You are currently viewing a new version of our website. To view the old version click .
Animals
  • Article
  • Open Access

6 June 2023

Pequi Oil (Caryocar brasiliense Camb.) Attenuates the Adverse Effects of Cyclical Heat Stress and Modulates the Oxidative Stress-Related Genes in Broiler Chickens

,
,
,
,
,
,
,
,
and
1
Department of Breeding and Animal Nutrition, School of Veterinary Medicine and Animal Science, São Paulo State University (UNESP), Doutor Walter Mauricio Correa s/n, Botucatu 18618-681, SP, Brazil
2
Department of Animal Production and Preventive Veterinary Medicine, School of Veterinary Medicine and Animal Science, São Paulo State University (UNESP), Botucatu 18610-034, SP, Brazil
3
Department of Pathology and Experimental Research Unit (UNIPEX), Medical School, São Paulo State University (UNESP), Distrito Rubião Jr., Botucatu 18618-970, SP, Brazil
*
Author to whom correspondence should be addressed.
This article belongs to the Special Issue Antioxidants, Nutraceuticals, and Functional Food in Animals

Simple Summary

Pequi (Caryocar brasiliense Camb.) is an evergreen tree typical of the biodiversity in the Brazilian cerrado biome and it represents an important source of income for communities that sell its fruit and related products, such as PO (pequi oil). Pequi oil has antioxidant properties as a result of its high concentration of carotenoids, and said properties have been investigated in in vitro studies and animal models. However, up until now, the effects of dietary supplementation with PO have not been investigated in broiler chickens, which raised our research interest. We found that the levels of pequi oil used in broiler chickens submitted to high temperatures had a hepatoprotective effect; in addition, higher levels reduced the concentration of malondialdehyde in their livers. Corroborating these results, birds fed with higher levels of pequi oil showed a 92% reduction in the concentration of their Hsp 70 mRNA in comparison to birds with supplementation, whereas the Nrf2 gene was upregulated (37%). Therefore, supplementation with PO relieves alterations in the antioxidant system caused by heat stress in broiler chickens, acting as a potential antioxidant additive for use in poultry production. Furthermore, our findings can inform future studies.

Abstract

The present study was conducted to determine the possible antioxidant protection of pequi oil (PO) against cyclic heat stress in broiler chickens and to highlight the application of PO as a promising additive in broiler feed. A total of 400 one-day-old male broiler chicks (Cobb 500) were randomly assigned to 2 × 5 factorially arranged treatments: two temperature-controlled rooms (thermoneutral—TN or heat stress—HS for 8 h/day) and five dietary PO levels (0, 1.5, 3.0, 4.5, or 6.0 g/kg diet) for 42 days. Each treatment consisted of eight replicates of five birds. The results showed that HS increased glucose (p = 0.006), triglycerides (p < 0.001), and HDL (p = 0.042) at 21 days and reduced (p = 0.005) serum total cholesterol at 42 days. The results also showed that HS increased the contents of alanine aminotransferase (ALT) and aspartate aminotransferase (AST). In contrast, PO linearly decreased AST (p = 0.048) and ALT (p = 0.020) at 21 and 42 days, respectively. The heterophil-to-lymphocyte ratio in the birds under HS was higher than in those in the TN environment (p = 0.046). Heat stress decreased (p = 0.032) the relative weight of their livers at 21 days. The superoxide dismutase activity increased (p = 0.010) in the HS treatments in comparison to the TN treatments, while the glutathione peroxidase activity in the liver decreased (p < 0.001) at 42 days; however, the activity of catalase had no significant effects. Meanwhile, increasing the dietary PO levels linearly decreased plasma malondialdehyde (p < 0.001) in the birds in the HS environment. In addition, PO reduced (p = 0.027) the expression of Hsp 70 in the liver by 92% when compared to the TN treatment without PO, mainly at the 6.0 g/kg diet level. The expression of Nrf2 was upregulated by 37% (p = 0.049) in response to PO with the 6.0 g/kg diet compared to the HS treatment without PO. In conclusion, PO supplementation alleviated the adverse effects of HS on broilers due to its antioxidant action and modulation of the genes related to oxidative stress, providing insights into its application as a potential feed additive in broiler production.

1. Introduction

Heat stress (HS) in poultry farming is a worldwide issue, particularly in tropical and subtropical areas [1,2]. In addition, the high efficiency of meat production due to genetic advancements means that broiler chickens have a rapid metabolic rate and, consequently, a high heat production, which makes them susceptible to HS [3]. Under such conditions, the balance between the generation and elimination of reactive oxygen species (ROS) may be compromised, leading to a depletion in antioxidant defenses and, in turn, an induction of cellular oxidative stress [4,5].
Animal cells have developed a sophisticated defense system that is able to neutralize ROS [6,7], featuring antioxidant enzymes (e.g., catalase, dismutase superoxide, and glutathione peroxidase), non-enzymatic antioxidants (e.g., vitamins, minerals, carotenoids, and glutathione), and a modulation of the expression of cytoprotective genes, such as thermal shock proteins (Hsp 70) and the nuclear factor erythroid 2-related factor 2 (Nrf2). However, such a system is effective up to a certain stage, especially in face of chronic exposure to heat, which is often the case in poultry farming and leads to large economical losses, as it depletes the antioxidant defenses of the animals and, consequently, compromises the animal productivity [8]. In these situations, a greater supply of antioxidants to recover the equilibrium of the redox system and prevent oxidative damage becomes essential in the productive system. This makes the use of natural products in broiler nutrition a possible strategy for mitigating HS, besides regulating the expression of important genes in the redox system and increasing the cellular defense capability [5,7,9].
Pequi (Caryocar brasiliense Camb.) is an oily fruit native to the Brazilian cerrado biome and is considered to be one of the species of the greatest socioeconomic relevance to the region [10]. Pequi trees tolerate long periods of direct insolation, are resistant to moisture, drought, and heat, and can adapt to a variety of soils [11]. Their fruits (pequi) contain one or more seeds covered by fleshy and aromatic pulp of a slightly sweet taste [12]. The oil extracted from the pulp (yellow/orange color) is rich in unsaturated fatty acids (e.g., oleic acid; ω9) and carotenoids such as β-carotene, lycopene, and lutein [11,12,13]. The antioxidant, anti-inflammatory, cytoprotective, and antitumoral properties of pequi oil (PO) have been reported in animal models and/or in vitro studies [10,14]. Among those, the antioxidant properties are particularly appealing, since PO has a high carotenoid content.
Carotenoids are natural pigment molecules that are also able to inactivate the electronically excited molecules involved in the generation of radicals (singlet oxygen) and the regeneration of biomolecules damaged by oxidative lesions [15]. Miranda-Vilela et al. [14] showed that PO was able to reduce the effects of oxidative stress induced by chemotherapy drugs in the liver cells of mice with Ehrlich tumors, an effect even greater than experimental models of vitamins C and E. Likewise, Vale et al. [16] reported that the oral administration of PO to Wistar rats alleviated the oxidative stress induced by exhaustive physical exercise, maintaining their levels of non-enzymatic antioxidants and inhibiting their lipid peroxidation, characterized by lower a concentration of malondialdehyde (MDA). However, to date, the effects of dietary supplementation with PO have not been investigated in broiler chickens or other domestic animal species.
Therefore, the current study was conducted to investigate the effects of graded levels of PO supplementation on the plasma biochemical indices, relative organ weights, antioxidant statuses, and gene expressions of Hsp 70 and Nrf2 in broiler chickens subjected to cyclic heat stress. The results of this research could provide guidance and a reference for the further application of PO as a promising phytogenic feed additive in broiler feed.

2. Materials and Methods

All the experimental procedures were approved by the Animal Ethics Committee of the Veterinary and Animal Science College, São Paulo State University, Botucatu, SP, Brazil (protocol 0192/2018—CEUA).

2.1. Pequi Oil (Caryocar brasiliense Camb.)

C. brasiliense fruits were collected during the harvesting period in January 2019. The oil was extracted from the pulp using a manual process employing hot water and was purchased from Grande Sertão Cooperative (Montes Claros, MG, Brazil). The pequi oil composition is shown in Table 1.
Table 1. Fatty acid and carotenoid composition of pequi oil (C. brasiliense Camb.).

2.2. Chicks, Housing, and Management

A total of 400 one-day-old commercial male broiler chicks (Cobb 500) with an average initial body weight of 47.5 ± 1.27 g were obtained from a local commercial hatchery (Pluma, Descalvado, SP, Brazil). The broilers were vaccinated upon hatching for Marek’s disease, infectious bronchitis, and Gumboro disease. On day 1, the broiler chicks were assigned in a fully randomized design with a 2 × 5 factorial arrangement to treatments with two temperature-controlled rooms (thermoneutral room—TN; heat stress room—HS) and five dietary pequi oil (PO) levels, with eight replicates of five birds each. The experimental period lasted for 42 days.
In each of the temperature-controlled rooms, the birds were housed in 40 battery cages (8 cages/treatment) with wire floors (0.4 × 0.5 × 0.6 m, height × length × width). Water was supplied in nipple drinkers and trough feeders made of galvanized steel were placed in front of the cages. The experimental diets (in mash form) and fresh water were provided ad libitum. The lighting program was applied according to the management guides and recommendations of the company [19].

2.3. Experimental Diets and Heat Challenge

The experimental diets were prepared by including levels of PO into the basal diets. The five dietary treatments were as follows: control diet (CON; basal diet without PO), CON + 1.5 g PO/kg diet; CON + 3.0 g PO/kg diet; CON + 4.5 g PO/kg diet; and CON + 6.0 g PO/kg diet. The PO was first mixed intensively with the associated soybean oil and then gradually added to the diet. The basal diet was formulated to correspond to nutrient requirements that were equal to or slightly lower than those recommended by Rostagno et al. [19] for broilers, and the feeding program consisted of pre-starter (days 1 to 7), starter (days 8 to 21), grower (days 22 to 35), and finisher (days 36 to 42) (Table 2 and Table 3). The formulation of the diets considered the apparent metabolizable energy (AME) of PO (7370 kcal/kg) based on data from a previous study.
Table 2. Ingredient and chemical composition of the experimental diets (pre-starter diets, provided during days 1–7; starter diets, provided during days 8–21).
Table 3. Ingredient and chemical compositions of the experimental diets (grower diets, provided during days 22–35; finisher diets, provided during days 36–42).
The birds were reared in temperature-controlled rooms with independent temperature control. During the experimental period (from 1 to 42 days of age), all the broiler chickens in the thermoneutral room (TN) were reared under the temperature conditions recommended by the Cobb Broiler Management Guide [19], but adapted to the Brazilian context. The broilers from the remaining groups were kept in another room and exposed daily to 8 h (8:00 a.m. to 4:00 p.m.) of cyclical heat stress (HS), after which, the temperature was lowered to the same level as that of the TN group for the remaining 16 h over the 42 days of the experiment. Each room was equipped with portable, automatically controlled electric heaters (1500 W) and was provided with a fan for the circulation of this hot air. The temperature and relative humidity were recorded daily and the average temperature and relative humidity were calculated. The temperature scheme is shown in Table 4.
Table 4. Averages and standard deviations for the temperature (°Celsius) and relative humidity (%) in the thermoneutral (TN) and heat stress (HS) ambient temperature environments.

2.4. Blood Parameters and Determination of Serum MDA

At 21 and 42 days of age, blood samples were collected from the broiler chicks (n = 8 birds per treatment) into clean sterile tubes and left to coagulate before being centrifuged at 3500 rpm for 15 min to separate the serum. The serum samples were stored in Eppendorf tubes at −20 °C until the analysis. The following parameters were determined spectrophotometrically in the serum using commercial reagent kits (LaborLab, Guarulhos, SP, Brazil) via a semi-automated biochemical analyzer (BIO-200S, Bioplus Produtos para Laboratórios Ltd.a, Barueri, SP, Brazil): glucose (mg/dL; no. K133), total cholesterol—CHO (mg/dL; no. K083), triglycerides—TG (mg/dL; no. K117), high-density lipoprotein—HDL (mg/dL; no. K071), aspartate aminotransferase—AST (U/L; no. K048), and alanine aminotransferase—ALT (U/L; no. K049).
On day 42, one bird per cage (n = eight birds per treatment) was sampled at random. Blood samples were taken with a 23-gauge needle from the jugular vein and collected into two tubes. The first tube, containing EDTA, was centrifuged (3500 rpm, 15 min) to obtain plasma for a determination of the leukocyte profile. The second tube, containing heparin, was used to obtain the serum malondialdehyde (MDA) concentrations and was centrifuged at 3500 rpm for 15 min at 4 °C before being stored at −80 °C until further analysis. For the leukocyte population, the blood samples were stained according to Lucas and Jamroz [20,21], and subsequently, 100 leukocytes per sample were counted using an optical microscope (BX51; Olympus, Tokyo, Japan). The heterophil-to-lymphocyte ratio (H/L) for each bird was also calculated. The serum MDA concentrations were determined using the TBA (thiobarbituric acid) method with absorbance at 532 nm, according to Buege and Aust [22]. The results were expressed as nanomoles per liter (nmol/L) and each sample was analyzed in duplicate.

2.5. Organ Weights

At 21 and 42 days, one bird per cage (n = eight per treatment) was euthanized via cervical dislocation and the whole spleen, bursa of the Fabricius, thymus, pancreas, and liver were immediately removed and weighed. The relative weights of these organs were expressed as percentages of the live weight of the birds.

2.6. Measuring Activities of Antioxidant Enzymes in the Liver

On day 42, the broilers were slaughtered via cervical dislocation and liver samples were collected (n = 8 samples per treatment), immediately immersed in liquid nitrogen, and stored at −80 °C until the activity of their antioxidant enzymes was determined (SOD, CAT, and GSH-Px). For the activities of SOD (superoxide dismutase; EC 1.15.1.1), CAT (catalase; EC 1.11.1.6), and GSH-Px (glutathione peroxidase; EC 1.11.1.9), 1 g of a liver sample was homogenized in 5 mL of 0.05 M phosphate buffer (pH = 7.0). The homogenate was centrifuged at 5000 rpm for 20 min at 4 °C. The supernatant was used for the enzyme activity and protein content analyses. The activities of SOD, CAT, and GSH-Px were determined as previously described by Vicente et al. [23]. The absorbance was read on a spectrophotometer at 560 nm, 610 nm, and 420 nm, respectively. For all the antioxidant enzyme assays, the total protein concentration was determined using the method of Bradford [24] with Coomassie Brilliant Blue G-250 dye, using bovine serum albumin as a standard.

2.7. RNA Extraction and Quantitative Real-Time PCR Analysis

RNA was extracted from a 50 mg liver sample from four birds per treatment [25]. The extraction was performed using the Trizol method with 500 µL of TRIzol (Invitrogen, Carlsbad, CA, USA) for each sample, in order to disrupt the cells and release their contents. The extraction product was visualized on 1% agarose gel and quantified using a NanoDrop 1000 spectrophotometer (ThermoFisher Scientific, Waltham, MA, USA). Next, all the samples were stored at −80 °C until they were ready to use. The samples were then treated with DNase, and the cDNA synthesis reaction was set as follows: a mix of 0.75 mM of oligo(dT) solution (n = 18); 0.15 mM of random oligonucleotides (n = 8); 0.75 mM of dNTP, and 11 µL of RNA, which was treated with DNAse in the previous step and prepared and incubated at 65 °C for 5 min, then placed on ice for 1 min. For this preparation, 0.5 mM of DTT, 40 U of RNaseOUT, and 100 U of SuperScript III were added. The reaction was then incubated at 50 °C for 1 h and then at 70 °C for 15 min.
After this, a real-time PCR analysis (RT-PCR) was performed using an Applied Biosystems StepOnePlus Real-Time PCR System (Applied Biosystems, Foster City, CA, USA) and a SYBR Green PCR Master Mix kit (Applied Biosystems, Foster City, CA, USA). The primer sequences for the target and reference genes are listed in Table 5. The PCR cycle parameters were as follows: one cycle at 50 °C for 2 min, one cycle at 94 °C for 10 min, and 40 cycles of 94 °C for 15 s and 60 °C for 1 min. The dissociation curve was obtained as follows: 95 °C for 15 s, 60 °C for 30 s, and 95 °C for 15 s. To calculate the efficiency of the oligonucleotides used, four dilutions of cDNA samples were performed at 1:5, 1:25, 1:125, and 1:625. The efficiency (E) was calculated using the formula E = 10 (−1/slope). The relative levels of the mRNA expression were calculated using the 2−ΔΔCT method [26], which was normalized to the reference mRNA level of β-actin. Each sample was analyzed in triplicate.
Table 5. Primer sequences used for real-time PCR 1.

2.8. Statistical Analysis

The data were analyzed as a completely randomized design using the MIXED procedure in the software SAS (version 9.2, SAS Institute Inc., Cary, NC, USA) [27]. The model used was yij = μ + Ti + POj + (T × PO)ij + eij, where y = the response variable, µ = the population mean, Ti = the main effect of the temperature, PO = the main effect of the dietary pequi oil level, T × PO = the interaction effect of the temperature with the dietary pequi oil levels, and eij = the residual error. Orthogonal polynomial contrasts were also applied to determine the linear and quadratic responses to the different levels of PO supplementation. The results of the relative expressions of each target gene in the HS treatments, i.e., Hsp 70 and Nrf2, were compared to the treatment with no PO under thermoneutral ambient conditions (TN; control). The significant differences among the treatment means were compared using Tukey’s test. The differences were considered statistically significant when the p-value was less than 0.05. The results were presented as means with their pooled standard errors.

3. Results

3.1. Blood Parameters

No effect of the interaction of the dietary PO levels with the environmental temperature was found on the serum biochemical parameters (Table 6). On day 21, heat stress (HS) significantly increased the serum glucose (p = 0.006), TG (p < 0.001), and HDL (p = 0.042) concentrations in comparison to those of the birds housed in the thermoneutral (TN) condition. Additionally, variations in the serum CHO in response to the dietary PO levels were independent of the environmental temperature (p = 0.003). On day 42, the HS condition significantly reduced (p = 0.005) the serum CHO and did not change the plasma glucose, TG, or HDL concentrations. Furthermore, the birds challenged by HS had an increased serum enzyme activity of ALT at day 21 (p = 0.020) and increased activities of AST (p = 0.012) and ALT (p = 0.015) at day 42 in comparison to the TN condition. Supplementation with PO linearly reduced the serum enzyme activities of AST (linear: p = 0.048; y = 236.77−6.90x; R2 = 0.59) and ALT (linear: p = 0.020; y = 5.343−0.407x; R2 = 0.87) at days 21 and 42, respectively.
Table 6. Effects of temperature and dietary Pequi oil levels (PO level) on the serum biochemical indices in broilers exposed to heat stress.
The data on the leukocyte subsets are shown in Table 7. On day 42, no differences were observed in the blood leukocyte profiles among all the experimental treatments, except for the basophil counts in response to the dietary PO levels (p = 0.022). However, increases in the H/L in response to the environmental temperature were independent of the dietary PO levels (p = 0.046).
Table 7. Effects of temperature and dietary pequi oil (PO) levels on blood leukocyte profiles in broilers exposed to heat stress at 42 days of age.

