Characteristics of Microbiota in Different Segments of the Digestive Tract of Lycodon rufozonatus
Abstract
Simple Summary
Abstract
1. Introduction
2. Materials and Methods
2.1. Sample Collection
2.2. DNA Extraction and Polymerase Chain Reaction (PCR) Amplification
2.3. Library Construction and High-Throughput Sequencing
2.4. Sequencing Data Processing
2.5. Operational Taxonomic Unit Clustering and Species Annotation
2.6. Diversity Analysis
2.7. Indicator Species Analysis
2.8. Function Prediction
3. Results
3.1. Sequencing of the Microbiota in the Gastrointestinal Tract of L. rufozonatus
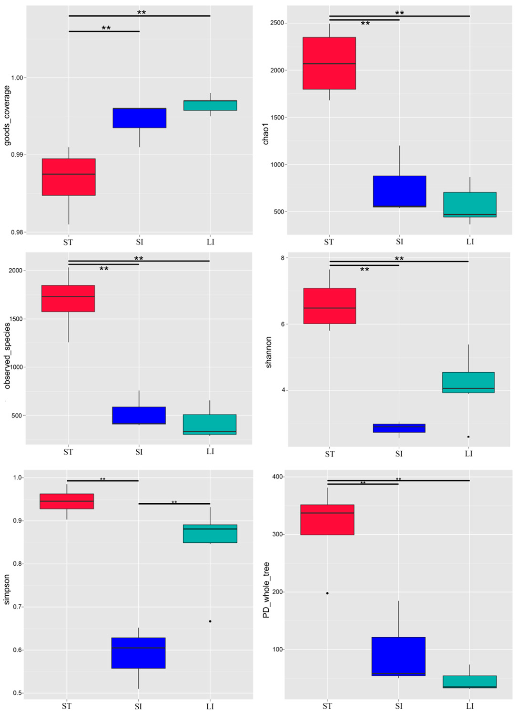
3.2. Bacterial Diversity in the Gastrointestinal Tract
3.3. Bacterial Composition and Structure of the Gastrointestinal Tract
3.4. Differences in the Gastrointestinal Microbiome across Segments
3.5. Microbial Function Prediction
4. Discussion
5. Conclusions
Supplementary Materials
Author Contributions
Funding
Institutional Review Board Statement
Informed Consent Statement
Data Availability Statement
Acknowledgments
Conflicts of Interest
References
- Zhu, W.; Qi, Y.; Wang, X.; Shi, X.; Chang, L.; Liu, J.; Zhu, L.; Jiang, J. Multi-Omics Approaches Revealed the Associations of Host Metabolism and Gut Microbiome with Phylogeny and Environmental Adaptation in Mountain Dragons. Front. Microbiol. 2022, 13, 913700. [Google Scholar] [CrossRef] [PubMed]
- Zhu, L.; Wang, J.; Bahrndorff, S. Editorial: The Wildlife Gut Microbiome and Its Implication for Conservation Biology. Front. Microbiol. 2021, 12, 697499. [Google Scholar] [CrossRef] [PubMed]
- Wang, X.; Shang, Y.; Wei, Q.; Wu, X.; Dou, H.; Zhang, H.; Zhou, S.; Sha, W.; Sun, G.; Ma, S.; et al. Comparative Analyses of the Gut Microbiome of Two Fox Species, the Red Fox (Vulpes vulpes) and Corsac Fox (Vulpes corsac), that Occupy Different Ecological Niches. Microb. Ecol. 2022, 83, 753–765. [Google Scholar] [CrossRef] [PubMed]
- Ji, Y.; Sun, S.; Goodrich, J.K.; Kim, H.; Poole, A.C.; Duhamel, G.E.; Ley, R.E.; Qi, L. Diet-induced alterations in gut microflora contribute to lethal pulmonary damage in TLR2/TLR4-deficient mice. Cell Rep. 2014, 8, 137–149. [Google Scholar] [CrossRef]
- Zhu, J.; Li, H.; Jing, Z.Z.; Zheng, W.; Luo, Y.R.; Chen, S.X.; Guo, F. Robust host source tracking building on the divergent and non-stochastic assembly of gut microbiomes in wild and farmed large yellow croaker. Microbiome 2022, 10, 18. [Google Scholar] [CrossRef]
- Wang, X.; Wu, X.; Shang, Y.; Gao, Y.; Li, Y.; Wei, Q.; Dong, Y.; Mei, X.; Zhou, S.; Sun, G.; et al. High-Altitude Drives the Convergent Evolution of Alpha Diversity and Indicator Microbiota in the Gut Microbiomes of Ungulates. Front. Microbiol. 2022, 13, 953234. [Google Scholar] [CrossRef]
- Wei, F.; Wang, X.; Wu, Q. The giant panda gut microbiome. Trends Microbiol. 2015, 23, 450–452. [Google Scholar] [CrossRef]
- Bo, T.B.; Zhang, X.Y.; Wen, J.; Deng, K.; Qin, X.W.; Wang, D.H. The microbiota-gut-brain interaction in regulating host metabolic adaptation to cold in male Brandt’s voles (Lasiopodomys brandtii). ISME J. 2019, 13, 3037–3053. [Google Scholar] [CrossRef]
