Long-Term In Vitro Maintenance of Piglet Testicular Tissue: Effects of Tissue Fragment Size, Preparation Method, and Serum Source
Abstract
Simple Summary
Abstract
1. Introduction
2. Materials and Methods
2.1. Experimental Design
2.2. Testis Collection and Preparation of Testicular Fragments
2.3. Culture of Tissue Fragments
2.4. Histological Analysis
2.5. Immunohistochemistry
2.6. Statistical Analysis
3. Results
3.1. Tissue Degeneration Scores of Seminiferous Cords
3.2. Histopathological Findings
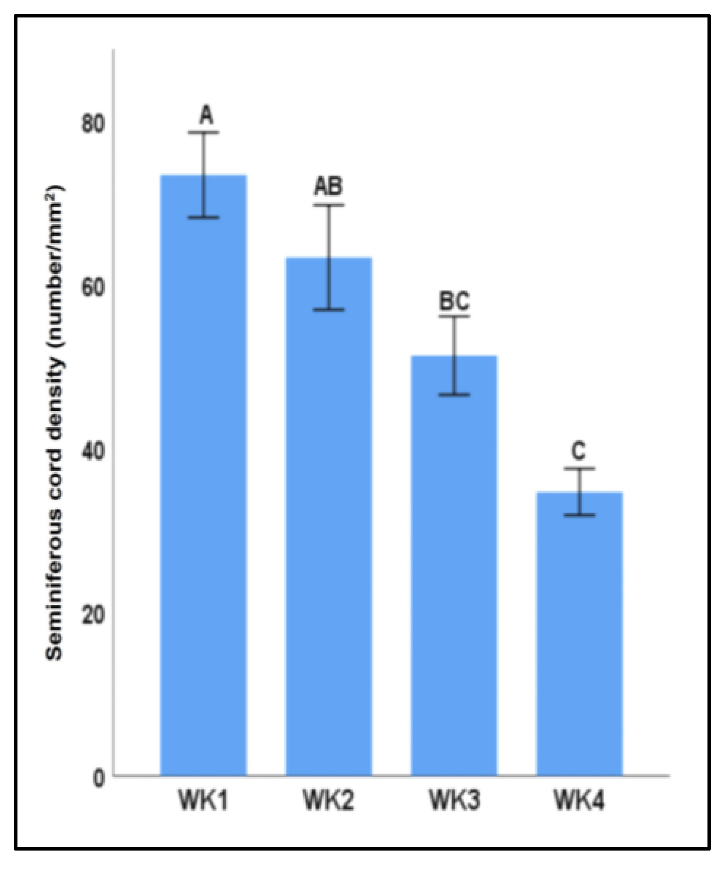
3.3. Density and Morphology of Seminiferous Cords
3.4. Relative Number of Gonocytes
4. Discussion
5. Conclusions
Supplementary Materials
Author Contributions
Funding
Institutional Review Board Statement
Informed Consent Statement
Data Availability Statement
Acknowledgments
Conflicts of Interest
References
- Ward, E.; DeSantis, C.; Robbins, A.; Kohler, B.; Jemal, A. Childhood and adolescent cancer statistics, 2014. CA Cancer J. Clin. 2014, 64, 83–103. [Google Scholar] [CrossRef] [PubMed]
- Wasilewski-Masker, K.; Seidel, K.D.; Leisenring, W.; Mertens, A.C.; Shnorhavorian, M.; Ritenour, C.W.; Stovall, M.; Green, D.M.; Sklar, C.A.; Armstrong, G.T.; et al. Male infertility in long-term survivors of pediatric cancer: A report from the childhood cancer survivor study. J. Cancer Surviv. 2014, 8, 437–447. [Google Scholar] [CrossRef] [PubMed]
- Orwig, K.E.; Schlatt, S. Cryopreservation and transplantation of spermatogonia and testicular tissue for preservation of male fertility. J. Natl. Cancer Inst. Monogr. 2005, 2005, 51–56. [Google Scholar] [CrossRef] [PubMed]
- Ibtisham, F.; Wu, J.; Xiao, M.; An, L.; Banker, Z.; Nawab, A.; Zhao, Y.; Li, G. Progress and future prospect of in vitro spermatogenesis. Oncotarget 2017, 8, 66709–66727. [Google Scholar] [CrossRef] [PubMed]
- Ibtisham, F.; Awang-Junaidi, A.H.; Honaramooz, A. The study and manipulation of spermatogonial stem cells using animal models. Cell Tissue Res. 2020, 380, 393–414. [Google Scholar] [CrossRef]
- Ibtisham, F.; Honaramooz, A. Spermatogonial stem cells for in vitro spermatogenesis and in vivo restoration of fertility. Cells 2020, 9, 745. [Google Scholar] [CrossRef]
- Brinster, R.L.; Zimmermann, J.W. Spermatogenesis following male germ-cell transplantation. Proc. Natl. Acad. Sci. USA 1994, 91, 11298–11302. [Google Scholar] [CrossRef]
- Honaramooz, A.; Behboodi, E.; Blash, S.; Megee, S.O.; Dobrinski, I. Germ cell transplantation in goats. Mol. Reprod. Dev. 2003, 64, 422–428. [Google Scholar] [CrossRef]
- Honaramooz, A.; Megee, S.O.; Dobrinski, I. Germ cell transplantation in pigs. Biol. Reprod. 2002, 66, 21–28. [Google Scholar] [CrossRef]
