The Serum and Fecal Metabolomic Profiles of Growing Kittens Treated with Amoxicillin/Clavulanic Acid or Doxycycline
Abstract
Simple Summary
Abstract
1. Introduction
2. Materials and Methods
2.1. Study Population
2.2. Group Allocation and Treatments
2.3. Sample Collection and Follow-Up Period
2.4. Metabolomic Analysis
2.4.1. Untargeted Metabolomic Analysis of Serum Samples
2.4.2. Targeted Metabolomic Analysis of Fecal Samples
2.5. Statistical Analysis
3. Results
3.1. Serum Metabolomics
3.1.1. Control Group
3.1.2. Amoxicillin/Clavulanic Acid Group
3.1.3. Doxycycline Group
3.2. Fecal Metabolomics
3.2.1. Control Group
3.2.2. Amoxicillin/Clavulanic Acid Group
3.2.3. Doxycycline-Treated Cats
4. Discussion
5. Conclusions
Supplementary Materials
Author Contributions
Funding
Institutional Review Board Statement
Data Availability Statement
Acknowledgments
Conflicts of Interest
References
- Pilla, R.; Suchodolski, J.S. The role of the canine gut microbiome and metabolome in health and gastrointestinal disease. Front. Vet. Sci. 2020, 6, 498. [Google Scholar] [CrossRef] [PubMed]
- Antunes, L.C.M.; Han, J.; Ferreira, R.; Lolić, P.; Borchers, C.H.; Finlay, B.B. Effect of antibiotic treatment on the intestinal metabolome. Antimicrob. Agents Chemother. 2011, 4, 1494–1503. [Google Scholar] [CrossRef] [PubMed]
- Allaband, C.; McDonald, D.; Vázquez-Baeza, Y.; Minich, J.J.; Tripathi, A.; Brenner, D.A.; Loomba, R.; Smarr, L.; Sandborn, W.J.; Schnabl, B.; et al. Microbiome 101: Studying, analyzing, and interpreting gut microbiome data for clinicians. Clin. Gastroenterol. Hepatol. 2018, 17, 218–230. [Google Scholar] [CrossRef] [PubMed]
- Ingala, M.R.; Simmons, N.B.; Wultsch, C.; Krampis, K.; Speer, K.A.; Perkins, S.L. Comparing microbiome sampling methods in a wild mammal: Fecal and intestinal samples record different signals of host ecology, evolution. Front. Microbiol. 2018, 9, 803. [Google Scholar] [CrossRef] [PubMed]
- Modi, S.R.; Collins, J.J.; Relman, D.A. Antibiotics and the gut microbiota. J. Clin. Investig. 2014, 124, 4212–4218. [Google Scholar] [CrossRef] [PubMed]
- Agyepong, N.; Govinden, U.; Owusu-Ofori, A.; Essack, S.Y. Multidrug-resistant gram-negative bacterial infections in a teaching hospital in ghana. Antimicrob. Resist. Infect. Control 2018, 7, 37. [Google Scholar] [CrossRef] [PubMed]
- Patton, L.; Li, N.; Garrett, T.J.; Ruoss, J.L.; Russell, J.T.; de la Cruz, D.; Bazacliu, C.; Polin, R.A.; Triplett, E.W.; Neu, J. Antibiotics effects on the fecal metabolome in preterm infants. Metabolites 2020, 10, 331. [Google Scholar] [CrossRef] [PubMed]
- Zhu, D.; Xiao, S.; Yunhui, Z.; Ai, Q.; He, Y.; Cheng, C.; Zhang, Y.; Pan, Y. Effects of one-week empirical antibiotic therapy on the early development of gut microbiota and metabolites in preterm infants. Sci. Rep. 2017, 7, 8025. [Google Scholar] [CrossRef]
- Ferrer, M.; Méndez-García, C.; Rojo, D.; Barbas, C.; Moya, A. Antibiotic use and microbiome function. Biochem. Pharmacol. 2017, 134, 114–126. [Google Scholar] [CrossRef] [PubMed]
- Chan, S.Y.; Capitão, L.; Probert, F.; Klinge, C.; Hoeckner, S.; Harmer, C.J.; Cowen, P.J.; Anthony, D.C.; