Administration of Estradiol Benzoate Enhances Ovarian and Uterine Hemodynamics in Postpartum Dairy Buffaloes
Abstract
Simple Summary
Abstract
1. Introduction
2. Materials and Methods
2.1. Animals
2.2. Experimental Design, Housing, and Management
2.3. Ultrasonographic Examination (B-Mode, Color, and Pulsed-Wave Doppler)
- (1)
- (2)
- Cranial uterine horn thickness (UHT; cm) was measured as previously proposed [28]. In brief, after observing the uterine horn via B-mode ultrasonography, the transverse diameter of the anterior third section of each horn (proximal to the uterine body) was measured via the electronic caliber of the ultrasound device.
- (3)
- Hemodynamic changes within the MUA on the ipsi- and contra-lateral sides of the uterine horn at its origin (the internal iliac artery) and within the OA corresponding to the ovarian tissues were monitored as previously reported [29,30] (Figure 2). In brief, once the MUA was visualized via B-mode ultrasonography, blood flow was affirmed using the Doppler device color mode, followed by pulsed-wave mode activation for Doppler index measurement. All calculations were determined automatically by the device and measured three times to obtain the mean by the same person. At least three successive waves (cardiac cycles) were estimated to measure the Doppler parameters with calibrated and fixed Doppler settings throughout the study, as follows: The pulse repetition frequency was 3.5 KHz, the angle of insonation was less than 60 °, and the color flow mapping included two colors (red and blue; Figure 2). Examined blood flow parameters were the pulsatility index (PI), resistance index (RI), peak systolic/end-diastolic ratio (S/D), time-averaged maximum velocity (TAV; cm/s), uterine blood flow rate (BFR; bpm), and uterine blood flow volume (BFV; mL/min). BFV was estimated using the following equation: BFV = TAV(cm/s) × (D(cm) × 0.5)2 × π 60 [22].
2.4. Blood Sampling and Assessment of E2 and NO Concentrations
2.5. Statistical Analysis
3. Results
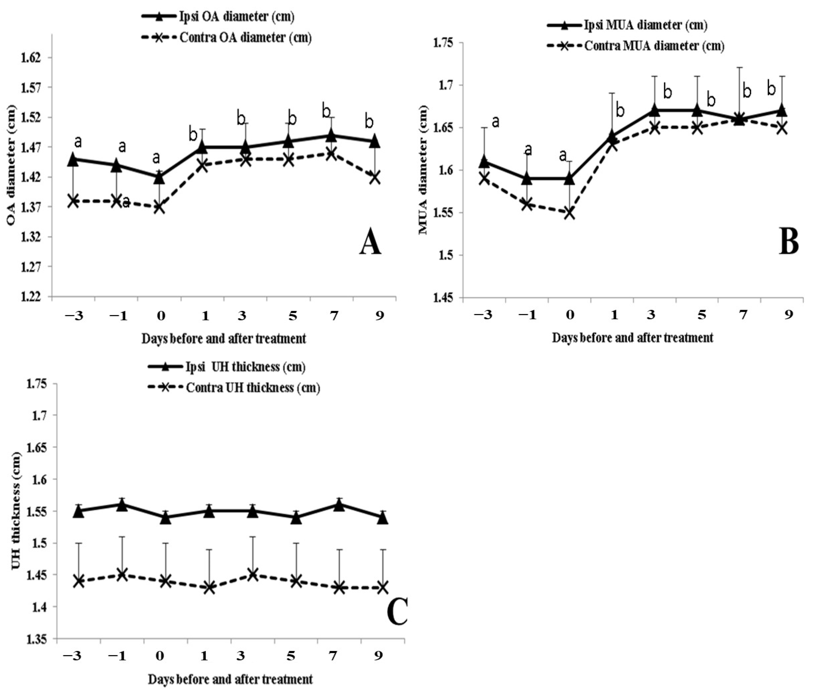
3.1. Alterations in the Ovarian and Uterine Arterial Diameters, and Uterine Horn Thickness
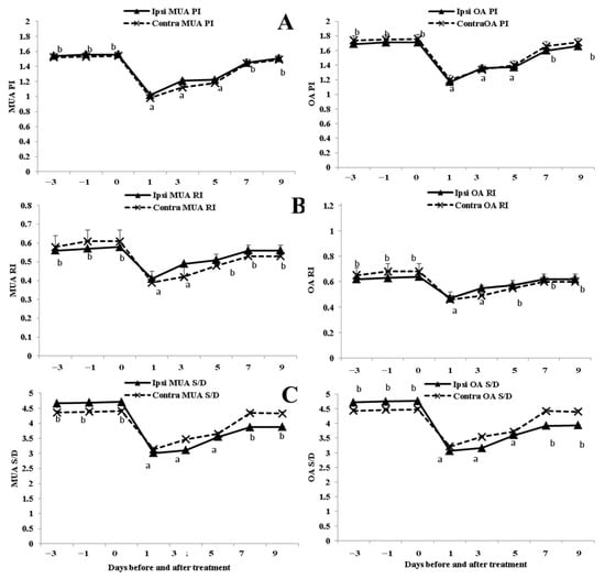
3.2. Alterations in the OA and MUA PI, RI, and S/D Ratio
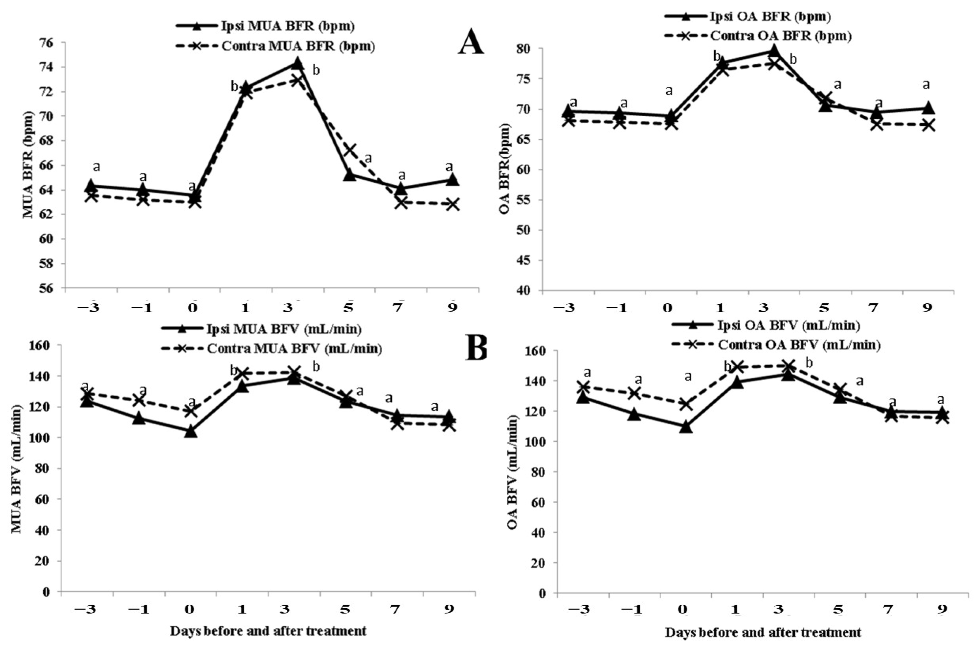
3.3. Alterations in the OA and MUA BFR (bpm), and BFV (mL/min)
3.4. Alterations in the E2 and NO Concentrations
4. Discussion
5. Conclusions
Author Contributions
Funding
Institutional Review Board Statement
Informed Consent Statement
Data Availability Statement
Acknowledgments
Conflicts of Interest
References
- Food and Agriculture Organization of the UN. FAOSTAT Statistics Database; FAO: Rome, Italy, 2016. [Google Scholar]
- Abdel-Salam, S.A.; Sayed, A.I.; Elsayed, M.; Abou-Bakr, S. Genetic gain in open nucleus breeding scheme to improve milk production in Egyptian Buffalo. Livest. Sci. 2010, 131, 162–167. [Google Scholar] [CrossRef]
- Samir, H.; El-Sherbiny, H.R.; El-Shalofy, A.S. Seasonal Alterations in Testicular Hemodynamics and Echotexture in Relation to Semen Quality in Buffalo Bulls. Andrologia 2023, 2023, 5003366. [Google Scholar] [CrossRef]
- El-Wishy, A.B. The postpartum buffalo. II. Acyclicity and anestrus. Anim. Reprod. Sci. 2007, 97, 216–236. [Google Scholar] [CrossRef]
- Perera, B.M.A.O. Reproduction in domestic buffalo. Reprod. Domest. Anim. 2008, 43, 200–206. [Google Scholar] [CrossRef]
- Lohan, I.S.; Malik, R.K.; Kaker, M.L. Uterine Involution and Ovarian Follicular Growth during Early Postpartum Period of Murrah Buffaloes (Bubalus bubalis). Asian-Australas. J. Anim. Sci. 2004, 17, 313–316. [Google Scholar] [CrossRef]
- Gohar, M.; Zaabel, S.; Eldomany, W.; Eldosouky, A.; Tawfik, W.; Sharawy, H.; Elmetwally, M. Transrectal Doppler Ultrasound to Study the Uterine Blood Flow Changes During the Puerperium in the Egyptian Buffaloes. J. Adv. Vet. Res. 2023, 13, 19–24. [Google Scholar]
- Yama, P.; Yadmak, C.; Sangkate, M.; Jitjumnong, J.; U-Krit, W.; Promsao, N.; Montha, N.; Sudwan, P.; Mektrirat, R.; Panatuk, J.; et al. In Vivo Follicular and Uterine Arterial Indices as an Indicator of Successful Hormonal Stimulation for Inactive Ovaries in Repeat-Breeder Crossbred Dairy Cows Using a Short-Term Progesterone-Based Programme. Animals 2022, 12, 292. [Google Scholar] [CrossRef]