- Li, G.; Yin, B.; Li, J.; Wang, J.; Wei, W.; Bolnick, D.I.; Wan, X.; Zhu, B.; Zhang, Z. Host-microbiota interaction helps to explain the bottom-up effects of climate change on a small rodent species. ISME J. 2020, 14, 1795–1808. [Google Scholar] [CrossRef]
- Kim, P.S.; Shin, N.R.; Lee, J.B.; Kim, M.S.; Whon, T.W.; Hyun, D.W.; Yun, J.H.; Jung, M.J.; Kim, J.Y.; Bae, J.W. Host habitat is the major determinant of the gut microbiome of fish. Microbiome 2021, 9, 166. [Google Scholar] [CrossRef]
- Waite, D.W.; Taylor, M.W. Characterizing the avian gut microbiota: Membership, driving influences, and potential function. Front. Microbiol. 2014, 5, 223. [Google Scholar] [CrossRef] [PubMed]
- Cao, J.; Hu, Y.; Liu, F.; Wang, Y.; Bi, Y.; Lv, N.; Li, J.; Zhu, B.; Gao, G.F. Metagenomic analysis reveals the microbiome and resistome in migratory birds. Microbiome 2020, 8, 26. [Google Scholar] [CrossRef] [PubMed]
- Zhang, Z.; Xu, D.; Wang, L.; Hao, J.; Wang, J.; Zhou, X.; Wang, W.; Qiu, Q.; Huang, X.; Zhou, J.; et al. Convergent Evolution of Rumen Microbiomes in High-Altitude Mammals. Curr. Biol. CB 2016, 26, 1873–1879. [Google Scholar] [CrossRef] [PubMed]
- Xiao, F.; Zhu, W.; Yu, Y.; He, Z.; Wu, B.; Wang, C.; Shu, L.; Li, X.; Yin, H.; Wang, J.; et al. Host development overwhelms environmental dispersal in governing the ecological succession of zebrafish gut microbiota. NPJ Biofilms Microbiomes 2021, 7, 5. [Google Scholar] [CrossRef] [PubMed]
- Mori, A.; Vincent, S.E. An integrative approach to specialization: Relationships among feeding morphology, mechanics, behaviour, performance and diet in two syntopic snakes. J. Zool. 2008, 275, 47–56. [Google Scholar] [CrossRef]
- Zhang, L.; Yang, F.; Li, N.; Dayananda, B. Environment-Dependent Variation in Gut Microbiota of an Oviparous Lizard (Calotes versicolor). Animals 2021, 11, 2461. [Google Scholar] [CrossRef]
- Zhang, L.; Yang, F.; Li, T.; Dayananda, B.; Lin, L.; Lin, C. Lessons from the diet: Captivity and sex shape the gut microbiota in an oviparous lizard (Calotes versicolor). Ecol. Evol. 2022, 12, e8586. [Google Scholar] [CrossRef]
- Montoya-Ciriaco, N.; Gomez-Acata, S.; Munoz-Arenas, L.C.; Dendooven, L.; Estrada-Torres, A.; Diaz de la Vega-Perez, A.H.; Navarro-Noya, Y.E. Dietary effects on gut microbiota of the mesquite lizard Sceloporus grammicus (Wiegmann, 1828) across different altitudes. Microbiome 2020, 8, 6. [Google Scholar] [CrossRef]
- Beaupre, S.J. Field Metabolic Rate, Water Flux, and Energy Budgets of Mottled Rock Rattlesnakes, Crotalus lepidus, from Two Populations. Copeia 1996, 1996, 319. [Google Scholar] [CrossRef]
- Starck, J.M.; Beese, K. Structural flexibility of the small intestine and liver of garter snakes in response to feeding and fasting. J. Exp. Biol. 2002, 205, 1377–1388. [Google Scholar] [CrossRef]
- Ley, R.E.; Hamady, M.; Lozupone, C.; Turnbaugh, P.J.; Ramey, R.R.; Bircher, J.S.; Schlegel, M.L.; Tucker, T.A.; Schrenzel, M.D.; Knight, R.; et al. Evolution of mammals and their gut microbes. Science 2008, 320, 1647–1651. [Google Scholar] [CrossRef] [PubMed]
