Age-Related Changes in Hepatic Lipid Metabolism and Abdominal Adipose Deposition in Yellow-Feathered Broilers Aged from 1 to 56 Days
Abstract
Simple Summary
Abstract
1. Introduction
2. Materials and Methods
2.1. The Experimental Design, Diets, and Management
2.2. Sample Collection
2.3. Triacylglycerol and Total Cholesterol Measurement
2.4. Morphological Analysis and Cellularity Determination
2.5. Total DNA Content in Abdominal Adipose
2.6. Gene Expression in Liver and Abdominal Adipose
2.7. Statistical Analysis
3. Results
3.1. Body, Liver, and Abdominal Adipose Weights
3.2. Hepatic TG and TC Contents
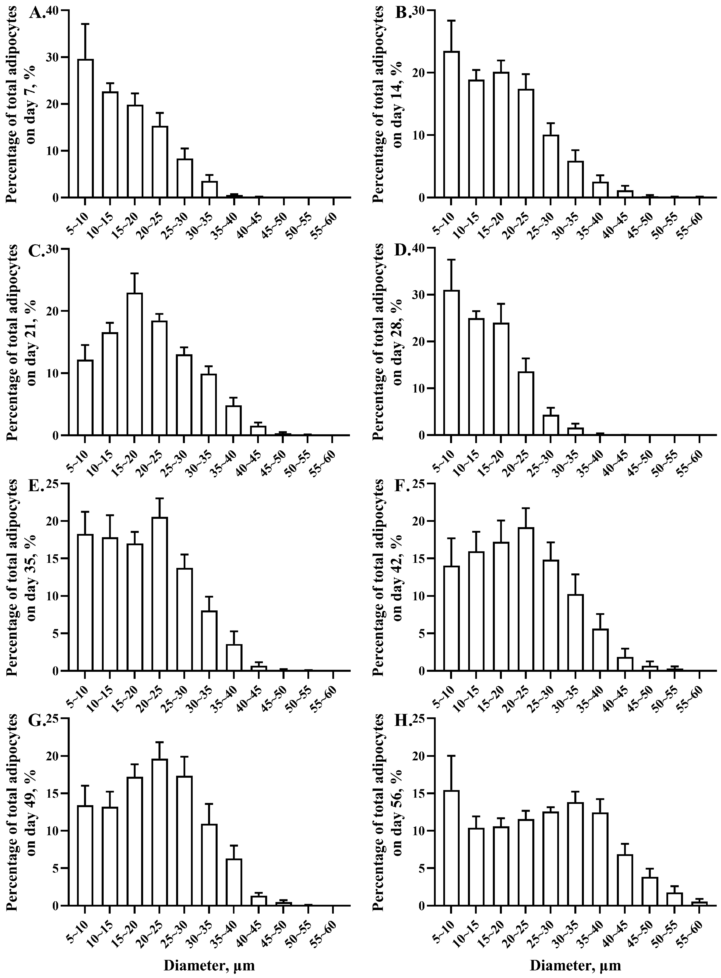
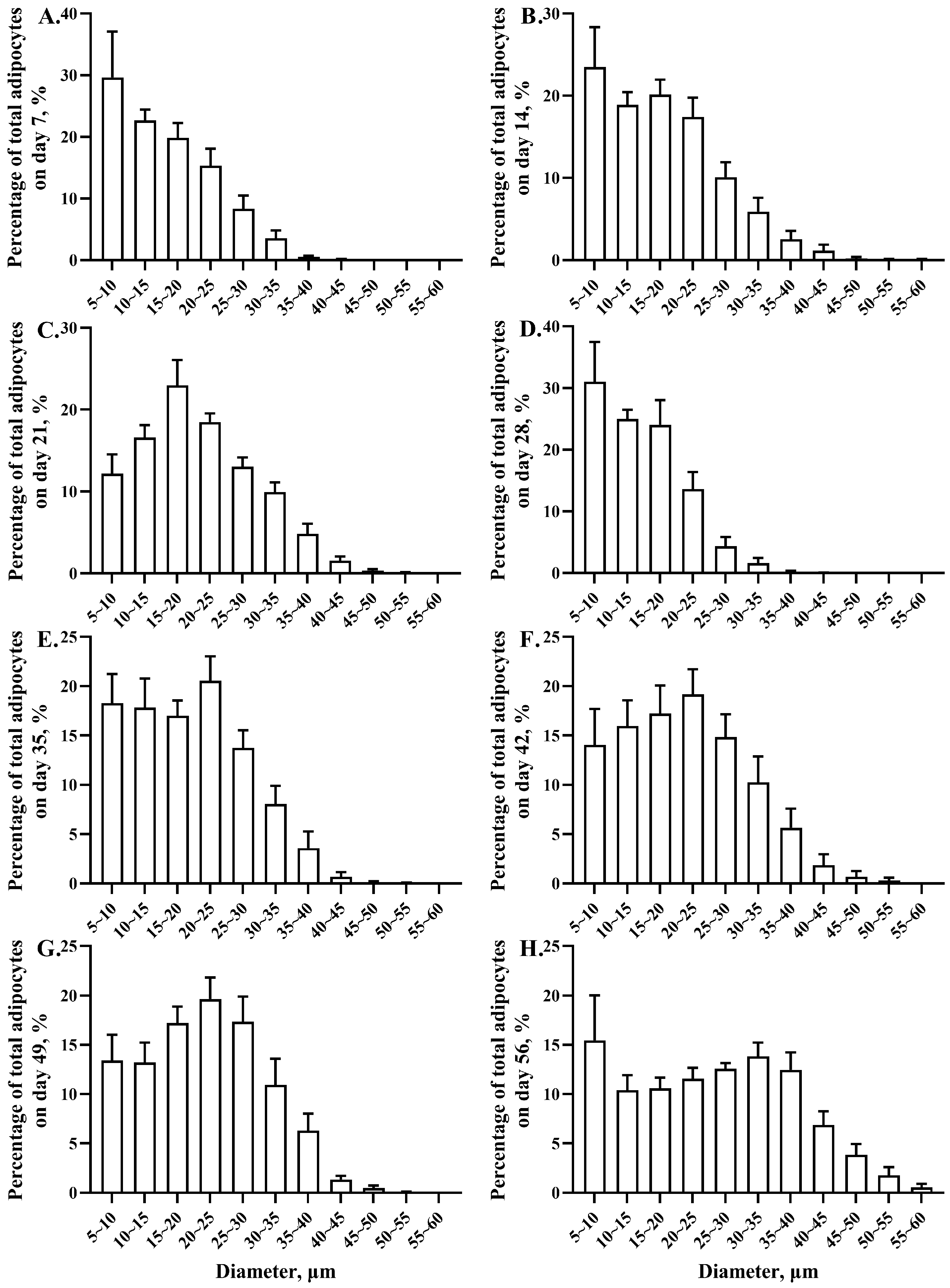
3.3. Morphological and DNA Content Changes in Abdominal Adipose
3.4. Hepatic Lipid-Metabolism-Related Gene Expression
3.5. Lipid-Metabolism-Related Gene Expression in Abdominal Adipose
4. Discussion
5. Conclusions
Supplementary Materials
Author Contributions
Funding
Institutional Review Board Statement
Informed Consent Statement
Data Availability Statement
Acknowledgments
Conflicts of Interest
References
- Hartcher, K.; Lum, H. Genetic selection of broilers and welfare consequences: A review. World’s Poult. Sci. J. 2020, 76, 154–167. [Google Scholar] [CrossRef]
- Maharjan, P.; Martinez, D.; Weil, J.; Suesuttajit, N.; Umberson, C.; Mullenix, G.; Hilton, K.; Beitia, A.; Coon, C. Physiological growth trend of current meat broilers and dietary protein and energy management approaches for sustainable broiler production. Animal 2021, 15, 100284. [Google Scholar] [CrossRef]
- Moreira, G.C.M.; Boschiero, C.; Cesar, A.S.M.; Reecy, J.M.; Godoy, T.F.; Pértille, F.; Ledur, M.C.; Moura, A.S.A.M.T.; Garrick, D.J.; Coutinho, L.L. Integration of genome wide association studies and whole genome sequencing provides novel insights into fat deposition in chicken. Sci. Rep. 2018, 8, 16222. [Google Scholar] [CrossRef] [PubMed]
- Kim, M.; Voy, B.H. Fighting fat with fat: N-3 polyunsaturated fatty acids and adipose deposition in broiler chickens. Front. Physiol. 2021, 12, 755317. [Google Scholar] [CrossRef]
- Tunim, S.; Phasuk, Y.; Aggrey, S.E.; Duangjinda, M. Gene expression of fatty acid binding protein genes and its relationship with fat deposition of Thai native crossbreed chickens. Anim. Biosci. 2021, 34, 751. [Google Scholar] [CrossRef] [PubMed]
- Chen, Y.; Akhtar, M.; Ma, Z.; Hu, T.; Liu, Q.; Pan, H.; Zhang, X.; Nafady, A.A.; Ansari, A.R.; Abdel-Kafy, E.-S.M. Chicken cecal microbiota reduces abdominal fat deposition by regulating fat metabolism. npj Biofilms Microbiomes 2023, 9, 28. [Google Scholar] [CrossRef] [PubMed]