- Samir, H.; ElSayed, M.I.; Radwan, F.; Hedia, M.; Hendawy, H.; Hendawy, A.O.; Elbadawy, M.; Watanabe, G. An updated insight on testicular hemodynamics: Environmental, physiological, and technical perspectives in farm and companion animals. Vet. Res. Commun. 2023, 47, 323–345. [Google Scholar] [CrossRef]
- Samir, H.; Kandiel, M.M.M. Accuracy of subjective evaluation of luteal blood flow by color Doppler ultrasonography for early diagnosis of pregnancy in Egyptian buffalo. Anim. Reprod. Sci. 2019, 208, 106129. [Google Scholar] [CrossRef] [PubMed]
- Chenault, J.R.; Thatcher, W.W.; Kalra, P.S.; Abrams, R.M.; Wilcox, C.J. Transitory changes in plasma progestins, estradiol, and luteinizing hormone approaching ovulation in the bovine. J. Dairy Sci. 1975, 58, 709–717. [Google Scholar] [CrossRef]
- Pohler, K.G.; Geary, T.W.; Atkins, J.A.; Perry, G.A.; Jinks, E.M.; Smith, M.F. Follicular determinants of pregnancy establishment and maintenance. Cell Tissue Res. 2012, 349, 649–664. [Google Scholar] [CrossRef] [PubMed]
- Perry, G.A.; Smith, M.F.; Lucy, M.C.; Green, J.A.; Parks, T.E.; MacNeil, M.D.; Roberts, A.J.; Geary, T.W. Relationship between follicle size at insemination and pregnancy success. Proc. Natl. Acad. Sci. USA 2005, 102, 5268–5273. [Google Scholar] [CrossRef] [PubMed]
- Samir, H.; Mandour, A.S.; Radwan, F.; Swelum, A.A.; Nagaoka, K.; Sasaki, K.; Watanabe, G. Effect of xylazine sedation on testicular blood flow, testicular echotexture, and circulating hormones in Shiba goats. Vet. Res. Commun. 2022, 47, 849–859. [Google Scholar] [CrossRef] [PubMed]
- Rosenfeld, C.R.; Roy, T.; Cox, B.E. Mechanisms modulating estrogen-induced uterine vasodilation. Vasc. Pharmacol. 2002, 38, 115–125. [Google Scholar] [CrossRef]
- Samir, H.; Karen, A.; Ashmawy, T.; Abo-Ahmed, M.; El-Sayed, M.; Watanabe, G. Monitoring of embryonic and fetal losses in different breeds of goats using real-time B-mode ultrasonography. Theriogenology 2016, 85, 207–215. [Google Scholar] [CrossRef] [PubMed]
- Rajamahendran, R.; Ambrose, D.J.; Burton, B. Clinical and research applications of real-time ultrasonography in bovine reproduction: A review. Can. Vet. J. 1994, 35, 563–572. Available online: https://www.ncbi.nlm.nih.gov/pmc/articles/PMC1686304/ (accessed on 8 January 2023).
- Samir, H.; Radwan, F.; El-Khawagah, A.R.M.; Kandiel, M.; El Sayed, M.A.I.; Elfadadny, A.; Karen, A.; El-Sherbiny, H.R. Ultrasonography and computer-assisted assessment of postpartum uterine echotexture and its relationship with peripheral oxidative stress biomarkers in goats. Small Rumin. Res. 2023, 221, 106947. [Google Scholar] [CrossRef]
- Bollwein, H.; Heppelmann, M.; Lüttgenau, J. Ultrasonographic Doppler use for female reproduction management. Vet. Clin. N. Am. Food Anim. Pract. 2016, 32, 149–164. [Google Scholar] [CrossRef]
- Vecchio, D.; Neglia, G.; Gasparrini, B.; Russo, M.; Pacelli, C.; Prandi, A.; D’Occhio, M.J.; Campanile, G. Corpus luteum development and function and relationship to pregnancy during the breeding season in the Mediterranean buffalo. Theriogenology 2012, 77, 1811–1815. [Google Scholar] [CrossRef]
- Lasheen, M.E.; Badr, H.M.; Kandiel, M.M.M.; Abo El-Maaty, A.M.; Samir, H.; Farouk, M.; Eldawy, M.H. Predicting early pregnancy in Egyptian buffalo cows via measuring uterine and luteal blood flows, and serum and saliva progesterone. Trop. Anim. Health Prod. 2018, 50, 137–142. [Google Scholar] [CrossRef]
- Abdelnaby, E.A. Hemodynamic changes evaluated by Doppler ultrasonographic technology in the ovaries and uterus of dairy cattle after the puerperium. Reprod. Biol. 2020, 20, 202–209. [Google Scholar] [CrossRef]
- Elmetwally, M.; Bollwein, H. Uterine blood flow in sheep and goats during the peri-parturient period assessed by transrectal Doppler sonography. Anim. Reprod. Sci. 2017, 176, 32–39. [Google Scholar] [CrossRef]
- Luo, Y.; Zhu, Y.; Basang, W.; Wang, X.; Li, C.; Zhou, X. Roles of Nitric Oxide in the Regulation of Reproduction: A Review. Front. Endocrinol. 2021, 12, 752410. [Google Scholar] [CrossRef] [PubMed]
- Mitsube, K.; Zackrisson, U.; Brännström, M. Nitric oxide regulates ovarian blood flow in the rat during the periovulatory period. Hum. Reprod. 2002, 17, 2509–2516. [Google Scholar] [CrossRef]
- Patra, M.K.; Kumar, H.; Nandi, S. Neutrophil functions and cytokines expression profile in buffaloes with impending postpartum reproductive disorders. Asian-Australas. J. Anim. Sci. 2013, 26, 1406–1415. [Google Scholar] [CrossRef] [PubMed]
- Rawy, M.; Mido, S.; El-Sheikh Ali, H.; Derar, D.; Megahed, G.; Kitahara, G.; Osawa, T. Effect of exogenous estradiol Benzoate on uterine blood flow in postpartum dairy cows. Anim. Reprod. Sci. 2018, 192, 136–145. [Google Scholar] [CrossRef] [PubMed]
- Kandiel, M.M.; Gad, B.A.; Sosa, G.A.; El-Azab, A.I. Follicular Dynamics and Uterine Status after Synchronization of Ovulation in Early Post-Parturient Egyptian Buffaloes. Buff. Bull. 2013, 32, 165–181. [Google Scholar]
- Abdelnaby, E.A. Hemodynamic changes in arterial flow velocities throughout the first six months of pregnancy in buffalo heifers by Doppler ultrasonography. Asian Pac. J. Reprod. 2020, 9, 204–210. [Google Scholar] [CrossRef]
- El-Sherbiny, H.R.; Samir, H.; El-Shalofy, A.S.; Abdelnaby, E.A. Exogenous L-arginine administration improves uterine vascular perfusion, uteroplacental thickness, steroid concentrations and nitric oxide levels in pregnant buffaloes under subtropical conditions. Reprod. Domest. Anim. 2022, 57, 1493–1504. [Google Scholar] [CrossRef]
- Avenell, J.A.; Saepudin, Y.; Fletcher, I.C. Concentrations of LH, oestradiol-17 beta and progesterone in the peripheral plasma of swamp buffalo cows (Bubalus bubalis) around the time of oestrus. J. Reprod. Fertil. 1985, 74, 419–924. [Google Scholar] [CrossRef]
- El-Sherbiny, H.R.; El-Shalofy, A.S.; Samir, H. Association between body condition score, testicular haemodynamics and echogenicity, nitric oxide levels, and total antioxidant capacity in rams. Ir. Vet. J. 2023, 76, 7. [Google Scholar] [CrossRef] [PubMed]
- El-Shalofy, A.S.; Samir, H.; El-Sherbiny, H.R. Intramuscular administration of l-arginine boosts testicular hemodynamics, plasma concentrations of testosterone and nitric oxide in heat-stressed rams. Theriogenology 2023, 197, 127–132. [Google Scholar] [CrossRef]
- Martinez, M.F.; Kastelic, J.P.; Adams, G.P.; Janzen, E.; McCartney, D.H.; Mapletoft, R.J. Estrus synchronization and pregnancy rates in beef cattle given CIDR-B, prostaglandin and estradiol, or GnRH. Can. Vet. J. 2000, 41, 786–790. Available online: https://www.ncbi.nlm.nih.gov/pmc/articles/PMC1476379/ (accessed on 15 February 2023).
