The Effects of Fucoidan Dietary Supplementation on Growth Performance, Serum Antioxidant Capacity, Immune Function Indices and Intestinal Morphology in Weaned Kids
Abstract
:Simple Summary
Abstract
1. Introduction
2. Materials and Methods
2.1. Animals, Diet and Experimental Design
2.2. Growth Performance
2.3. Sample Collection and Organs’ Relative Weight
2.4. Serum Antioxidant
2.5. Serum Immunity
2.6. Intestinal Histomorphology
2.7. Statistical Analysis
3. Results
3.1. Grouth Performance
3.2. Organs’ Relative Weight
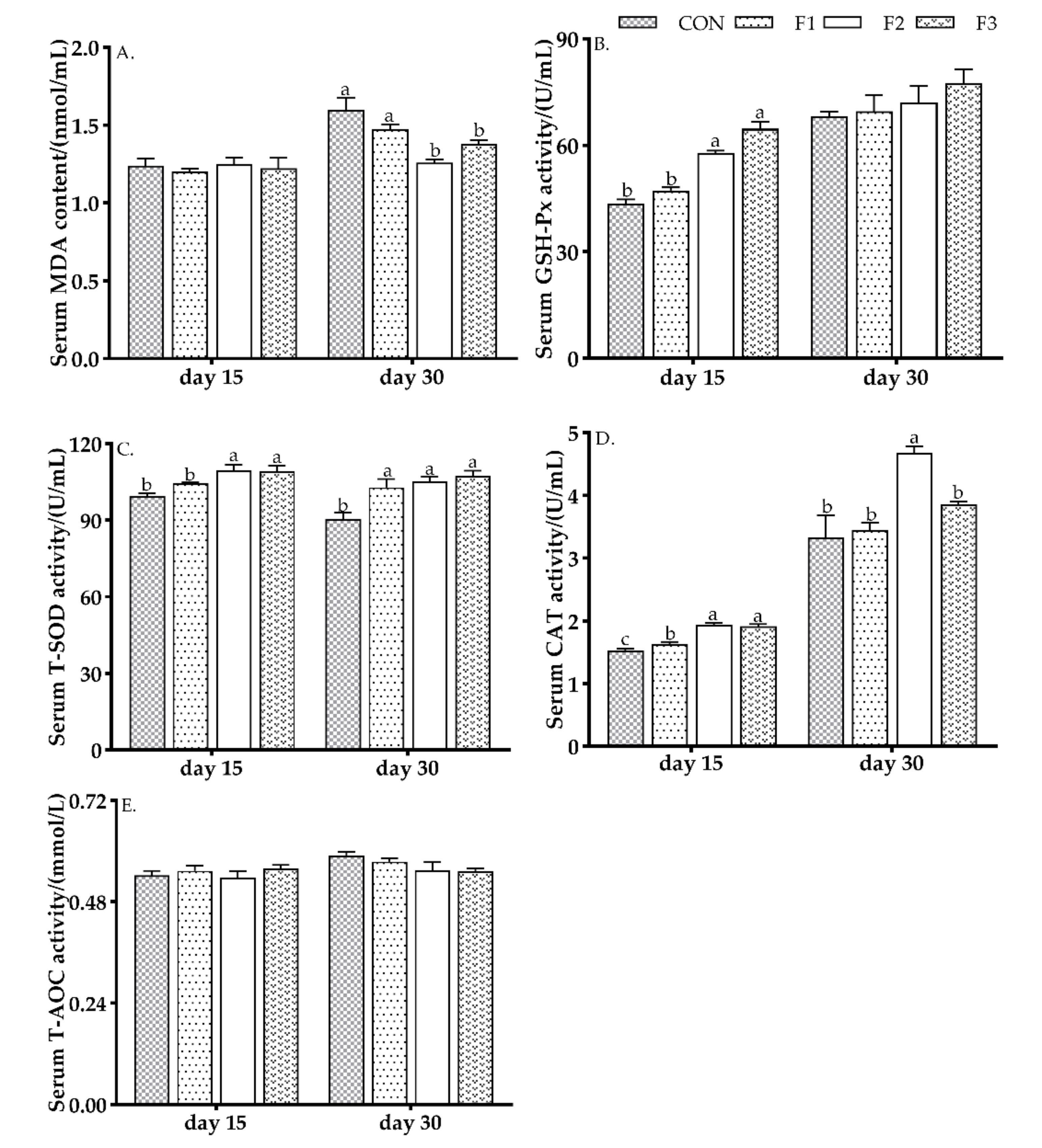
3.3. Serum Antioxidant Capacity
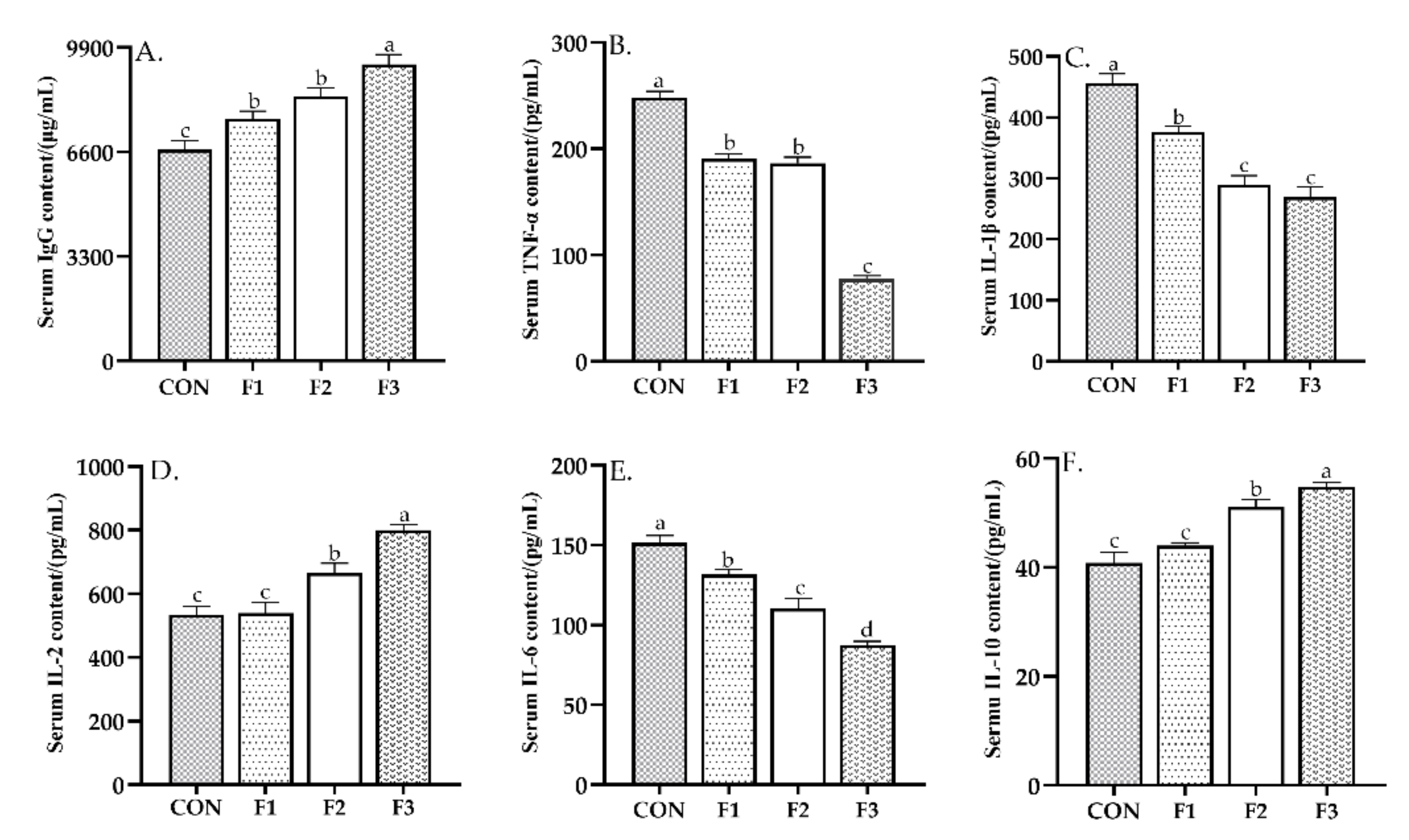
3.4. Serum Immuntiy Indices
3.5. Intestinal Morphology
4. Discussion
4.1. Growth Performance
4.2. Serum Antioxidant
4.3. Serum Immunity
4.4. Intestinal Morphology
5. Conclusions
Author Contributions
Funding
Institutional Review Board Statement
Data Availability Statement
Acknowledgments
Conflicts of Interest
References
- Han, Y.S.; Tang, C.H.; Li, Y.; Yu, Y.A.; Zhan, T.F.; Zhao, Q.Y.; Zhang, J.M. Effects of Dietary Supplementation with Clostridium butyricum on Growth Performance, Serum Immunity, Intestinal Morphology, and Microbiota as an Antibiotic Alternative in Weaned Piglets. Animals 2020, 10, 2287. [Google Scholar] [CrossRef] [PubMed]
- Zhang, M.Y.; Hou, G.J.; Hu, P.; Feng, D.; Wang, J.; Zhu, W.Y. Nano chitosan-zinc complex improves the growth performance and antioxidant capacity of the small intestine in weaned piglets. Br. J. Nutr. 2020, 126, 31–35. [Google Scholar] [CrossRef] [PubMed]
- Gabler, N.K.; Helm, E.T.; Mille, C.D. Impact of weaning stress, disease, and diet on pig performance, intestinal function and integrity. J. Anim. Sci. 2019, 97, 31–32. [Google Scholar] [CrossRef]
- Lourenco, J.M.; Hampton, R.S.; Johnson, H.M.; Callaway, T.R.; Rothrock, M.J.; Azain, M.J. The Effects of Feeding Antibiotic on the Intestinal Microbiota of Weanling Pigs. Front. Vet. Sci. 2021, 8, 131. [Google Scholar] [CrossRef]
- Liu, X.; Xi, X.Y.; Jia, A.R.; Zhang, M.S.; Cui, T.T.; Bai, X.F.; Shi, Y.P.; Liu, C.H. A fucoidan from Sargassum fusiforme with novel structure and its regulatory effects on intestinal microbiota in high-fat diet-fed mice. Food Chem. 2021, 358, 129908. [Google Scholar] [CrossRef]
