Screening of Candidate Housekeeping Genes in Uterus Caruncle by RNA-Sequence and qPCR Analyses in Different Stages of Goat (Capra hircus)
Abstract
Simple Summary
Abstract
1. Introduction
2. Materials and Methods
2.1. Ethics Statement
2.2. Animals and Sample Harvesting
2.3. RNA Extraction and cDNA Synthesis
2.4. Selection of Candidate Reference Genes
2.5. Quantitative Real-Time PCR (qRT-PCR) Analysis
2.6. Analysis of the Expression Stability for Candidate Reference Genes
2.7. Validation of HKGs
3. Results
3.1. Selection of HKGs Using RNA-Seq Data
3.2. Amplification Specificity and Efficiency of the HKGs and Target Genes
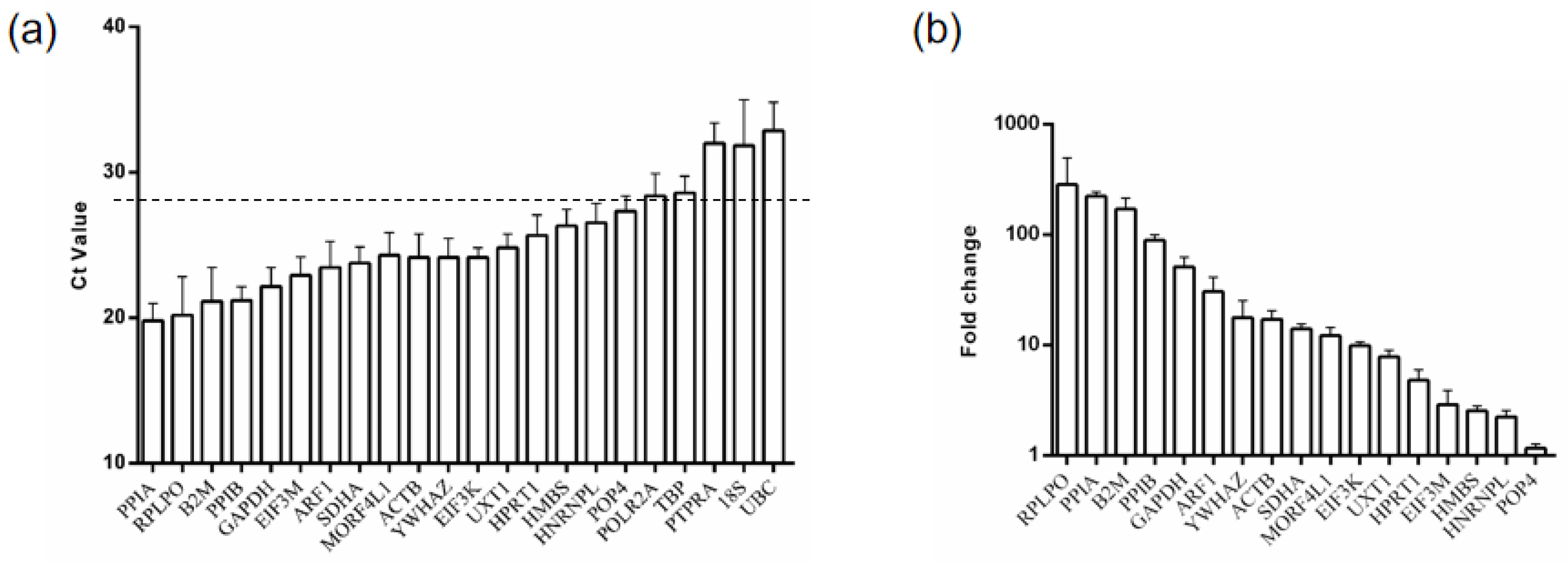
3.3. Expression Profiling of the HKGs
3.4. Stability Analysis of HKGs by Four Algorithms
3.4.1. Expression Stability of the HKGs by Delta Ct Analysis
3.4.2. Expression Stability of the HKGs by BestKeeper Analysis
3.4.3. Expression Stability of the HKGs by NormFinder Analysis
3.4.4. Expression Stability of the HKGs by geNorm Analysis
3.5. A Comprehensive Ranking of Four Methods
3.6. Validation the Stability of HKGs with Target Genes
4. Discussion
5. Conclusions
Supplementary Materials
Author Contributions
Funding
Institutional Review Board Statement
Informed Consent Statement
Data Availability Statement
Acknowledgments
Conflicts of Interest
References
- Pere, M.C. Maternal and fetal blood-levels of glucose, lactate, fructose, and insulin in the conscious pig. J. Anim. Sci. 1995, 73, 2994–2999. [Google Scholar] [CrossRef] [PubMed]
- Talpur, F.N.; Bhanger, M.I.; Sherazi, S.T. Intramuscular fatty acid profile of longissimus dorsi and semitendinosus muscle from Pateri goats fed under traditional feeding system of Sindh, Pakistan. Meat Sci. 2008, 80, 819–822. [Google Scholar] [CrossRef] [PubMed]
- Reynolds, L.P.; Redmer, D.A. Angiogenesis in the placenta. Biol. Reprod. 2001, 64, 1033–1040. [Google Scholar] [CrossRef]
- Miri, K.; Varmuza, S. Imprinting and Extraembryonic Tissues-Mom Takes Control. Int. Rev. Cell Mol. Biol. 2009, 276, 215–262. [Google Scholar] [CrossRef]
- Zheng, C.Y.; Zou, X.; Zhao, B.C.; Zhang, M.L.; Lin, H.J.; Luo, C.H.; Xu, Z.M.; Shao, L.Y.; Fu, S.X. miRNA-185 regulates retained fetal membranes of cattle by targeting STIM1. Theriogenology 2019, 126, 166–171. [Google Scholar] [CrossRef]
- McNaughton, A.P.; Murray, R.D. Structure and function of the bovine fetomaternal unit in relation to the causes of retained fetal membranes. Vet. Rec. 2009, 165, 615–622. [Google Scholar] [CrossRef] [PubMed]
