Should I Stay or Should I Go? Seasonal Fluctuations of Wood Mouse Populations in Fields Surrounded by Woodlands
Abstract
Simple Summary
Abstract
1. Introduction
2. Materials and Methods
2.1. Study Area
2.2. Study Design
2.3. Statistical Analyses
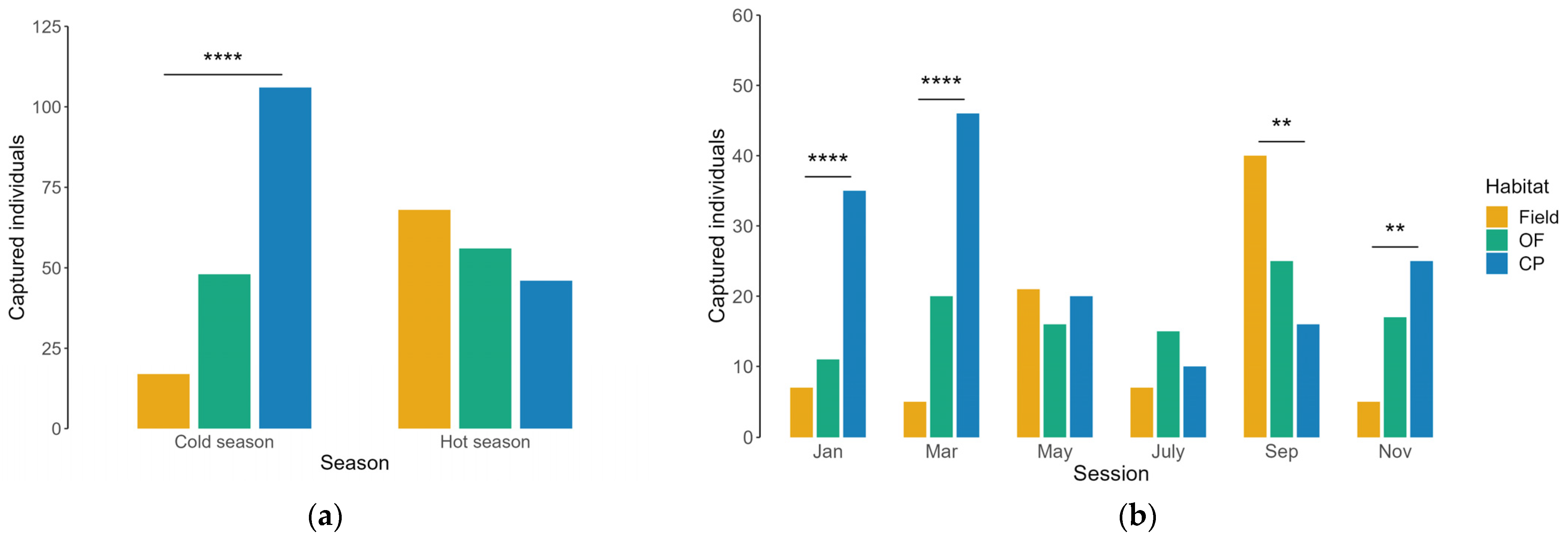
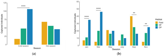
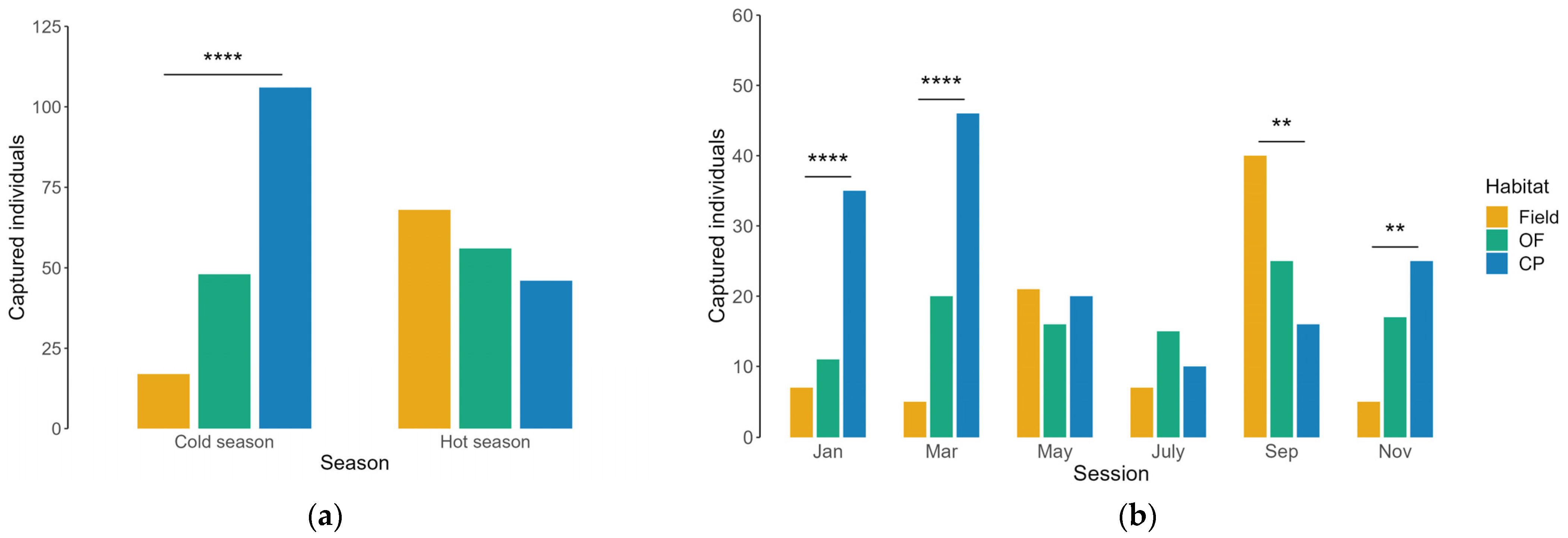
3. Results
4. Discussion
5. Conclusions
Supplementary Materials
Author Contributions
Funding
Institutional Review Board Statement
Informed Consent Statement
Data Availability Statement
Acknowledgments
Conflicts of Interest
References
- Rosalino, L.M.; Ferreira, D.; Leitão, I.; Santos-Reis, M. Usage patterns of Mediterranean agro-forest habitat components by wood mice Apodemus sylvaticus. Mamm. Biol. 2011, 76, 268–273. [Google Scholar] [CrossRef]
- Macdonald, D.W.; Feber, R.E.; Tattersall, F.H.; Johnson, P.J. Ecological experiments in farmland conservation. In The Ecological Consequences of Environmental Heterogeneity; Hutchings, M., John, E., Stewart, A., Eds.; Oxford University Press: Oxford, UK, 2000; pp. 357–378. [Google Scholar]
- Mukherjee, S.; Goyal, S.P.; Johnsingh, A.J.T.; Pitman, M.R.P.L. The importance of rodents in the Diet of jungle cat (Felis chaus), caracal (Caracal caracal) and golden jackal (Canis aureus) in Sariska Tiger Reserve, Rajasthan, India. J. Zool. 2004, 262, 405–411. [Google Scholar] [CrossRef]
- Karell, P.; Ahola, K.; Karstinen, T.; Zolei, A.; Brommer, J.E. Population dynamics in a cyclic environment: Consequences of cyclic food abundance on tawny owl reproduction and survival. J. Anim. Ecol. 2009, 78, 1050–1062. [Google Scholar] [CrossRef] [PubMed]
- Pavey, C.R.; Nano, C.E.M. Changes in richness and abundance of rodents and native predators in response to extreme rainfall in arid australia. Austral Ecol. 2013, 38, 777–785. [Google Scholar] [CrossRef]
- Price, M.V.; Jenkins, S.H. Rodents as seeds consumers and dispersers. In Seed Dispersal; Murray, D.R., Ed.; Academic Press: Orlando, FL, USA, 1986; pp. 191–235. [Google Scholar]
- Sone, K.; Hiroi, S.; Nagahama, D. Hoarding of acorns by granivorous mice and its role in the population processes of Pasania edulis (Makino) Makino. Ecol. Res. 2002, 17, 553–564. [Google Scholar] [CrossRef]
- Ferrari, G.; Girardi, M.; Cagnacci, F.; Devineau, O.; Tagliapietra, V. First record of Hepatozoon spp. in alpine wild rodents: Implications and perspectives for transmission dynamics across the food web. Microorganisms 2022, 10, 712. [Google Scholar] [CrossRef]
- Dahmana, H.; Granjon, L.; Diagne, C.; Davoust, B.; Fenollar, F.; Mediannikov, O. Rodents as hosts of pathogens and related zoonotic disease risk. Pathogens 2020, 9, 202. [Google Scholar] [CrossRef]
- Pollard, E.; Relton, J.; Hedges, V. A study of small mammals in hedges and cultivated fields. J. Appl. Ecol. 1970, 7, 899–912. [Google Scholar] [CrossRef]