- Jinks, E.M.; Smith, M.F.; Atkins, J.A.; Pohler, K.G.; Perry, G.A.; Macneil, M.D.; Roberts, A.J.; Waterman, R.C.; Alexander, L.J.; Geary, T.W. Preovulatory estradiol and the establishment and maintenance of pregnancy in suckled beef cows. J. Anim. Sci. 2013, 91, 1176–1185. [Google Scholar] [CrossRef]
- Dickinson, S.E.; Geary, T.W.; Monnig, J.M.; Pohler, K.G.; Green, J.A.; Smith, M.F. Effect of preovulatory follicle maturity on pregnancy establishment in cattle: The role of oocyte competence and the maternal environment. Anim. Reprod. 2016, 13, 209–216. [Google Scholar] [CrossRef]
- Madsen, C.A.; Perry, G.A.; Mogck, C.L.; Daly, R.F.; MacNeil, M.D.; Geary, T.W. Effects of preovulatory estradiol on embryo survival and pregnancy establishment in beef cows. Anim. Reprod. Sci. 2015, 158, 96–103. [Google Scholar] [CrossRef] [PubMed]
- Blanco, P.G. Doppler ultrasound in canine pregnancy. J. Ultrasound Med. 2008, 27, 1745–1750. [Google Scholar] [CrossRef] [PubMed]
- Serine, G.; Gokdal, O.; Tarımcılar, T.; Atay, O. Umbilical artery Doppler sonography in Saanen goat fetuses during singleton and multiple pregnancies. Theriogenology 2010, 74, 1082–1087. [Google Scholar] [CrossRef]
- Ginther, O.J. Ultrasonic Imaging and Animal Reproduction. Color-Doppler Ultrasonography; Equiservices Publishing: Cross Plains, WI, USA, 2007. [Google Scholar]
- Samir, H.; Mandour, A.S.; Radwan, F.; Ahmed, A.E.; Momenah, M.A.; Aldawood, N.A.; Yoshida, T.; Watanabe, G.; El-Sherbiny, H.R. Effect of Acute Melatonin Injection on Metabolomic and Testicular Artery Hemodynamic Changes and Circulating Hormones in Shiba Goats under Sub-Tropical Environmental Conditions. Animals 2023, 13, 1794. [Google Scholar] [CrossRef]
- Dickey, R.P. Doppler ultrasound investigation of uterine and ovarian blood flow in infertility and early pregnancy. Hum. Reprod. Update 1997, 3, 467–503. [Google Scholar] [CrossRef]
- Jaffe, R. Colour Doppler imaging in the evaluation of normal and abnormal early uteroplacental circulation and gestational outcomes. Theriogenology 1995, 43, 121–127. [Google Scholar] [CrossRef]
- Varughese, E.E.; Brar, P.S.; Dhindsa, S.S. Uterine blood flow during various stages of pregnancy in dairy buffaloes using transrectal Doppler ultrasonography. Anim. Reprod. Sci. 2013, 140, 34–39. [Google Scholar] [CrossRef] [PubMed]
- Bollwein, H.; Schulze, J.J.; Miyamoto, A.; Sieme, H. Testicular blood flow and plasma concentrations of testosterone and total estrogen in the stallion after the administration of human chorionic gonadotropin. J. Reprod. Dev. 2008, 54, 335–339. [Google Scholar] [CrossRef] [PubMed]
- Samir, H.; Radwan, F.; Watanabe, G. Advances in applications of color Doppler ultrasonography in the andrological assessment of domestic animals: A review. Theriogenology 2021, 161, 252–261. [Google Scholar] [CrossRef]
- Dysart, L.M.; Messman, R.D.; Crouse, A.A.; Lemley, C.O.; Larson, J.E. Effects of Administration of Exogenous Estradiol Benzoate on Follicular, Luteal, and Uterine Hemodynamics in Beef Cows. Anim. Reprod. Sci. 2021, 232, 106817. [Google Scholar] [CrossRef]
- Samir, H.; Nyametease, P.; Elbadawy, M.; Fathi, M.; Mandour, A.S.; Radwan, F.; Nagaoka, K.; Sasaki, K.; Watanabe, G. Assessment of correlations and concentrations of salivary and plasma steroids, testicular morphometry, and semen quality in different climatic conditions in goats. Theriogenology 2020, 157, 238–244. [Google Scholar] [CrossRef]