- Vandesompele, J.; De Preter, K.; Pattyn, F.; Poppe, B.; Van Roy, N.; De Paepe, A.; Speleman, F. Accurate normalization of real-time quantitative RT-PCR data by geometric averaging of multiple internal control genes. Genome Biol. 2002, 3, research0034.1. [Google Scholar] [CrossRef]
- Andersen, C.L.; Jensen, J.L.; Orntoft, T.F. Normalization of real-time quantitative reverse transcription-PCR data: A model-based variance estimation approach to identify genes suited for normalization, applied to bladder and colon cancer data sets. Cancer Res. 2004, 64, 5245–5250. [Google Scholar] [CrossRef]
- Pfaffl, M.W.; Tichopad, A.; Prgomet, C.; Neuvians, T.P. Determination of stable housekeeping genes, differentially regulated target genes and sample integrity: BestKeeper—Excel-based tool using pair-wise correlations. Biotechnol. Lett. 2004, 26, 509–515. [Google Scholar] [CrossRef]
- Silver, N.; Best, S.; Jiang, J.; Thein, S.L. Selection of housekeeping genes for gene expression studies in human reticulocytes using real-time PCR. BMC Mol. Biol. 2006, 7, 33. [Google Scholar] [CrossRef]
- Xie, F.L.; Xiao, P.; Chen, D.L.; Xu, L.; Zhang, B.H. miRDeepFinder: A miRNA analysis tool for deep sequencing of plant small RNAs. Plant Mol. Biol. 2012, 80, 75–84. [Google Scholar] [CrossRef] [PubMed]
- Zhang, J.P.; Deng, C.C.; Li, J.L.; Zhao, Y.J. Transcriptome-based selection and validation of optimal house-keeping genes for skin research in goats (Capra hircus). BMC Genom. 2020, 21, 493. [Google Scholar] [CrossRef]
- Wang, L.J.; Chen, X.Y.; Song, T.Z.; Zhang, X.J.; Zhan, S.Y.; Cao, J.X.; Zhong, T.; Guo, J.Z.; Li, L.; Zhang, H.P.; et al. Using RNA-Seq to Identify Reference Genes of the Transition from Brown to White Adipose Tissue in Goats. Animals 2020, 10, 1626. [Google Scholar] [CrossRef] [PubMed]
- Sahu, A.R.; Wani, S.A.; Saxena, S.; Rajak, K.K.; Chaudhary, D.; Sahoo, A.P.; Khanduri, A.; Pandey, A.; Mondal, P.; Malla, W.A.; et al. Selection and validation of suitable reference genes for qPCR gene expression analysis in goats and sheep under Peste des petits ruminants virus (PPRV), lineage IV infection. Sci. Rep. 2018, 8, 15969. [Google Scholar] [CrossRef] [PubMed]
- Hassanpour, H.; Aghajani, Z.; Bahadoran, S.; Farhadi, N.; Nazari, H.; Kaewduangta, W. Identification of reliable reference genes for quantitative real-time PCR in ovary and uterus of laying hens under heat stress. Stress Int. J. Biol. Stress 2019, 22, 387–394. [Google Scholar] [CrossRef]
