Galectinology of Equine Pregnancy
Abstract
Simple Summary
Abstract
1. Introduction
2. Material and Methods
2.1. Animal Use and Tissue Collection
2.2. RNA Isolation
2.3. RNA Sequencing
2.4. Statistics
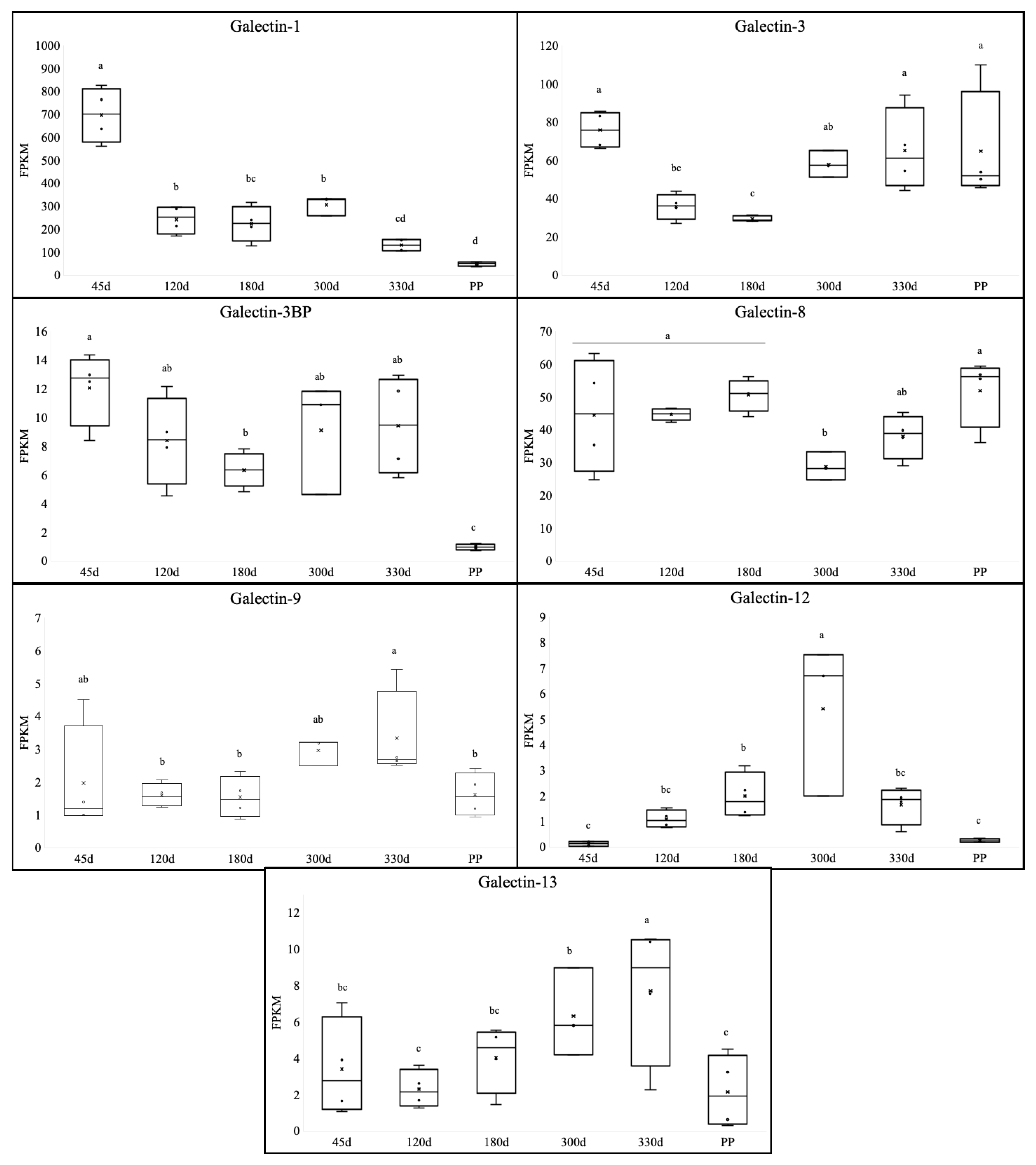
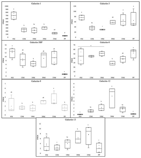
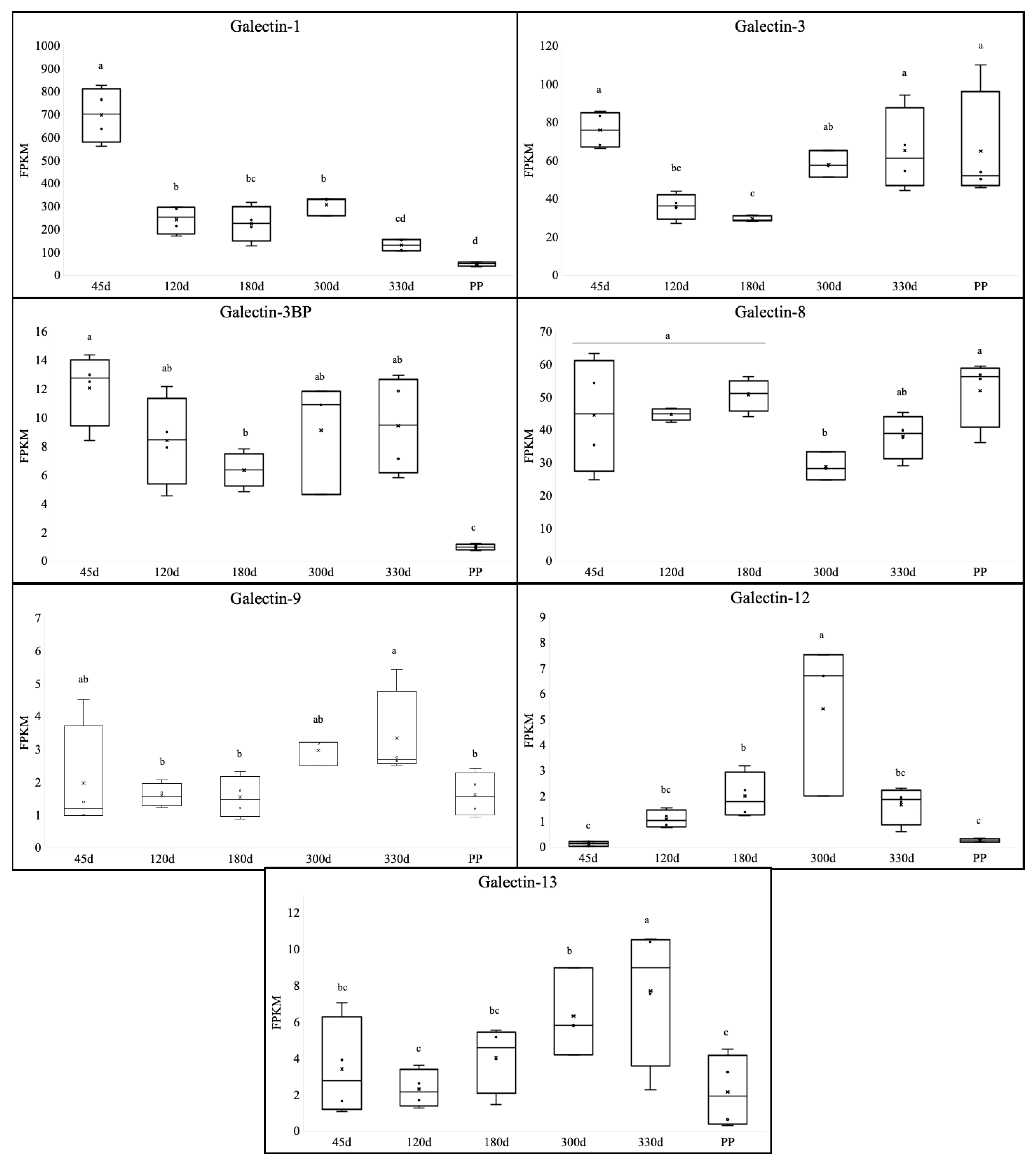
3. Results
Galectin Expression in Normal Pregnancy
4. Discussion
Author Contributions
Funding
Institutional Review Board Statement
Informed Consent Statement
Data Availability Statement
Conflicts of Interest
References
- Liu, F.T.; Patterson, R.J.; Wang, J.L. Intracellular functions of galectins. Biochim. Biophys. Acta 2002, 1572, 263–273. [Google Scholar] [CrossRef] [PubMed]
- Nickel, W. Unconventional secretory routes: Direct protein export across the plasma membrane of mammalian cells. Traffic 2005, 6, 607–614. [Google Scholar] [CrossRef] [PubMed]
- Rabinovich, G.A.; Toscano, M.A.; Jackson, S.S.; Vasta, G.R. Functions of cell surface galectin-glycoprotein lattices. Curr. Opin. Struct. Biol. 2007, 17, 513–520. [Google Scholar] [CrossRef] [PubMed]
- Hernandez, J.D.; Baum, L.G. Ah, sweet mystery of death! Galectins and control of cell fate. Glycobiology 2002, 12, 127R–136R. [Google Scholar] [CrossRef]
- Blois, S.M.; Ilarregui, J.M.; Tometten, M.; Garcia, M.; Orsal, A.S.; Cordo-Russo, R.; Toscano, M.A.; Blanco, G.A.; Kobelt, P.; Handjiski, B.; et al. A pivotal role for galectin-1 in fetomaternal tolerance. Nat. Med. 2007, 13, 1450–1457. [Google Scholar] [CrossRef]
- Kolundzic, N.; Bojic-Trbojevic, Z.; Kovecevic, T.; Stefanoska, I.; Kadoya, T.; Vicovac, L. Galectin-1 is part of human trophoblast invasion machinery-a functional study in vitro. PLoS ONE 2011, 6, e285142014. [Google Scholar] [CrossRef]
- Kolundzic, N.; Bojic-Trbojevic, Z.; Radojcic, L.; Petronoijevic, M.; Vivovac, L. Galectin-8 is expressed by villous and extravillous trophoblast of the human placenta. Placenta 2011, 32, 909–911. [Google Scholar] [CrossRef]
- Hirota, Y.; Burnum, K.E.; Acar, N.; Rabinovich, G.A.; Daikoku, T.; Dey, S.K. Galectin-1 markedly reduces the incidence of resorptions in mice missing immunophilin FKBP52. Endocrinology 2012, 153, 2486–2493. [Google Scholar] [CrossRef]
