Effect of Dietary Phosphate Deprivation on Red Blood Cell Parameters of Periparturient Dairy Cows
Abstract
Simple Summary
Abstract
1. Introduction
2. Materials and Methods
2.1. Study I. P Deprivation in Transition Cows
2.1.1. Study Design, Animal Housing and Feeding
2.1.2. Data and Sample Collection
2.1.3. Sample Processing and Analyses
2.1.4. Data Analysis
2.2. Study II. P Deprivation in the Dry Period
2.2.1. Study Design, Animal Housing and Feeding
2.2.2. Data and Sample Collection
2.2.3. Sample Processing and Analysis
2.3. Statistical Analyses
3. Results
3.1. Study I. P Deprivation in Transition Cows
3.1.1. Plasma Biochemical Parameters
3.1.2. Erythron-Related Parameters
3.1.3. Osmotic Fragility
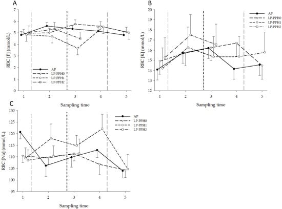
3.1.4. Intracellular Electrolyte Content of RBC
3.1.5. Liver Cu, Urine, Milk Production and Feed-intake
3.1.6. Correlation Analysis
3.1.7. Clinical Cases
3.2. Study II. P Deprivation in the Dry Period
3.2.1. Erythron-Related Parameters
3.2.2. Correlation Analysis
4. Discussion
4.1. Effect of P-Deprivation on Blood Pi
4.2. Hemolysis and PPH and PPH
4.3. Regenerative Anemia
4.4. Linking Hypophosphatemia and PPH
4.5. Osmotic Resistance of RBC during Hypophosphatemia and PPH
4.6. Hypophosphatemia and RBC Intracellular Ion Alterations
4.7. Associated Risk Factors
5. Conclusions
Supplementary Materials
Author Contributions
Funding
Institutional Review Board Statement
Informed Consent Statement
Data Availability Statement
Acknowledgments
Conflicts of Interest
References
- Macwilliams, P.S.; Searcy, G.P.; Bellamy, J.E. Bovine postparturient hemoglobinuria: A review of the literature. Can. Vet. J. 1982, 23, 309–312. [Google Scholar] [PubMed]
- Stockdale, C.; Moyes, T.; Dyson, R. Acute post-parturient haemoglobinuria in dairy cows and phosphorus status. Aust. Vet. J. 2005, 83, 362–366. [Google Scholar] [CrossRef] [PubMed]
- Thompson, J.; Badger, S. Outbreak of post-parturient haemoglobinuria in an autumn calving dairy herd. N. Z. Vet. J. 1999, 47, 180–183. [Google Scholar] [CrossRef] [PubMed]
- Madsen, D.; Nielsen, H. The production of parturient hemoglobinemia by low phosphorus intake. J. Am. Vet. Med. Assoc. 1944, 105, 22–25. [Google Scholar]
- Ogawa, E.; Kobayashi, K.; Yoshiura, N.; Mukai, J. Hemolytic anemia and red blood cell metabolic disorder attributable to low phosphorus intake in cows. Am. J. Vet. Res. 1989, 50, 388–392. [Google Scholar]
- Ogawa, E.; Kobayashi, K.; Yoshiura, N.; Mukai, J. Bovine postparturient hemoglobinemia: Hypophosphatemia and metabolic disorder in red blood cells. Am. J. Vet. Res. 1987, 48, 1300–1303. [Google Scholar]
- Wang, X.L.; Gallagher, C.H.; McClure, T.J.; Reeve, V.E.; Canfield, P.J. Bovine post-parturient haemoglobinuria: Effect of inorganic phosphate on red cell metabolism. Res. Vet. Sci. 1985, 39, 333–339. [Google Scholar] [CrossRef]
- Ellison, R.; Young, B.; Read, D. Bovine post-parturient haemoglobinuria: Two distinct entities in New Zealand. N. Z. Vet. J. 1986, 34, 7–10. [Google Scholar] [CrossRef]
- Gardner, D.; Martinovich, D.; Woodhouse, D. Haematological and biochemical findings in bovine post-parturient haemoglobinuria and the accompanying Heinz-body anaemia. N. Z. Vet. J. 1976, 24, 117–122. [Google Scholar] [CrossRef]
- Morris, J.; Cripe, W.; Chapman, H.; Walker, D.; Armstrong, J.; Alexander, J.; Miranda, R.; Sanchez, A.; Sanchez, B. Selenium deficiency in cattle associated with Heinz bodies and anemia. Science 1984, 223, 491–493. [Google Scholar] [CrossRef]
- Grünberg, W.; Mol, J.; Teske, E. Red blood cell phosphate concentration and osmotic resistance during dietary phosphate depletion in dairy cows. J. Vet. Intern. Med. 2015, 29, 395–399. [Google Scholar] [CrossRef]
- Smith, B.; Woodhouse, D.; Fraser, A. The effects of copper supplementation on Stockhealth and production: 2. The effect of parenteral copper on incidence of disease, haematological changes and blood copper levels in a dairy herd with hypocuprosis. N. Z. Vet. J. 1975, 23, 109–112. [Google Scholar] [CrossRef]
- Lichtman, M.A.; Miller, D.R.; Cohen, J.; Waterhouse, C. Reduced red cell glycolysis, 2, 3-diphosphoglycerate and adenosine triphosphate concentration, and increased hemoglobin-oxygen affinity caused by hypophosphatemia. Ann. Intern. Med. 1971, 74, 562–568. [Google Scholar] [CrossRef]
- Esievo, K.; Moore, W. Effects of dietary protein and stage of lactation on the haematology and erythrocyte enzymes activities of high-producing dairy cattle. Res. Vet. Sci. 1979, 26, 53–58. [Google Scholar] [CrossRef]
- Rafia, S.; Taghipour-Bazargani, T.; Khaki, Z.; Bokaie, S.; Tabrizi, S.S. Effect of body condition score on dynamics of hemogram in periparturient Holstein cows. Comp. Clin. Pathol. 2012, 21, 933–943. [Google Scholar] [CrossRef]
- Moretti, P.; Paltrinieri, S.; Trevisi, E.; Probo, M.; Ferrari, A.; Minuti, A.; Giordano, A. Reference intervals for hematological and biochemical parameters, acute phase proteins and markers of oxidation in Holstein dairy cows around 3 and 30 days after calving. Res. Vet. Sci. 2017, 114, 322–331. [Google Scholar] [CrossRef]
- Amabebe, E.; Robert, F.; Obika, L. Osmoregulatory adaptations during lactation: Thirst, arginine vasopressin and plasma osmolality responses. Niger. J. Physiol. Sci. 2017, 32, 109–116. [Google Scholar]