- Ylonen, H. Seasonal dynamics of small mammals in an isolated woodlot and its agricultiral surrondings. Ann. Zool. Fennici 1991, 28, 7–14. [Google Scholar]
- Butet, A.; Paillat, G.; Delettre, Y. Factors driving small rodents assemblages from field boundaries in agricultural landscapes of Western France. Landsc. Ecol. 2006, 21, 449–461. [Google Scholar] [CrossRef]
- Wilson, A.C.; Fenton, B.; Malloch, G.; Boag, B.; Hubbard, S.; Begg, G.S. Coexisting small mammals display contrasting strategies for tolerating instability in arable habitat. Eur. J. Wildl. Res. 2014, 60, 811–820. [Google Scholar] [CrossRef]
- Abt, K.F.; Bock, W.F. Seasonal variations of diet composition in farmland field mice Apodemus spp. and bank voles Clethrionomys glareolus. Acta Theriol. 1998, 43, 379–389. [Google Scholar] [CrossRef]
- Bencini, C.; Bartolommei, P.; Bonacchi, A.; Cinque, C.; Gasperini, S.; Manzo, E.; Cozzolino, R. Molecular insights into the dietary habits of ground-dwelling mediterranean rodents. In Proceedings of the IV Convegno Italiano sui Piccoli Mammiferi, Grosseto, Italy, 31 March 2023. [Google Scholar]
- Bontzorlos, V.A.; Peris, S.J.; Vlachos, C.G.; Bakaloudis, D.E. The diet of barn owl in the agricultural landscapes of Central Greece. Folia Zool. 2005, 54, 99–110. [Google Scholar]
- Carvalho, J.C.; Gomes, P. Feeding resource partitioning among four sympatric carnivores in the Peneda-Gerês National Park (Portugal). J. Zool. 2004, 263, 275–283. [Google Scholar] [CrossRef]
- Padial, J.M.; Âvila, E.; Sánchez, J.M. Feeding habits and overlap among red fox (Vulpes Vulpes) and stone marten (Martes Foina) in two Mediterranean mountain habitats. Mamm. Biol. 2002, 67, 137–146. [Google Scholar] [CrossRef]
- Ouin, A.; Paillat, G.; Butet, A.; Burel, F. Spatial dynamics of wood mouse (Apodemus sylvaticus) in an agricultural landscape under intensive use in the Mont Saint Michel Bay (France). Agric. Ecosyst. Environ. 2000, 78, 159–165. [Google Scholar] [CrossRef]
- Todd, I.A.; Tew, T.E.; Macdonald, D.W. Arable habitat use by wood mice (Apodemus sylvaticus). 1. Macrohabitat. J. Zool. 2000, 250, 299–303. [Google Scholar] [CrossRef]
- Tattersall, F.H.; Macdonald, D.W.; Hart, B.J.; Manley, W.J.; Feber, R.E. Habitat use by wood mice (Apodemus sylvaticus) in a changeable arable landscape. J. Zool. 2001, 255, 478–494. [Google Scholar] [CrossRef]
- Occhiuto, F.; Mohallal, E.; Gilfillan, G.D.; Lowe, A.; Reader, T. Seasonal patterns in habitat use by the harvest mouse (Micromys minutus) and other small mammals. Mammalia 2021, 85, 325–335. [Google Scholar] [CrossRef]
- Schoener, T.W. Resource partitioning in ecological communities. Science 1974, 185, 27–39. [Google Scholar] [CrossRef]
- Begon, M.; Townsend, C.R.; Harper, J.L. Ecology: From Individuals to Ecosystems, 4th ed.; Blackwell: Oxford, UK, 2006. [Google Scholar]
