Multiplex Cytokine Analyses in Ear Canals of Dogs Suggest Involvement of IL-8 Chemokine in Atopic Otitis and Otodectic Mange—Preliminary Results
Abstract
Simple Summary
Abstract
1. Introduction
2. Materials and Methods
2.1. Animals
2.2. Clinical Evaluation
2.3. Cytological Evaluation
2.4. Sample Collection
2.5. Biochemical Prospection
2.6. Statistical Analysis
3. Results
3.1. Animals
3.2. Cytological Evaluation
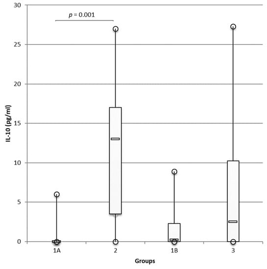
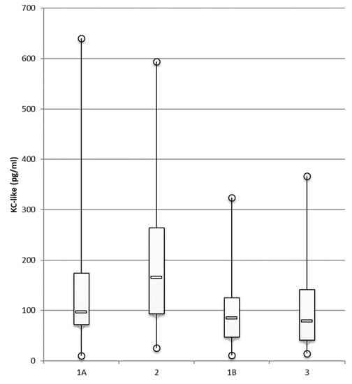
3.3. Cytokine Concentrations in Ear Canals
3.4. Correlations between Clinical Scores (OTIS3, CADESI-04) and IL-8 Concentrations in Dogs with Atopic Otitis
4. Discussion
5. Conclusions
Author Contributions
Funding
Institutional Review Board Statement
Informed Consent Statement
Data Availability Statement
Acknowledgments
Conflicts of Interest
Appendix A

References
- Olivry, T.; DeBoer, D.J.; Favrot, C.; Jackson, H.A.; Mueller, R.S.; Nuttall, T.; Prelaud, P.; International Task Force on Canine Atopic, D. Treatment of canine atopic dermatitis: 2010 clinical practice guidelines from the International Task Force on Canine Atopic Dermatitis. Vet. Dermatol. 2010, 21, 233–248. [Google Scholar] [CrossRef] [PubMed]
- Halliwell, R. Revised nomenclature for veterinary allergy. Vet. Immunol. Immunopathol. 2006, 114, 207–208. [Google Scholar] [CrossRef] [PubMed]
- Griffin, C.E.; DeBoer, D.J. The ACVD task force on canine atopic dermatitis (XIV): Clinical manifestations of canine atopic dermatitis. Vet. Immunol. Immunopathol. 2001, 81, 255–269. [Google Scholar] [CrossRef]
- Bizikova, P.; Pucheu-Haston, C.M.; Eisenschenk, M.N.; Marsella, R.; Nuttall, T.; Santoro, D. Review: Role of genetics and the environment in the pathogenesis of canine atopic dermatitis. Vet. Dermatol. 2015, 26, 95-e26. [Google Scholar] [CrossRef] [PubMed]
- Paterson, S. Discovering the causes of otitis externa. Practice 2016, 38, 7–11. [Google Scholar] [CrossRef]
- Saridomichelakis, M.N.; Farmaki, R.; Leontides, L.S.; Koutinas, A.F. Aetiology of canine otitis externa: A retrospective study of 100 cases. Vet. Dermatol. 2007, 18, 341–347. [Google Scholar] [CrossRef]
- Zur, G.; Lifshitz, B.; Bdolah-Abram, T. The association between the signalment, common causes of canine otitis externa and pathogens. J. Small Anim. Pract. 2011, 52, 254–258. [Google Scholar] [CrossRef]
- Kraft, W.; Kraiss-Gothe, A.; Gothe, R. Otodectes cynotis infestation of dogs and cats: Biology of the agent, epidemiology, pathogenesis and diagnosis and case description of generalized mange in dogs. Tierarztl. Prax. 1988, 16, 409–415. [Google Scholar]
- Pucheu-Haston, C.M.; Bizikova, P.; Marsella, R.; Santoro, D.; Nuttall, T.; Eisenschenk, M.N. Review: Lymphocytes, cytokines, chemokines and the T-helper 1-T-helper 2 balance in canine atopic dermatitis. Vet. Dermatol. 2015, 26, 124-e132. [Google Scholar] [CrossRef]
- Olivry, T.; Mayhew, D.; Paps, J.S.; Linder, K.E.; Peredo, C.; Rajpal, D.; Hofland, H.; Cote-Sierra, J. Early Activation of Th2/Th22 Inflammatory and Pruritogenic Pathways in Acute Canine Atopic Dermatitis Skin Lesions. J. Investig. Dermatol. 2016, 136, 1961–1969. [Google Scholar] [CrossRef]