- Megahed, A.A.; Hiew, M.W.H.; Ragland, D.; Constable, P.D. Changes in skeletal muscle thickness and echogenicity and plasma creatinine concentration as indicators of protein and intramuscular fat mobilization in periparturient dairy cows. J. Dairy Sci. 2019, 102, 5550–5565. [Google Scholar] [CrossRef]
- Grünberg, W.; Scherpenisse, P.; Cohrs, I.; Golbeck, L.; Dobbelaar, P.; van den Brink, L.; Wijnberg, I. Phosphorus content of muscle tissue and muscle function in dairy cows fed a phosphorus-deficient diet during the transition period. J. Dairy Sci. 2019, 102, 4072–4093. [Google Scholar] [CrossRef]
- Grünberg, W.; Witte, S.; Cohrs, I.; Golbeck, L.; Brouwers, J.F.; Müller, A.E.; Schmicke, M. Liver phosphorus content and liver function in states of phosphorus deficiency in transition dairy cows. PLoS ONE 2019, 14, e0219546. [Google Scholar] [CrossRef]
- Wächter, S.; Cohrs, I.; Golbeck, L.; Scheu, T.; Eder, K.; Grünberg, W. Effects of restricted dietary phosphorus supply during the dry period on productivity and metabolism in dairy cows. J. Dairy Sci. 2022, 105, 4370–4392. [Google Scholar] [CrossRef] [PubMed]
- Roper, D.; Layton, M. Investigation of the hereditary haemolytic anaemias: Membrane and enzyme abnormalities. In Dacie and Lewis Practical Haematology; Elsevier: Amsterdam, The Netherlands, 2006; pp. 205–237. [Google Scholar]
- Minatel, L.; Carfagnini, J.C. Evaluation of the diagnostic value of plasma copper levels in cattle. Prev. Vet. Med. 2002, 53, 1–5. [Google Scholar] [CrossRef] [PubMed]
- Wächter, S.; Cohrs, I.; Golbeck, L.; Wilkens, M.R.; Grünberg, W. Effects of restricted dietary phosphorus supply to dry cows on periparturient calcium status. J. Dairy Sci. 2022, 105, 748–760. [Google Scholar] [CrossRef] [PubMed]
- Goff, J.P. Macromineral disorders of the transition cow. Vet. Clin. N. Am. Food Anim. Pract. 2004, 20, 471–494. [Google Scholar] [CrossRef] [PubMed]
- Constable, P.D.; Hinchcliff, K.W.; Done, S.H.; Grünberg, W. Veterinary Medicine a Textbook of the Diseases of Cattle, Horses, Sheep, Pigs and Goats; Elsevier Ltd.: Maryland Heights, MO, USA, 2017. [Google Scholar]
- Grünberg, W. Treatment of phosphorus balance disorders. Vet. Clin. N. Am. Food Anim. Pract. 2014, 30, 383–408. [Google Scholar] [CrossRef] [PubMed]
- National Academies of Sciences, Engineering, and Medicine. Nutrient Requirements of Dairy Cattle; The National Academies Press: Washington, DC, USA, 2021. [Google Scholar] [CrossRef]
- Goff, J.P. Treatment of calcium, phosphorus, and magnesium balance disorders. Vet. Clin. N. Am. Food Anim. Pract. 1999, 15, 619–639. [Google Scholar] [CrossRef]
- Ham, T.H. Chronic Hemolytic Anemia with Paroxysmal Nocturnal Hemoglobinuria. N. Engl. J. Med. 1937, 217, 915–917. [Google Scholar] [CrossRef]