- Wang, G.; Kim, W.K.; Cline, M.A.; Gilbert, E.R. Factors affecting adipose tissue development in chickens: A review. Poul. Sci. 2017, 96, 3687–3699. [Google Scholar] [CrossRef]
- Li, L.; Zhang, H.; Yao, Y.; Yang, Z.; Ma, H. (−)-Hydroxycitric acid suppresses lipid droplet accumulation and accelerates energy metabolism via activation of the adiponectin-AMPK signaling pathway in broiler chickens. J. Agric. Food. Chem. 2019, 67, 3188–3197. [Google Scholar] [CrossRef]
- Chung, K.W. Advances in understanding of the role of lipid metabolism in aging. Cells 2021, 10, 880. [Google Scholar] [CrossRef]
- Buyse, J.; Decuypere, E. Adipose Tissue and Lipid Metabolism. In Sturkie’s Avian Physiology, 6th ed.; Academic Press: Leuven, Belgium, 2015; pp. 443–453. [Google Scholar]
- Pirany, N.; Bakrani Balani, A.; Hassanpour, H.; Mehraban, H. Differential expression of genes implicated in liver lipid metabolism in broiler chickens differing in weight. Br. Poult. Sci. 2020, 61, 10–16. [Google Scholar] [CrossRef]
- Suzuki, S.; Kobayashi, M.; Murai, A.; Tsudzuki, M.; Ishikawa, A. Characterization of growth, fat deposition, and lipid metabolism-related gene expression in lean and obese meat-type chickens. J. Poult. Sci. 2019, 56, 101–111. [Google Scholar] [CrossRef]
- Ghafouri, F.; Bahrami, A.; Sadeghi, M.; Miraei-Ashtiani, S.R.; Bakherad, M.; Barkema, H.W.; Larose, S. Omics multi-layers networks provide novel mechanistic and functional insights into fat storage and lipid metabolism in poultry. Front. Gene 2021, 12, 646297. [Google Scholar] [CrossRef] [PubMed]
- Honda, K.; Kurachi, K.; Takagi, S.; Saneyasu, T.; Kamisoyama, H. Role of Corticosterone in Lipid Metabolism in Broiler Chick White Adipose Tissue. J. Poult. Sci. 2022, 59, 152–158. [Google Scholar] [CrossRef] [PubMed]
- Yuan, H.; Lu, J. Consensus module analysis of abdominal fat deposition across multiple broiler lines. BMC Genom. 2021, 22, 115. [Google Scholar] [CrossRef]
- Baéza, E.; Le Bihan-Duval, E. Chicken lines divergent for low or high abdominal fat deposition: A relevant model to study the regulation of energy metabolism. Animal 2013, 7, 965–973. [Google Scholar] [CrossRef]
- Etuah, S.; Ohene-Yankyera, K.; Liu, Z.; Mensah, J.O.; Lan, J. Determinants of cost inefficiency in poultry production: Evidence from small-scale broiler farms in the Ashanti region of Ghana. Trop. Anim. Health Prod. 2020, 52, 1149–1159. [Google Scholar] [CrossRef]