- Schlatt, S.; Foppiani, L.; Rolf, C.; Weinbauer, G.F.; Nieschlag, E. Germ cell transplantation into X-irradiated monkey testes. Hum. Reprod. 2002, 17, 55–62. [Google Scholar] [CrossRef]
- Nagano, M.; Patrizio, P.; Brinster, R.L. Long-term survival of human spermatogonial stem cells in mouse testes. Fertil. Steril. 2002, 78, 1225–1233. [Google Scholar] [CrossRef] [PubMed]
- Honaramooz, A.; Snedaker, A.; Boiani, M.; Scholer, H.; Dobrinski, I.; Schlatt, S. Sperm from neonatal mammalian testes grafted in mice. Nature 2002, 418, 778–781. [Google Scholar] [CrossRef] [PubMed]
- Awang-Junaidi, A.H.; Singh, J.; Honaramooz, A. Regeneration of testis tissue after ectopic implantation of porcine testis cell aggregates in mice: Improved consistency of outcomes and insitu monitoring. Reprod. Fertil. Dev. 2020; 32, 594–609. [Google Scholar] [CrossRef] [PubMed]
- Ibtisham, F.; Zhao, Y.; Nawab, A.; Wu, J.; Mei, X.; Honaramooz, A.; An, L. In vitro production of haploid germ cells from murine spermatogonial stem cells using a two-dimensional cell culture system. Theriogenology 2021, 162, 84–94. [Google Scholar] [CrossRef]
- Lee, J.H.; Kim, H.J.; Kim, H.; Lee, S.J.; Gye, M.C. In vitro spermatogenesis by three-dimensional culture of rat testicular cells in collagen gel matrix. Biomaterials 2006, 27, 2845–2853. [Google Scholar] [CrossRef]
- Sato, T.; Katagiri, K.; Yokonishi, T.; Kubota, Y.; Inoue, K.; Ogonuki, N.; Matoba, S.; Ogura, A.; Ogawa, T. In vitro production of fertile sperm from murine spermatogonial stem cell lines. Nat. Commun. 2011, 2, 472. [Google Scholar] [CrossRef]
- Sato, T.; Katagiri, K.; Gohbara, A.; Inoue, K.; Ogonuki, N.; Ogura, A.; Kubota, Y.; Ogawa, T. In vitro production of functional sperm in cultured neonatal mouse testes. Nature 2011, 471, 504–507. [Google Scholar] [CrossRef]
- Sato, T.; Yokonishi, T.; Komeya, M.; Katagiri, K.; Kubota, Y.; Matoba, S.; Ogonuki, N.; Ogura, A.; Yoshida, S.; Ogawa, T. Testis tissue explantation cures spermatogenic failure in c-Kit ligand mutant mice. Proc. Natl. Acad. Sci. USA 2012, 109, 16934–16938. [Google Scholar] [CrossRef]
- Yokonishi, T.; Sato, T.; Komeya, M.; Katagiri, K.; Kubota, Y.; Nakabayashi, K.; Hata, K.; Inoue, K.; Ogonuki, N.; Ogura, A.; et al. Offspring production with sperm grown in vitro from cryopreserved testis tissues. Nat. Commun. 2014, 5, 4320. [Google Scholar] [CrossRef]
- Yang, Y.; Steeg, J.; Honaramooz, A. The effects of tissue sample size and media on short-term hypothermic preservation of porcine testis tissue. Cell Tissue Res. 2010, 340, 397–406. [Google Scholar] [CrossRef]
- Cham, T.C.; Ibtisham, F.; Fayaz, M.A.; Honaramooz, A. Generation of a highly biomimetic organoid, including vasculature, resembling the native immature testis tissue. Cells 2021, 10, 1696. [Google Scholar] [CrossRef] [PubMed]