3.2. Relative Organ Weights

Table 8 summarizes the relative organ weights of the birds subjected to different environmental temperatures and diets containing different PO levels. Compared to the TN condition, exposure to HS had no significant effect on the relative weights of the spleen, bursa of the Fabricius, thymus, or pancreas, but decreased (p = 0.032) the relative weight of the liver at day 21. The dietary PO levels had no significant effect on the relative organ weights.
Table 8. Effects of temperature and dietary pequi oil (PO) levels on relative organ weights (%) in broilers exposed to heat stress.

3.3. Antioxidant Activities of Liver Enzymes and Serum Lipid Peroxidation

No effect of the interaction between the environmental temperature and dietary PO levels on the antioxidant activity of the enzymes in the broilers was found (Table 9). The SOD activity increased (p = 0.010) in response to exposure to HS, whereas the GSH-Px activity decreased (p < 0.001) when compared to the birds housed under the TN condition. No significant difference was observed (p > 0.05) in the hepatic CAT activity among all the treatments. However, the serum MDA concentration responses to the increasing dietary PO levels in the birds housed in either the TN or HS conditions were different (interaction effect: p = 0.012). The serum MDA content was 42.5% lower in the broilers that received supplementation with 6.0 PO under the HS condition than in those that were only challenged with HS (18.99 vs. 10.93 nmol/L). Furthermore, the reduction in the MDA concentration was more notable in the HS environment with broilers supplemented with PO than in the TN environment. Increasing dietary PO levels linearly decreased the MDA concentrations (linear HS: p < 0.001; y = 18.086 − 1.554x; R2 = 0.59) in the birds housed in the HS condition (Table 10).
Table 9. Effects of temperature and dietary pequi oil (PO) levels on antioxidant enzyme activity in broilers exposed to heat stress at 42 days of age.
Table 10. Effects of temperature and dietary pequi oil (PO) levels on serum MDA concentrations in broilers exposed to heat stress at 42 days of age.

3.4. Heat Shock Protein 70 and Nrf2 Expressions in the Liver

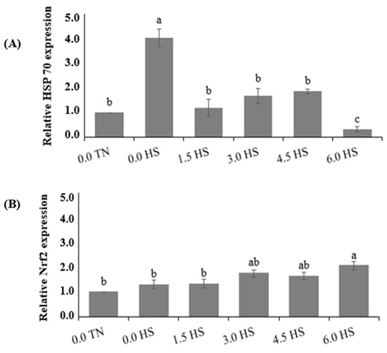
Figure 1 shows the relative mRNA expressions of Nrf2 and Hsp 70 in the livers of the birds. Compared to the TN treatment without PO, the expression levels of the Hsp 70 gene were significantly upregulated (p = 0.027) in response to the HS environment. The dietary PO levels reduced the liver Hsp 70 levels by 92% compared to the birds reared in the HS environment, mainly at the 6.0 g PO/kg diet level (4.02 vs. 0.32 relative gene expression). In addition, the hepatic Nrf2 levels were not affected in the HS groups compared to those in the TN treatments. However, compared to the HS treatment without PO, the treatment using the 6.0 g PO/kg diet enhanced the liver Nrf2 expression by 37% (p = 0.049; 2.06 vs. 1.30 relative gene expression).
Figure 1. Effect of PO on the Hsp70 and Nrf2 expressions in broilers livers at 42 days of age. (A) Hsp70; and (B) Nrf2. Each bar represents the mean ± SEM (n = 4). Bars not sharing the same letters (a–c) are significantly different according to Tukey’s comparison test at p < 0.05. 0.0TN = normal temperature + a control diet; 0.0 HS = high ambient temperature + a control diet; PO = pequi oil.; 1.5 HS = high ambient temperature + a control diet supplemented with 1.5 g/kg PO; 3.0 HS = high ambient temperature + a control diet supplemented with 3.0 g/kg PO; 4.5 HS = high ambient temperature + a control diet supplemented with 4.5 g/kg PO; and 6.0 HS = high ambient temperature + a control diet supplemented with 6.0 g/kg PO.