- Hamid, Q.; Boguniewicz, M.; Leung, D.Y. Differential in situ cytokine gene expression in acute versus chronic atopic dermatitis. J. Clin. Investig. 1994, 94, 870–876. [Google Scholar] [CrossRef]
- Hayashiya, S.; Tani, K.; Morimoto, M.; Hayashi, T.; Hayasaki, M.; Nomura, T.; Une, S.; Nakaichi, M.; Taura, Y. Expression of T helper 1 and T helper 2 cytokine mRNAs in freshly isolated peripheral blood mononuclear cells from dogs with atopic dermatitis. J. Vet. Med. A Physiol. Pathol. Clin. Med. 2002, 49, 27–31. [Google Scholar] [CrossRef] [PubMed]
- Schlotter, Y.M.; Rutten, V.P.; Riemers, F.M.; Knol, E.F.; Willemse, T. Lesional skin in atopic dogs shows a mixed Type-1 and Type-2 immune responsiveness. Vet. Immunol. Immunopathol. 2011, 143, 20–26. [Google Scholar] [CrossRef] [PubMed]
- Nuttall, T.J.; Knight, P.A.; McAleese, S.M.; Lamb, J.R.; Hill, P.B. T-helper 1, T-helper 2 and immunosuppressive cytokines in canine atopic dermatitis. Vet. Immunol. Immunopathol. 2002, 87, 379–384. [Google Scholar] [CrossRef]
- Hamid, Q.; Naseer, T.; Minshall, E.M.; Song, Y.L.; Boguniewicz, M.; Leung, D.Y. In vivo expression of IL-12 and IL-13 in atopic dermatitis. J. Allergy. Clin. Immunol. 1996, 98, 225–231. [Google Scholar] [CrossRef]
- Favrot, C.; Steffan, J.; Seewald, W.; Picco, F. A prospective study on the clinical features of chronic canine atopic dermatitis and its diagnosis. Vet. Dermatol. 2010, 21, 23–31. [Google Scholar] [CrossRef]
- De Souza, C.P.; Verocai, G.G.; Balbi, M.; Scott, F.B. Video otoscopy as a diagnostic tool for canine otoacariasis. Rev. Bras. Parasitol. Vet. 2013, 22, 440–442. [Google Scholar] [CrossRef][Green Version]
- Nuttall, T.; Bensignor, E. A pilot study to develop an objective clinical score for canine otitis externa. Vet. Dermatol. 2014, 25, 530–537. [Google Scholar] [CrossRef]
- Olivry, T.; Saridomichelakis, M.; Nuttall, T.; Bensignor, E.; Griffin, C.E.; Hill, P.B.; International Committe on Allergic Diseases of, A. Validation of the Canine Atopic Dermatitis Extent and Severity Index (CADESI)-4, a simplified severity scale for assessing skin lesions of atopic dermatitis in dogs. Vet. Dermatol. 2014, 25, 77-e25. [Google Scholar] [CrossRef]
- Bouassiba, C.; Osthold, W.; Mueller, R.S. Comparison of four different staining methods for ear cytology of dogs with otitis externa. Tierarztl. Prax. Ausg. K Kleintiere Heimtiere 2013, 41, 7–15. [Google Scholar]
- Budach, S.C.; Mueller, R.S. Reproducibility of a semiquantitative method to assess cutaneous cytology. Vet. Dermatol. 2012, 23, 426-e480. [Google Scholar] [CrossRef] [PubMed]
- Khalifian, S.; Raimondi, G.; Brandacher, G. The use of luminex assays to measure cytokines. J. Investig. Dermatol. 2015, 135, e31. [Google Scholar] [CrossRef]
- Saridomichelakis, M.N.; Olivry, T. An update on the treatment of canine atopic dermatitis. Vet. J. 2016, 207, 29–37. [Google Scholar] [CrossRef] [PubMed]
- Cosgrove, S.B.; Wren, J.A.; Cleaver, D.M.; Martin, D.D.; Walsh, K.F.; Harfst, J.A.; Follis, S.L.; King, V.L.; Boucher, J.F.; Stegemann, M.R. Efficacy and safety of oclacitinib for the control of pruritus and associated skin lesions in dogs with canine allergic dermatitis. Vet. Dermatol. 2013, 24, 479-e114. [Google Scholar] [CrossRef] [PubMed]