- Du, M.; Wang, X.; Yue, Y.W.; Zhou, P.Y.; Yao, W.; Li, X.; Ding, X.B.; Liu, X.F.; Guo, H.; Ma, W.Z. Selection of reference genes in canine uterine tissues. Genet. Mol. Res. 2016, 15, gmr.15028138. [Google Scholar] [CrossRef]
- Zhu, W.Z.; Lin, Y.Q.; Liao, H.H.; Wang, Y. Selection of Reference Genes for Gene Expression Studies Related to Intramuscular Fat Deposition in Capra hircus Skeletal Muscle. PLoS ONE 2015, 10, e0121280. [Google Scholar] [CrossRef]
- Brown, A.J.; Gibson, S.; Hatton, D.; James, D.C. Transcriptome-Based Identification of the Optimal Reference CHO Genes for Normalisation of qPCR Data. Biotechnol. J. 2018, 13, 1700259. [Google Scholar] [CrossRef]
- Wisnieski, F.; Calcagno, D.Q.; Leal, M.F.; dos Santos, L.C.; Gigek, C.D.; Chen, E.S.; Pontes, T.B.; Assumpcao, P.P.; de Assumpcao, M.B.; Demachki, S.; et al. Reference genes for quantitative RT-PCR data in gastric tissues and cell lines. World J. Gastroenterol. 2013, 19, 7121–7128. [Google Scholar] [CrossRef]
- Bonnet, M.; Bernard, L.; Bes, S.; Leroux, C. Selection of reference genes for quantitative real-time PCR normalisation in adipose tissue, muscle, liver and mammary gland from ruminants. Animal 2013, 7, 1344–1353. [Google Scholar] [CrossRef]
- Zhao, L.; Yang, H.L.; Li, X.C.; Zhou, Y.M.; Liu, T.L.; Zhao, Y.J. Transcriptome-based selection and validation of optimal reference genes in perirenal adipose developing of goat (Capra hircus). Front. Vet. Sci. 2022, 9, 1055866. [Google Scholar] [CrossRef] [PubMed]
- Livak, K.J.; Schmittgen, T.D. Analysis of relative gene expression data using real-time quantitative PCR and the 2(T)(-Delta Delta C) method. Methods 2001, 25, 402–408. [Google Scholar] [CrossRef] [PubMed]
- Mylvaganam, S.; Zhang, L.; Wu, C.P.; Zhang, Z.J.; Samoilova, M.; Eubanks, J.; Carlen, P.L.; Poulter, M.O. Hippocampal seizures alter the expression of the pannexin and connexin transcriptome. J. Neurochem. 2010, 112, 92–102. [Google Scholar] [CrossRef]
- Cao, X.M.; Luo, X.G.; Liang, J.H.; Zhang, C.; Meng, X.P.; Guo, D.W. Critical selection of internal control genes for quantitative real-time RT-PCR studies in lipopolysaccharide-stimulated human THP-1 and K562 cells. Biochem. Biophys. Res. Commun. 2012, 427, 366–372. [Google Scholar] [CrossRef] [PubMed]
- Wang, G.-H.; Wang, S.-H.; Zhang, W.-Z.; Liang, C.-C.; Cheng, G.; Wang, X.-Y.; Zhang, Y.; Zan, L.-S. Analysis of stability of reference genes for qPCR in bovine preadipocytes during proliferation and differentiation in vitro. Gene 2022, 830, 146502. [Google Scholar] [CrossRef]