- Allison, A.; ap Rees, W. The binding of haemoglobin by plasma proteins (haptoglobins). Br. Med. J. 1957, 2, 1137–1143. [Google Scholar] [CrossRef]
- Tumbleson, M.E.; Hutcheson, D.P.; Pfander, W.H. Age related serum cholesterol, glucose, and total bilirubin concentrations of female dairy cattle. Proc. Soc. Exp. Biol. Med. 1971, 138, 1083–1085. [Google Scholar] [CrossRef]
- Herdt, T.H. Ruminant adaptation to negative energy balance: Influences on the etiology of ketosis and fatty liver. Vet. Clin. N. Am. Food Anim. Pract. 2000, 16, 215–230. [Google Scholar] [CrossRef]
- Kauppinen, K. ALAT, AP, ASAT, GGT, OCT activities and urea and total bilirubin concentrations in plasma of normal and ketotic dairy cows. Zentralbl. Veterinarmed. A 1984, 31, 567–576. [Google Scholar] [CrossRef]
- Lotthammer, K. Levels of some blood parameters as indicators for liver disorders—Their causes, relations to fertility and possibilities to prevent fertility problems. In Proceedings of the XIIth World Congress on Diseases of Cattle, Amsterdam, The Netherlands, 7–10 September 1982; International Congrescentrum RAI: Amsterdam, The Netherlands, 1982. [Google Scholar]
- Bauer, N.; Moritz, A. Evaluation of three methods for measurement of hemoglobin and calculated hemoglobin variables with the ADVIA 120 and ADVIA 2120 systems in goats. J. Vet. Diagn. Investig. 2008, 20, 593–597. [Google Scholar] [CrossRef]
- Jones, M.L.; Allison, R.W. Evaluation of the ruminant complete blood cell count. Vet. Clin. N. Am. Food Anim. Pract. 2007, 23, 377–402. [Google Scholar] [CrossRef]
- Harper, S.B.; Hurst, W.J.; Ohlsson-Wilhelm, B.; Lang, C.M. The response of various hematologic parameters in the young bovine subjected to multiple phlebotomies. ASAIO J. 1994, 40, M816–M825. [Google Scholar] [CrossRef]
- Schnappa, H.; Stein, H.P.; Sipe, C.R.; Cronkite, E.P. Erythropoietic response in calves following blood loss. Am. J. Vet. Res. 1967, 28, 275. [Google Scholar]
- Seno, S.; Miyahara, M.; Asakura, H.; Ochi, O.; Matsuoka, K.; Tôyama, T. Macrocytosis resulting from early denucleation of erythroid precursors. Blood 1964, 24, 582–593. [Google Scholar] [CrossRef]
- Brecher, G.; Stohlman, F., Jr. Reticulocyte size and erythropoietic stimulation. Proc. Soc. Exp. Biol. Med. 1961, 107, 887–891. [Google Scholar] [CrossRef]
- Radin, M.J.; Eubank, M.; Weiser, M. Electronic measurement of erythrocyte volume and volume heterogeneity in horses during erythrocyte regeneration associated with experimental anemias. Vet. Pathol. 1986, 23, 656–660. [Google Scholar] [CrossRef]
- Madsen, D.; Nielsen, H. The Relationship of Parturient Hemoglobinemia of Dairy Cows to Aphosphorosis. N. Am. Vet. 1940, 21, 81–89. [Google Scholar]
