Climate Change Habitat Model Forecasts for Eight Owl Species in the Southwestern US
Abstract
:Simple Summary
Abstract
1. Introduction
2. Materials and Methods
2.1. Habitat Profiles and Spatial Rendering
2.2. Ecosystem Vulnerability Model and Projections of Future Habitat Distribution
2.3. Habitat Model Validation Datasets
2.3.1. Boreal Owl Surveys (New Mexico)
2.3.2. Flammulated Owl Surveys (New Mexico)
2.3.3. Quadrat Owl Detections (Arizona and New Mexico)
2.3.4. Great Horned Owl Detections (New Mexico)
2.3.5. Whiskered and Western Screech-Owl Nest Box Study (Arizona)
2.4. Spatial Model Validation
2.5. Assessment of Climate Change Impacts
3. Results
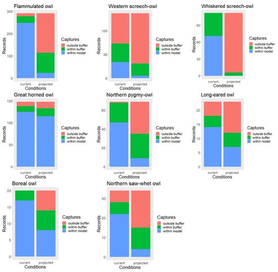
3.1. Spatial Model Validation
3.2. Climate Change Projections
3.3. Flammulated Owl Breeding Populations
3.4. Northern Saw-Whet Detection Points
4. Discussion
4.1. Model Uncertainty
4.2. Vegetation vs. Resource Habitat Models
4.3. Fire
4.4. Adaptation
4.5. Mitigation
4.6. Broader-Scale Implications
5. Conclusions
Supplementary Materials
Author Contributions
Funding
Institutional Review Board Statement
Informed Consent Statement
Data Availability Statement
Acknowledgments
Conflicts of Interest
References
- Urban, M.C. Accelerating extinction risk from climate change. Science 2015, 348, 571–573. [Google Scholar] [CrossRef] [PubMed]
- Stanton, J.C.; Shoemaker, K.T.; Pearson, R.G.; Akçakaya, H.R. Warning times for species extinctions due to climate change. Glob. Change Biol. 2015, 21, 1066–1077. [Google Scholar] [CrossRef] [PubMed]
- Williams, S.E.; Shoo, L.P.; Isaac, J.L.; Hoffmann, A.A.; Langham, G. Towards an Integrated Framework for Assessing the Vulnerability of Species to Climate Change. PLoS Biol. 2008, 6, 2621–2626. [Google Scholar] [CrossRef] [PubMed]
- Fraissinet, M.; Ancillotto, L.; Migliozzi, A.; Capasso, S.; Bosso, L.; Chamberlain, D.E.; Russo, D. Responses of avian assemblages to spatiotemporal landscape dynamics in urban ecosystems. Landsc. Ecol. 2023, 38, 293–305. [Google Scholar] [CrossRef]
- Canonne, C.; Bernard-Laurent, A.; Souchay, G.; Perrot, C.; Besnard, A. Contrasted impacts of weather conditions in species sensitive to both survival and fecundity: A montane bird case study. Ecology 2023, 104, e3932. [Google Scholar] [CrossRef] [PubMed]
- Dawson, T.P.; Jackson, S.T.; House, J.I.; Prentice, I.C.; Mace, G.M. Beyond Predictions: Biodiversity Conservation in a Changing Climate. Science 2011, 332, 53–58. [Google Scholar] [CrossRef]
- Glick, P.; Stein, B.A.; Edelson, N. (Eds.) Scanning the Conservation Horizon: A Guide to Climate Change Vulnerability Assessment; National Wildlife Federation: Washington, DC, USA, 2011; Available online: https://www.nwf.org/~/media/pdfs/global-warming/climate-smart-conservation/nwfscanningtheconservationhorizonfinal92311.ashx (accessed on 29 November 2023).