- Xue, Z.; Zhang, W.; Wang, L.; Hou, R.; Zhang, M.; Fei, L.; Zhang, X.; Huang, H.; Bridgewater, L.C.; Jiang, Y.; et al. The bamboo-eating giant panda harbors a carnivore-like gut microbiota, with excessive seasonal variations. mBio 2015, 6, e00022-15. [Google Scholar] [CrossRef]
- Michalek, O.; Petrakova, L.; Pekar, S. Capture efficiency and trophic adaptations of a specialist and generalist predator: A comparison. Ecol. Evol. 2017, 7, 2756–2766. [Google Scholar] [CrossRef] [PubMed]
- Bron, P.A.; Kleerebezem, M.; Brummer, R.-J.; Cani, P.D.; Mercenier, A.; MacDonald, T.T.; Garcia-Ródenas, C.L.; Wells, J.M. Can probiotics modulate human disease by impacting intestinal barrier function? Br. J. Nutr. 2017, 117, 93–107. [Google Scholar] [CrossRef] [PubMed]
- Wu, X.; Zhang, H.; Chen, J.; Shang, S.; Wei, Q.; Yan, J.; Tu, X. Comparison of the fecal microbiota of dholes high-throughput Illumina sequencing of the V3-V4 region of the 16S rRNA gene. Appl. Microbiol. Biotechnol. 2016, 100, 3577–3586. [Google Scholar] [CrossRef] [PubMed]
- Kohl, K.D.; Skopec, M.M.; Dearing, M.D. Captivity results in disparate loss of gut microbial diversity in closely related hosts. Conserv. Physiol. 2014, 2, cou009. [Google Scholar] [CrossRef] [PubMed]
- Qian, L.; Zhang, C.; Huang, X.; Pan, T.; Wang, H.; Zhang, B. Mitochondrial genome of Dinodon rufozonatum (Squamata: Colubridae: Dinodon). Mitochondrial DNA Part A DNA Mapp. Seq. Anal. 2016, 27, 970–971. [Google Scholar] [CrossRef]
- IUCN. IUCN Red List of Threatened Species; Version 2013.2; IUCN Gland: Gran, Switzerland, 2013. [Google Scholar]
- Cai, B.; Li, J.; Chen, Y.; Wang, Y. Exploring the status and causes of China’s threatened reptiles through the red list assessment. Biodivers. Sci. 2016, 24, 578–587. [Google Scholar] [CrossRef]
- Suzuki, T.A.; Nachman, M.W. Spatial Heterogeneity of Gut Microbial Composition along the Gastrointestinal Tract in Natural Populations of House Mice. PLoS ONE 2016, 11, e0163720. [Google Scholar] [CrossRef]
- Magoc, T.; Salzberg, S.L. FLASH: Fast length adjustment of short reads to improve genome assemblies. Bioinformatics 2011, 27, 2957–2963. [Google Scholar] [CrossRef]
- Bokulich, N.A.; Subramanian, S.; Faith, J.J.; Gevers, D.; Gordon, J.I.; Knight, R.; Mills, D.A.; Caporaso, J.G. Quality-filtering vastly improves diversity estimates from Illumina amplicon sequencing. Nat. Methods 2013, 10, 57–59. [Google Scholar] [CrossRef]
- Caporaso, J.G.; Kuczynski, J.; Stombaugh, J.; Bittinger, K.; Bushman, F.D.; Costello, E.K.; Fierer, N.; Pena, A.G.; Goodrich, J.K.; Gordon, J.I.; et al. QIIME allows analysis of high-throughput community sequencing data. Nat. Methods 2010, 7, 335–336. [Google Scholar] [CrossRef] [PubMed]
- Rognes, T.; Flouri, T.; Nichols, B.; Quince, C.; Mahe, F. VSEARCH: A versatile open source tool for metagenomics. PeerJ 2016, 4, e2584. [Google Scholar] [CrossRef] [PubMed]
- Haas, B.J.; Gevers, D.; Earl, A.M.; Feldgarden, M.; Ward, D.V.; Giannoukos, G.; Ciulla, D.; Tabbaa, D.; Highlander, S.K.; Sodergren, E.; et al. Chimeric 16S rRNA sequence formation and detection in Sanger and 454-pyrosequenced PCR amplicons. Genome Res. 2011, 21, 494–504. [Google Scholar] [CrossRef] [PubMed]