- Chedru, J.; Cartier, P. The permeability of human erythrocytes to orthophosphate ions. Biochim. Biophys. Acta 1966, 126, 500–512. [Google Scholar] [CrossRef]
- Mulijns, J.C.; Ramsay, W.R. Haemoglobinuria and anaemia associated with aphosphorosis. Vet. J. 1959, 35, 328–329. [Google Scholar] [CrossRef]
- Marks, P.A.; Johnson, A.B. Relationship between the age of human erythrocytes and their osmotic resistance: A basis for separating young and old erythrocytes. J. Clin. Investig. 1958, 37, 1542–1548. [Google Scholar] [CrossRef] [PubMed]
- Knochel, J.P. The pathophysiology and clinical characteristics of severe hypophosphatemia. Arch. Intern. Med. 1977, 137, 203–220. [Google Scholar] [CrossRef] [PubMed]
- Travis, S.F.; Sugerman, H.J.; Ruberg, R.L.; Dudrick, S.J.; Delivoria-Papadopoulos, M.; Miller, L.D.; Oski, F.A. Alterations of red-cell glycolytic intermediates and oxygen transport as a consequence of hypophosphatemia in patients receiving intravenous hyperalimentation. N. Engl. J. Med. 1971, 285, 763–768. [Google Scholar] [CrossRef]
- Nakao, K.; Wada, T.; Kamiyama, T.; Nakao, M.; Nagano, K. A direct relationship between adenosine triphosphate-level and in vivo viability of erythrocytes. Nature 1962, 194, 877–878. [Google Scholar] [CrossRef]
- Weed, R.I.; LaCelle, P.L.; Merrill, E.W. Metabolic dependence of red cell deformability. J. Clin. Investig. 1969, 48, 795–809. [Google Scholar] [CrossRef]
- Birka, C.; Lang, P.A.; Kempe, D.S.; Hoefling, L.; Tanneur, V.; Duranton, C.; Nammi, S.; Henke, G.; Myssina, S.; Krikov, M.; et al. Enhanced susceptibility to erythrocyte “apoptosis” following phosphate depletion. Pflugers Arch. 2004, 448, 471–477. [Google Scholar] [CrossRef]
- Lang, P.A.; Kaiser, S.; Myssina, S.; Wieder, T.; Lang, F.; Huber, S.M. Role of Ca2+-activated K+ channels in human erythrocyte apoptosis. Am. J. Physiol. Cell Physiol. 2003, 285, C1553–C1560. [Google Scholar] [CrossRef]
- Prohaska, J.R.; Brokate, B. Lower copper, zinc-superoxide dismutase protein but not mRNA in organs of copper-deficient rats. Arch. Biochem. Biophys. 2001, 393, 170–176. [Google Scholar] [CrossRef]
- Mills, C.F. Biochemical and physiological indicators of mineral status in animals: Copper, cobalt and zinc. J. Anim. Sci. 1987, 65, 1702–1711. [Google Scholar] [CrossRef]
- Hiong, C.V. Mechanisms of hyponatremia in Singapore children. 1986. Available online: https://scholarbank.nus.edu.sg/handle/10635/171479 (accessed on 23 December 2022).
- Kim, J.; Borges, W.H.; Holliday, M.A. Correlation between RBC osmotic fragility and serum sodium. Am. J. Dis. Child. 1962, 104, 281–288. [Google Scholar] [CrossRef] [PubMed]