- Zhu, Y.L.; Liu, L.B.; Sun, Z.Y.; Ji, Y.J.; Wang, D.Y.; Mei, L.; Shen, P.L.; Li, Z.X.; Tang, S.; Zhang, H.; et al. Fucoidan as a marine-origin prebiotic modulates the growth and antibacterial ability of Lactobacillus rhamnosus. Int. J. Biol. Macromol. 2021, 180, 599–607. [Google Scholar] [CrossRef]
- Hou, Y.; Wang, J.; Jin, W.H.; Zhang, H.; Zhang, Q.B. Degradation of Laminaria japonica fucoidan by hydrogen peroxide and antioxidant activities of the degradation products of different molecular weights. Carbohydr. Polym. 2012, 87, 153–159. [Google Scholar] [CrossRef]
- Gora, A.H.; Sahu, N.P.; Sahoo, S.; Rehman, S.; Dar, S.A.; Ahmad, I.; Agarwal, D. Effect of dietary Sargassum wightii and its fucoidan-rich extract on growth, immunity, disease resistance and antimicrobial peptide gene expression in Labeo rohita. Int. Aquat. Res. 2018, 10, 115–131. [Google Scholar] [CrossRef] [Green Version]
- Traifalgar, R.F.; Serrano, A.E.; Corre, V.; Kira, H.; Tung, H.T.; Michael, F.R.; Kader, M.A.; Laining, A.; Yokoyama, S.; Ishikawa, M.; et al. Evaluation of Dietary Fucoidan Supplementation Effects on Growth Performance and Vibriosis Resistance of Penaeus monodon Postlarvae. Aquac. Sci. 2009, 57, 167–174. [Google Scholar]
- Shokaiyan, M.; Ashayerizadeh, O.; Shams, S.M.; Dastar, B. Algal Crude Fucoidan Alone or with Bacillus subtilisDSM 17299in Broiler Chickens Diet: Growth Performance, Carcass Characteristics, Blood Metabolites, and Morphology of Intestine. Poult. Sci. J. 2019, 7, 87–94. [Google Scholar]
- Reilly, P.; O’Doherty, J.V.; Pierce, K.M.; Callan, J.J.; O’Sullivan, J.T.; Sweeney, T. The effects of seaweed extract inclusion on gut morphology, selected intestinal microbiota, nutrient digestibility, volatile fatty acid concentrations and the immune status of the weaned pig. Animal 2008, 2, 1465–1473. [Google Scholar] [CrossRef] [Green Version]
- Walsh, A.M.; Sweeney, T.; O’Shea, C.J.; Doyle, D.N.; O’Doherty, J.V. Effects of supplementing dietary laminarin and fucoidan on intestinal morphology and the immune gene expression in the weaned pig. J. Anim. Sci. 2012, 90, 284–286. [Google Scholar] [CrossRef] [PubMed] [Green Version]