4. Discussion

The present study was carried out to investigate the hypothesis that supplementation with PO alleviates alterations in the antioxidant system caused by heat stress (HS) in broiler chickens. The high cyclical temperatures during the day in the HS rooms were above the recommendations for the lineage according to the rearing phases [16]. In poultry, when the ambient environmental temperature exceeds the thermos neutral zone (16–25 °C), thermal injury is initiated [1,2,3,4,5,6,7]. In addition, the panting behavior and longer times of rest observed suggest that the broilers were submitted to HS conditions during this experiment.
The results of this study show that the birds under HS had lower plasma concentrations of glucose, triglyceride, and HDL at 21 days of age, which corroborates the results observed by Puvadolpirod and Thaxton [28]. Animals under HS use glucose and gluconeogenic precursors (e.g., glycerol, glucogenic amino acids, and lactate), as well as the cleavage of reserve triglycerides, as their main sources of energy [29,30,31], which is a strategy for the organism to maintain their body temperature and re-establish homeostasis via an energy adjustment. However, such data were not impacted at 42 days of age. It can be reasoned that the stress initiated from one day of age may have induced thermotolerance in the face of transformations in the hypothalamic regions, as proposed by Yahav and McMurtry [32] and Kisliouk et al. [33].
The levels of ALT and AST in circulation may be high when liver damage occurs; thus, these enzymes are employed as sensitive markers of hepatocellular lesions [34]. The present study observed that HS led to increases in the serum levels of ALT and AST in the broiler chickens, which suggests that liver lesions were induced. However, PO had an hepatoprotective effect under HS conditions in the face of the linear reduction in the serum levels of ALT and AST. Consistent with such findings, Miranda-Vilella et al. [14] and Colombo et al. [35] reported that oral supplementation with PO in rats treated with chemotherapy drugs to induce oxidative stress reduced the liver lesions caused by high ROS concentrations.
The heterophil–lymphocyte ratio (H/L) is a primary indicator of stress in birds [1]. In agreement with several studies [36,37], it was observed that the broilers exposed to high temperatures exhibited an increased H/L; however, the PO levels did not impact the other blood parameters. Variations were observed in the amount of basophils in the PO levels. Nonetheless, such data were not correlated with any specific PO dose and the basophil values were within the range expected for the lineage studied, as described by Sturkie [38] and Bounous and Stedman [39].
Some studies have shown that HS decreases the relative weights of immunologic organs (the thymus, spleen, and bursa of the Fabricius in chickens) [1,40]. The present study found that HS only significantly decreased the relative weight of the liver at 21 days of stress, similar to the results obtained by Zhang et al. [7]. The relative weight of an organ may reflect its growth and development to some degree. In addition, some phytogenic additives act indirectly by inactivating free radicals, thus allowing for the mitigation of negative effects and, consequently, the maintenance of an adequate immune status under high temperature conditions [41]. Given the lack of alterations in the relative weights of the organs in the present study, further investigations are suggested under different conditions to assess the action of PO on cellular and humoral immunity.
As the temperature increased, the activities of the antioxidant enzymes in the liver and plasma may have been upregulated as a protective response against oxidative stress [42]. Likewise, it was observed that HS increased the SOD activity in the liver. The greater SOD activity in the HS group was likely due to the high production of the superoxide anion, which is considered to be the primary product of the ROS production system [43]. The superoxide anion is easily dismutated into hydrogen peroxide in a reaction catalyzed by SOD. The breakdown of hydrogen peroxide (H2O2) into water is regulated by the CAT and GSH-Px enzymes, but the GSH-Px activity was reduced by HS in this study. This allows for the inference that H2O2 takes part in the formation of more reactive radicals, such as the hydroxyl radical in Fenton reactions [44]. It might be the case that HS causes protein denaturation, since GSH-Px is associated with protein protection via a mechanism known as protein S-glutationylation [45]. Such a sequence of reactions may partially explain the alterations in the concentrations of these antioxidant enzymes in the liver.
The antioxidant action of PO was able to linearly reduce the lipid peroxidation in the broilers submitted to HS, which was a result of the decrease in the MDA content, particularly at the PO level of 6.0 g/kg diet (18.99 HS vs. 10.93 TN nmol/L). In accordance with this finding, Vale et al. [16] reported that diets supplemented with PO (400 mg/five weeks) in a group of Wistar rats under a strenuous exercise protocol significantly depressed this lipid peroxidation. In other studies, Sahin et al. [46] and Rajput et al. [47] showed that supplementations in chicken diets with lutein (200 mg/kg) and lycopene (200 or 400 mg/kg), respectively, were able to reduce the serum concentrations of MDA. MDA is a byproduct of lipid peroxidation, and its serum concentration can be used as an indicator of cellular peroxidation and ROS accumulation [3,48]. It is assumed the results obtained in the present research were associated with the antioxidant compounds (carotenoids) present in PO, shown in Table 1. This table shows the quantification of the carotenoids in PO, characterizing it as an excellent source of antioxidant compounds, mainly beta-carotene, lycopene, and lutein, which act in ROS neutralization [49,50]. These lipophilic molecules exert their protective effects associated with proteins+ and lipoprotein structures in cell membranes via mechanisms to reduce oxidants [51,52] and regenerate biomolecules in the prevention and interruption of the lipid peroxidation cascade [15].
Exposure to HS upregulates the synthesis of the HSPs (heat shock proteins) produced in all cells and tissues in response to stress, which are aimed at facilitating the production, conformation, and renovation of other proteins [53,54]. The expression of Hsp 70 is a classical sign of stress due to high temperatures in birds [55,56]. On the other hand, ROS overproduction is also involved in inducing Hsp 70 synthesis [9], which corroborates the present study. The pequi oil levels were able to act in the regulation of the Hsp 70 expression, since PO supplementation decreased the liver levels of this gene in birds under HS, particularly at the PO level of the 6.0 g/kg diet. Such a finding is another indication that PO acts as a cytoprotective agent in broiler chickens subjected to high temperatures.
To further explore the mechanisms subjacent to the antioxidant effects of PO, the Nrf2 expression in the liver was determined. Nrf2 is a sensitive redox transcription factor that regulates the numerous genes that code phase II detoxifying enzymes and antioxidant enzymes such as GSH-Px, SOD, CAT, heme oxygenase-1, and glutathione-S-transferase [7]. The present study found that the PO level of the 6.0 g/kg diet increased the Nrf2 expression (37%) in the broiler chickens under HS in comparison to those not supplemented with PO in HS conditions. Thus, the bioactive compounds in PO stimulated the transcription and translation of the cytoprotective proteins in liver cells. In line with these findings, Zhang et al. [7] and Sahin et al. [46] reported that the activation of the liver Nrf2 level increased in a dose-dependent manner in birds supplemented with lycopene (200 or 400 mg/kg) and turmeric (50, 100, or 200 mg/kg), respectively, under high-temperature conditions. The antioxidant properties of several natural properties are able to modulate the Nrf2 system, aiding in the maintenance of health and the overall cell oxidation–reduction equilibrium. However, the mechanisms of each compound involved are not well established [7]. Further research to explain these effects of PO on animal production is relevant. Nevertheless, the results of the present study suggest that PO inclusion, starting at a 6.0 g/kg diet, would be a promising dietary additive in broiler feed.

5. Conclusions

In conclusion, adding PO, especially at the level of a 6.0 g/kg diet, alleviated the oxidative stress induced by a high ambient temperature and had a hepatoprotective effect in broiler chickens. Moreover, the PO supplementation resulted in low levels of Hsp 70 expression and induced the expression of Nrf2-mediated genes. Overall, such results suggest supplementing broiler chickens with PO in a 6.0 g/kg diet may activate the defense mechanisms of the organism, thus decreasing the molecular oxidative effects. Such antioxidant actions of PO alleviated the negative effects of HS, particularly when the birds were exposed to stress in hot climates, acting as an excellent antioxidant additive in poultry production.

Author Contributions

Conceptualization, J.R.S. and A.C.P.; methodology, J.M.C. and A.C.P.; validation, J.M.C., C.R.C., S.M.K. and A.C.P.; formal analysis, J.M.C., P.M.G.U., C.R.C. and S.M.K.; investigation, J.M.C., P.M.G.U., C.Y.O., F.K.d.L.K., T.S.d.S. and B.A.d.S.; data curation, J.M.C.; writing—original draft preparation, J.M.C.; writing—review and editing, J.M.C., A.C.P., S.M.K. and J.R.S.; supervision, A.C.P. and J.R.S.; project administration, J.M.C. and A.C.P.; funding acquisition, A.C.P. All authors have read and agreed to the published version of the manuscript.