- Quast, C.; Pruesse, E.; Yilmaz, P.; Gerken, J.; Schweer, T.; Yarza, P.; Peplies, J.; Glockner, F.O. The SILVA ribosomal RNA gene database project: Improved data processing and web-based tools. Nucleic Acids Res. 2013, 41, D590–D596. [Google Scholar] [CrossRef]
- Wang, Q.; Garrity, G.M.; Tiedje, J.M.; Cole, J.R. Naive Bayesian classifier for rapid assignment of rRNA sequences into the new bacterial taxonomy. Appl. Environ. Microbiol. 2007, 73, 5261–5267. [Google Scholar] [CrossRef]
- Li, W.; Cowley, A.; Uludag, M.; Gur, T.; McWilliam, H.; Squizzato, S.; Park, Y.M.; Buso, N.; Lopez, R. The EMBL-EBI bioinformatics web and programmatic tools framework. Nucleic Acids Res. 2015, 43, W580–W584. [Google Scholar] [CrossRef]
- Segata, N.; Izard, J.; Waldron, L.; Gevers, D.; Miropolsky, L.; Garrett, W.S.; Huttenhower, C. Metagenomic biomarker discovery and explanation. Genome Biol. 2011, 12, R60. [Google Scholar] [CrossRef]
- Edgar, R.C. MUSCLE: Multiple sequence alignment with high accuracy and high throughput. Nucleic Acids Res. 2004, 32, 1792–1797. [Google Scholar] [CrossRef]
- Oren, A.; Garrity, G.M. Valid publication of the names of forty-two phyla of prokaryotes. Int. J. Syst. Evol. Microbiol. 2021, 71, 005056. [Google Scholar] [CrossRef]
- Wu, X.; Shang, Y.; Wei, Q.; Chen, J.; Zhang, H.; Chen, Y.; Gao, X.; Wang, Z.; Zhang, H. Gut Microbiota in Dholes during Estrus. Front. Microbiol. 2020, 11, 575731. [Google Scholar] [CrossRef] [PubMed]
- Tong, Q.; Liu, X.N.; Hu, Z.F.; Ding, J.F.; Bie, J.; Wang, H.B.; Zhang, J.T. Effects of Captivity and Season on the Gut Microbiota of the Brown Frog (Rana dybowskii). Front. Microbiol. 2019, 10, 1912. [Google Scholar] [CrossRef] [PubMed]
- Ley, R.E.; Lozupone, C.A.; Hamady, M.; Knight, R.; Gordon, J.I. Worlds within worlds: Evolution of the vertebrate gut microbiota. Nat. Rev. Microbiol. 2008, 6, 776–788. [Google Scholar] [CrossRef] [PubMed]
- Xu, L.; Xiang, P.; Zhang, B.; Yang, K.; Liu, F.; Wang, Z.; Jin, Y.; Deng, L.; Gan, W.; Song, Z. Host Species Influence the Gut Microbiota of Endemic Cold-Water Fish in Upper Yangtze River. Front. Microbiol. 2022, 13, 906299. [Google Scholar] [CrossRef] [PubMed]
- Kundu, P.; Blacher, E.; Elinav, E.; Pettersson, S. Our Gut Microbiome: The Evolving Inner Self. Cell 2017, 171, 1481–1493. [Google Scholar] [CrossRef]
- Rosshart, S.P.; Vassallo, B.G.; Angeletti, D.; Hutchinson, D.S.; Morgan, A.P.; Takeda, K.; Hickman, H.D.; McCulloch, J.A.; Badger, J.H.; Ajami, N.J.; et al. Wild Mouse Gut Microbiota Promotes Host Fitness and Improves Disease Resistance. Cell 2017, 171, 1015–1028. [Google Scholar] [CrossRef]
- McLaughlin, R.W.; Cochran, P.A.; Dowd, S.E. Metagenomic analysis of the gut microbiota of the Timber Rattlesnake, Crotalus horridus. Mol. Biol. Rep. 2015, 42, 1187–1195. [Google Scholar] [CrossRef]
- Colston, T.J.; Noonan, B.P.; Jackson, C.R. Phylogenetic Analysis of Bacterial Communities in Different Regions of the Gastrointestinal Tract of Agkistrodon piscivorus, the Cottonmouth Snake. PLoS ONE 2015, 10, e0128793. [Google Scholar] [CrossRef]