- Millon, A.; Petty, S.J.; Little, B.; Gimenez, O.; Cornulier, T.; Lambin, X. Dampening prey cycle overrides the impact of climate change on predator population dynamics: A long-term demographic study on tawny owls. Glob. Change Biol. 2014, 20, 1770–1781. [Google Scholar] [CrossRef]
- Peery, M.Z.; Guttiérez, R.J.; Kirby, R.; Ledee, O.E.; Layahe, W. Climate change and spotted owls: Potentially contrasting responses in the Southwestern United States. Glob. Change Biol. 2011, 18, 865–880. [Google Scholar] [CrossRef]
- Gilg, O.; Sittler, B.; Hanski, I. Climate change and cyclic predator–prey population dynamics in the high Arctic. Glob. Change Biol. 2009, 15, 2634–2652. [Google Scholar] [CrossRef]
- Schmidt, N.M.; Ims, R.A.; Høye, T.T.; Gilg, O.; Hansen, L.H.; Hansen, J.; Lund, M.; Fuglei, E.; Forchhammer, M.C.; Sittler, B. Response of an arctic predator guild to collapsing lemming cycles. Proc. Biol. Sci. 2012, 279, 4417–4422. [Google Scholar] [CrossRef]
- Jenouvrier, S. Impacts of climate change on avian populations. Glob. Change Biol. 2013, 19, 2036–2057. [Google Scholar] [CrossRef] [PubMed]
- Altwegg, R.; Roulin, A.; Kestenholz, M.; Jenni, L. Demographic effects of extreme winter weather in the barn owl. Oecologia 2006, 149, 44–51. [Google Scholar] [CrossRef] [PubMed]
- Ganey, J.L.; Balda, R.P.; King, R.M. Metabolic rate and evaporative water loss of Mexican spotted and great horned owls. Wilson Bull. 1993, 105, 645–656. [Google Scholar]
- Weathers, W.W.; Hodum, P.J.; Blakesley, J.A. Thermal ecology and ecological energetics of California spotted owls. Condor 2001, 103, 678–690. [Google Scholar] [CrossRef]
- IPCC (Intergovernmental Panel on Climate Change). Climate Change 2007: The physical science basis. In Fourth Assessment Report of the Intergovernmental Panel on Climate Change; Solomon, S., Ed.; Cambridge University Press: Cambridge, UK, 2007. [Google Scholar]
- Triepke, F.J.; Muldavin, E.H.; Wahlberg, M.M. Using climate projections to assess ecosystem vulnerability at scales relevant to managers. Ecosphere 2019, 10, e02854. [Google Scholar] [CrossRef]
- Dick-Peddie, W.A. New Mexico Vegetation Past, Present and Future; University of New Mexico Press: Albuquerque, NM, USA, 1993. [Google Scholar]
- Allen, C.D.; Betancourt, J.L.; Swetnam, T.W. Landscape changes in the southwestern United States: Techniques, long-term data sets, and trends. In Perspectives on the Land Use History of North America: A Context for Understanding Our Changing Environment; Sisk, T., Ed.; U.S. Geological Survey, Biological Science Report USGS/BRD/BSR-1998-0003; U.S. Geological Survey: Reston, VA, USA, 1998; pp. 71–84. [Google Scholar]
- Triepke, J.F.; Lowrey, T.K. Vegetation, fire ecology, and climate of New Mexico’s ecosystems. In Wild Carnivores of New Mexico; Cartron, J.-L.E., Frey, J.K., Eds.; University of New Mexico Press: Albuquerque, NM, USA, 2023; pp. 21–49. [Google Scholar]
- Cartron, J.-L.E.; Triepke, F.J.; Gutzler, D.S.; Steckbeck, K.M.; Calhoun, K.C. Future climate-driven impacts and the conservation of carnivores in New Mexico. In Wild Carnivores of New Mexico; Cartron, J.-L.E., Frey, J.K., Eds.; University of New Mexico Press: Albuquerque, NM, USA, 2023; pp. 91–127. [Google Scholar]
- Moreland, J.C.; Robbie, W.A.; Triepke, F.J.; Muldavin, E.H.; Malusa, J.R. Ecological Response Units: Ecosystem mapping system for the Southwest US. In Proceedings of the Sixth Natural History of the Gila Symposium, Silver City, NM, USA, 25–27 February 2016. [Google Scholar]