Funding

This research was funded by São Paulo Research Foundation (FAPESP), grant number 2018/25363-2. The authors would like to thank the Coordenação de Aperfeiçoamento de Pessoal de Nível Superior—Brazil (CAPES) for financial (student grant—Finance Code 001) support of this research.

Institutional Review Board Statement

The experimental protocols and animal care in this study were approved by the guidelines of the Animal Care and Us Committee of the Veterinary and Animal Science College, São Paulo State University (number: 0192/2018—CEUA). The experiments were conducted according to the regulations and guidelines established by this committee.

Data Availability Statement

The data presented in this study are available upon request from the corresponding author.

Conflicts of Interest

The authors declare no conflict of interest.

References

  1. Lara, L.J.; Rostagno, M.H. Impact of Heat Stress on Poultry Production. Animals 2013, 3, 356–369. [Google Scholar] [CrossRef] [PubMed]
  2. Wang, Y.; Xia, L.; Guo, T.; Heng, C.; Jiang, L.; Wang, D.; Wang, J.; Li, K.; Zhan, X. Research Note: Metabolic changes and physiological responses of broilers in the final stage of growth exposed to different environmental temperatures. Poult. Sci. 2020, 99, 2017–2025. [Google Scholar] [CrossRef] [PubMed]
  3. Lin, H.; Jiao, H.C.; Buyse, J.; Decuypere, E. Strategies for preventing heat stress in poultry. Worlds Poult. Sci. J. 2006, 62, 71–86. [Google Scholar] [CrossRef]
  4. Galicia-Moreno, M.; Gutiérrez-Reyes, G. The role of oxidative stress in the development of alcoholic liver disease. Mex. J. Gastroenterol. 2014, 79, 135–144. [Google Scholar] [CrossRef]
  5. Miao, Q.; Si, X.; Xie, Y.; Chen, L.; Liu, Z.; Liu, L.; Tang, X.; Zhang, H. Effects of acute heat stress at different ambient temperature on hepatic redox status in broilers. Poult. Sci. 2020, 99, 4113–4122. [Google Scholar] [CrossRef]
  6. Jaeschke, H.; McGill, M.R.; Ramachandran, A. Oxidant stress, mitochondria, and cell death mechanisms in drug-induced liver injury: Lessons learned from acetaminophen hepatotoxicity. Drug Metab. Rev. 2012, 44, 88–106. [Google Scholar] [CrossRef] [PubMed]
  7. Zhang, J.F.; Bai, K.W.; Su, W.P.; Wang, A.A.; Zhang, L.L.; Huang, K.H.; Wang, T. Curcumin attenuates heat-stress-induced oxidant damage by simultaneous activation of GSH-related antioxidant enzymes and Nrf2-mediated phase II detoxifying enzyme systems in broiler chickens. Poult. Sci. 2018, 97, 1209–1219. [Google Scholar] [CrossRef]
  8. Luo, J.; Song, J.; Liu, L.; Xue, B.; Tian, G.; Yang, Y. Effect of epigallocatechin gallate on growth performance and serum biochemical metabolites in heat-stressed broilers. Poult. Sci. 2017, 97, 599–606. [Google Scholar] [CrossRef]
  9. Mahmoud, K.Z.; Edens, F.W.; Eisen, E.J.; Havenstein, G.B. Ascorbic acid decreases heat shock protein 70 and plasma corticosterone response in broilers (Gallus gallus domesticus) subjected to cyclic heat stress. Comp. Biochem. Physiol. Part B Biochem. Mol. Biol. 2004, 137, 35–42. [Google Scholar] [CrossRef]
  10. Roesler, R.; Lorencini, M.; Pastore, G. Brazilian cerrado antioxidant sources: Cytotoxicity and phototoxicity in vitro. Cienc. Tecnol. Aliment. 2010, 30, 814–821. [Google Scholar] [CrossRef]
  11. De Lima, A.; Silva, A.M.O.; Trindade, R.A.; Torres, R.P.; Mancini-Filho, J. Composição química e compostos bioativos presentes na polpa e na amêndoa do pequi (Caryocar brasiliense, Camb.). Rev. Bras. Frutic. 2007, 29, 695–698. [Google Scholar] [CrossRef]
  12. Malacrida, C.R.; Moraes, I.C.F.; de Rosso, V.V.; Rodrigues, C.E.D.C.; de Souza, A.C. Effect of the application of an enzymatic pretreatment on bioactive compounds of Caryocar brasiliense Camb. pulp oil. J. Food Process. Preserv. 2018, 42, e13828. [Google Scholar] [CrossRef]
  13. Miranda-Vilela, A.L.; Grisolia, C.K.; Sabioni, I.; Mendonca, M.A. Characterization of the major nutritional components of Caryocar brasiliense fruit pulp by nmr spectroscopy. Quim. Nova 2009, 32, 2310–2313. [Google Scholar] [CrossRef]
  14. Miranda-Vilela, A.L.; Grisolia, C.K.; Longo, J.P.F.; Peixoto, R.C.A.; de Almeida, M.C.; Barbosa, L.C.P.; Roll, M.M.; Portilho, F.A.; Estevanato, L.L.C.; Bocca, A.L.; et al. Oil rich in carotenoids instead of vitamins C and E as a better option to reduce doxorubicin-induced damage to normal cells of Ehrlich tumor-bearing mice: Hematological, toxicological and histopathological evaluations. J. Nutr. Biochem. 2014, 25, 1161–1176. [Google Scholar] [CrossRef] [PubMed]
  15. Ribeiro, D.; Freitas, M.; Silva, A.M.S.; Carvalho, F.; Fernandes, E. Antioxidant and pro-oxidant activities of carotenoids and their oxidation products. Food Chem. Toxicol. 2018, 120, 681–699. [Google Scholar] [CrossRef] [PubMed]
  16. Vale, A.F.; Ferreira, H.H.; Benetti, E.J.; Rebelo, A.C.S.; Figueiredo, A.C.R.; Barbosa, E.C.; Simões, K. Antioxidant effect of the pequi oil (Caryocar brasiliense) on the hepatic tissue of rats trained by exhaustive swimming exercises. Braz. J. Biol. 2018, 79, 257–262. [Google Scholar] [CrossRef] [PubMed]