- Abdalla, B.A.; Chen, J.; Nie, Q.; Zhang, X. Genomic insights into the multiple factors controlling abdominal fat deposition in a chicken model. Front. Gene 2018, 9, 262. [Google Scholar] [CrossRef]
- Abdul-Ghani, M.; Naser, A. Assessment anti-granuloma activity of Alpha-lipoic acid in chicks’ models. J. Hell. Vet. Med. Soc. 2023, 74, 5277–5282. [Google Scholar]
- Abdulghani, M.; Naser, A. Estimation of pharmacokinetic parameters of alpha-lipoic acid in the chicks model. J. Biochem. Appl. Biol. Sci. 2022, 3, 122–132. [Google Scholar] [CrossRef]
- Lan, R.; Chen, X.; Zhang, Y.; Luo, H. Effects of dietary chitosan oligosaccharides supplementation on meat quality, chemical composition and anti-oxidant capacity in frizzled chickens. Ital. J. Anim. Sci. 2023, 22, 639–650. [Google Scholar] [CrossRef]
- Lan, R.; Luo, H.; Wu, F.; Wang, Y.; Zhao, Z. Chitosan Oligosaccharides Alleviate Heat-Stress-Induced Lipid Metabolism Disorders by Suppressing the Oxidative Stress and Inflammatory Response in the Liver of Broilers. Antioxidants 2023, 12, 1497. [Google Scholar] [CrossRef] [PubMed]
- Guo, L.; Sun, B.; Shang, Z.; Leng, L.; Wang, Y.; Wang, N.; Li, H. Comparison of adipose tissue cellularity in chicken lines divergently selected for fatness. Poult. Sci. 2011, 90, 2024–2034. [Google Scholar] [CrossRef]
- Lan, R.; Liu, F.; He, Z.; Chen, C.; Liu, S.; Shi, Y.; Liu, Y.; Yoshimura, Y.; Zhang, M. Immunolocalization of GnRHRI, gonadotropin receptors, PGR, and PGRMCI during follicular development in the rabbit ovary. Theriogenology 2014, 81, 1139–1147. [Google Scholar] [CrossRef]
- Livak, K.J.; Schmittgen, T.D. Analysis of relative gene expression data using real-time quantitative PCR and the 2−ΔΔCT method. Methods 2001, 25, 402–408. [Google Scholar] [CrossRef] [PubMed]
- Liu, Y.; Zhou, J.; Musa, B.B.; Khawar, H.; Yang, X.; Cao, Y.; Yang, X. Developmental changes in hepatic lipid metabolism of chicks during the embryonic periods and the first week of posthatch. Poult. Sci. 2020, 99, 1655–1662. [Google Scholar] [CrossRef]
- Gong, Z.; Tas, E.; Yakar, S.; Muzumdar, R. Hepatic lipid metabolism and non-alcoholic fatty liver disease in aging. Mol. Cell. Endocrinol. 2017, 455, 115–130. [Google Scholar] [CrossRef] [PubMed]
- William, T.; James, E.T.; Dylan, T. Parallels in immunometabolic adipose tissue dysfunction with ageing and obesity. Ftont. Immunol. 2018, 9, 169. [Google Scholar]