- Box, E.O.; Fujiwara, K. Vegetation types and their broad–scale distribution. In Vegetation Ecology; van der Maarel, E., Ed.; Blackwell Publishing: Malden, MA, USA, 2005; pp. 106–128. [Google Scholar]
- MacArthur, R.; MacArthur, J.W. On Bird Species Diversity. Ecology 1961, 42, 594–598. [Google Scholar] [CrossRef]
- Cody, M.L. Habitat Selection in Birds: The Roles of Vegetation Structure, Competitors, and Productivity. BioScience 1981, 31, 107–113. [Google Scholar] [CrossRef]
- Besnard, A.G.; Davranche, A.; Maugenest, S.; Bouzillé, J.B.; Vian, A.; Secondi, J. Vegetation maps based on remote sensing are informative predictors of habitat selection of grassland birds across a wetness gradient. Ecol. Indic. 2015, 58, 47–54. [Google Scholar] [CrossRef]
- Timm, B.C.; McGarigal, K.; Cushman, S.A.; Ganey, J.L. Multi-scale Mexican spotted owl (Strix occidentalis lucida) nest/roost habitat selection in Arizona and a comparison with single-scale modeling results. Landsc. Ecol. 2016, 31, 1209–1225. [Google Scholar] [CrossRef]
- Wan, H.Y.; McGarigal, K.; Ganey, J.L.; Lauret, V.; Timm, B.C.; Cushman, S.A. Meta-replication reveals nonstationarity in multi-scale habitat selection of Mexican Spotted Owl. Condor 2017, 119, 641–658. [Google Scholar] [CrossRef]
- Corman, T.E.; Wise-Gervais, C. (Eds.) Arizona Breeding Bird Atlas; University of New Mexico Press: Albuquerque, NM, USA, 2005. [Google Scholar]
- Cartron, J.-L.E. (Ed.) Raptors of New Mexico; University of New Mexico Press: Albuquerque, NM, USA, 2010. [Google Scholar]
- Wise-Gervais, C. Flammulated owl. In Arizona Breeding Bird Atlas; Corman, T.E., Wise-Gervais, C., Eds.; University of New Mexico Press: Albuquerque, NM, USA, 2005; pp. 208–209. [Google Scholar]
- Arsenault, D.P. Distribution and density of flammulated owls in western New Mexico. New Mex. Ornithol. Bull. 2007, 35, 41–53. [Google Scholar]
- Cleland, D.T.; Freeouf, J.A.; Nowacki, G.J.; Carpenter, C.; Keys, J.E.; McNab, W.H. Ecological Subregions: Sections and Subsections of the Conterminous United States; USDA Forest Service General Technical Report WO-76; Washington Office: Washington, DC, USA, 2007; Available online: https://databasin.org/datasets/ (accessed on 29 November 2023).
- Bell, D.M.; Bradford, J.B.; Lauenroth, W.K. Early indicators of change: Divergent climate envelopes between tree life stages imply range shifts in the western United States. Glob. Ecol. Biogeogr. 2014, 23, 168–180. [Google Scholar] [CrossRef]
- Kelly, A.E.; Goulden, M.L. Rapid shifts in plant distribution with recent climate change. Proc. Natl. Acad. Sci. USA 2008, 105, 11823–11826. [Google Scholar] [CrossRef] [PubMed]
- Monleon, V.J.; Lintz, H.E. Evidence of tree species’ range shifts in a complex landscape. PLoS ONE 2015, 10, e0118069. [Google Scholar] [CrossRef] [PubMed]
- Hill, A.P.; Field, C.B. Forest fires and climate-induced tree range shifts in the western US. Nat. Commun. 2021, 12, 6583. [Google Scholar] [CrossRef] [PubMed]
- Brusca, R.C.; Wiens, J.F.; Meyer, W.M.; Eble, J.; Franklin, K.; Overpeck, J.T.; Moore, W. Dramatic response to climate change in the Southwest: Robert Whittaker’s 1963 Arizona Mountain plant transect revisited. Ecol. Evol. 2013, 3, 3307–3319. [Google Scholar] [CrossRef] [PubMed]