- Saremi, B.; Sauerwein, H.; Daenicke, S.; Mielenz, M. Technical note: Identification of reference genes for gene expression studies in different bovine tissues focusing on different fat depots. J. Dairy Sci. 2012, 95, 3131–3138. [Google Scholar] [CrossRef]
- Solano, M.E.; Thiele, K.; Kowal, M.K.; Arck, P.C. Identification of suitable reference genes in the mouse placenta. Placenta 2016, 39, 7–15. [Google Scholar] [CrossRef]
- Nazari, F.; Parham, A.; Maleki, A.F. GAPDH, beta-actin and beta 2-microglobulin, as three common reference genes, are not reliable for gene expression studies in equine adipose- and marrow-derived mesenchymal stem cells. J. Anim. Sci. Technol. 2015, 57, 18. [Google Scholar] [CrossRef]
- Almeida-Oliveira, F.; Leandro, J.G.B.; Ausina, P.; Sola-Penna, M.; Majerowicz, D. Reference genes for quantitative PCR in the adipose tissue of mice with metabolic disease. Biomed. Pharmacother. 2017, 88, 948–955. [Google Scholar] [CrossRef]
- Arsenijevic, T.; Gregoire, F.; Delforge, V.; Delporte, C.; Perret, J. Murine 3T3-L1 Adipocyte Cell Differentiation Model: Validated Reference Genes for qPCR Gene Expression Analysis. PLoS ONE 2012, 7, e37517. [Google Scholar] [CrossRef]
- Kramer, A.C.; Erikson, D.W.; McLendon, B.A.; Seo, H.; Hyashi, K.; Spencer, T.E.; Bazer, F.W.; Burghardt, R.C.; Johnson, G.A. SPP1 expression in the mouse uterus and placenta: Implications for implantation. Biol. Reprod. 2021, 105, 892–904. [Google Scholar] [CrossRef] [PubMed]
- Lupicka, M.; Korzekwa, A. Vascular endothelial growth factor A (VEGFA) and its receptors expression in bovine uterus during adenomyosis. Reprod. Domest. Anim. 2016, 51, 111. [Google Scholar]
- Thompson, I.M.; Cerri, R.L.A.; Kim, I.H.; Ealy, A.D.; Hansen, P.J.; Staples, C.R.; Thatcher, W.W. Effects of lactation and pregnancy on metabolic and hormonal responses and expression of selected conceptus and endometrial genes of Holstein dairy cattle. J. Dairy Sci. 2012, 95, 5645–5656. [Google Scholar] [CrossRef] [PubMed]
- Waterhouse, P.; Parhar, R.S.; Guo, X.J.; Lala, P.K.; Denhardt, D.T. Regulated temporal and spatial expression of the calcium-binding proteins calcyclin and opn (osteopontin) in mouse-tissues during pregnancy. Mol. Reprod. Dev. 1992, 32, 315–323. [Google Scholar] [CrossRef]