- The Human Microbiome Project Consortium. Structure, function and diversity of the healthy human microbiome. Nature 2012, 486, 207–214. [Google Scholar] [CrossRef]
- Hong, P.Y.; Wheeler, E.; Cann, I.K.; Mackie, R.I. Phylogenetic analysis of the fecal microbial community in herbivorous land and marine iguanas of the Galapagos Islands using 16S rRNA-based pyrosequencing. ISME J. 2011, 5, 1461–1470. [Google Scholar] [CrossRef]
- Xiao, K.; Fan, Y.; Zhang, Z.; Shen, X.; Li, X.; Liang, X.; Bi, R.; Wu, Y.; Zhai, J.; Dai, J.; et al. Covariation of the Fecal Microbiome with Diet in Nonpasserine Birds. mSphere 2021, 6, e00308-21. [Google Scholar] [CrossRef] [PubMed]
- Holmberg, A.; Kaim, J.; Persson, A.; Jensen, J.; Wang, T.; Holmgren, S. Effects of digestive status on the reptilian gut. Comp. Biochem. Physiol. Part A Mol. Integr. Physiol. 2002, 133, 499–518. [Google Scholar] [CrossRef] [PubMed]
- He, J.; Yi, L.; Hai, L.; Ming, L.; Gao, W.; Ji, R. Characterizing the bacterial microbiota in different gastrointestinal tract segments of the Bactrian camel. Sci. Rep. 2018, 8, 654. [Google Scholar] [CrossRef] [PubMed]
- Costello, E.K.; Gordon, J.I.; Secor, S.M.; Knight, R. Postprandial remodeling of the gut microbiota in Burmese pythons. ISME J. 2010, 4, 1375–1385. [Google Scholar] [CrossRef]
- Kohl, K.D.; Brun, A.; Magallanes, M.; Brinkerhoff, J.; Laspiur, A.; Acosta, J.C.; Caviedes-Vidal, E.; Bordenstein, S.R. Gut microbial ecology of lizards: Insights into diversity in the wild, effects of captivity, variation across gut regions and transmission. Mol. Ecol. 2017, 26, 1175–1189. [Google Scholar] [CrossRef]
- Xie, Y.; Xia, P.; Wang, H.; Yu, H.; Giesy, J.P.; Zhang, Y.; Mora, M.A.; Zhang, X. Effects of captivity and artificial breeding on microbiota in feces of the red-crowned crane (Grus japonensis). Sci. Rep. 2016, 6, 33350. [Google Scholar] [CrossRef]
- Colston, T.J.; Jackson, C.R. Microbiome evolution along divergent branches of the vertebrate tree of life: What is known and unknown. Mol. Ecol. 2016, 25, 3776–3800. [Google Scholar] [CrossRef]
- Shin, N.R.; Whon, T.W.; Bae, J.W. Proteobacteria: Microbial signature of dysbiosis in gut microbiota. Trends Biotechnol. 2015, 33, 496–503. [Google Scholar] [CrossRef]
- Esteve, C. Numerical Taxonomy of Aeromonadaceae and Vibrionaceae associated with Reared Fish and Surrounding Fresh and Brackish Water. Syst. Appl. Microbiol. 1995, 18, 391–402. [Google Scholar] [CrossRef]
- Zhao, E.; Huang, M.; Zong, Y.; Jiang, Y.; Huang, Q.; Zhao, H.; Ma, J.; Zheng, J.; Huang, Z.; Wei, G.; et al. Zoology of China: Reptilia; Science Press: Beijing, China, 1998; Volume Ⅲ. [Google Scholar]
- Mundy, R.; Macdonald, T.T.; Dougan, G.; Frankel, G.; Wiles, S. Citrobacter rodentium of mice and man. Cell. Microbiol. 2006, 7, 1697–1706. [Google Scholar] [CrossRef]
- Stiles, M.E.; Ng, L.K. Enterobacteriaceae associated with meats and meat handling. Appl. Environ. Microbiol. 1981, 41, 867–872. [Google Scholar] [CrossRef] [PubMed]