- Sass, M.D.; Vorsanger, E.; Spear, P.W. Enzyme activity as an indicator of red cell age. Clin. Chim. Acta 1964, 10, 21–26. [Google Scholar] [CrossRef] [PubMed]
- Kurata, M.; Suzuki, M.; Agar, N.S. Antioxidant systems and erythrocyte life-span in mammals. Comp. Biochem. Physiol. B 1993, 106, 477–487. [Google Scholar] [CrossRef] [PubMed]
- Seaman, C.; Wyss, S.; Piomelli, S. The decline in energetic metabolism with aging of the erythrocyte and its relationship to cell death. Am. J. Hematol. 1980, 8, 31–42. [Google Scholar] [CrossRef]
- Lang, E.; Qadri, S.M.; Lang, F. Killing me softly—Suicidal erythrocyte death. Int. J. Biochem. Cell Biol. 2012, 44, 1236–1243. [Google Scholar] [CrossRef]










| Parameter 1 | ||||||||||
|---|---|---|---|---|---|---|---|---|---|---|
| Drel 2 | PCV | RBC | Plasma Pi | TBil | MCV | Urine | P-RBC | K-RBC | Na-RBC | Diff. |
| RR | 22–33 | 5.1–7.6 | 1.4–2.3 | <8.6 | 38–50 | |||||
| 3739 | Prematurely released | |||||||||
| 0 3 | 32 | 7.0 | 0.38 | 9.4 | 46.0 | 4.5 | 18.0 | 111 | ||
| 7 | 36.9 | normal | ||||||||
| 10 | 17 | 3.5 | 0.44 | 44.1 | 49.5 | dark brown | 3.1 | 11.3 | SC | |
| 11 | 14 | 2.8 | 0.56 | 50.5 | black | 4.0 | 10.3 | SC | ||
| 12 | 13 | 2.4 | 52.0 | brown/red | 4.5 | 9.5 | 142 | SC, BS | ||
| 13 | 9 | 1.7 | 2.74 | 54.5 | brown/red | 5.6 | 13.3 | 161 | SC, BS, 4.9% RetiAbs | |
| 8183 | Completed study | |||||||||
| 3 3 | 32 | 7.3 | 0.35 | 12.0 | 43.9 | 4.5 | 15.1 | |||
| 12 | 11.8 | normal | ||||||||
| 14 | 0.22 | brown | ||||||||
| 15 | 18 | 3.6 | 0.21 | 50.5 | dark brown | 5.5 | 12.9 | 118 | several SC, BS | |
| 17 | 15 | 2.8 | 0.18 | 53.4 | brown | 6.5 | 16.9 | 97 | some SC, BS | |
| 18 | 15 | 2.8 | 0.21 | 55.8 | normal | 4.7 | 15.1 | 104 | no SC, BS, metarubricytes | |
| 24 4 | 18 | 2.8 | 0.68 | 2.8 | 65.0 | 5.5 | 27.8 | 149 | ||
| 38 5 | 25 | 4.3 | 1.54 | 4.0 | 58.3 | 6.1 | 26.2 | 125 | ||
| PCV | RBC | Plasma Pi | TBil | MCV | Urine | RetiAbs | ||||
| 1261 | Prematurely released | |||||||||
| 4 3 | 29 | 5.9 | 0.2 | 9.2 | 49.1 | 1.7 | ||||
| 9 | 0.17 | normal | ||||||||
| 11 | 16 | 3.0 | 0.32 | 22.2 | 52.4 | dark, not transparent | ||||
| 13 | 12 | 2.2 | 57.5 | black, not transparent | ||||||
| 3340 | Prematurely released | |||||||||
| 3 3 | 30 | 6.0 | 0.19 | 8.1 | 50.7 | 2.6 | ||||
| 8 | 0.22 | normal | ||||||||
| 10 | 19 | 3.6 | 0.37 | 23.5 | 53.3 | dark brown | ||||
| 12 | 11 | 1.8 | 0.42 | 58.4 | dark, not transparent | |||||
| 5035 | Completed study | |||||||||
| 1 3 | 32 | 7.6 | 0.41 | 10.5 | 42.4 | 5 | ||||
| 8 | 0.33 | 27.7 | normal | |||||||
| 11 | 18 | 3.9 | 0.51 | 46.3 | brown | |||||
| 13 3.5 | 12 | 2.6 | 0.42 | 48.2 | transparent, slightly brown | 7.5 | ||||
| 15 | 0.56 | 25.4 | normal | |||||||