- Stice, S.; Ford, S.; Rosazza, J.; Van Orden, D. Role of 4-hydroxylated estradiol in reducing Ca2+ uptake of uterine arterial smooth muscle cells through potential-sensitive channels. Biol. Reprod. 1987, 36, 361–368. [Google Scholar] [CrossRef]
- Lissbrant, E.; Lofmark, U.; Collin, O.; Bergh, A. Is nitric oxide involved in the regulation of the rat testicular vasculature? Biol. Reprod. 1997, 56, 1221–1227. [Google Scholar] [CrossRef]
- Paulis, L.; Simko, F. Blood pressure modulation and cardiovascular protection by melatonin: Potential mechanisms behind. Physiol. Res. 2007, 56, 6671–6684. [Google Scholar] [CrossRef]
- Sanders, D.B.; Kelley, T.; Larson, D. The Role of Nitric Oxide Synthase/Nitric Oxide in Vascular Smooth Muscle Control. Perfusion 2000, 15, 97–104. [Google Scholar] [CrossRef]
- Chen, K.; Pittman, R.N.; Popel, A.S. Nitric oxide in the vasculature: Where does it come from and where does it go? A quantitative perspective. Antioxid. Redox Signal. 2008, 10, 1185–1198. [Google Scholar] [CrossRef] [PubMed]
- Barnes, M.J.; Lapanowski, K.; Rafols, J.A.; Lawson, D.M.; Dunbar, J.C. Chronic Nitric Oxide Deficiency Is Associated with Altered Leutinizing Hormone and Follicle-Stimulating Hormone Release in Ovariectomized Rats. Exp. Biol. Med. 2002, 227, 817–822. [Google Scholar] [CrossRef] [PubMed]
- Krueger, L.; Koerte, J.; Tsousis, G.; Herzog, K.; Flachowsky, G.; Bollwein, H. Transrectal Doppler Sonography of Uterine Blood Flow during the First 12 Weeks after Parturition in Healthy Dairy Cows. Anim. Reprod. Sci. 2009, 114, 23–31. [Google Scholar] [CrossRef] [PubMed]






Disclaimer/Publisher’s Note: The statements, opinions and data contained in all publications are solely those of the individual author(s) and contributor(s) and not of MDPI and/or the editor(s). MDPI and/or the editor(s) disclaim responsibility for any injury to people or property resulting from any ideas, methods, instructions or products referred to in the content. |
© 2023 by the authors. Licensee MDPI, Basel, Switzerland. This article is an open access article distributed under the terms and conditions of the Creative Commons Attribution (CC BY) license (https://creativecommons.org/licenses/by/4.0/).
Share and Cite
Samir, H.; El-Sherbiny, H.R.; Ahmed, A.E.; Ahmad Sindi, R.; Al Syaad, K.M.; Abdelnaby, E.A. Administration of Estradiol Benzoate Enhances Ovarian and Uterine Hemodynamics in Postpartum Dairy Buffaloes. Animals 2023, 13, 2340. https://doi.org/10.3390/ani13142340
Samir H, El-Sherbiny HR, Ahmed AE, Ahmad Sindi R, Al Syaad KM, Abdelnaby EA. Administration of Estradiol Benzoate Enhances Ovarian and Uterine Hemodynamics in Postpartum Dairy Buffaloes. Animals. 2023; 13(14):2340. https://doi.org/10.3390/ani13142340
Chicago/Turabian StyleSamir, Haney, Hossam R. El-Sherbiny, Ahmed Ezzat Ahmed, Ramya Ahmad Sindi, Khalid M. Al Syaad, and Elshymaa A. Abdelnaby. 2023. "Administration of Estradiol Benzoate Enhances Ovarian and Uterine Hemodynamics in Postpartum Dairy Buffaloes" Animals 13, no. 14: 2340. https://doi.org/10.3390/ani13142340
APA StyleSamir, H., El-Sherbiny, H. R., Ahmed, A. E., Ahmad Sindi, R., Al Syaad, K. M., & Abdelnaby, E. A. (2023). Administration of Estradiol Benzoate Enhances Ovarian and Uterine Hemodynamics in Postpartum Dairy Buffaloes. Animals, 13(14), 2340. https://doi.org/10.3390/ani13142340