- Komeya, M.; Kimura, H.; Nakamura, H.; Yokonishi, T.; Sato, T.; Kojima, K.; Hayashi, K.; Katagiri, K.; Yamanaka, H.; Sanjo, H.; et al. Long-term ex vivo maintenance of testis tissues producing fertile sperm in a microfluidic device. Sci. Rep. 2016, 6, 21472. [Google Scholar] [CrossRef] [PubMed]
- Kojima, K.; Nakamura, H.; Komeya, M.; Yamanaka, H.; Makino, Y.; Okada, Y.; Akiyama, H.; Torikai, N.; Sato, T.; Fujii, T.; et al. Neonatal testis growth recreated in vitro by two-dimensional organ spreading. Biotechnol. Bioeng. 2018, 115, 3030–3041. [Google Scholar] [CrossRef] [PubMed]
- Feng, X.; Liu, L.; Yu, B.-Q.; Huang, J.-M.; Gu, L.-D.; Xu, D.-F. Effect of optimized collagenase digestion on isolated and cultured nucleus pulposus cells in degenerated intervertebral discs. Medicine 2018, 97, e12977. [Google Scholar] [CrossRef] [PubMed]
- Gohbara, A.; Katagiri, K.; Sato, T.; Kubota, Y.; Kagechika, H.; Araki, Y.; Araki, Y.; Ogawa, T. In vitro murine spermatogenesis in an organ culture system. Biol. Reprod. 2010, 83, 261–267. [Google Scholar] [CrossRef] [PubMed]
- Ibtisham, F.; Zhao, Y.; Nawab, A.; Liguang, H.; Wu, J.; Xiao, M.; Zhao, Z.; An, L. The effect of high temperature on viability, proliferation, apoptosis and anti-oxidant status of chicken embryonic fibroblast cells. Braz. J. Poult. Sci. 2018, 20, 463–470. [Google Scholar] [CrossRef]
- Wu, J.; Ibtisham, F.; Niu, Y.F.; Wang, Z.; Li, G.H.; Zhao, Y.; Nawab, A.; Xiao, M.; An, L. Curcumin inhibits heat-induced oxidative stress by activating the MAPK-Nrf2 / ARE signaling pathway in chicken fibroblasts cells. J. Therm. Biol. 2019, 79, 112–119. [Google Scholar] [CrossRef]
- Komeya, M.; Hayashi, K.; Nakamura, H.; Yamanaka, H.; Sanjo, H.; Kojima, K.; Sato, T.; Yao, M.; Kimura, H.; Fujii, T.; et al. Pumpless microfluidic system driven by hydrostatic pressure induces and maintains mouse spermatogenesis in vitro. Sci. Rep. 2017, 7, 15459. [Google Scholar] [CrossRef]
- Luo, J.; Megee, S.; Rathi, R.; Dobrinski, I. Protein gene product 9.5 is a spermatogonia-specific marker in the pig testis: Application to enrichment and culture of porcine spermatogonia. Mol. Reprod. Dev. 2006, 73, 1531–1540. [Google Scholar] [CrossRef]
- He, Z.; Kokkinaki, M.; Jiang, J.; Dobrinski, I.; Dym, M. Isolation, characterization, and culture of human spermatogonia. Biol. Reprod. 2010, 82, 363–372. [Google Scholar] [CrossRef]
- Wrobel, K.H. Prespermatogenesis and spermatogoniogenesis in the bovine testis. Anat. Embryol. 2000, 202, 209–222. [Google Scholar] [CrossRef] [PubMed]
- Silva, A.F.; Escada-Rebelo, S.; Amaral, S.; Tavares, R.S.; Schlatt, S.; Ramalho-Santos, J.; Mota, P.C. Can we induce spermatogenesis in the domestic cat using an in vitro tissue culture approach? PLoS ONE 2018, 13, e0191912. [Google Scholar] [CrossRef] [PubMed]