| 22 4 | 17 | 2.8 | 0.45 | 14 | 60.3 | 7.5 | ||||
| Sampling Time | p Value | ||||||||
|---|---|---|---|---|---|---|---|---|---|
| Treatment 1 | ST1 | ST2 | ST3 | ST3.5 | ST4 | ST5 | Treatment | Time | T × T |
| AP | 29.9 ± 0.7 a | 30.1 ± 0.7 a | 31.1 ± 0.6 a | 26.9 ± 0.8 b | 25.6 ± 0.6 b | 25.4 ± 0.9 b | 0.01 | <0.0001 | 0.002 |
| LP | 30.5 ± 0.7 a | 29.6 ± 0.7 a | 30.0 ± 0.6 a | 21.6 ± 0.9 c,* | 22.4 ± 0.7 c,* | 25.0 ± 1.0 b | |||
| PPH-group 2 | ST1 | ST2 | ST3 | ST3.5 | ST4 | ST5 | Group | Time | G x T |
| LP-PPH0 LP-PPH1 LP-PPH2 | 30.9 ± 0.9 a | 30.3 ± 0.9 a | 31.8 ± 0.9 a | 27.3 ± 1.6 a,b | 26.0 ± 0.9 b,* | 26.3 ± 1.1 b | <0.0001 | <0.0001 | 0.0002 |
| 30.3 ± 0.9 a | 29.3 ± 0.9 a | 27.2 ± 0.9 a,b,* | 20.1 ± 1.1 c,* | 20.4 ± 0.9 c | 23.2 ± 1.6 b,c | ||||
| 30.2 ± 1.0 a | 29.0 ± 1.0 a | 31.0 ± 1.0 a | (11.9 ± 2.2) c,* | (17.4 ± 1.6) c | (24.9 ± 2.3) b | ||||
| Sampling Time | p Value | ||||||||
|---|---|---|---|---|---|---|---|---|---|
| Treatment 1 | ST1 | ST2 | ST3 | ST3.5 | ST4 | ST5 | Treatment | Time | T × T |
| AP | 1.02 ± 0.02 a | 1.05 ± 0.02 a | 1.05 ± 0.02 a | 1.04 ± 0.02 a | 1.03 ± 0.02 a | 1.03 ± 0.02 a | 0.003 | <0.0001 | <0.0001 |
| LP | 1.01 ± 0.02 c | 1.05 ± 0.02 b | 1.07 ± 0.02 b | 1.14 ± 0.02 a,* | 1.17 ± 0.02 a,* | 1.14 ± 0.02 a,* | |||
| PPH-group 2 | ST1 | ST2 | ST3 | ST3.5 | ST4 | ST5 | Group | Time | G x T |
| LP-PPH0 LP-PPH1 LP-PPH2 | 1.04 ± 0.03 a | 1.08 ± 0.03 a | 1.08 ± 0.03 a | 1.08 ± 0.03 a | 1.07 ± 0.03 a | 1.06 ± 0.03 a,* | NS | <0.0001 | <0.0001 |
| 1.00 ± 0.03 b | 1.03 ± 0.03 b | 1.06 ± 0.03 b | 1.17 ± 0.03 a | 1.19 ± 0.03 a,* | 1.20 ± 0.04 a | ||||
| 0.99 ± 0.03 c | 1.02 ± 0.03 c | 1.04 ± 0.03 c | (1.18 ± 0.05) b | (1.41 ± 0.04) a,* | (1.30 ± 0.05) b | ||||
| Sampling Time | p Value | |||||||
|---|---|---|---|---|---|---|---|---|
| Treatment 1 | ST1 | ST2 | ST3 | ST4 | ST5 | Treatment | Time | T × T |
| AP | 357 a (327–390) | 371 a (340–406) | 384 a (351–419) | 286 b (262–313) | 362 a (329–399) | NS | <0.0001 | 0.0005 |
| LP | 294 a (269–321) | 301 a (276–329) | 314 a (287–343) | 292 a (266–321) | 264 a,* (236–294) | |||
| Parameter 1 | ||||||||||||
|---|---|---|---|---|---|---|---|---|---|---|---|---|
| RBC (1012/L) | PCV (%) | MCV (fl) | MCH (fmol) | |||||||||
| 5.1–7.6 | 22–33 | 38–50 | 0.87–1.12 | |||||||||
| Treatment | NS | NS | NS | NS | ||||||||
| Time | <0.0001 | <0.0001 | <0.0001 | NS | ||||||||
| T × T | NS | NS | NS | NS | ||||||||
| Wrel 2 | APAP | LPAP | APAP | LPAP | APAP | LPAP | APAP | LPAP | ||||
| −6 | 6.3 ± 0.4 | 6.6 ± 0.3 | 29.4 ± 1.7 | 30.3 ± 1.7 | 50.4 ± 1.5 | 47.7 ± 1.5 | 1.03 ± 0.03 | 1.01 ± 0.03 | ||||
| −5 | 7.0 ± 0.2 | 6.8 ± 0.2 | 32.6 ± 1.0 | 30.4 ± 0.9 | 50.0 ± 1.1 | ♦ | 48.6 ± 1.1 | 1.07 ± 0.02 | 1.01 ± 0.02 | |||
