soc. B 2010, 277, 2755–2764. [Google Scholar] [CrossRef] [PubMed]
- Fisel, F.; Heine, G.; Rohde, C.; Wikelski, M.; Flack, A. Influence of age on spatial and temporal migratory patterns of Black Storks from Germany. J. Ornithol. 2024. [Google Scholar] [CrossRef]
- Treinys, R.; Stončius, D.; Augustis, D.; Skuja, S. Breeding habitat of the black stork Ciconia nigra in Lithuania: Implications for Conservation Planning. Balt. For. 2009, 15, 33–40. [Google Scholar]
- Strazds, M.; Kuze, J.; Ose, L. Impact of growing white-tailed eagle population on declining black stork population in Latvia. In Proceedings of the Abstracts of International Conference Sea Eagle 2017 Conference, Roosta, Estonia, 5–7 October 2017. 113p. [Google Scholar]
- Konovalov, A.; Nellis, R.; Nellis, R.; Nurmla, A.; Sellis, U.; Väli, Ü. Solitude at periphery: Lack of partners limits reproduction of the Black Stork (Ciconia nigra) at the margin of the distribution range. Ornis Fenn. 2019, 96, 13–23. [Google Scholar] [CrossRef]
- Dmitrenok, M.G.; Pakul, P.A. The status of Black Stork population in Belarus Polesie. In Proceedings of the VII International Conference on Black Stork Ciconia nigra, Donana National Park, Almonte, Spain, 28–30 November 2018. Programme and Abstract Book 10p. [Google Scholar]
- Väli, Ü.; Strazds, M.; Kaldma, K.; Treinys, R. Low juvenile survival threatens the Black Stork Ciconia nigra in northern Europe. Bird Conserv. Int. 2024, 34, e10. [Google Scholar] [CrossRef]
- Cano, L.S.; Franco, C.; Doval, G.; Tores, A.; Carbonell, I.; Telleria, J.L. Post-breeding monements of Iberian Black Storks Ciconia nigra as revealed by satellite tracking. Ardeola 2013, 60, 133–142. [Google Scholar] [CrossRef]
- Jiguet, F.; Villarubias, S. Satellite tracking of breeding black storks Ciconia nigra: New incomes for spatial conservation issues. Biol. Conserv. 2004, 120, 153–160. [Google Scholar] [CrossRef]
- Anderwald, D.; Lubińska, K. The process of becoming independent in the post-fledling period of the telemetry tracked white-tailed eagles Haliaeetus albicilla from the “Bory Tucholskie” National Park. Leśne Pr. Badaw. 2021, 82, 131–142. [Google Scholar]
- Larue, M.; Boos, M.; Brossard, C.; Bailon, F.; Boutteaux, J.J.; Bernard, J.; Brossault, P.; Petit, O.; Chevallier, D. Migration of juvenile Black Storks: Stay with the family or go alone? Ringing Migr. 2016, 31, 74–76. [Google Scholar] [CrossRef]
- Rostics, S.; Turjeman, S.; Kaatz, M.; Zurell, D.; Wikelski, M.; Sapir, N.; Fiedler, W.; Eggers, U.; Sesheff, Y.S.; Jeltsch, F.; et al. Early-life behaviour predicts first-year survival in a long-distance avian migrant. Proc. R. Soc. B 2021, 288, 20202670. [Google Scholar] [CrossRef] [PubMed]
- Buehler, D.A.; Fraser, D.A.; Fuller, M.R.; McAllister, L.S.; Seegar, J.K.D. Captive and field-tested ratio transmitter attachments for bald eagles. J. Field. Ornith. 1995, 66, 173–180. [Google Scholar]
- Kamiński, M.; Janic, B.; Marszal, L.; Bańbura, J.; Zieliński, P. Age estimation of black stork (Ciconia nigra) nestlings from wing, bill, head, and tarsus lengths at the time of ringing. Turk. J. Zool. 2018, 42, 17. [Google Scholar] [CrossRef]
- FDB. 2023. Available online: https://www.bdl.lasy.gov.pl/portal/mapy-en (accessed on 3 April 2024).
- R Core Team. R: A Language and Environment for Statistical Computing; R Foundation for Statistical Computing: Vienna, Austria, 2023; Available online: https://www.R-project.org/ (accessed on 3 April 2024).