- Zhang, K.; Wang, X.; Gong, X.; Sui, J. Gut Microbiome Differences in Rescued Common Kestrels (Falco tinnunculus) before and after Captivity. Front. Microbiol. 2022, 13, 858592. [Google Scholar] [CrossRef]
- Keenan, S.W.; Engel, A.S.; Elsey, R.M. The alligator gut microbiome and implications for archosaur symbioses. Sci. Rep. 2013, 3, 2877. [Google Scholar] [CrossRef] [PubMed]
- Spence, C.; Wells, W.G.; Smith, C.J. Characterization of the primary starch utilization operon in the obligate anaerobe Bacteroides fragilis: Regulation by carbon source and oxygen. J. Bacteriol. 2006, 188, 4663–4672. [Google Scholar] [CrossRef] [PubMed]
- Sears, C.L. A dynamic partnership: Celebrating our gut flora. Anaerobe 2005, 11, 247–251. [Google Scholar] [CrossRef]
- Matsui, H.; Kato, Y.; Chikaraishi, T.; Moritani, M.; Ban-Tokuda, T.; Wakita, M. Microbial diversity in ostrich ceca as revealed by 16S ribosomal RNA gene clone library and detection of novel Fibrobacter species. Anaerobe 2010, 16, 83–93. [Google Scholar] [CrossRef]
- Hu, X.; Liu, G.; Shafer, A.B.A.; Wei, Y.; Zhou, J.; Lin, S.; Wu, H.; Zhou, M.; Hu, D.; Liu, S. Comparative Analysis of the Gut Microbial Communities in Forest and Alpine Musk Deer Using High-Throughput Sequencing. Front. Microbiol. 2017, 8, 572. [Google Scholar] [CrossRef] [PubMed]
- Bennett, K.W.; Eley, A. Fusobacteria: New taxonomy and related diseases. J. Med. Microbiol. 1993, 39, 246–254. [Google Scholar] [CrossRef]
- Mira, A.; Pushker, R.; Legault, B.A.; Moreira, D.; Rodríguez-Valera, F. Evolutionary relationships of Fusobacterium nucleatum based on phylogenetic analysis and comparative genomics. BMC Evol. Biol. 2004, 4, 50. [Google Scholar] [CrossRef]
- Roggenbuck, M.; Baerholm Schnell, I.; Blom, N.; Baelum, J.; Bertelsen, M.F.; Sicheritz-Ponten, T.; Sorensen, S.J.; Gilbert, M.T.; Graves, G.R.; Hansen, L.H. The microbiome of New World vultures. Nat. Commun. 2014, 5, 5498. [Google Scholar] [CrossRef]
- Larsen, A.M.; Mohammed, H.H.; Arias, C.R. Characterization of the gut microbiota of three commercially valuable warmwater fish species. J. Appl. Microbiol. 2014, 116, 1396–1404. [Google Scholar] [CrossRef] [PubMed]
- Nayak, S.K. Role of gastrointestinal microbiota in fish. Aquac. Res. 2010, 41, 1553–1573. [Google Scholar] [CrossRef]
- Yu, Y.Y.; Ding, L.G.; Huang, Z.Y.; Xu, H.Y.; Xu, Z. Commensal bacteria-immunity crosstalk shapes mucosal homeostasis in teleost fish. Rev. Aquac. 2021, 13, 2322–2343. [Google Scholar] [CrossRef]
- Sanders, J.G.; Beichman, A.C.; Roman, J.; Scott, J.J.; Emerson, D.; McCarthy, J.J.; Girguis, P.R. Baleen whales host a unique gut microbiome with similarities to both carnivores and herbivores. Nat. Commun. 2015, 6, 8285. [Google Scholar] [CrossRef]








| Sample | Raw Tags | Clean Tags | Effective Tags | Average Length (nt) | Effective % | OTU Number | |
|---|---|---|---|---|---|---|---|
| ST1 | 77,930 | 74,107 | 65,029 | 406 | 63.20 | 1404 | 1785.50 ± 313.97 |
| ST2 | 70,079 | 66,079 | 56,912 | 402 | 64.98 | 1780 | |
| ST3 | 74,059 | 73,020 | 62,358 | 378 | 63.80 | 2173 | |
| ST4 | 65,960 | 64,883 | 60,539 | 376 | 62.48 | 1785 | |