- Gitt, M.A.; Wiser, M.F.; Leffler, H.; Hermann, J.; Xia, Y.R.; Massa, S.M.; Cooper, D.N.; Lusis, A.J.; Barondes, S.H. Sequence and mapping of galectin-5, a beta-galactoside-binding lectin, found in rat erythrocytes. J. Biol. Chem. 1995, 270, 5032–5038. [Google Scholar] [CrossRef]
- Sakthivel, D.; Littler, D.; Shahine, A.; Troy, S.; Johnson, M.; Rossjohn, J.; Piedrafita, D.; Beddoe, T. Cloning, expression, purification and crystallographic studies of galectin-11 from domestic sheep (Ovis aries). Acta Crystallogr. Sect. F Struct. Biol. Commun. 2015, 71, 993–997. [Google Scholar] [CrossRef]
- Lewis, S.K.; Farmer, J.L.; Burghardt, R.C.; Newton, G.R.; Johnson, G.A.; Adelson, D.L.; Bazer, F.W.; Spencer, T.E. Galectin 15 (LGALS15): A gene uniquely expressed in the uteri of sheep and goats that functions in trophoblast attachment. Biol. Reprod. 2007, 77 Pt 8, 1027–1036. [Google Scholar] [CrossRef] [PubMed]
- Conley, A.J. Review of the reproductive endocrinology of the pregnant and parturient mare. Theriogenology 2016, 86, 355–365. [Google Scholar] [CrossRef] [PubMed]
- Allen, W.R.; Hamilton, D.W.; Moor, R.M. The origin of equine endometrial cups. II. Invasion of the endometrium by trophoblast. Anat. Rec. 1973, 177, 485–501. [Google Scholar] [CrossRef] [PubMed]
- Allen, W.R.; Moor, R.M. The origin of the equine endometrial cups. I. Production of PMSG by fetal trophoblast cells. J. Reprod. Fertil. 1972, 29, 313–316. [Google Scholar] [CrossRef] [PubMed]
- Fedorka, C.E.; Ball, B.A.; Loux, S.L.; Adams, A.A.; Troedsson, M.H.T. Alterations in T cell-related transcripts at the feto-maternal interface throughout equine gestation. Placenta 2020, 89, 78–87. [Google Scholar] [CrossRef] [PubMed]
- Wilsher, S.; Newcombe, J.R.; Allen, W.R.T. The immunolocalization of Galectin-1 and Progesterone-Induced Blocking Factor (PIBF) in equine trophoblast: Possible roles in trophoblast invasion and the immunological protection of pregnancy. Placenta 2019, 85, 32–39. [Google Scholar] [CrossRef]
- Hafez, S. Comparative Placental Anatomy: Divergent Structures Serving a Common Purpose. Prog. Mol. Biol. Transl. Sci. 2017, 145, 1–28. [Google Scholar]