- YT KOO. Available online: https://www.youtube.com/@komitetochronyoroweaglecon1326 (accessed on 3 April 2024).
- Augutis, D.; Sinkeviius, S. Application of Geographic Information System (GIS) Technologies in Identification of Potential Nesting Habitats of Black Stork (Ciconia nigra). Acta Zool. Litu. 2005, 15, 3–12. [Google Scholar] [CrossRef]
- Thulin, C.-G.; Sörhammar, M.; Bohlin, J. Black Stork Back: Species distribution model predictions of potential habitats for Black Stork Ciconia nigra in Sweden. Ornis Svec. 2021, 32, 14–25. [Google Scholar] [CrossRef]
- Richardson, C.T.; Miller, C.K. Recommendations for protecting raptors from human disturbance: A review. Wildl. Soc. Bull. 1997, 25, 634–638. [Google Scholar]
- Margalida, A.; Moreno-Opo, R.; Arroyo, B.E.; Arredondo, A. Reconciling the conservation of endangered species with economically important anthropogenic activities: Interactions between cork exploitation and the cinereous vulture in Spain. Anim. Conserv. 2011, 14, 167–174. [Google Scholar] [CrossRef]
- Zawadzki, G.; Zawadzka, D.; Sołtys, A.; Drozdowski, S. Nest sites selection by the white-tailed eagle and black stork—Implications for conservation practice. For. Ecosyst. 2020, 7, 59. [Google Scholar] [CrossRef]
- Cano-Alonso, L.S.; Tellería, J.L. Breeding productivity in relation to nesting substrate and nest site accessibility to humans in the Black Stork Ciconia nigra. Ardeola 2013, 60, 357–363. [Google Scholar] [CrossRef]
- Rosenvald, R.; Lõhmus, A. Nesting of the Black Stork (Ciconia nigra) and White-tailed Eagle (Haliaeetus albicilla) in relation to forest management. For. Ecol. Manag. 2003, 185, 217–223. [Google Scholar] [CrossRef]
- Zawadzka, D.; Olech, B.; Zawadzki, J. Zagęszczenie, rozród i pokarm bociana czarnego (Ciconia nigra) w Kampinoskim Parku Narodowym w latach 1979–1987. Not. Orn. 1990, 31, 5–20. [Google Scholar]
- Ivanowski, V.V. Nesting biology of the black stork Ciconia nigra in Belarusian Poozerie. Arch. Soc. Zool. Pol. 2017, 62, 39–45. [Google Scholar]
- Literák, I.; Kafka, P.; Vrána, J.; Pojer, F. Migration of Black Storks Ciconia nigra at a migratory divide: Two different routes used by siblings from one nest and two different routes used by one individual. Ringing Migr. 2017, 32, 19–24. [Google Scholar] [CrossRef]
- Olszewski, A. Phenology of migration and wintering of selected bird species in western part ofthe Kampinos National Park. Kulon 2006, 11, 67–74. [Google Scholar]
- Bocheński MKajzer, Z.; Czechowski, P.; Jędro, G.; Cichocki, J.; Rubacha, S.; Sidelnik, M.; Wąsicki, A. Migrating and wintering avifauna of the Odra River Valley middle section. Ptaki Śląska 2006, 16, 123–161. [Google Scholar]
- Available online: https://www.ornitho.pl/index.php?m_id=1 (accessed on 3 April 2024).