- Guida, R.J.; Abella, S.R.; Smith, W.J.; Stephen, H.; Roberts, C.L. Climatic change and desert vegetation distribution: Assessing thirty years of change in southern Nevada’s Mojave Desert. Prof. Geogr. 2014, 66, 311–322. [Google Scholar] [CrossRef]
- Vogl, R.J. Chaparral succession. In Proceedings of the Symposium on Dynamics and Management of Mediterranean-Type Ecosystems; Conrad, C.E., Oechel, W.C., Eds.; USDA Forest Service General Technical Report PSW-GTR-58; Pacific Southwest Forest and Range Experiment Station: Berkeley, CA, USA, 1982; pp. 81–85. [Google Scholar]
- Kitchen, S.G.; Meyer, S.E.; Carlson, S.L. Mechanisms for maintenance of dominance in a nonclonal desert shrub. Ecosphere 2015, 6, 1–15. [Google Scholar] [CrossRef]
- Pockman, W.T.; Speery, J.S. Vulnerability to xylem cavitation and the distribution of Sonoran Desert vegetation. Am. J. Bot. 2000, 87, 1287–1299. [Google Scholar] [CrossRef]
- Enright, N.; Miller, B. Livestock grazing impacts on desert vegetation, Khirthar National Park, Pakistan. Rangel. Ecol. Manag. 2007, 60, 680–684. [Google Scholar] [CrossRef]
- Bhattachan, A.; D’Odorico, P.; Dintwe, K.; Okin, G.S.; Collins, S.L. Resilience and recovery potential of duneland vegetation in the southern Kalahari. Ecosphere 2014, 5, 2. [Google Scholar] [CrossRef]
- Brotons, L.; Thuiller, W.; Arauijo, M.B.; Hirzel, A.H. Presence-absence versus presence-only modelling methods for predicting bird habitat suitability. Ecography 2004, 27, 437–448. [Google Scholar] [CrossRef]
- Stahlecker, D.W.; Duncan, R.B. The boreal owl at the southern terminus of the Rocky Mountains: Undocumented longtime resident or recent arrival? Condor 1996, 98, 153–160. [Google Scholar] [CrossRef]
- Stahlecker, D.W.; MacKerrow, E.P.; Walker, H.A.; Batkin, J.P.; Foy, B.R. Persistence of the boreal owl in New Mexico: 1987–2012. West. Birds 2014, 45, 166–175. [Google Scholar]
- Ganey, J.L.; Benoit, M.A. Using Terrestrial Ecosystem Survey Data to Identify Potential Habitat for the Mexican Spotted Owl on National Forest System Lands: A Pilot Study; General Technical Report RMRS-GTR-86; U.S. Department of Agriculture, Forest Service, Rocky Mountain Research Station: Fort Collins, CO, USA, 2002.
- Bosakowski, T.; Smith, D.G. Response of a forest raptor community to broadcasts of heterospecific and conspecific calls during the breeding season. Can. Field-Nat. 1998, 112, 198–203. [Google Scholar]
- Lima, K.A.; Call, E.M.; Hodgman, T.P.; Potter, D.S.; Gallo, S.; Blomberg, E.J. Environmental conditions and call-broadcast influence detection of eastern forest owls during standardized surveys. Condor 2020, 122, duaa016. [Google Scholar] [CrossRef]
- Groce, J.E.; Morrison, M.L. Habitat Use by Saw-Whet Owls in the Sierra Nevada. J. Wildl. Manag. 2010, 74, 1523–1532. [Google Scholar]
- Ganey, J.L.; White, G.C.; Ward, J.P., Jr.; Kyle, S.C.; Apprill, D.L.; Rawlison, T.A.; Jonnes, R.S. Demography of Mexican spotted owls in the Sacramento Mountains, New Mexico. J. Wildl. Manag. 2014, 78, 42–49. [Google Scholar] [CrossRef]
- Hathcock, C.D. Use of nest boxes, reproductive success, and sex ratio in two screech-owls in the Peloncillo Mountains of southeastern Arizona. Wilson J. Ornith. 2023, 135, 283–287. [Google Scholar] [CrossRef]
- Fielding, A.H. What are appropriate characteristics of an accuracy measure? In Predicting Species Occurrences: Issues of Accuracy and Scale; Scott, J.M., Heglund, P.J., Morrison, M.L., Haufler, J.B., Raphael, M.G., Wall, W.A., Samson, F.B., Eds.; Island Press: Washington, DC, USA, 2002; pp. 271–280. [Google Scholar]