- Liu, Y.; Shen, J.; Yang, X.; Sun, Q.; Yang, X. Folic acid reduced triglycerides deposition in primary chicken hepatocytes. J. Agric. Food. Chem. 2018, 66, 13162–13172. [Google Scholar] [CrossRef]
- Liu, L.; Cui, H.; Fu, R.; Zheng, M.; Liu, R.; Zhao, G.; Wen, J. The regulation of IMF deposition in pectoralis major of fast-and slow-growing chickens at hatching. J. Anim. Sci. Biotechnol. 2017, 8, 77. [Google Scholar] [CrossRef]
- Liu, Y.; Liu, X.; Zhou, J.; Ren, Z.; Yang, X.; Cao, Y. Folic acid perfusion administration reduced abdominal fat deposition in starter Arbor Acres broilers. Poult. Sci. 2019, 98, 6816–6825. [Google Scholar] [CrossRef]
- Perez, L.M.; Pareja-Galeano, H.; Sanchis-Gomar, F.; Emanuele, E.; Lucia, A.; Galvez, B.G. Adipaging: Ageing and obesity share biological hallmarks related to a dysfunctional adipose tissue. J. Physiol. 2016, 594, 3187–3207. [Google Scholar] [CrossRef]
- Palmer, A.K.; Kirkland, J.L. Aging and adipose tissue: Potential interventions for diabetes and regenerative medicine. Exp. Gerontol. 2016, 86, 97–105. [Google Scholar] [CrossRef]
- Everaert, N.; Decuypere, E.; Buyse, J. Adipose Tissue and Lipid Metabolism. In Sturkie’s Avian Physiology, 7th ed.; Scanes, C.G., Dridi, S., Eds.; Elsevier: Amsterdam, The Netherlands, 2022; pp. 647–660. [Google Scholar]
- Chen, P.; Suh, Y.; Choi, Y.M.; Shin, S.; Lee, K. Developmental regulation of adipose tissue growth through hyperplasia and hypertrophy in the embryonic Leghorn and broiler. Poult. Sci. 2014, 93, 1809–1817. [Google Scholar] [CrossRef]
- Jo, J.; Gavrilova, O.; Pack, S.; Jou, W.; Mullen, S.; Sumner, A.E.; Cushman, S.W.; Periwal, V. Hypertrophy and/or hyperplasia: Dynamics of adipose tissue growth. PLoS Comput. Biol. 2009, 5, e1000324. [Google Scholar] [CrossRef]
- Shi, H.; Wang, Q.; Zhang, Q.; Leng, L.; Li, H. Tissue expression characterization of chicken adipocyte fatty acid-binding protein and its expression difference between fat and lean birds in abdominal fat tissue. Poult. Sci. 2010, 89, 197–202. [Google Scholar] [CrossRef][Green Version]
- Huo, W.; Weng, K.; Gu, T.; Zhang, Y.; Zhang, Y.; Chen, G.; Xu, Q. Difference in developmental dynamics between subcutaneous and abdominal adipose tissues in goose (Anser Cygnoides). Poult. Sci. 2021, 100, 101185. [Google Scholar] [CrossRef]
- Bai, S.; Luo, W.; Liu, H.; Zhang, K.; Wang, J.; Ding, X.; Zeng, Q.; Peng, H.; Bai, J.; Xuan, Y. Effects of high dietary iron on the lipid metabolism in the liver and adipose tissue of male broiler chickens. Anim. Feed. Sci. Technol. 2021, 282, 115131. [Google Scholar] [CrossRef]