- Liu, C.; Sibly, R.M.; Grimm, V.; Thorbek, P. Linking pesticide exposure and spatial dynamics: An individual-based model of wood mouse (Apodemus sylvaticus) populations in agricultural landscapes. Ecol. Modell. 2013, 248, 92–102. [Google Scholar] [CrossRef]
- Malo, A.F.; Godsall, B.; Prebble, C.; Grange, Z.; McCandless, S.; Taylor, A.; Coulson, T. Positive effects of an invasive shrub on aggregation and abundance of a native small rodent. Behav. Ecol. 2013, 24, 759–767. [Google Scholar] [CrossRef]
- Martineau, J.; Pothier, D.; Fortin, D. Processes driving short-term temporal dynamics of small mammal distribution in human-disturbed environments. Oecologia 2016, 181, 831–840. [Google Scholar] [CrossRef] [PubMed]
- Van Horne, B. Density as a misleading indicator of habitat quality. J. Wildl. Manag. 1983, 47, 893–901. [Google Scholar] [CrossRef]
- Navarro-Castilla, Á.; Barja, I. Stressful living in lower-quality habitats? Body mass, feeding behavior and physiological stress levels in wild wood mouse populations. Integr. Zool. 2019, 14, 114–126. [Google Scholar] [CrossRef]
- Gasperini, S.; Mortelliti, A.; Bartolommei, P.; Bonacchi, A.; Manzo, E.; Cozzolino, R. Forest ecology and management effects of forest management on density and survival in three forest rodent species. For. Ecol. Manag. 2016, 382, 151–160. [Google Scholar] [CrossRef]
- Gasperini, S.; Bonacchi, A.; Bartolommei, P.; Manzo, E.; Cozzolino, R. Seasonal cravings: Plant food preferences of syntopic small mammals. Ethol. Ecol. Evol. 2018, 30, 12–25. [Google Scholar] [CrossRef]
- Chang, J.; Ciais, P.; Viovy, N.; Soussana, J.F.; Klumpp, K.; Sultan, B. Future productivity and phenology changes in European grasslands for different warming levels: Implications for grassland management and carbon balance. Carbon Balance Manag. 2017, 12, 11. [Google Scholar] [CrossRef]
- Kottek, M.; Grieser, J.; Beck, C.; Rudolf, B.; Rubel, F. World map of the Köppen-Geiger climate classification updated. Meteorol. Zeitschrift 2006, 15, 259–263. [Google Scholar] [CrossRef] [PubMed]
- Tognetti, R.; Cherubini, P.; Marchi, S.; Raschi, A. Leaf traits and tree rings suggest different water-use and carbon assimilation strategies by two co-occurring Quercus species in a Mediterranean mixed-forest stand in Tuscany, Italy. Tree Physiol. 2007, 27, 1741–1751. [Google Scholar] [CrossRef] [PubMed]
- Angiolini, C.; Landi, M.; Salerni, E.; Perini, C.; Piazzini, S.; Frignani, F.; Amici, V.; Geri, F.; Leonardi, P.; Pecoraro, L.; et al. Piano di Gestione Naturalistico della Riserva Naturale di Cornocchia; Corpo forestale dello Stato, Ufficio Territoriale Per la Biodiversità di Siena: Siena, Italy, 2011. [Google Scholar]
- Bonacchi, A. Distribuzione di Micromammiferi Terricoli in Italia Centrale: Un Caso di Studio. Master’s Thesis, Università degli Studi di Genova, Genoa, Italy, 2014. [Google Scholar]