- McDonnell, P.; Figat, S.; O’Doherty, J.V. The effect of dietary laminarin and fucoidan in the diet of the weanling piglet on performance, selected faecal microbial populations and volatile fatty acid concentrations. Animal 2010, 4, 579–585. [Google Scholar] [CrossRef] [Green Version]
- Sweeney, T.; Meredith, H.; Vigors, S.; Mcdonnell, M.J.; Ryan, M.; Thornton, K.; Doherty, J.V. Extracts of laminarin and laminarin/fucoidan from the marine macroalgal species Laminaria digitata improved growth rate and intestinal structure in young chicks, but does not influence Campylobacter jejuni colonisation. Anim. Feed Sci. Technol. 2017, 232, 71–79. [Google Scholar] [CrossRef]
- Cui, H.; Wang, Z.G.; Liu, J.; Wang, Y.X.X.; Wang, Z.X.; Fu, J.P.; Wan, Z.Y.; Li, R.D.; Li, Q.W.; Fitton, J.H.; et al. Effects of a highly purified fucoidan from Undaria pinnatifida on growth performance and intestine health status of gibel carp Carassius auratus gibelio. Aquac. Nutr. 2020, 26, 47–59. [Google Scholar] [CrossRef]
- Sony, N.M.; Ishikawa, M.; Hossain, M.S.; Koshio, S.; Yokoyama, S. The effect of dietary fucoidan on growth, immune functions, blood characteristics and oxidative stress resistance of juvenile red sea bream, Pagrus major. Fish Physiol. Biochem. 2018, 45, 439–454. [Google Scholar] [CrossRef]
- Liu, M.J.; Liu, W.J.; Zhang, W.J.; Yao, J.; Mo, X.C. Ultrasound-assisted extraction of boulardii yeast cell wall polysaccharides: Characterization and its biological functions on early-weaned lambs. Food Sci. Nutr. 2021, 9, 3617–3630. [Google Scholar] [CrossRef]
- Li, Y.; Guo, Y.L.; Zhang, C.X.; Cai, X.F.; Liu, P.; Li, C.L. Effects of physical forms of starter feed on growth, nutrient digestibility, gastrointestinal enzyme activity, and morphology of pre- and post-weaning lambs. Animal 2020, 15, 100044. [Google Scholar] [CrossRef]
- Rattigan, R.; Sweeney, T.; Vigors, S.; Thornton, K.; Rajauria, G.; O’Doherty, J.V. The Effect of Increasing Inclusion Levels of a Fucoidan-Rich Extract Derived from Ascophyllum nodosum on Growth Performance and Aspects of Intestinal Health of Pigs Post-Weaning. Mar. Drugs 2019, 17, 680. [Google Scholar] [CrossRef] [Green Version]