- Hatano, Y.; Katagiri, K.; Takayasu, S. Increased levels in vivo of mRNAs for IL-8 and macrophage inflammatory protein-1 alpha (MIP-1 alpha), but not of RANTES mRNA in peripheral blood mononuclear cells of patients with atopic dermatitis (AD). Clin. Exp. Immunol. 1999, 117, 237–243. [Google Scholar] [CrossRef] [PubMed]
- Kimata, H.; Lindley, I. Detection of plasma interleukin-8 in atopic dermatitis. Arch. Dis. Child. 1994, 70, 119–122. [Google Scholar] [CrossRef] [PubMed]
- Amarbayasgalan, T.; Takahashi, H.; Dekio, I.; Morita, E. Interleukin-8 content in the stratum corneum as an indicator of the severity of inflammation in the lesions of atopic dermatitis. Int. Arch. Allergy Immunol. 2013, 160, 63–74. [Google Scholar] [CrossRef]
- Santoro, D.; Ahrens, K.; Marsella, R.; Segre, M. Evaluation of antimicrobial peptides and cytokine production in primary keratinocyte cell culture from healthy and atopic beagles. Exp. Dermatol. 2015, 24, 317–319. [Google Scholar] [CrossRef]
- Maeda, S.; Maeda, S.; Shibata, S.; Chimura, N.; Fukata, T. House dust mite major allergen Der f 1 enhances proinflammatory cytokine and chemokine gene expression in a cell line of canine epidermal keratinocytes. Vet. Immunol. Immunopathol. 2009, 131, 298–302. [Google Scholar] [CrossRef]
- Pressanti, C.; Ravailhe, E.; Castellote-Brun, J.; Amalric, N.; Lecru, L.A.; Kondratjeva, J.; Moog, F.; Combarros, D.; Douet, J.Y.; Cadiergues, M.C. Survey of cytokines on ocular surfaces of atopic dogs by multiplex analysis using two sampling methods-a pilot study. Vet. Dermatol. 2021, 32, 625-e167. [Google Scholar] [CrossRef]
- Mazrier, H.; Vogelnest, L.J.; Taylor, R.M.; Williamson, P. Altered plasma cytokines in dogs with atopic dermatitis. Vet. Dermatol. 2021. [Google Scholar] [CrossRef] [PubMed]
- Marsella, R.; Olivry, T.; Maeda, S. Cellular and cytokine kinetics after epicutaneous allergen challenge (atopy patch testing) with house dust mites in high-IgE beagles. Vet. Dermatol. 2006, 17, 111–120. [Google Scholar] [CrossRef] [PubMed]
- Karlsson, I.; Hagman, R.; Johannisson, A.; Wang, L.; Sodersten, F.; Wernersson, S. Multiplex cytokine analyses in dogs with pyometra suggest involvement of KC-like chemokine in canine bacterial sepsis. Vet. Immunol. Immunopathol. 2016, 170, 41–46. [Google Scholar] [CrossRef] [PubMed]
- Romagnani, S. Regulation of the T cell response. Clin. Exp. Allergy 2006, 36, 1357–1366. [Google Scholar] [CrossRef]
- Gonzales, A.J.; Fleck, T.J.; Humphrey, W.R.; Galvan, B.A.; Aleo, M.M.; Mahabir, S.P.; Tena, J.K.; Greenwood, K.G.; McCall, R.B. IL-31-induced pruritus in dogs: A novel experimental model to evaluate anti-pruritic effects of canine therapeutics. Vet. Dermatol. 2016, 27, 34-e10. [Google Scholar] [CrossRef]
- Chermprapai, S.; Broere, F.; Schlotter, Y.M.; Veldhuizen, E.J.A.; Rutten, V.P.M.G. A canine keratinocyte cell line expresses antimicrobial peptide and cytokine genes upon stimulation with bacteria, microbial ligands and recombinant cytokines. Vet. Immunol. Immunop. 2018, 206, 35–40. [Google Scholar] [CrossRef]