- Ottaviani, D.; Lasinio, G.J.; Boitani, L. Two statistical methods to validate habitat suitability models using presence-only data. Ecol. Model. 2004, 179, 417–443. [Google Scholar] [CrossRef]
- Pembury Smith, M.Q.R.; Ruxton, G.D. Effective use of the McNemar test. Behav. Ecol. Sociobiol. 2020, 74, 133. [Google Scholar] [CrossRef]
- Keyser, A.R.; Krofcheck, D.J.; Remy, C.C.; Allen, C.D.; Hurteau, M.D. Simulated increases in fire activity reinforce shrub conversion in a southwestern US forest. Ecosystems 2020, 23, 1702–1713. [Google Scholar] [CrossRef]
- Merker, S.A.; Chandler, R.B. Identifying global hotspots of avian trailing-edge population diversity. Glob. Ecol. Conserv. 2020, 22, e00915. [Google Scholar] [CrossRef]
- Hayward, G.D.; Hayward, P.H.; Garton, E.O. Ecology of Boreal Owls in the Northern Rocky Mountains, USA; Wiley: New York, NY, USA, 1993; Volume 124. [Google Scholar]
- Seager, R.; Ting, M.; Held, I.; Kushnir, Y.; Lu, J.; Vecchi, G.; Huang, H.-P.; Harnik, N.; Leetmaa, A.; Lau, N.-C.; et al. Model projections of an imminent transition to a more arid climate in southwestern North America. Science 2007, 316, 1181–1184. [Google Scholar] [CrossRef] [PubMed]
- Gutzler, D.S.; Robbins, T.O. Climate variability and projected change in the western United States: Regional downscaling and drought statistics. Clim. Dyn. 2010, 37, 835–849. [Google Scholar] [CrossRef]
- Rehfeldt, G.E.; Crookston, N.L.; Sáenz-Romero, C.; Campbell, E.M. North American vegetation model for land-use planning in a changing climate: A solution to large classification problems. Ecol. Appl. 2012, 22, 119–141. [Google Scholar] [CrossRef] [PubMed]
- Dennis, R.L.H.; Shreeve, T.G.; Van Dyck, H. Habitats and Resources: The Need for a Resource-based Definition to Conserve Butterflies. Biodivers. Conserv. 2006, 15, 1943–1966. [Google Scholar] [CrossRef]
- Turlure, C.; Schtickzelle, N.; Dubois, Q.; Baguette, M.; Dennis, R.L.H.; Van Dyck, H. Suitability and transferability of the resource-based habitat concept: A test with an assemblage of butterflies. Front. Ecol. Evol. 2019, 7, 127. [Google Scholar] [CrossRef]
- Wise-Gervais, C. Northern saw-whet owl. In Arizona Breeding Bird Atlas; Corman, T.E., Wise-Gervais, C., Eds.; University of New Mexico Press: Albuquerque, NM, USA, 2005; pp. 228–229. [Google Scholar]
- Friederici, P. Long-eared owl. In Arizona Breeding Bird Atlas; Corman, T.E., Wise-Gervais, C., Eds.; University of New Mexico Press: Albuquerque, NM, USA, 2005; pp. 226–227. [Google Scholar]
- Arsenault, D.P. Differentiating nest sites of primary and secondary cavity-nesting birds in New Mexico. J. Field Ornithol. 2004, 75, 257–265. [Google Scholar] [CrossRef]
- Guiterman, C.H.; Gregg, R.M.; Marshall, L.A.; Beckmann, J.J.; van Mantgem, P.J.; Falk, D.A.; Keeley, J.E.; Caprio, A.C.; Coop, J.D.; Fornwalt, P.J.; et al. Vegetation type conversion in the US Southwest: Frontline observations and management responses. Fire Ecol. 2022, 18, 1–16. [Google Scholar] [CrossRef]
- Breshears, D.D.; Myers, O.B.; Meyer, C.W.; Barnes, F.J.; Zou, C.B.; Allen, C.D.; McDowell, N.G.; Pockman, W.T. Tree die-off in response to global change-type drought: Mortality insights from a decade of plant water potential measurements. Front. Ecol. Environ. 2009, 7, 185–189. [Google Scholar] [CrossRef]