- Draper, J.; Walsh, A.M.; McDonnell, M.; O’Doherty, J.V. Maternally offered seaweed extracts improves the performance and health status of the postweaned pig. J. Anim. Sci. 2016, 94, 391–394. [Google Scholar] [CrossRef]
- Dang, D.X.; Liu, Y.J.; Chen, N.B.; Kim, I.H. Dietary supplementation of Aspergillus niger-expressed glucose oxidase ameliorates weaning stress and improves growth performance in weaning pigs. J. Anim. Physiol. Anim. Nutr. 2021, 00, 1–8. [Google Scholar] [CrossRef]
- Wang, S.Q.; Ma, T.; Zhao, G.H.; Zhang, N.F.; Tu, Y.; Li, F.D.; Cui, K.; Bi, Y.L.; Ding, H.B.; Diao, Q.Y. Effect of Age and Weaning on Growth Performance, Rumen Fermentation, and Serum Parameters in Lambs Fed Starter with Limited Ewe–Lamb Interaction. Animals 2019, 9, 825. [Google Scholar] [CrossRef] [PubMed] [Green Version]
- Guo, H.R.; Zhou, G.C.; Tian, G.J.; Liu, Y.Y.; Dong, N.; Li, L.F.; Zhang, S.J.; Chai, H.C.; Chen, Y.L.; Yang, Y.X. Changes in Rumen Microbiota Affect Metabolites, Immune Responses and Antioxidant Enzyme Activities of Sheep under Cold Stimulation. Animals 2021, 11, 712. [Google Scholar] [CrossRef] [PubMed]
- Hu, H.; Bai, X.; Xu, K.X.; Zhang, C.; Chen, L. Effect of phloretin on growth performance, serum biochemical parameters and antioxidant profile in heat-stressed broilers. Poult. Sci. 2021, 100, 101217. [Google Scholar] [CrossRef] [PubMed]
- Yang, Q.; Yang, R.; Li, M.; Zhou, Q.C.; Elmada, Z.C. Effects of dietary fucoidan on the blood constituents, anti-oxidation and innate immunity of juvenile yellow catfish (Pelteobagrus fulvidraco). Fish Shellfish Immunol. 2014, 41, 264–270. [Google Scholar] [CrossRef] [PubMed]
- Zhang, Y.; Xu, M.; Hu, C.X.; Liu, A.M.; Chen, J.J.; Gu, C.F.; Zhang, X.; You, C.P.; Tong, H.B.; Wu, M.J.; et al. Sargassum fusiforme Fucoidan SP2 Extends the Lifespan of Drosophila melanogaster by Upregulating the Nrf2-Mediated Antioxidant Signaling Pathway. Oxidative Med. Cell. Longev. 2019, 2019, 8918914. [Google Scholar] [CrossRef] [Green Version]
- Kim, E.T.; Lee, H.G.; Kim, D.H.; Son, J.K.; Kim, B.W.; Joo, S.S.; Park, D.S.; Park, Y.J.; Lee, S.Y.; Kim, M.H. Hydrolyzed Yeast Supplementation in Calf Starter Promotes Innate Immune Responses in Holstein Calves under Weaning Stress Condition. Animals 2020, 10, 1468. [Google Scholar] [CrossRef]