- Bayless, K.J.; Erikson, D.W.; Frank, J.W.; Joyce, M.M.; Burghardt, R.C.; Bazer, F.W.; Johnson, G.A. Recruitment and Modulation of Porcine Endothelial Progenitor Cells by Secreted Phosphoprotein 1 (SPP1, Osteopontin). Biol. Reprod. 2010, 83, 94. [Google Scholar] [CrossRef]
- Melincovici, C.S.; Bosca, A.B.; Susman, S.; Marginean, M.; Mihu, C.; Istrate, M.; Moldovan, I.M.; Roman, A.L.; Mihu, C.M. Vascular endothelial growth factor (VEGF)—Key factor in normal and pathological angiogenesis. Rom. J. Morphol. Embryol. 2018, 59, 455–467. [Google Scholar]





| Gene Sources | Rank | Mean FPKM | CV | MFC | Symbol | Description |
|---|---|---|---|---|---|---|
| Transcriptome Data | 1 | 378.38 | 0.03 | 1.11 | MORF4L1 | mortality factor 4 like 1 [Source:NCBI gene;Acc:102179420] |
| 2 | 190.26 | 0.04 | 1.15 | ARF1 | ADP ribosylation factor 1 [Source:NCBI gene;Acc:102185451] | |
| 4 | 171.61 | 0.05 | 1.17 | HNRNPL | heterogeneous nuclear ribonucleoprotein L [Source:NCBI gene;Acc:102180618] | |
| 9 | 50.26 | 0.05 | 1.22 | PTPRA | protein tyrosine phosphatase receptor type A [Source:NCBI gene;Acc:102184258] | |
| 20 | 89.19 | 0.06 | 1.22 | PPIB | peptidylprolyl isomerase B [Source:NCBI gene;Acc:102169391] |
| Stage1 | Stage2 | Stage3 | Total | |||||
|---|---|---|---|---|---|---|---|---|
| Rank | Gene | STDEV | Gene | STDEV | Gene | STDEV | Gene | STDEV |
| 1 | PPIB | 0.57 | EIF3K | 1.67 | EIF3K | 1.14 | EIF3K | 1.47 |
| 2 | POP4 | 0.59 | UXT1 | 1.73 | PPIA | 1.17 | POP4 | 1.61 |
| 3 | YWHAZ | 0.61 | EIF3M | 1.85 | POP4 | 1.21 | SDHA | 1.62 |
| 4 | HMBS | 0.61 | MORF4L1 | 1.88 | GAPDH | 1.21 | PPIA | 1.67 |
| 5 | MORF4L1 | 0.62 | HPRT1 | 1.94 | SDHA | 1.23 | EIF3M | 1.70 |
| 6 | HPRT1 | 0.63 | HMBS | 1.94 | HMBS | 1.25 | PPIB | 1.71 |
| 7 | EIF3K | 0.67 | PPIB | 1.97 | EIF3M | 1.25 | HMBS | 1.72 |
| 8 | SDHA | 0.68 | SDHA | 1.99 | HNRNPL | 1.30 | GAPDH | 1.75 |
| 9 | EIF3M | 0.68 | POP4 | 1.99 | ACTB | 1.32 | HNRNPL | 1.77 |
| 10 | RPLPO | 0.69 | PPIA | 2.10 | YWHAZ | 1.35 | UXT1 | 1.79 |
| 11 | GAPDH | 0.74 | B2M | 2.14 | UXT1 | 1.37 | YWHAZ | 1.84 |
| 12 | HNRNPL | 0.76 | GAPDH | 2.22 | PPIB | 1.40 | MORF4L1 | 1.87 |
| 13 | UXT1 | 0.86 | HNRNPL | 2.23 | ARF1 | 1.46 | HPRT1 | 1.88 |
| 14 | PPIA | 0.89 | YWHAZ | 2.34 | HPRT1 | 1.55 | ARF1 | 2.17 |
| 15 | ARF1 | 1.01 | ACTB | 2.36 | B2M | 1.81 | ACTB | 2.23 |
| 16 | B2M | 1.19 | RPLPO | 2.39 | MORF4L1 | 1.82 | B2M | 2.48 |
| 17 | ACTB | 1.23 | ARF1 | 2.94 | RPLPO | 3.35 | RPLPO | 2.91 |
| Stage1 | Stage2 | Stage3 | Total | |||||||||
|---|---|---|---|---|---|---|---|---|---|---|---|---|
| Rank | Gene | Std Dev | Coeff. of Corr. [r] | Gene | Std Dev | Coeff. of Corr. [r] | Gene | Std Dev | Coeff. of Corr. [r] | Gene | Std Dev | Coeff. of Corr. [r] |
| 1 | POP4 | 0.12 | 0.252 | EIF3K | 0.46 | 0.001 | EIF3K | 0.36 | 0.402 | EIF3K | 0.46 | 0.377 |
| 2 | MORF4L1 | 0.15 | 0.001 | RPLPO | 0.71 | 0.001 | PPIA | 0.42 | 0.601 | SDHA | 0.72 | 0.333 |
| 3 | HMBS | 0.18 | 0.198 | UXT1 | 0.72 | 0.361 | POP4 | 0.51 | 0.530 | PPIA | 0.76 | 0.427 |
| 4 | PPIB | 0.20 | 0.626 | EIF3M | 0.73 | 0.251 | SDHA | 0.57 | 0.539 | POP4 | 0.76 | 0.554 |
| 5 | YWHAZ | 0.22 | 0.221 | SDHA | 0.78 | 0.035 | EIF3M | 0.58 | 0.396 | HMBS | 0.81 | 0.173 |
| 6 | EIF3M | 0.32 | 0.435 | HPRT1 | 0.81 | 0.321 | GAPDH | 0.61 | 0.397 | PPIB | 0.82 | 0.093 |
| 7 | HNRNPL | 0.34 | 0.001 | PPIB | 0.85 | 0.029 | ACTB | 0.61 | 0.125 | YWHAZ | 0.83 | 0.214 |
| 8 | EIF3K | 0.36 | 0.506 | PPIA | 0.86 | 0.138 | YWHAZ | 0.64 | 0.001 | UXT1 | 0.89 | 0.001 |
| 9 | SDHA | 0.38 | 0.776 | POP4 | 0.94 | 0.605 | UXT1 | 0.65 | 0.095 | HPRT1 | 0.91 | 0.384 |
| 10 | UXT1 | 0.41 | 0.862 | HMBS | 0.95 | 0.363 | HNRNPL | 0.67 | 0.394 | GAPDH | 0.92 | 0.484 |
| 11 | HPRT1 | 0.42 | 0.769 | B2M | 0.95 | 0.001 | HMBS | 0.70 | 0.720 | EIF3M | 0.94 | 0.579 |
| 12 | RPLPO | 0.43 | 0.763 | MORF4L1 | 0.96 | 0.708 | HPRT1 | 0.72 | 0.001 | HNRNPL | 1.06 | 0.609 |
| 13 | GAPDH | 0.44 | 0.440 | YWHAZ | 0.99 | 0.483 | PPIB | 0.79 | 0.288 | MORF4L1 | 1.26 | 0.512 |
| 14 | PPIA | 0.53 | 0.681 | GAPDH | 1.26 | 0.722 | ARF1 | 0.88 | 0.547 | ARF1 | 1.31 | 0.434 |
| 15 | ACTB | 0.73 | 0.001 | ACTB | 1.34 | 0.444 | B2M | 1.16 | 0.202 | ACTB | 1.44 | 0.001 |
| 16 | ARF1 | 0.82 | 0.506 | HNRNPL | 1.37 | 0.672 | MORF4L1 | 1.19 | 0.124 | B2M | 1.78 | 0.485 |
| 17 | B2M | 0.85 | 0.689 | ARF1 | 1.72 | 0.438 | RPLPO | 2.83 | 0.455 | RPLPO | 1.974 | 0.335 |
| Stage1 | Stage2 | Stage3 | Total | |||||
|---|---|---|---|---|---|---|---|---|
| Rank | Gene | Stability Value | Gene | Stability Value | Gene | Stability Value | Gene | Stability Value |
| 1 | PPIB | 0.181 | EIF3K | 0.726 | EIF3K | 0.408 | EIF3K | 0.527 |
| 2 | POP4 | 0.227 | UXT1 | 0.817 | PPIA | 0.449 | POP4 | 0.845 |
| 3 | YWHAZ | 0.266 | EIF3M | 1.077 | POP4 | 0.523 | SDHA | 0.893 |
| 4 | HMBS | 0.292 | MORF4L1 | 1.106 | SDHA | 0.591 | PPIA | 0.989 |
| 5 | HPRT1 | 0.306 | HPRT1 | 1.200 | HMBS | 0.623 | EIF3M | 1.017 |
| 6 | MORF4L1 | 0.323 | HMBS | 1.322 | GAPDH | 0.643 | PPIB | 1.075 |
| 7 | SDHA | 0.372 | POP4 | 1.327 | EIF3M | 0.658 | HMBS | 1.094 |