- Gurnell, J.; Flowerdew, J.R. Live Trapping Small Mammals: A Practical Guide; Mammal Society: London, UK, 2006. [Google Scholar]
- Navarro-Castilla, Á.; Barja, I. Antipredatory response and food intake in wood mice (Apodemus sylvaticus) under simulated predation risk by resident and novel carnivorous predators. Ethology 2014, 120, 90–98. [Google Scholar] [CrossRef]
- Wever, K.E.; Geessink, F.J.; Brouwer, M.A.E.; Tillema, A.; Ritskes-Hoitinga, M. A systematic review of discomfort due to toe or ear clipping in laboratory rodents. Lab. Anim. 2017, 51, 583–600. [Google Scholar] [CrossRef] [PubMed]
- Bartolommei, P.; Sozio, G.; Bencini, C.; Cinque, C.; Gasperini, S. Field identification of Apodemus flavicollis and Apodemus sylvaticus: A quantitative comparison of different biometric measurements. Mammalia 2015, 80, 541–547. [Google Scholar] [CrossRef]
- Michaux, J.R.; Kinet, S.; Filippucci, M.G.; Libois, R.; Besnard, A. Catzeflis, F. Molecular identification of three sympatric species of wood mice (Apodemus sylvaticus, A. flavicollis, A. alpicola) in western Europe (Muridae: Rodentia). Mol. Ecol. Notes 2001, 1, 260–263. [Google Scholar] [CrossRef]
- Tew, T.E.; Macdonald, D.W. The effects of harvest on arable wood mice Apodemus sylvaticus. Biol. Conserv. 1993, 65, 279–283. [Google Scholar] [CrossRef]
- Benedek, A.M.; Sîrbu, I. Responses of small mammal communities to environment and agriculture in a rural mosaic landscape. Mamm. Biol. 2018, 90, 55–65. [Google Scholar] [CrossRef]
- Panzacchi, M.; Linnell, J.D.C.; Melis, C.; Odden, M.; Odden, J.; Gorini, L.; Andersen, R. Effect of land-use on small mammal abundance and diversity in a forest—farmland mosaic landscape in South-Eastern Norway. For. Ecol. Manag. 2010, 259, 1536–1545. [Google Scholar] [CrossRef]
- Rajska-Jurgiel, E.; Mazurkiewicz, M. “Single-Capture” Rodents: Vagrants or just newly weaned young? Acta Theriol. 2000, 45, 485–490. [Google Scholar] [CrossRef]
- Sokal, R.R.; Rohlf, J.R. Biometry: The Principles and Practice of Statistic in Biological Research, 3rd ed.; WH Freeman and Company: New York, NY, USA, 1997. [Google Scholar]
- Zar, J.H. Biostatistical Analysis; Prentice Hall: Hoboken, NJ, USA, 2010. [Google Scholar]
- Green, N.S.; Wilkins, K.T. Habitat associations of the rodent community in a grand prairie preserve. Southwest. Nat. 2014, 59, 349–355. [Google Scholar] [CrossRef]
- R Core Team. A Language and Environment for Statistical Computing. R: A Language and Environment for Statistical Computing; R Foundation for Statistical Computing: Vienna, Austria. Available online: https://www.R-project.org/ (accessed on 10 January 2022).
- Wickham, H.; Averick, M.; Bryan, J.; Chang, W.; McGowan, L.D.; François, R.; Grolemund, G.; Hayes, A.; Henry, L.; Hester, J.; et al. Welcome to the Tidyverse. J. Open Sourc. Softw. 2019, 4, 1686. [Google Scholar] [CrossRef]