- Shi, H.Y.; Luo, Y.R.; Li, Y.F.; Zhang, F.K.; Liu, N. Tetramethylpyrazine supplementation improves performance, digestion, blood and immune state of broilers exposure to oxidative stress. J. Anim. Physiol. Anim. Nutr. 2021, 106, 132–138. [Google Scholar] [CrossRef]
- Chollada, B.; Sumpun, T.; Sapon, S.; Saikaew, S.; Morakot, N.; Thasinus, D.; Kazuo, K. Effects of Litter Size and Parity Number on Mammary Secretions Including, Insulin-Like Growth Factor-1, Immunoglobulin G and Vitamin A of Black Bengal, Saanen and Their Crossbred Goats in Thailand. Vet. Sci. 2021, 8, 95. [Google Scholar]
- Xu, H.J.; Wang, L.H.; Zhang, Q.Y.; Jiang, X.; Zhang, C.R.; Zhang, Y.G. Effects of 25-hydroxyvitamin D3 on growth performance, fecal scores, vitamin D3 metabolites, antioxidant status, and inflammatory and stress-related parameters in weaning calves. Anim. Feed Sci. Technol. 2021, 281, 114946. [Google Scholar] [CrossRef]
- Ying, L.Q.; Eri, R.D.; Helen, F.J.; Patel, F.J.; Nuri, G.; Britta, S. Fucoidan Extracts Ameliorate Acute Colitis. PLoS ONE 2015, 10, 128453. [Google Scholar]
- Tomori, M.; Nagamine, T.; Miyamoto, T.; Iha, M. Evaluation of the Immunomodulatory Effects of Fucoidan Derived from Cladosiphon Okamuranus Tokida in Mice. Mar. Drugs 2019, 17, 547. [Google Scholar] [CrossRef] [PubMed] [Green Version]
- Delma, C.R.; Thirugnanasambandan, S.; Srinivasan, G.P.; Raviprakash, N.; Manna, S.K.; Natarajan, M.; Aravindan, N. Fucoidan from marine brown algae attenuates pancreatic cancer progression by regulating p53—NFκB crosstalk. Phytochemistry 2019, 167, 112078. [Google Scholar] [CrossRef] [PubMed]
- Ondrej, S.; Jakub, N.; Andrea, R.; Petr, K.; Vojtech, K.; Julius, C.; Libor, K.; Leos, P.; Lubor, L.; Eva, M. Safety of Mealworm Meal in Layer Diets and their Influence on Gut Morphology. Animals 2021, 11, 1439. [Google Scholar]
- Deborah, A.; Fisayo, A.; Dynamics, G.M. Growth Performance, and Gut Morphology in Broiler Chickens Fed Diets Varying in Energy Density with or without Bacitracin Methylene Disalicylate (BMD). Microorganisms 2021, 9, 787. [Google Scholar]