- Douglas, R.H.; Ginther, O.J. Development of the equine fetus and placenta. J. Reprod. Fertil. Suppl. 1975, 23, 503–505. [Google Scholar]
- El-Sheikh Ali, H.; Scoggin, K.E.; Ruby, R.; Loynachan, A.; Boakari, Y.; Fernendes, C.; Dini, P.; Fedorka, C.E.; Loux, S.C.; Esteller-Vico, A.; et al. Equine cervical remodeling during placentitis and the prepartum period: A transcriptomic approach. Reproduction 2021, 161, 603–621. [Google Scholar] [CrossRef]
- El-Sheikh Ali, H.; Loux, S.C.; Kennedy, L.; Scoggin, K.E.; Dini, P.; Fedorka, C.E.; Kalbfleisch, T.S.; Esteller-Vico, A.; Horohov, D.W.; Erol, E.; et al. Transcriptomic Analysis of Equine Placenta Reveals Key Regulators and Pathways Involved in Ascending Placentitis. Biol. Reprod. 2020, 104, 638–656. [Google Scholar] [CrossRef]
- Dobin, A.; Gingeras, T.R. Mapping RNA-seq Reads with STAR. Curr. Protoc. Bioinform. 2015, 51, 11–14. [Google Scholar] [CrossRef] [PubMed]
- Trapnell, C.; Roberts, A.; Goff, L.; Pertea, G.; Kim, D.; Kelley, D.R.; Pimentel, H.; Salzberg, S.L.; Rinn, J.L.; Pachter, L. Differential gene and transcript expression analysis of RNA-seq experiments with TopHat and Cufflinks. Nat. Protoc. 2012, 7, 562–578. [Google Scholar] [CrossRef] [PubMed]
- Johannes, L.; Jacob, R.; Leffler, H. Galectins at a glance. J. Cell Sci. 2018, 131, jcs208884. [Google Scholar] [CrossRef]
- von Wolff, M.; Wang, X.; Gabius, H.J.; Strowitzki, T. Galectin fingerprinting in human endometrium and decidua during the menstrual cycle and in early gestation. Mol. Hum. Reprod. 2005, 11, 189–194. [Google Scholar] [CrossRef]
- Choe, Y.S.; Shim, C.; Choi, D.; Lee, C.S.; Lee, K.K.; Kim, K. Expression of galectin-1 mRNA in the mouse uterus is under the control of ovarian steroids during blastocyst implantation. Mol. Reprod. Dev. 1997, 48, 261–266. [Google Scholar] [CrossRef]
- Walzel, H.; Brock, J.; Pohland, R.; Vanselow, J.; Tomek, W.; Schneider, F.; Tiemann, U. Effects of galectin-1 on regulation of progesterone production in granulosa cells from pig ovaries in vitro. Glycobiology 2004, 14, 871–881. [Google Scholar] [CrossRef]
- Camby, I.; Le Mercier, M.; Lefranc, F.; Kiss, R. Galectin-1: A small protein with major functions. Glycobiology 2006, 16, 137R–157R. [Google Scholar] [CrossRef]
- Than, N.G.; Pick, E.; Bellyei, S.; Szigeti, A.; Burger, O.; Berente, Z.; Janaky, T.; Boronkai, A.; Kliman, H.; Meiri, H.; et al. Functional analyses of placental protein 13/galectin-13. Eur. J. Biochem. 2004, 271, 1065–1078. [Google Scholar] [CrossRef]
- Sammar, M.; Drodnjak, T.; Mandala, M.; Gizurarson, S.; Huppertz, B.; Meiri, H. Galectin 13 (PP13) Facilitates Remodeling and Structural Stabilization of Maternal Vessels during Pregnancy. Int. J. Mol. Sci. 2019, 20, 3192. [Google Scholar] [CrossRef]
- Than, N.G.; Abdul Rahman, O.; Magenheim, R.; Nagy, B.; Fule, T.; Hargitai, B.; Sammar, M.; Hupuczi, P.; Tarca, A.L.; Szabo, G.; et al.; et al. Placental protein 13 (galectin-13) has decreased placental expression but increased shedding and maternal serum concentrations in patients presenting with preterm pre-eclampsia and HELLP syndrome. Virchows Arch. 2008, 453, 387–400. [Google Scholar] [CrossRef]
- Than, N.G.; Balogh, A.; Romero, R.; Karpati, E.; Erez, O.; Szilagyl, A.; Kovalszky, I.; Sammar, M.; Gizurarson, S.; Matko, J.; et al. Placental Protein 13 (PP13)—A Placental Immunoregulatory Galectin Protecting Pregnancy. Front. Immunol. 2014, 5, 348. [Google Scholar] [CrossRef] [PubMed]
- Yamamoto, H.; Nishi, N.; Shoji, H.; Itoh, A.; Lu, L.H.; Hirashima, M.; Nakamura, T. Induction of cell adhesion by galectin-8 and its target molecules in Jurkat T-cells. J. Biochem. 2008, 143, 311–324. [Google Scholar] [CrossRef] [PubMed]
- Nishi, N.; Shoji, H.; Seki, M.; Itoh, A.; Miyanaka, H.; Yuube, K.; Hiroshima, M.; Nakamura, T. Galectin-8 modulates neutrophil function via interaction with integrin alphaM. Glycobiology 2003, 13, 755–763. [Google Scholar] [CrossRef]
- Cattaneo, V.; Tribulatti, M.V.; Campetella, O. Galectin-8 tandem-repeat structure is essential for T-cell proliferation but not for co-stimulation. Biochem. J. 2011, 434, 153–160. [Google Scholar] [CrossRef] [PubMed]
- Brinchmann, M.F.; Patel, D.M.; Iversen, M.H. The Role of Galectins as Modulators of Metabolism and Inflammation. Mediators Inflamm. 2018, 2018, 9186940. [Google Scholar] [CrossRef] [PubMed]
- Wan, L.; Lin, H.J.; Huang, C.C.; Chen, Y.C.; Hsu, Y.A.; Lin, C.H.; Lin, H.C.; Chang, C.H.; Huang, S.H.; Lin, J.M.; et al. Galectin-12 enhances inflammation by promoting M1 polarization of macrophages and reduces insulin sensitivity in adipocytes. Glycobiology 2016, 26, 732–744. [Google Scholar] [CrossRef] [PubMed]
- Wan, L.; Yang, R.Y.; Liu, F.T. Galectin-12 in Cellular Differentiation, Apoptosis and Polarization. Int. J. Mol. Sci. 2018, 19, 176. [Google Scholar] [CrossRef]
- Walker, C.G.; Meier, S.; Littlejohn, M.D.; Lehnert, K.; Roche, J.R.; Mitchell, M.D. Modulation of the maternal immune system by the pre-implantation embryo. BMC Genom. 2010, 11, 474. [Google Scholar] [CrossRef]
- Phillips, B.; Knisley, K.; Weitlauf, K.D.; Dorsett, J.; Lee, V.; Weitlauf, H. Differential expression of two beta-galactoside-binding lectins in the reproductive tracts of pregnant mice. Biol. Reprod. 1996, 55, 548–558. [Google Scholar] [CrossRef][Green Version]
- Dong, R.; Zhang, M.; Hu, Q.; Zheng, S.; Soh, A.; Zheng, Y.; Yuan, H. Galectin-3 as a novel biomarker for disease diagnosis and a target for therapy (Review). Int. J. Mol. Med. 2018, 41, 599–614. [Google Scholar] [CrossRef]
- Chung, A.W.; Sieling, P.A.; Schenk, M.; Teles, R.M.; Krutzik, S.R.; Hsu, D.K.; Liu, F.T.; Samo, E.N.; Rea, T.H.; Stenger, S.; et al. Galectin-3 regulates the innate immune response of human monocytes. J. Infect. Dis. 2013, 207, 947–956. [Google Scholar] [CrossRef] [PubMed]
- Kaur, M.; Kumar, D.; Butty, V.; Singh, S.; Esteban, A.; Fink, G.R.; Ploegh, H.L.; Sehrawat, S. Galectin-3 Regulates gamma-Herpesvirus Specific CD8 T Cell Immunity. iScience 2018, 9, 101–119. [Google Scholar] [CrossRef] [PubMed]
- Cardoso, A.C.; Andrade, A.C.; Bustos, S.O.; Chammas, R. Galectin-3 Determines Tumor Cell Adaptive Strategies in Stressed Tumor Microenvironments. Front. Oncol. 2016, 6, 127. [Google Scholar] [CrossRef] [PubMed]
- Chan, C.; Bode, L.; Kim, J. Galectin-3 binding protein in human preterm infant umbilical cord plasma. J. Neonatal. Perinatal. Med. 2015, 8, 99–104. [Google Scholar] [CrossRef]