| −4 | 6.7 ± 0.1 | 6.8 ± 0.1 | 30.9 ± 0.6 | 30.6 ± 0.6 | 49.9 ± 1.0 | ♦ | 49.1 ± 1.0 | 1.04 ± 0.02 | 1.02 ± 0.01 | |||
| −3 | 6.6 ± 0.1 | 6.8 ± 0.1 | 31.0 ± 0.6 | 31.2 ± 0.6 | 49.9 ± 1.0 | ♦ | 49.3 ± 1.0 | 1.05 ± 0.01 | 1.02 ± 0.01 | |||
| −2 | 6.6 ± 0.1 | 6.8 ± 0.1 | 31.1 ± 0.5 | 30.8 ± 0.5 | 51.3 ± 1.0 | 49.9 ± 1.0 | 1.05 ± 0.01 | 1.02 ± 0.01 | ||||
| −1 | 6.6 ± 0.1 | 6.9 ± 0.1 | 31.1 ± 0.5 | 31.3 ± 0.5 | 51.5 ± 1.0 | 50.7 ± 1.0 | 1.05 ± 0.01 | 1.03 ± 0.01 | ||||
| 1 | 7.0 ± 0.1 | ♦ | 6.9 ± 0.1 | 33.3 ± 0.5 | ♦ | 32.1 ± 0.5 | 52.0 ± 1.0 | 51.0 ± 1.0 | 1.06 ± 0.01 | 1.03 ± 0.01 | ||
| 2 | 6.3 ± 0.1 | ♦ | 6.5 ± 0.1 | 29.5 ± 0.5 | ♦ | 30.1 ± 0.5 | 51.0 ± 1.0 | 49.7 ± 1.0 | 1.05 ± 0.01 | 1.03 ± 0.01 | ||
| 3 | 6.0 ± 0.1 | ♦ | 6.3 ± 0.1 | 28.0 ± 0.5 | ♦ | 28.4 ± 0.5 | 50.1 ± 1.0 | ♦ | 49.0 ± 1.0 | 1.05 ± 0.01 | 1.02 ± 0.01 | |
| 4 | 5.7 ± 0.1 | ♦ | 5.9 ± 0.1 | 26.7 ± 0.5 | ♦ | 27.1 ± 0.5 | 49.8 ± 1.0 | ♦ | 48.5 ± 1.0 | 1.04 ± 0.01 | 1.02 ± 0.01 | |
Disclaimer/Publisher’s Note: The statements, opinions and data contained in all publications are solely those of the individual author(s) and contributor(s) and not of MDPI and/or the editor(s). MDPI and/or the editor(s) disclaim responsibility for any injury to people or property resulting from any ideas, methods, instructions or products referred to in the content. |
© 2023 by the authors. Licensee MDPI, Basel, Switzerland. This article is an open access article distributed under the terms and conditions of the Creative Commons Attribution (CC BY) license (https://creativecommons.org/licenses/by/4.0/).
Share and Cite
van den Brink, L.M.; Cohrs, I.; Golbeck, L.; Wächter, S.; Dobbelaar, P.; Teske, E.; Grünberg, W. Effect of Dietary Phosphate Deprivation on Red Blood Cell Parameters of Periparturient Dairy Cows. Animals 2023, 13, 404. https://doi.org/10.3390/ani13030404
van den Brink LM, Cohrs I, Golbeck L, Wächter S, Dobbelaar P, Teske E, Grünberg W. Effect of Dietary Phosphate Deprivation on Red Blood Cell Parameters of Periparturient Dairy Cows. Animals. 2023; 13(3):404. https://doi.org/10.3390/ani13030404
Chicago/Turabian Stylevan den Brink, Lianne M., Imke Cohrs, Lennart Golbeck, Sophia Wächter, Paul Dobbelaar, Erik Teske, and Walter Grünberg. 2023. "Effect of Dietary Phosphate Deprivation on Red Blood Cell Parameters of Periparturient Dairy Cows" Animals 13, no. 3: 404. https://doi.org/10.3390/ani13030404
APA Stylevan den Brink, L. M., Cohrs, I., Golbeck, L., Wächter, S., Dobbelaar, P., Teske, E., & Grünberg, W. (2023). Effect of Dietary Phosphate Deprivation on Red Blood Cell Parameters of Periparturient Dairy Cows. Animals, 13(3), 404. https://doi.org/10.3390/ani13030404