- Leonard, S.G.; Sweeney, T.; Bahar, B.; Lynch, B.P.; O’Doherty, J.V. Effects of dietary seaweed extract supplementation in sows and post-weaned pigs on performance, intestinal morphology, intestinal microflora and immune status. Br. J. Nutr. 2011, 106, 688–699. [Google Scholar] [CrossRef] [Green Version]



| Items | Content |
|---|---|
| Ingredients (%) | |
| Pennisetum purpureum | 35.00 |
| Corn | 40.89 |
| Soybean meal | 13.98 |
| Wheat bran | 7.15 |
| NaCl | 0.65 |
| CaHPO4 | 0.84 |
| Limestone | 0.84 |
| Premix 1 | 0.65 |
| Total | 100 |
| Nutrient level | |
| DM (%) | 88.86 |
| ME 2 (MJ/Kg) | 10.43 |
| CP (%) | 12.06 |
| NDF (%) | 30.06 |
| ADF (%) | 16.39 |
| Ca (%) | 0.76 |
| P (%) | 0.54 |
| Item 1 | CON | F1 | F2 | F3 | SEM 2 | p-Value |
|---|---|---|---|---|---|---|
| BW of day 1 (kg) | 12.20 | 11.38 | 12.27 | 12.98 | 0.99 | 0.26 |
| BW of day 15 (kg) | 12.47 | 11.53 | 13.25 | 12.78 | 1.08 | 0.12 |
| BW of day 30 (kg) | 12.85 b | 12.88 b | 15.28 a | 15.13 a | 1.09 | 0.02 |
| Day 1 to 15 | ||||||
| ADG (g/d) | 30.00 | 31.78 | 51.78 | 53.22 | 10.41 | 0.10 |
| ADFI (g/d) | 432.01 | 427.02 | 484.05 | 445.01 | 24.41 | 0.16 |
| FCR (g) | 14.52 | 12.01 | 9.41 | 11.62 | 1.61 | 0.08 |
| Day 16 to 30 | ||||||
| ADG (g/d) | 80.01 a | 110.01 a | 141.78 b | 121.04 b | 13.90 | 0.01 |
| ADFI (g/d) | 569.05 a | 620.67 b | 711.03 c | 863.04 d | 16.08 | <0.01 |
| FCR (g) | 9.97 b | 5.79 a | 5.02 a | 6.22 a | 0.69 | <0.01 |
| Overall | ||||||
| ADG (g/d) | 45.00 a | 50.06 a | 100.33 c | 72.01 b | 9.71 | 0.02 |
| ADFI (g/d) | 501.09 a | 525.08 a | 597.01 b | 565.02 b | 22.71 | 0.01 |
| FCR (g) | 11.25 c | 10.60 b | 6.05 a | 8.25 a | 1.08 | 0.01 |
| Item 1, % | CON | F1 | F2 | F3 | SEM 2 | p-Value |
|---|---|---|---|---|---|---|
| Heart index | 0.41 | 0.40 | 0.39 | 0.40 | 0.50 | 0.13 |
| Liver index | 1.56 | 1.85 | 1.52 | 1.65 | 0.14 | 0.15 |
| Spleen index | 0.14 | 0.15 | 0.15 | 0.13 | 0.01 | 0.22 |
| Lung index | 1.15 | 1.37 | 1.170 | 1.37 | 0.20 | 0.61 |
| Kidney index | 0.33 | 0.35 | 0.33 | 0.33 | 0.03 | 0.91 |
| Small intestine index | 4.32 | 4.10 | 4.21 | 4.21 | 0.30 | 0.06 |
| Item 1 | CON | F1 | F2 | F3 | SEM 2 | p-Value |
|---|---|---|---|---|---|---|
| Duodenum | ||||||
| VH (μm) | 514.83 c | 657.89 b | 841.39 a | 904.28 a | 48.38 | <0.01 |