- Prasad, A.R.; Bhattacharya, T.; Kumar, P.; Sagar, N.G.; Bhushan, B.; Vishnu, P.G.; Devara, D. Expression profile of acetyl-CoA carboxylase a (ACACA) gene in layer chicken during juvenile stage. J. Anim. Res. 2018, 8, 525–529. [Google Scholar] [CrossRef]
- Uchiyama, H.; Komatsu, K.-I.; Nakata, A.; Sato, K.; Mihara, Y.; Takaguri, A.; Nagashima, T.; Wakame, K. Global liver gene expression analysis on a murine hepatic steatosis model treated with mulberry (Morus alba L.) leaf powder. Anticancer Res. 2018, 38, 4305–4311. [Google Scholar] [CrossRef]
- Lu, Z.; He, X.; Ma, B.; Zhang, L.; Li, J.; Jiang, Y.; Zhou, G.; Gao, F. Increased fat synthesis and limited apolipoprotein B cause lipid accumulation in the liver of broiler chickens exposed to chronic heat stress. Poult. Sci. 2019, 98, 3695–3704. [Google Scholar] [CrossRef]
- Na, W.; Wu, Y.Y.; Gong, P.F.; Wu, C.Y.; Cheng, B.H.; Wang, Y.X.; Wang, N.; Du, Z.Q.; Li, H. Embryonic transcriptome and proteome analyses on hepatic lipid metabolism in chickens divergently selected for abdominal fat content. BMC Genom. 2018, 19, 384. [Google Scholar] [CrossRef] [PubMed]
- Liu, W.; Zhang, J.; Lu, L.; Shi, F.; Niu, D.; Wang, D.; Yu, B.; Tao, Z.; Shen, J.; Wang, D. Effects of perilla extract on productive performance, serum values and hepatic expression of lipid-related genes in Shaoxing ducks. Brit. Poult. Sci. 2011, 52, 381–387. [Google Scholar] [CrossRef] [PubMed]
- Xu, Q.; Li, H.; Zhou, W.; Zou, X.; Dong, X. Age-related changes in serum lipid levels, hepatic morphology, antioxidant status, lipid metabolism related gene expression and enzyme activities of domestic pigeon squabs (Columba livia). Animals 2020, 10, 1121. [Google Scholar] [CrossRef] [PubMed]
- Bai, S.; Wang, G.; Zhang, W.; Zhang, S.; Rice, B.B.; Cline, M.A.; Gilbert, E.R. Broiler chicken adipose tissue dynamics during the first two weeks post-hatch. Comp. Biochem. Physiol. Part A 2015, 189, 115–123. [Google Scholar] [CrossRef]
- Guo, L.; Chang, Y.; Sun, Z.; Deng, J.; Jin, Y.; Shi, M.; Zhang, J.; Miao, Z. Effects of Chinese Yam Polysaccharide on Intramuscular Fat and Fatty Acid Composition in Breast and Thigh Muscles of Broilers. Foods 2023, 12, 1479. [Google Scholar] [CrossRef]





| Item | Absolute Weight, g | Relative Weight, g/kg | |||
|---|---|---|---|---|---|
| Body Weight | Liver | Abdominal Adipose | Liver | Abdominal Adipose | |