| 8 | EIF3M | 0.428 | PPIB | 1.328 | HNRNPL | 0.722 | HNRNPL | 1.122 |
| 9 | EIF3K | 0.429 | SDHA | 1.382 | ACTB | 0.823 | GAPDH | 1.145 |
| 10 | RPLPO | 0.454 | PPIA | 1.577 | UXT1 | 0.871 | UXT1 | 1.208 |
| 11 | GAPDH | 0.473 | B2M | 1.585 | YWHAZ | 0.924 | HPRT1 | 1.296 |
| 12 | HNRNPL | 0.557 | HNRNPL | 1.678 | PPIB | 0.947 | YWHAZ | 1.306 |
| 13 | UXT1 | 0.707 | GAPDH | 1.694 | ARF1 | 1.012 | MORF4L1 | 1.326 |
| 14 | PPIA | 0.745 | YWHAZ | 1.882 | HPRT1 | 1.139 | ARF1 | 1.713 |
| 15 | ARF1 | 0.909 | RPLPO | 1.895 | B2M | 1.512 | ACTB | 1.869 |
| 16 | B2M | 1.11 | ACTB | 1.914 | MORF4L1 | 1.573 | B2M | 2.139 |
| 17 | ACTB | 1.125 | ARF1 | 2.587 | RPLPO | 3.255 | RPLPO | 2.635 |
| Stage1 | Stage2 | Stage3 | Total | |||||
|---|---|---|---|---|---|---|---|---|
| Rank | Gene | Stability Value | Gene | Stability Value | Gene | Stability Value | Gene | Stability Value |
| 1 | HMBS|POP4 | 0.070 | EIF3K|UXT1 | 0.638 | HMBS|SDHA | 0.648 | EIF3K|SDHA | 0.940 |
| 2 | PPIB | 0.236 | PPIB | 0.942 | PPIA | 0.687 | PPIA | 1.006 |
| 3 | MORF4L1 | 0.304 | SDHA | 1.245 | EIF3K | 0.711 | HMBS | 1.067 |
| 4 | YWHAZ | 0.327 | HMBS | 1.347 | HNRNPL | 0.779 | POP4 | 1.126 |
| 5 | HNRNPL | 0.361 | PPIA | 1.393 | POP4 | 0.824 | PPIB | 1.178 |
| 6 | EIF3K | 0.395 | EIF3M | 1.440 | EIF3M | 0.855 | EIF3M | 1.237 |
| 7 | HPRT1 | 0.423 | POP4 | 1.500 | GAPDH | 0.889 | UXT1 | 1.306 |
| 8 | RPLPO | 0.445 | MORF4L1 | 1.537 | ACTB | 0.936 | HNRNPL | 1.368 |
| 9 | EIF3M | 0.468 | B2M | 1.590 | YWHAZ | 0.967 | GAPDH | 1.416 |
| 10 | SDHA | 0.496 | HPRT1 | 1.649 | UXT1 | 0.992 | MORF4L1 | 1.459 |
| 11 | GAPDH | 0.522 | HNRNPL | 1.737 | PPIB | 1.024 | YWHAZ | 1.495 |
| 12 | UXT1 | 0.561 | GAPDH | 1.809 | ARF1 | 1.057 | HPRT1 | 1.533 |
| 13 | PPIA | 0.598 | YWHAZ | 1.886 | HPRT1 | 1.099 | ARF1 | 1.601 |
| 14 | ARF1 | 0.640 | ACTB | 1.937 | MORF4L1 | 1.169 | ACTB | 1.661 |
| 15 | B2M | 0.705 | RPLPO | 1.988 | B2M | 1.232 | B2M | 1.758 |
| 16 | ACTB | 0.766 | ARF1 | 2.100 | RPLPO | 1.482 | RPLPO | 1.893 |
| Stage1 | Stage2 | Stage3 | Total | |||||
|---|---|---|---|---|---|---|---|---|
| Rank | Gene | Score | Gene | Score | Gene | STDEV | Gene | STDEV |
| 1 | POP4 | 1.41 | EIF3K | 1.00 | EIF3K | 1.41 | EIF3K | 1.00 |
| 2 | PPIB | 1.86 | UXT1 | 1.68 | PPIA | 2.21 | SDHA | 2.45 |
| 3 | HMBS | 2.63 | EIF3M | 3.98 | SDHA | 2.99 | POP4 | 3.16 |
| 4 | YWHAZ | 3.87 | PPIB | 4.74 | POP4 | 3.57 | PPIA | 4.43 |
| 5 | MORF4L1 | 3.94 | MORF4L1 | 5.83 | HMBS | 4.26 | PPIB | 4.56 |
| 6 | HPRT1 | 7.00 | HPRT1 | 6.37 | GAPDH | 5.83 | HMBS | 6.09 |
| 7 | EIF3K | 7.71 | HMBS | 6.82 | EIF3M | 6.44 | EIF3M | 6.62 |
| 8 | EIF3M | 8.11 | SDHA | 7.14 | HNRNPL | 7.52 | UXT1 | 7.00 |
| 9 | SDHA | 8.63 | POP4 | 8.63 | ACTB | 8.45 | GAPDH | 8.97 |
| 10 | HNRNPL | 8.82 | PPIA | 8.80 | YWHAZ | 9.69 | HNRNPL | 9.39 |
| 11 | RPLPO | 9.97 | B2M | 9.59 | UXT1 | 10.22 | YWHAZ | 9.87 |
| 12 | GAPDH | 11.49 | RPLPO | 11.77 | PPIB | 12.24 | HPRT1 | 11.68 |
| 13 | UXT1 | 13.24 | HNRNPL | 13.16 | ARF1 | 13.24 | MORF4L1 | 12.45 |
| 14 | PPIA | 13.74 | GAPDH | 13.21 | HPRT1 | 13.47 | ARF1 | 14.24 |
| 15 | ARF1 | 15.24 | YWHAZ | 13.74 | B2M | 15.24 | ACTB | 14.47 |
| 16 | B2M | 16.24 | ACTB | 14.98 | MORF4L1 | 15.74 | B2M | 16.00 |
| 17 | ACTB | 16.48 | ARF1 | 17.00 | RPLPO | 17.00 | RPLPO | 17.00 |
Disclaimer/Publisher’s Note: The statements, opinions and data contained in all publications are solely those of the individual author(s) and contributor(s) and not of MDPI and/or the editor(s). MDPI and/or the editor(s) disclaim responsibility for any injury to people or property resulting from any ideas, methods, instructions or products referred to in the content. |
© 2023 by the authors. Licensee MDPI, Basel, Switzerland. This article is an open access article distributed under the terms and conditions of the Creative Commons Attribution (CC BY) license (https://creativecommons.org/licenses/by/4.0/).
Share and Cite
Zhou, Y.; Li, X.; Zhang, X.; Li, M.; Luo, N.; Zhao, Y. Screening of Candidate Housekeeping Genes in Uterus Caruncle by RNA-Sequence and qPCR Analyses in Different Stages of Goat (Capra hircus). Animals 2023, 13, 1897. https://doi.org/10.3390/ani13121897
Zhou Y, Li X, Zhang X, Li M, Luo N, Zhao Y. Screening of Candidate Housekeeping Genes in Uterus Caruncle by RNA-Sequence and qPCR Analyses in Different Stages of Goat (Capra hircus). Animals. 2023; 13(12):1897. https://doi.org/10.3390/ani13121897
Chicago/Turabian StyleZhou, Yumei, Xingchun Li, Xinyue Zhang, Minghui Li, Nanjian Luo, and Yongju Zhao. 2023. "Screening of Candidate Housekeeping Genes in Uterus Caruncle by RNA-Sequence and qPCR Analyses in Different Stages of Goat (Capra hircus)" Animals 13, no. 12: 1897. https://doi.org/10.3390/ani13121897
APA StyleZhou, Y., Li, X., Zhang, X., Li, M., Luo, N., & Zhao, Y. (2023). Screening of Candidate Housekeeping Genes in Uterus Caruncle by RNA-Sequence and qPCR Analyses in Different Stages of Goat (Capra hircus). Animals, 13(12), 1897. https://doi.org/10.3390/ani13121897