- Yamazaki, Y.; Nakamura, Y.; Nunez, G. Role of the microbiota in skin immunity and atopic dermatitis. Allergol. Int. 2017, 66, 539–544. [Google Scholar] [CrossRef]



| Group 1. Healthy Dogs | Group 2. Atopic Otitis 8 Dogs (n = 14 Ears) | Group 3. Otodectes Otitis 12 Dogs (n = 20 Ears) | ||
|---|---|---|---|---|
| Group 1A. 10 Dogs (n = 19 Ears) | Group 1B. 11 Dogs (n = 20 Ears) | |||
| Age (years) | 5.75 (3.5–8.5) | 5 (2.0–6.0) | 4.25 (2.65–5.25) | 4 (2.9–5.0) |
| Gender | 6 females (3 spayed), 4 neutered males | 5 females (2 spayed), 6 entire males | 1 spayed female, 7 entire males | 4 entire females, 8 entire males |
| Weight (kg) | 19.4 (11.6–25.8) | 24 (20.0–29.0) | 16.8 (12.1–29.1) | 15.2 (13.6–17.3) |
| Breeds | 1 Fox terrier, 1 Berger Blanc Suisse, 3 crossbreeds, 1 Cairn terrier, 1 American Staffordshire terrier, 1 Border terrier, 2 Border Collies | 2 Griffons, 4 Bleus de Gascogne, 1 Bruno du Jura, 1 Golden retriever, 1 Saint Bernard, 1 Bichon Maltese, 1 crossed Beauceron | 1 Beagle, 1 Labrador, 2 English Cocker spaniels, 1 Jack Russel terrier, 1 French Bulldog, 1 German Shepherd, 1 Golden retriever | 11 Beagles, 1 Jack Russel terrier |
| CADESI-04 | 2 (1–3) | 5 (4.5–6.5) | 24 (16–36) | 3.5 (2.8–6) |
| OTIS3 | 0 (0–1) | 1 (0.25–1) | 4 (3–4) | 1.5 (1–2) |
| VAS score | 0 (0–0) | 0 (0–0) | 2.9 (1.5–3.8) | 0.8 (0.7–1.2) |
Publisher’s Note: MDPI stays neutral with regard to jurisdictional claims in published maps and institutional affiliations. |
© 2022 by the authors. Licensee MDPI, Basel, Switzerland. This article is an open access article distributed under the terms and conditions of the Creative Commons Attribution (CC BY) license (https://creativecommons.org/licenses/by/4.0/).
Share and Cite
Lecru, L.-A.; Combarros, D.; Moog, F.; Marinovic, L.; Kondratjeva, J.; Amalric, N.; Pressanti, C.; Cadiergues, M.C. Multiplex Cytokine Analyses in Ear Canals of Dogs Suggest Involvement of IL-8 Chemokine in Atopic Otitis and Otodectic Mange—Preliminary Results. Animals 2022, 12, 575. https://doi.org/10.3390/ani12050575
Lecru L-A, Combarros D, Moog F, Marinovic L, Kondratjeva J, Amalric N, Pressanti C, Cadiergues MC. Multiplex Cytokine Analyses in Ear Canals of Dogs Suggest Involvement of IL-8 Chemokine in Atopic Otitis and Otodectic Mange—Preliminary Results. Animals. 2022; 12(5):575. https://doi.org/10.3390/ani12050575
Chicago/Turabian StyleLecru, Line-Alice, Daniel Combarros, Fabien Moog, Lukrecija Marinovic, Jevgenija Kondratjeva, Nicolas Amalric, Charline Pressanti, and Marie Christine Cadiergues. 2022. "Multiplex Cytokine Analyses in Ear Canals of Dogs Suggest Involvement of IL-8 Chemokine in Atopic Otitis and Otodectic Mange—Preliminary Results" Animals 12, no. 5: 575. https://doi.org/10.3390/ani12050575
APA StyleLecru, L.-A., Combarros, D., Moog, F., Marinovic, L., Kondratjeva, J., Amalric, N., Pressanti, C., & Cadiergues, M. C. (2022). Multiplex Cytokine Analyses in Ear Canals of Dogs Suggest Involvement of IL-8 Chemokine in Atopic Otitis and Otodectic Mange—Preliminary Results. Animals, 12(5), 575. https://doi.org/10.3390/ani12050575