- Allen, C.D.; Macalady, A.K.; Chenchouni, H.; Bachelet, D.; McDowell, N.; Vennetier, M.; Kitzberger, T.; Rigling, A.; Breshears, D.D.; Hogg, E.T.; et al. A global overview of drought and heat-induced tree mortality reveals emerging climate change risks for forests. For. Ecol. Manag. 2010, 259, 660–684. [Google Scholar] [CrossRef]
- Westerling, A.L.; Hidalgo, H.G.; Cayan, D.R.; Swetnam, T.W. Warming and earlier spring increase western US forest wildfire activity. Science 2006, 313, 940–943. [Google Scholar] [CrossRef] [PubMed]
- Duchac, L.S.; Lesmeister, D.B.; Dugger, K.M.; Davis, R.J. Differential landscape use by forest owls two years after a mixed-severity wildfire. Ecosphere 2021, 12, e03770. [Google Scholar] [CrossRef]
- Karell, P.; Ahola, K.; Karstinen, T.; Valkama, J.; Brommer, J.E. Climate change drives microevolution in a wild bird. Nat. Commun. 2011, 2, 208. [Google Scholar] [CrossRef] [PubMed]
- Couet, J.; Marjakangas, E.; Santangeli, A.; Kålås, J.A.; Lindström, Å.; Lehikoinen, A. Short-lived species move uphill faster under climate change. Oecologia 2022, 198, 877–888. [Google Scholar] [CrossRef] [PubMed]
- Arsenault, D.P.; Stacey, P.B.; Hoelzer, G.A. Mark–recapture and DNA fingerprinting data reveal high breeding-site fidelity, low natal philopatry, and low levels of genetic population differentiation in flammulatedowls (Otus Flammeolus). Auk 2005, 122, 329–337. [Google Scholar] [CrossRef]
- Burton, J.A. Owls of the World; William Collins: Glasgow, UK, 1984. [Google Scholar]
- Ostrow, E.N.; DeCicco, L.H.; Moyle, R.G. Range-wide phylogenomics of the Great Horned Owl (Bubo virginianus) reveals deep north-south divergence in northern Peru. PeerJ 2023, 11, e15787. [Google Scholar] [CrossRef]
- Tyson, R.; Lutscher, F. Seasonally Varying predation behavior and climate shifts are predicted to affect predator-prey cycles. Am. Nat. 2016, 188, 539–553. [Google Scholar] [CrossRef]
- Adamcik, R.S.; Keith, L.B. Regional movements and mortality of great horned owls in relation to snowshoe hare fluctuations. Can. Field-Nat. 1978, 92, 228–234. [Google Scholar]
- Ellsworth, E.; Belthoff, J.R. Sex-biased dispersal of young Western Screech-owls (Otus kennicottii) in southwestern Idaho. In Biology and Conservation of Owls of the Northern Hemisphere: 2nd International Symposium; Duncan, J.R., Johnson, D.H., Nicholls, T.H., Eds.; General Technical Report NC-190; U.S. Department of Agriculture, Forest Service, North Central Forest Experiment Station: St Paul, MN, USA, 1997; pp. 155–159. [Google Scholar]
- IUCN. The IUCN Red List of Threatened Species; Version 2022-2; International Union for Conservation of Nature (IUCN): Gland, Switzerland, 2022; Available online: https://www.iucnredlist.org (accessed on 3 November 2023).
- Orlando, G.; Passarotto, A.; Morosinotto, C.; Ahola, K.; Karstinen, T.; Brommer, J.E.; Koskenpato, K.; Karell, P. Changes in over-winter prey availability, rather than winter climate, are associated with a long-term decline in a northern Tawny Owl population. J. Ornithol. 2023. [Google Scholar] [CrossRef]
- Woodward, F.I. Climate and Plant Distribution; Cambridge University Press: Cambridge, UK, 1987; 174p. [Google Scholar]
- Cox, C.B.; Moore, P.D.; Ladle, R.J. Biogeography: An Ecological and Evolutionary Approach, 9th ed.; Wiley-Blackwell: Hoboken, NJ, USA, 2016; 512p. [Google Scholar]
- Sonne, J.; Dalsgaard, B.; Borregaard, M.K.; Kennedy, J.; Fjeldså, J.; Rahbek, C. Biodiversity cradles and museums segregating within hotspots of endemism. Proc. R. Soc. B 2022, 289, 20221102. [Google Scholar] [CrossRef] [PubMed]