- Wickham, H. ggplot2: Elegant Graphics for Data Analysis; Springer: New York, NY, USA, 2009. [Google Scholar]
- Pulliam, H.R.; Danielson, B.J. Sources, sinks, and habitat selection: A landscape perspective on population dynamics. Am. Nat. 1991, 137, 50–66. [Google Scholar] [CrossRef]
- Lin, Y.T.K.; Batzli, G.O. The influence of habitat quality on dispersal, demography, and population dynamics of voles. Ecol. Monogr. 2001, 71, 245–275. [Google Scholar] [CrossRef]
- Janova, E.; Heroldova, M.; Konecny, A.; Bryja, J. Traditional and diversified crops in south Moravia (czech republic): Habitat preferences of common vole and mice species. Mamm. Biol. 2011, 76, 570–576. [Google Scholar] [CrossRef]
- Fernandez, F.A.S.; Dunstone, N.; Evans, P.R. Population dynamics of the wood mouse Apodemus sylvaticus (Rodentia: Muridae) in a Sitka spruce successional mosaic. J. Zool. 1996, 239, 717–730. [Google Scholar] [CrossRef]
- Díaz, M.; Torre, I.; Arrizabalaga, A. Relative Roles of Density and Rainfall on the Short-Term Regulation of Mediterranean Wood Mouse Apodemus Sylvaticus Populations. Acta Theriol. 2010, 55, 251–260. [Google Scholar] [CrossRef]
- Janova, E.; Heroldova, M. Response of small mammals to variable agricultural landscapes in Central Europe. Mamm. Biol. 2016, 81, 488–493. [Google Scholar] [CrossRef]
- Sunyer, P.; Muñoz, A.; Mazerolle, M.J.; Bonal, R.; Espelta, J.M. Wood mouse population dynamics: Interplay among seed abundance seasonality, shrub cover and wild boar interference. Mamm. Biol. 2016, 81, 372–379. [Google Scholar] [CrossRef]
- Mortelliti, A.; Sozio, G. Empirical evaluation of the strength of interspecific competition in shaping small mammal communities in fragmented landscapes. J. Geotech. Geoenviron. Eng. ASCE 2015, 120, 259. [Google Scholar]
- Bonacchi, A.; Bartolommei, P.; Gasperini, S.; Manzo, E.; Cozzolino, R. Acorn choice by small mammals in a Mediterranean deciduous oak forest. Ethol. Ecol. Evol. 2017, 29, 105–118. [Google Scholar] [CrossRef]
- Hansson, L. The food of bank voles, wood mice and yellow-necked mice. Symp Zool Soc Lond. 1985, 55, 141–168. [Google Scholar]
- Corbet, G.B.; Harris, S. The Handbook of British Mammals, 3rd ed.; Blackwell Sciences Ltd.: London, UK, 1981. [Google Scholar]
- Khammes, N.; Aulagnier, S. Diet of the wood mouse Apodemus sylvaticus in three biotopes of Kabylie of Djurdjura (Algeria). Folia Zool. 2007, 56, 243–252. [Google Scholar]
- Sunyer, P.; Espelta, J.M.; Bonal, R.; Muñoz, A. Seeding phenology influences wood mouse seed choices: The overlooked role of timing in the foraging decisions by seed-dispersing rodents. Behav. Ecol. Sociobiol. 2014, 68, 1205–1213. [Google Scholar] [CrossRef]
- Unnsteinsdottir, E.R.; Hersteinsson, P. Effects of Contrasting Habitats on Population Parameters and Diet of Apodemus Sylvaticus (Rodentia) in South-Western Iceland. Mammalia 2011, 75, 13–21. [Google Scholar] [CrossRef]