- Lõhmus, A.; Runnel, K.; Palo, A.; Leis, M.; Nellis, R.; Rannap, R.; Remm, L.; Rosenvald, R.; Lõhmus, P. Value of a broken umbrella: Abandoned nest sites of the black stork (Ciconia nigra) host rich biodiversity. Biodivers. Conserv. 2021, 30, 3647–3664. [Google Scholar] [CrossRef]






| <200 m | 200–500 m | 500–1000 m | >1000 m | Rejected Data | ||||||
|---|---|---|---|---|---|---|---|---|---|---|
| Individual | Time | % | Time | % | Time | % | Time | % | Time | % |
| 13385 | 742:09:56 | 96.89 | 00:19:57 | 0.04 | 00:49:58 | 0.11 | 01:10:05 | 0.2 | 21:30:12 | 2.81 |
| 13408_1 | 529:06:08 | 69.07 | 71:19:59 | 9.31 | 32:41:02 | 4.27 | 16:25:46 | 2.1 | 116:27:09 | 15.20 |
| 13419_1 | 533:53:41 | 69.98 | 67:59:23 | 8.91 | 23:59:31 | 3.14 | 11:59:49 | 1.6 | 125:06:18 | 16.40 |
| 11368_2 | 713:14:37 | 93.11 | 08:13:42 | 1.07 | 01:10:47 | 0.15 | 13:42:32 | 1.8 | 29:38:20 | 3.87 |
| 13398_2 | 716:00:40 | 93.47 | 04:00:02 | 0.52 | 00:00:00 | 0.00 | 14:00:14 | 1.8 | 31:59:16 | 4.18 |
| 13376_3 | 654:58:28 | 85.51 | 23:00:10 | 3.00 | 00:00:00 | 0.00 | 61:00:02 | 8.0 | 27:00:57 | 3.53 |
| 13391_3 | 603:50:04 | 79.81 | 55:25:34 | 7.33 | 02:50:48 | 0.38 | 46:23:49 | 6.1 | 48:04:12 | 6.35 |
| 13372_4 | 715:01:51 | 93.35 | 00:00:00 | 0.00 | 06:00:32 | 0.78 | 11:00:00 | 1.4 | 33:57:26 | 4.43 |
| 13390_4 | 391:52:04 | 51.10 | 74:56:10 | 9.77 | 06:06:02 | 0.80 | 204:47:09 | 26.7 | 89:08:32 | 11.62 |
| 13421_4 | 728:59:30 | 95.07 | 04:00:25 | 0.52 | 00:00:00 | 0.00 | 14:50:02 | 1.9 | 18:59:23 | 2.48 |
| 13383_5 | 705:57:09 | 92.16 | 00:01:26 | 0.00 | 02:59:32 | 0.39 | 14:00:06 | 1.8 | 43:01:07 | 5.62 |
| 13387_5 | 715:00:17 | 93.24 | 00:00:00 | 0.00 | 00:00:00 | 0.00 | 11:50:24 | 1.5 | 39:59:40 | 5.22 |
| 13329_1 | 59:00:16 | 42.15 | 13:00:01 | 9.29 | 24:59:59 | 17.86 | 26:00:39 | 18.58 | 16:58:59 | 12.13 |
| 13358_1 | 257:00:54 | 64.09 | 65:00:24 | 16.21 | 02:00:07 | 0.50 | 01:00:01 | 0.25 | 75:58:34 | 18.95 |
| CIN01_1 | 325:35:00 | 82.22 | 09:18:45 | 2.35 | 00:17:44 | 0.07 | 44:05:32 | 11.13 | 16:43:05 | 4.22 |
| CIN02_1 | 56:02:13 | 29.34 | 00:00:00 | 0.00 | 00:00:00 | 0.00 | 132:25:08 | 69.33 | 02:31:54 | 1.33 |
| 13324_2 | 219:59:09 | 92.43 | 00:00:00 | 0.00 | 00:00:00 | 0.00 | 15:00:03 | 6.30 | 03:00:22 | 1.26 |
| 14274_3 | 439:01:03 | 92.23 | 05:00:08 | 1.05 | 00:00:00 | 0.00 | 12:59:49 | 2.73 | 18:58:31 | 3.99 |
| 14329_3 | 688:32:55 | 82.56 | 21:29:30 | 2.58 | 65:59:15 | 7.91 | 13:00:00 | 1.56 | 44:58:09 | 5.39 |
| 13337_4 | 339:59:04 | 79.25 | 05:00:59 | 1.17 | 11:00:04 | 2.56 | 38:00:12 | 8.86 | 34:58:53 | 8.15 |
| 13334_5 | 574:58:45 | 80.30 | 18:59:52 | 2.65 | 35:00:21 | 4.89 | 07:59:39 | 1.12 | 79:01:13 | 11.04 |
| 13361_5 | 708:28:39 | 75.89 | 12:01:43 | 1.29 | 74:27:50 | 7.98 | 14:59:19 | 1.61 | 123:32:35 | 13.23 |
| 13340_6 | 743:25:09 | 83.96 | 25:58:55 | 2.93 | 02:00:54 | 0.23 | 35:00:04 | 3.95 | 79:04:02 | 8.93 |
| 13401_6 | 818:57:04 | 79.55 | 22:28:36 | 2.18 | 15:00:14 | 1.46 | 64:31:09 | 6.27 | 108:33:11 | 10.54 |
| 13344_7 | 443:59:27 | 81.02 | 12:00:00 | 2.19 | 00:00:00 | 0.00 | 47:59:40 | 8.76 | 44:00:26 | 8.03 |