- Chan, C.S.; Kim, H.Y.; Autran, C.; Kim, J.H.; Sinkala, M.; Kankasa, C.; Mwiya, M.; Thea, D.M.; Aldrovandi, G.M.; Kuhn, L.; et al. Human milk galectin-3 binding protein and breast-feeding-associated HIV transmission. Pediatr. Infect. Dis. J. 2013, 32, e473–e475. [Google Scholar] [CrossRef]
- Zhu, C.; Anderson, A.C.; Kuchroo, V.K. TIM-3 and its regulatory role in immune responses. Curr. Top Microbiol. Immunol. 2011, 350, 1–15. [Google Scholar]
- Oomizu, S.; Arikawa, T.; Niki, T.; Kadowaki, T.; Ueno, M.; Nishi, N.; Yamauchi, A.; Hattori, T.; Masaki, T.; Hirashima, M. Cell surface galectin-9 expressing Th cells regulate Th17 and Foxp3+ Treg development by galectin-9 secretion. PLoS ONE 2012, 7, e48574. [Google Scholar] [CrossRef] [PubMed]
- Oomizu, S.; Arikawa, T.; Niki, T.; Kadowaki, T.; Ueno, M.; Nishi, N.; Yamauchi, A.; Hirashima, M. Galectin-9 suppresses Th17 cell development in an IL-2-dependent but Tim-3-independent manner. Clin. Immunol. 2012, 143, 51–58. [Google Scholar] [CrossRef]


Disclaimer/Publisher’s Note: The statements, opinions and data contained in all publications are solely those of the individual author(s) and contributor(s) and not of MDPI and/or the editor(s). MDPI and/or the editor(s) disclaim responsibility for any injury to people or property resulting from any ideas, methods, instructions or products referred to in the content. |
© 2022 by the authors. Licensee MDPI, Basel, Switzerland. This article is an open access article distributed under the terms and conditions of the Creative Commons Attribution (CC BY) license (https://creativecommons.org/licenses/by/4.0/).
Share and Cite
Fedorka, C.E.; Ali, H.E.-S.; Troedsson, M.H.T. Galectinology of Equine Pregnancy. Animals 2023, 13, 129. https://doi.org/10.3390/ani13010129
Fedorka CE, Ali HE-S, Troedsson MHT. Galectinology of Equine Pregnancy. Animals. 2023; 13(1):129. https://doi.org/10.3390/ani13010129
Chicago/Turabian StyleFedorka, Carleigh E., Hossam El-Sheikh Ali, and Mats H. T. Troedsson. 2023. "Galectinology of Equine Pregnancy" Animals 13, no. 1: 129. https://doi.org/10.3390/ani13010129
APA StyleFedorka, C. E., Ali, H. E.-S., & Troedsson, M. H. T. (2023). Galectinology of Equine Pregnancy. Animals, 13(1), 129. https://doi.org/10.3390/ani13010129