| SI1 | 71,633 | 69,123 | 58,873 | 412 | 72.97 | 505 | 617.33 ± 225.56 |
| SI2 | 73,758 | 70,630 | 59,189 | 413 | 69.12 | 470 | |
| SI3 | 83,937 | 78,546 | 68,888 | 406 | 60.69 | 877 | |
| LI1 | 82,568 | 79,963 | 63,326 | 419 | 68.42 | 406 | 501.71 ± 173.88 |
| LI2 | 87,412 | 84,511 | 65,075 | 421 | 67.78 | 687 | |
| LI3 | 79,281 | 77,137 | 62,150 | 420 | 74.34 | 360 | |
| LI4 | 78,855 | 76,421 | 61,759 | 417 | 73.93 | 588 | |
| LI5 | 92,005 | 89,603 | 61,180 | 420 | 63.34 | 348 | |
| LI6 | 86,308 | 83,892 | 68,675 | 420 | 71.38 | 761 | |
| LI7 | 76,944 | 74,804 | 59,453 | 422 | 73.03 | 362 | |
| Stomach (ST) | Small Intestine (SI) | Large Intestine (LI) |
|---|---|---|
| Other (34.74%) | Cetobacterium (61.15%) | Bacteroides (25.01%) |
| Bacteroides (12.50%) | Bacteroides (12.65%) | Cetobacterium (19.85%) |
| Delftia (9.85%) | Other (9.38%) | Other (17.71%) |
| Sphingomonas (7.03%) | Citrobacter (2.32%) | Citrobacter (13.94%) |
| Cetobacterium (4.81%) | Fusobacterium (2.26%) | Aeromonas (11.54%) |
| unidentified Clostridiales (4.14%) | Aeromonas (1.72%) | Providencia (3.89%) |
| Aeromonas (3.88%) | Odoribacter (1.62%) | unidentified Erysipelotrichaceae (2.71%) |
| Chryseobacterium (2.69%) | unidentified Enterobacteriaceae (1.59%) | Helicobacter (0.78%) |
| Lactobacillus (2.45%) | unidentified Erysipelotrichaceae (1.58%) | Shewanella (0.77%) |
| Methanosaeta (2.16%) | Brevundimonas (0.85%) | Fusobacterium (0.77%) |
Disclaimer/Publisher’s Note: The statements, opinions and data contained in all publications are solely those of the individual author(s) and contributor(s) and not of MDPI and/or the editor(s). MDPI and/or the editor(s) disclaim responsibility for any injury to people or property resulting from any ideas, methods, instructions or products referred to in the content. |
© 2023 by the authors. Licensee MDPI, Basel, Switzerland. This article is an open access article distributed under the terms and conditions of the Creative Commons Attribution (CC BY) license (https://creativecommons.org/licenses/by/4.0/).
Share and Cite
Shang, Y.; Zhong, H.; Liu, G.; Wang, X.; Wu, X.; Wei, Q.; Shi, L.; Zhang, H. Characteristics of Microbiota in Different Segments of the Digestive Tract of Lycodon rufozonatus. Animals 2023, 13, 731. https://doi.org/10.3390/ani13040731
Shang Y, Zhong H, Liu G, Wang X, Wu X, Wei Q, Shi L, Zhang H. Characteristics of Microbiota in Different Segments of the Digestive Tract of Lycodon rufozonatus. Animals. 2023; 13(4):731. https://doi.org/10.3390/ani13040731
Chicago/Turabian StyleShang, Yongquan, Huaming Zhong, Gang Liu, Xibao Wang, Xiaoyang Wu, Qinguo Wei, Lupeng Shi, and Honghai Zhang. 2023. "Characteristics of Microbiota in Different Segments of the Digestive Tract of Lycodon rufozonatus" Animals 13, no. 4: 731. https://doi.org/10.3390/ani13040731
APA StyleShang, Y., Zhong, H., Liu, G., Wang, X., Wu, X., Wei, Q., Shi, L., & Zhang, H. (2023). Characteristics of Microbiota in Different Segments of the Digestive Tract of Lycodon rufozonatus. Animals, 13(4), 731. https://doi.org/10.3390/ani13040731