  17. Hartman, L.; Lago, R.C. Rapid preparation of fatty acid methyl esters from lipids. Lab. Pract. 1973, 22, 475–476. [Google Scholar]
  18. Correa, C.R.; Chen, C.Y.O.; Aldini, G.; Rasmussen, H.; Ronchi, C.F.; Ronchi, C.B.; Cho, S.M.; Blumberg, J.B.; Yeum, K.J. Bioavailability of plant pigment phytochemicals in Angelica keiskei in older adults: A pilot absorption kinetic study. Nutr. Res. Pract. 2014, 8, 550–557. [Google Scholar] [CrossRef]
  19. Cobb-Vantress. Broiler Management Guide. Arkansas, USA. 2018. Available online: https://www.cobbvantress.com/products/cobb500 (accessed on 15 August 2019).
  20. Rostagno, H.S.; Albino, L.F.T.; Hannas, M.I.; Donzete, J.L.; Sakomura, N.K.; Perazzo, F.G.; Saraiva, A.; Teixeira, M.L.; Rodrigues, P.B.; de Oliveira, R.F.; et al. Tabelas Brasileiras Para Aves e Suínos: Composição de Alimentos e Exigências Nutricionais, 4th ed.; Animal Science Departament, Federal University of Viçosa: Viçosa, Brazil, 2017. [Google Scholar]
  21. Lucas, A.M.; Jamroz, C. Atlas of Avian Hematology; Agriculture Monograph 25; United States Department of Agriculture: Washington, DC, USA, 1961. [Google Scholar]
  22. Buege, J.A.; Aust, S.D. Microsomal lipid peroxidation. In Methods in Enzymology; Elsevier: New York, NY, USA, 1978. [Google Scholar]
  23. Vicente, I.S.T.; Fleuri, L.F.; Carvalho, P.L.P.F.; Guimarães, M.G.; Naliato, R.F.; Müller, H.d.C.; Sartori, M.M.P.; Pezzato, L.E.; Barros, M.M. Orange peel fragment improves antioxidant capacity and haematological profile of Nile tilapia subjected to heat/dissolved oxygen-induced stress. Aquac. Res. 2019, 50, 80–92. [Google Scholar] [CrossRef]
  24. Bradford, M.M. A rapid method for the quantification of microgram quantities of protein utilizing the principle of protein binding. Anal. Biochem. 1976, 72, 248–254. [Google Scholar] [CrossRef]
  25. Zhao, F.Q.; Zhang, Z.W.; Wang, C.; Zhang, B.; Yao, H.D.; Li, S.; Xu, S.W. The role of heat shock proteins in inflammatory injury induced by cold stress in chicken hearts. Cell Stress Chaperon. 2013, 18, 773–783. [Google Scholar] [CrossRef] [PubMed]
  26. Pfaffl, M.W. A new mathematical model for relative quantification in real-time RT-PCR. Nucleic Acids Res. 2001, 29, e45. [Google Scholar] [CrossRef] [PubMed]
  27. SAS Institute. SAS User’s Guide: Statistics; Version 9.2; SAS Institute: Cary, NC, USA, 2008. [Google Scholar]
  28. Puvadolpirod, S.; Thaxton, J.P. Model of physiological stress in chickens 1. Response parameters. Poult. Sci. 2000, 79, 363–369. [Google Scholar] [CrossRef] [PubMed]
  29. Post, J.; Rebel, J.M.; Ter-Huurne, A.A.H.M. Physiological effects of elevated plasma corticosterone concentrations in broiler chickens. An alternative means by which to assess the physiological effects of stress. Poult. Sci. 2003, 82, 1313–1318. [Google Scholar] [CrossRef]
  30. Campbell, J.E.; Hawke, T.J.; Riddell, M.C. Glucocorticoids are capable of stimulating both lipolysis and adipogenesis in 3T3-L1 adipocytes. Can. J. Diabetes 2009, 33, 302–303. [Google Scholar] [CrossRef]
  31. Ma, B.; Zhang, L.; Li, J.; Xing, T.; Jiang, Y.; Gao, F. Heat stress alters muscle protein and amino acid metabolism and accelerates liver gluconeogenesis for energy supply in broilers. Poult. Sci. 2021, 100, 215–223. [Google Scholar] [CrossRef]
  32. Yahav, S.; Mcmuetry, J.P. Thermotolerance Acquisition in Broiler Chickens by Temperature Conditioning Early in Life—The Effect of Timing and Ambient Temperaturey. Poult. Sci. 2001, 80, 1662–1666. [Google Scholar] [CrossRef]
  33. Kisliouk, T.; Yosefi, S.; Meiri, N. MiR-138 inhibits EZH2 methyltransferase expression and methylation of histone H3 at lysine 27, and affects thermotolerance acquisition. Eur. J. Neurosci. 2011, 33, 224–235. [Google Scholar] [CrossRef]
  34. Zulkifli, I.; Al-Aqil, A.; Omar, A.R.; Sazili, A.Q.; Rajion, M.A. Crating and heat stress influence blood parameters and heat shock protein 70 expression in broiler chickens showing short or long tonic immobility reactions. Poult. Sci. 2009, 88, 471–476. [Google Scholar] [CrossRef]
  35. Colombo, N.B.R.; Rangel, M.P.; Martins, V.; Hage, M.; Gelain, D.P.; Barbeiro, D.F.; Grisolia, C.K.; Parra, E.R.; Capelozzi, V.L. Caryocar brasiliense Camb. protects against genomic and oxidative damage in urethane-induced lung carcinogenesis. Braz. J. Med. Biol. Res. 2015, 48, 852–862. [Google Scholar] [CrossRef]
  36. Mahmoud, U.T.; Abdel-Rahman, M.A.; Darwish, M.H.A.; Mosaad, G.M. The effect of heat stress on blood picture of Japanese quail. J. Adv. Vet. Res. 2013, 3, 69–76. [Google Scholar]
  37. Chand, N.; Naz, S.; Khan, A.; Khan, S.; Khan, R.U. Performance traits and immune response of broiler chicks treated with zinc and ascorbic acid supplementation during cyclic heat stress. Int. J. Biometeorol. 2014, 58, 2153–2157. [Google Scholar] [CrossRef] [PubMed]
  38. Sturkie, P.D. Heart and circulation: Anatomy, hemodynamics, blood pressure, blood flow. In Avian Pysiology, 4th. ed.; Pring Verlag: New York, NY, USA, 1986. [Google Scholar]