- Byrne, M.; Yeates, D.K.; Joseph, L.; Kearney, M.; Bowler, J.; Williams, M.A.J.; Cooper, S.; Donnellan, S.C.; Keogh, J.S.; Leys, R.; et al. Birth of a biome: Insights into the assembly and maintenance of the Australian arid zone biota. Mol. Ecol. 2008, 17, 4398–4417. [Google Scholar] [CrossRef] [PubMed]
- Rahbek, C.; Borregaard, M.K.; Colwell, R.K.; Dalsgaard, B.; Holt, B.G.; Morueta-Holme, N.; Nogues-Bravo, D.; Whittaker, R.J.; Fjeldså, J. Humboldt’s enigma: What causes global patterns of mountain biodiversity? Science 2019, 365, 1108–1113. [Google Scholar] [CrossRef]
- McDonald, P.J.; Jobson, P.; Köhler, F.; Nano, C.E.M.; Oliver, P.M. The living heart: Climate gradients predict desert mountain endemism. Ecol. Evol. 2021, 11, 4366–4378. [Google Scholar] [CrossRef]
- Haire, S.L.; Villarreal, M.L.; Cortés-Montaño, C.; Flesch, A.D.; Iniguez, J.M.; Romo-Leon, J.R.; Sanderlin, J.S. Climate refugia for Pinus spp. in topographic and bioclimatic environments of the Madrean sky islands of México and the United States. Plant Ecol. 2022, 223, 577–598. [Google Scholar] [CrossRef]
- Comay, O.; Ezov, E.; Yom-Tov, Y.; Dayan, T. In its southern edge of distribution, the tawny owl (Strix aluco) is more sensitive to extreme temperatures than to rural development. Animals 2022, 12, 641. [Google Scholar] [CrossRef]










| Vegetation Zone | Ecological Response Unit |
|---|---|
| Subalpine Zone | Spruce–fir forest |
| Bristlecone pine forest | |
| Montane Zone | Mixed conifer with aspen |
| Mixed conifer—frequent fires | |
| Ponderosa pine forest | |
| Ponderosa pine–evergreen oak forest | |
| Woodland Zone | Pinyon–juniper woodland |
| Madrean pinyon–oak woodland | |
| Madrean encinal woodland | |
| Pinyon–juniper sagebrush | |
| Pinyon–juniper evergreen shrub | |
| Pinyon–juniper deciduous shrub | |
| Pinyon–juniper grass | |
| Juniper grass |
| Species | No. Records | No. Simulations Equaling or Outperforming Habitat Model | ||||
|---|---|---|---|---|---|---|
| Within Model | Within Buffer | Outside Buffer | Total | Without the 1 km Buffer | With the 1 km Buffer | |
| Flammulated owl | 248 | 30 | 13 | 291 | 0 **** | 0 **** |
| Western screech-owl | 34 | 39 | 60 | 137 | 34 (*) | 0 **** |
| Whiskered screech-owl | 71 | 41 | 0 | 112 | 307 | 0 **** |
| Great horned owl | 125 | 13 | 10 | 148 | 500 | 500 |
| Northern pygmy-owl | 47 | 21 | 1 | 69 | 0 **** | 0 **** |
| Long-eared owl | 14 | 4 | 5 | 23 | 17 * | 0 **** |
| Boreal owl | 17 | 3 | 0 | 20 | 0 **** | 0 **** |
| Northern saw-whet owl | 22 | 6 | 6 | 34 | 0 **** | 0 **** |
| Species | No. Observations | Mapped Habitat | |||
|---|---|---|---|---|---|
| With the 1 km Buffer | Without the 1 km Buffer | ||||
| χ2 | p-Value | χ2 | p-Value | ||
| Flammulated owl | 291 | 162.01 | <0.0001 **** | 223 | <0.0001 **** |
| Western screech-owl | 137 | 40.02 | <0.0001 **** | 27.03 | <0.0001 **** |
| Whiskered screech-owl | 112 | 104.01 | <0.0001 **** | 69.01 | <0.0001 **** |
| Great horned owl | 148 | 3.2 | 0.07 (*) | 8.1 | 0.004 ** |
| Northern pygmy-owl | 69 | 31.03 | <0.0001 **** | 36.03 | <0.0001 **** |
| Long-eared owl | 23 | 4.17 | 0.04 * | 5.14 | 0.02 * |
| Boreal owl | 20 | 4.17 | 0.04 * | 7.11 | 0.008 ** |
| Northern saw-whet owl | 34 | 11.08 | 0.0008 *** | 16.06 | <0.0001 **** |