- Kuijk, E.W.; Colenbrander, B.; Roelen, B.A.J. The effects of growth factors on in vitro-cultured porcine testicular cells. Reproduction 2009, 138, 721–731. [Google Scholar] [CrossRef] [PubMed]






| Nuclei of Sertoli Cells and Gonocytes | Basement Membrane | Nuclei of Leydig Cells | |||||||||
|---|---|---|---|---|---|---|---|---|---|---|---|
| Distinction between Sertoli and gonocyte nuclei | Visibility of Sertoli and gonocyte nucleoli | Nuclei condensation | Detachment of cells from the basement membrane | Fragmentation of the basement membrane | Nuclei condensation | ||||||
| Score | Criteria | Score | Criteria | Score | Criteria | Score | Criteria | Score | Criteria | Score | Criteria |
| 0 | Easy | 0 | Visible in >40% | 0 | Completely absent | 0 | Completely absent | 0 | Completely absent | 0 | In <40% |
| −1 | Difficult | −1 | Indistinguishable | −1 | In <40% of nuclei | −2 | Partial | −1 | Obvious fragmentation | −1 | In >40% |
| −2 | Impossible | −2 | In >40% of nuclei | −3 | In >75% of the circumference | ||||||
Disclaimer/Publisher’s Note: The statements, opinions and data contained in all publications are solely those of the individual author(s) and contributor(s) and not of MDPI and/or the editor(s). MDPI and/or the editor(s) disclaim responsibility for any injury to people or property resulting from any ideas, methods, instructions or products referred to in the content. |
© 2022 by the authors. Licensee MDPI, Basel, Switzerland. This article is an open access article distributed under the terms and conditions of the Creative Commons Attribution (CC BY) license (https://creativecommons.org/licenses/by/4.0/).
Share and Cite
Ibtisham, F.; Cham, T.-C.; Fayaz, M.A.; Honaramooz, A. Long-Term In Vitro Maintenance of Piglet Testicular Tissue: Effects of Tissue Fragment Size, Preparation Method, and Serum Source. Animals 2023, 13, 128. https://doi.org/10.3390/ani13010128
Ibtisham F, Cham T-C, Fayaz MA, Honaramooz A. Long-Term In Vitro Maintenance of Piglet Testicular Tissue: Effects of Tissue Fragment Size, Preparation Method, and Serum Source. Animals. 2023; 13(1):128. https://doi.org/10.3390/ani13010128
Chicago/Turabian StyleIbtisham, Fahar, Tat-Chuan Cham, Mohammad Amin Fayaz, and Ali Honaramooz. 2023. "Long-Term In Vitro Maintenance of Piglet Testicular Tissue: Effects of Tissue Fragment Size, Preparation Method, and Serum Source" Animals 13, no. 1: 128. https://doi.org/10.3390/ani13010128
APA StyleIbtisham, F., Cham, T.-C., Fayaz, M. A., & Honaramooz, A. (2023). Long-Term In Vitro Maintenance of Piglet Testicular Tissue: Effects of Tissue Fragment Size, Preparation Method, and Serum Source. Animals, 13(1), 128. https://doi.org/10.3390/ani13010128