  39. Bounous, D.I.; Stedman, N. Normal avian hematology: Chicken and turkey. In Schalm’s Veterinary Hematology, 5th ed.; Feldman, B.F., Zinkl, J.G., Jain, N.C., Eds.; Lippincott Williams & Wilkins: Philadelphia, PA, USA, 2000. [Google Scholar]
  40. He, S.; Li, S.; Arowolo, M.A.; Yu, Q.; Chen, F.; Hu, R.; He, J. Effect of resveratrol on growth performance, rectal temperature and serum parameters of yellow-feather broilers under heat stress. Anim. Sci. J. 2019, 90, 401–411. [Google Scholar] [CrossRef] [PubMed]
  41. Kulkarni, R.R.; Parreira, V.R.; Sharif, S.; Prescott, J.F. Immunization of Broiler Chickens against Clostridium perfringens-Induced Necrotic Enteritis. Clin. Vaccine Immunol. 2007, 14, 1070–1077. [Google Scholar] [CrossRef] [PubMed]
  42. Tan, G.Y.; Yang, L.; Fu, Y.Q.; Feng, J.H.; Zhang, M.H. Effects of different acute high ambient temperatures on function of hepatic mitochondrial respiration, antioxidative enzymes, and oxidative injury in broiler chickens. Poult. Sci. 2010, 89, 115–122. [Google Scholar] [CrossRef]
  43. Lambert, A.J.; Brand, M.D. Reactive Oxygen Species Production by Mitochondria. In Mitochondrial DNA: Methods in Molecular, 2nd ed.; Stuart, J.A., Ed.; Humana Press: Totowa, NJ, USA, 2009. [Google Scholar]
  44. Bokare, A.D.; Choi, W. Review of iron-free Fenton-like systems for activating H2O2 in advanced oxidation processes. J. Hazard. Mater. 2014, 275, 121–135. [Google Scholar] [CrossRef]
  45. Amiri, M.; Ghasemi, H.A.; Hajkhodadadi, I.; Farahani, A.H.K. Efficacy of guanidinoacetic acid at different dietary crude protein levels on growth performance, stress indicators, antioxidant status, and intestinal morphology in broiler chickens subjected to cyclic heat stress. Anim. Feed. Sci. Technol. 2019, 254, 114208. [Google Scholar] [CrossRef]
  46. Sahin, K.; Orhan, C.; Tuzcu, M.; Shain, N.; Hayirli, A.; Bilgili, S.; Kucuk, O. Lycopene activates antioxidant enzymes and nuclear transcription factor systems in heat-stressed broilers. Poult. Sci. 2016, 95, 1088–1095. [Google Scholar] [CrossRef]
  47. Rajput, N.; Naeem, M.; Ali, S.; Zhang, J.F.; Zhang, L.; Wang, T. The effect of dietary supplementation with the natural carotenoids curcumin and lutein on broiler pigmentation and immunity. Poult. Sci. 2013, 92, 1177–1185. [Google Scholar] [CrossRef]
  48. Yang, L.; Tan, G.Y.; Fu, Y.Q.; Feng, J.H.; Zhang, M.H. Effects of acute heat stress and subsequent stress removal on function of hepatic mitochondrial respiration, ROS production and lipid peroxidation in broiler chickens. Comp. Biochem. Physiol. Part C Toxicol. Pharmacol. 2010, 151, 204–208. [Google Scholar] [CrossRef]
  49. Sahin, K.; Orhan, C.; Tuzcu, Z.; Tuzcu, M.; Sahin, N. Curcumin ameloriates heat stress via inhibition of oxidative stress and modulation of Nrf2/HO-1 pathway in quail. Food Chem. Toxicol. 2012, 50, 4035–4041. [Google Scholar] [CrossRef] [PubMed]
  50. Zhang, J.; Hou, X.; Ahmad, H.; Zhang, H.; Zhang, L.; Wang, T. Assessment of free radicals scavenging activity of seven natural pigments and protective effects in AAPH-challenged chicken erythrocytes. Food Chem. 2014, 145, 57–65. [Google Scholar] [CrossRef] [PubMed]
  51. Jomova, K.; Valko, M. Health protective effects of carotenoids and their interactions with other biological antioxidants. Eur. J. Med. Chem. 2013, 70, 102–110. [Google Scholar] [CrossRef] [PubMed]
  52. Concepcion, M.R.; Avalos, J.; Bonet, M.L.; Boronat, A. A global perspective on carotenoids: Metabolism, biotechnology, and benefits for nutrition and health. Prog. Lipid Res. 2018, 70, 62–93. [Google Scholar] [CrossRef] [PubMed]
  53. Akbarian, A.; Michiels, J.; Golian, A.; Buyse, J.; Wang, Y.; De Smet, S. Gene expression of heat shock protein 70 and antioxidant enzymes, oxidative status, and meat oxidative stability of cyclically heat-challenged finishing broilers fed Origanum compactum and Curcuma xanthorrhiza essential oils. Poult. Sci. 2014, 93, 1930–1941. [Google Scholar] [CrossRef]
  54. Jiang, S.; Mohammed, A.A.; Jacobs, J.A.; Cramer, T.A.; Cheng, H.W. Effect of synbiotics on thyroid hormones, intestinal histomorphology, and heat shock protein 70 expression in broiler chickens reared under cyclic heat stress. Poult. Sci. 2020, 99, 142–150. [Google Scholar] [CrossRef]
  55. Craig, E.A.; Gross, C.A. Is hsp70 the cellular thermometer? Trends Biochem. Sci. 1991, 16, 135–140. [Google Scholar] [CrossRef]
  56. Felver-Gant, J.N.; Mack, L.A.; Dennis, R.L.; Eicher, S.D.; Cheng, H.W. Genetic variations alter physiological responses following heat stress in 2 strains of laying hens. Poult. Sci. 2012, 91, 1542–1551. [Google Scholar] [CrossRef]
Disclaimer/Publisher’s Note: The statements, opinions and data contained in all publications are solely those of the individual author(s) and contributor(s) and not of MDPI and/or the editor(s). MDPI and/or the editor(s) disclaim responsibility for any injury to people or property resulting from any ideas, methods, instructions or products referred to in the content.

Article Metrics

Citations

Article Access Statistics

Multiple requests from the same IP address are counted as one view.