| 13363_7 | 587:58:18 | 87.89 | 11:59:52 | 1.79 | 00:00:00 | 0.00 | 13:08:23 | 1.96 | 55:52:42 | 8.35 |
| 13343_8 | 422:58:56 | 80.57 | 03:59:57 | 0.76 | 40:30:46 | 7.72 | 17:00:02 | 3.24 | 40:29:59 | 7.71 |
| 13400_8 | 431:54:54 | 90.75 | 01:00:00 | 0.21 | 00:00:00 | 0.00 | 30:00:04 | 6.30 | 13:00:10 | 2.73 |
| 13366_9 | 325:00:38 | 85.53 | 12:00:32 | 3.16 | 00:59:44 | 0.26 | 12:00:41 | 3.16 | 29:59:01 | 7.89 |
| 13332_10 | 229:58:55 | 69.91 | 02:00:02 | 0.61 | 03:00:26 | 0.91 | 10:59:55 | 3.34 | 83:00:06 | 25.23 |
| 13413_10 | 230:00:10 | 75.41 | 07:58:53 | 2.62 | 13:00:46 | 4.27 | 11:00:15 | 3.61 | 42:59:49 | 14.10 |
| 13326_11 | 67:59:58 | 24.29 | 120:00:20 | 42.86 | 04:00:24 | 1.43 | 20:00:14 | 7.14 | 67:58:55 | 24.28 |
| 13357_11 | 111:58:58 | 42.91 | 75:59:18 | 29.12 | 10:00:34 | 3.84 | 11:00:19 | 4.22 | 51:59:49 | 19.92 |
| 13365_12 | 808:01:31 | 84.74 | 49:00:11 | 5.14 | 07:29:19 | 0.79 | 30:30:41 | 3.20 | 58:28:38 | 6.13 |
| Fixed Effect Parameter | Estimate | Std. Error | z Value | p |
|---|---|---|---|---|
| Intercept | −14.574 | 0.74 | −19.75 | <0.0001 |
| Day of life | 0.173 | 0.009 | 19.86 | <0.0001 |
| AIC | 1165.3 |
Disclaimer/Publisher’s Note: The statements, opinions and data contained in all publications are solely those of the individual author(s) and contributor(s) and not of MDPI and/or the editor(s). MDPI and/or the editor(s) disclaim responsibility for any injury to people or property resulting from any ideas, methods, instructions or products referred to in the content. |
© 2024 by the authors. Licensee MDPI, Basel, Switzerland. This article is an open access article distributed under the terms and conditions of the Creative Commons Attribution (CC BY) license (https://creativecommons.org/licenses/by/4.0/).
Share and Cite
Anderwald, D.; Sławski, M.; Zadworny, T.; Zawadzki, G. Are Current Protection Methods Ensuring the Safe Emancipation of Young Black Storks? Telemetry Study of Space Use by Black Storks (Ciconia nigra) in the Early Post-Breeding Period. Animals 2024, 14, 1558. https://doi.org/10.3390/ani14111558
Anderwald D, Sławski M, Zadworny T, Zawadzki G. Are Current Protection Methods Ensuring the Safe Emancipation of Young Black Storks? Telemetry Study of Space Use by Black Storks (Ciconia nigra) in the Early Post-Breeding Period. Animals. 2024; 14(11):1558. https://doi.org/10.3390/ani14111558
Chicago/Turabian StyleAnderwald, Dariusz, Marek Sławski, Tomasz Zadworny, and Grzegorz Zawadzki. 2024. "Are Current Protection Methods Ensuring the Safe Emancipation of Young Black Storks? Telemetry Study of Space Use by Black Storks (Ciconia nigra) in the Early Post-Breeding Period" Animals 14, no. 11: 1558. https://doi.org/10.3390/ani14111558
APA StyleAnderwald, D., Sławski, M., Zadworny, T., & Zawadzki, G. (2024). Are Current Protection Methods Ensuring the Safe Emancipation of Young Black Storks? Telemetry Study of Space Use by Black Storks (Ciconia nigra) in the Early Post-Breeding Period. Animals, 14(11), 1558. https://doi.org/10.3390/ani14111558