| CD (μm) | 420.44 | 358.94 | 407.33 | 244.56 | 68.56 | 0.07 |
| VCR | 1.42 b | 1.94 b | 2.21 b | 3.02 a | 0.51 | <0.01 |
| Jejunum | ||||||
| VH (μm) | 578.50 b | 657.06 b | 708.28 a | 774.39 a | 43.41 | <0.01 |
| CD (μm) | 345.11 | 337.67 | 412.45 | 467.00 | 65.75 | 0.19 |
| VCR | 1.70 | 2.15 | 1.94 | 1.75 | 0.36 | 0.59 |
| Ileum | ||||||
| VH (μm) | 578.50 b | 657.06 b | 708.28 a | 771.50 a | 44.05 | <0.01 |
| CD (μm) | 420.45 a | 435.61 a | 314.22 b | 354.00 b | 85.80 | 0.04 |
| VCR | 1.87 b | 1.76 b | 2.44 b | 3.82 a | 0.58 | 0.02 |
Publisher’s Note: MDPI stays neutral with regard to jurisdictional claims in published maps and institutional affiliations. |
© 2022 by the authors. Licensee MDPI, Basel, Switzerland. This article is an open access article distributed under the terms and conditions of the Creative Commons Attribution (CC BY) license (https://creativecommons.org/licenses/by/4.0/).
Share and Cite
Yang, W.; Chen, J.; Guo, G.; Wang, S.; Peng, S.; Gao, Z.; Zhao, Z.; Lan, R.; Yin, F. The Effects of Fucoidan Dietary Supplementation on Growth Performance, Serum Antioxidant Capacity, Immune Function Indices and Intestinal Morphology in Weaned Kids. Animals 2022, 12, 574. https://doi.org/10.3390/ani12050574
Yang W, Chen J, Guo G, Wang S, Peng S, Gao Z, Zhao Z, Lan R, Yin F. The Effects of Fucoidan Dietary Supplementation on Growth Performance, Serum Antioxidant Capacity, Immune Function Indices and Intestinal Morphology in Weaned Kids. Animals. 2022; 12(5):574. https://doi.org/10.3390/ani12050574
Chicago/Turabian StyleYang, Weiguang, Jiayi Chen, Guangzhen Guo, Shengnan Wang, Su Peng, Zhenhua Gao, Zhihui Zhao, Ruixia Lan, and Fuquan Yin. 2022. "The Effects of Fucoidan Dietary Supplementation on Growth Performance, Serum Antioxidant Capacity, Immune Function Indices and Intestinal Morphology in Weaned Kids" Animals 12, no. 5: 574. https://doi.org/10.3390/ani12050574
APA StyleYang, W., Chen, J., Guo, G., Wang, S., Peng, S., Gao, Z., Zhao, Z., Lan, R., & Yin, F. (2022). The Effects of Fucoidan Dietary Supplementation on Growth Performance, Serum Antioxidant Capacity, Immune Function Indices and Intestinal Morphology in Weaned Kids. Animals, 12(5), 574. https://doi.org/10.3390/ani12050574