| Species | Vegetation Types Representing Preferred or Primary Habitat | Owl Habitat Model Zones (Figure 1) | Approx. Current 2017 Extent (ha) | Approx. Projected 2090 Extent (ha) | Projected 2090% Change |
|---|---|---|---|---|---|
| Flammulated owl | Montane forests | Regionwide | 4,684,000 | 714,000 | −85% |
| Western screech-owl | Pinyon–juniper and Madrean woodlands | Regionwide | 3,186,000 | 1,511,000 | −55% |
| Whiskered screech-owl | Ponderosa and ponderosa pine–evergreen oak forest, and Madrean woodlands | Sky Island—Bootheel, Pecos East (Guadalupe Mtns only), AZ-NM Mtns (2090 only), Pecos West (2090 only) | 714,000 | 677,000 | −5% |
| Great horned owl | All forest and woodland types | Regionwide | 16,984,000 | 11,273,000 | −35% |
| Northern pygmy-owl | Subalpine and montane forests, pinyon–juniper and Madrean woodlands | Regionwide | 8,267,000 | 2,021,000 | −75% |
| Long-eared owl | Subalpine and montane forests, pinyon–juniper and Madrean woodlands | Regionwide | 8,263,000 | 2,623,000 | −70% |
| Boreal owl | Subalpine forests | Sangre de Cristo, San Juan, and Jemez Mountains | 306,000 | 42,000 | −85% |
| Northern saw-whet owl | Subalpine and montane forests | Regionwide except Sonoran zone | 5,080,000 | 2,008,000 | −60% |
| Projected Vegetation Type (to) | ||||||
|---|---|---|---|---|---|---|
| Current Vegetation Type (From) | Dry Forest | Madrean Woodland | Pinyon–Juniper | Riparian | Gambel Oak Shrubland | Total |
| Dry Forest 1 | 1 | 9 | 122 | 132 | ||
| Mixed Conifer with Aspen | 4 | 4 | ||||
| Pinyon–Juniper | 2 | 1 | 3 | |||
| Riparian | 7 | 7 | ||||
| Upland Shrub | 2 | 2 | ||||
| Total | 5 | 9 | 124 | 7 | 3 | 148 |
Disclaimer/Publisher’s Note: The statements, opinions and data contained in all publications are solely those of the individual author(s) and contributor(s) and not of MDPI and/or the editor(s). MDPI and/or the editor(s) disclaim responsibility for any injury to people or property resulting from any ideas, methods, instructions or products referred to in the content. |
© 2023 by the authors. Licensee MDPI, Basel, Switzerland. This article is an open access article distributed under the terms and conditions of the Creative Commons Attribution (CC BY) license (https://creativecommons.org/licenses/by/4.0/).
Share and Cite
Cartron, J.-L.E.; Triepke, F.J.; Stahlecker, D.W.; Arsenault, D.P.; Ganey, J.L.; Hathcock, C.D.; Thompson, H.K.; Cartron, M.C.; Calhoun, K.C. Climate Change Habitat Model Forecasts for Eight Owl Species in the Southwestern US. Animals 2023, 13, 3770. https://doi.org/10.3390/ani13243770
Cartron J-LE, Triepke FJ, Stahlecker DW, Arsenault DP, Ganey JL, Hathcock CD, Thompson HK, Cartron MC, Calhoun KC. Climate Change Habitat Model Forecasts for Eight Owl Species in the Southwestern US. Animals. 2023; 13(24):3770. https://doi.org/10.3390/ani13243770
Chicago/Turabian StyleCartron, Jean-Luc E., F. Jack Triepke, Dale W. Stahlecker, David P. Arsenault, Joseph L. Ganey, Charles D. Hathcock, Hunter K. Thompson, Matthieu C. Cartron, and Kenneth C. Calhoun. 2023. "Climate Change Habitat Model Forecasts for Eight Owl Species in the Southwestern US" Animals 13, no. 24: 3770. https://doi.org/10.3390/ani13243770
APA StyleCartron, J.-L. E., Triepke, F. J., Stahlecker, D. W., Arsenault, D. P., Ganey, J. L., Hathcock, C. D., Thompson, H. K., Cartron, M. C., & Calhoun, K. C. (2023). Climate Change Habitat Model Forecasts for Eight Owl Species in the Southwestern US. Animals, 13(24), 3770. https://doi.org/10.3390/ani13243770