- Alcántara, M.; Díaz, M. Patterns of body weight, body size, and body condition in the wood mouse Apodemus sylvaticus L.: Effects of sex and habitat quality. In Proceedings of the 1st European Congress of Mammology; Museu Bocage: Lisboa, Portugal, 1996; pp. 141–149. [Google Scholar]
- Montgomery, W.I. Population regulation in the wood mouse, Apodemus sylvaticus. I. Density-dependence in the annual cycle of abundance. J. Anim. Ecol. 1989, 58, 465–475. [Google Scholar] [CrossRef]
- Mallorie, H.; Flowerdew, J.R. Woodland small mammal population ecology in Britain. A preliminary review of the Mammal Society survey of wood mice (Apodemus sylvaticus) and bank voles (Clethrionomys glareolus). Mammal. Rev. 1994, 24, 1–15. [Google Scholar] [CrossRef]
- Torre, I.; Arrizabalaga, A.; Díaz, M. Ratón de campo (Apodemus sylvaticus Linnaeus, 1758). Galemys 2002, 14, 1–26. [Google Scholar]
- Canova, L.; Maistrello, L.; Emiliani, D. Comparative ecology of the wood mouse Apodemus sylvaticus in two differing habitats. Z. Saugetierkd 1994, 59, 193–198. [Google Scholar]





Disclaimer/Publisher’s Note: The statements, opinions and data contained in all publications are solely those of the individual author(s) and contributor(s) and not of MDPI and/or the editor(s). MDPI and/or the editor(s) disclaim responsibility for any injury to people or property resulting from any ideas, methods, instructions or products referred to in the content. |
© 2023 by the authors. Licensee MDPI, Basel, Switzerland. This article is an open access article distributed under the terms and conditions of the Creative Commons Attribution (CC BY) license (https://creativecommons.org/licenses/by/4.0/).
Share and Cite
Savazza, S.; Bartolommei, P.; Gasperini, S.; Bonacchi, A.; Manzo, E.; Cozzolino, R. Should I Stay or Should I Go? Seasonal Fluctuations of Wood Mouse Populations in Fields Surrounded by Woodlands. Animals 2023, 13, 2017. https://doi.org/10.3390/ani13122017
Savazza S, Bartolommei P, Gasperini S, Bonacchi A, Manzo E, Cozzolino R. Should I Stay or Should I Go? Seasonal Fluctuations of Wood Mouse Populations in Fields Surrounded by Woodlands. Animals. 2023; 13(12):2017. https://doi.org/10.3390/ani13122017
Chicago/Turabian StyleSavazza, Sara, Paola Bartolommei, Stefania Gasperini, Andrea Bonacchi, Emiliano Manzo, and Roberto Cozzolino. 2023. "Should I Stay or Should I Go? Seasonal Fluctuations of Wood Mouse Populations in Fields Surrounded by Woodlands" Animals 13, no. 12: 2017. https://doi.org/10.3390/ani13122017
APA StyleSavazza, S., Bartolommei, P., Gasperini, S., Bonacchi, A., Manzo, E., & Cozzolino, R. (2023). Should I Stay or Should I Go? Seasonal Fluctuations of Wood Mouse Populations in Fields Surrounded by Woodlands. Animals, 13(12), 2017. https://doi.org/10.3390/ani13122017