| Day 1 | 41.80 ± 5.11 a | 1.82 ± 0.23 g | 0.19 ± 0.05 f | 43.53 ± 2.99 a | 4.51 ± 0.86 g |
| Day 7 | 111.99 ± 7.49 b | 4.38 ± 0.31 fg | 0.69 ± 0.13 f | 39.30 ± 4.57 ab | 6.23 ± 1.32 fg |
| Day 14 | 181.24 ± 7.38 c | 6.21 ± 0.46 ef | 1.25 ± 0.13 f | 34.31 ± 2.77 bc | 6.91 ± 0.76 ef |
| Day 21 | 305.32 ± 12.96 d | 8.85 ± 1.28 e | 3.78 ± 0.52 e | 28.93 ± 3.53 cd | 12.41 ± 1.92 bc |
| Day 28 | 408.24 ± 30.25 e | 11.93 ± 3.39 d | 3.61 ± 0.40 e | 29.24 ± 8.14 cd | 8.83 ± 0.72 de |
| Day 35 | 689.39 ± 5.47 f | 21.43 ± 3.08 c | 7.22 ± 0.89 d | 31.07 ± 4.31 c | 10.47 ± 1.28 cd |
| Day 42 | 782.68 ± 16.49 g | 25.85 ± 4.40 b | 9.83 ± 2.62 c | 33.00 ± 5.33 c | 12.57 ± 3.37 b |
| Day 49 | 922.90 ± 27.02 h | 22.64 ± 2.67 c | 12.51 ± 0.78 b | 24.51 ± 2.65 de | 13.58 ± 1.07 b |
| Day 56 | 1415.72 ± 22.43 i | 32.40 ± 2.56 a | 37.69 ± 3.05 a | 22.89 ± 1.75 e | 26.62 ± 2.12 a |
Disclaimer/Publisher’s Note: The statements, opinions and data contained in all publications are solely those of the individual author(s) and contributor(s) and not of MDPI and/or the editor(s). MDPI and/or the editor(s) disclaim responsibility for any injury to people or property resulting from any ideas, methods, instructions or products referred to in the content. |
© 2023 by the authors. Licensee MDPI, Basel, Switzerland. This article is an open access article distributed under the terms and conditions of the Creative Commons Attribution (CC BY) license (https://creativecommons.org/licenses/by/4.0/).
Share and Cite
Lan, R.; Wei, L.; Yu, H.; Jiang, P.; Zhao, Z. Age-Related Changes in Hepatic Lipid Metabolism and Abdominal Adipose Deposition in Yellow-Feathered Broilers Aged from 1 to 56 Days. Animals 2023, 13, 3860. https://doi.org/10.3390/ani13243860
Lan R, Wei L, Yu H, Jiang P, Zhao Z. Age-Related Changes in Hepatic Lipid Metabolism and Abdominal Adipose Deposition in Yellow-Feathered Broilers Aged from 1 to 56 Days. Animals. 2023; 13(24):3860. https://doi.org/10.3390/ani13243860
Chicago/Turabian StyleLan, Ruixia, Linlin Wei, Haibin Yu, Ping Jiang, and Zhihui Zhao. 2023. "Age-Related Changes in Hepatic Lipid Metabolism and Abdominal Adipose Deposition in Yellow-Feathered Broilers Aged from 1 to 56 Days" Animals 13, no. 24: 3860. https://doi.org/10.3390/ani13243860
APA StyleLan, R., Wei, L., Yu, H., Jiang, P., & Zhao, Z. (2023). Age-Related Changes in Hepatic Lipid Metabolism and Abdominal Adipose Deposition in Yellow-Feathered Broilers Aged from 1 to 56 Days. Animals, 13(24), 3860. https://doi.org/10.3390/ani13243860

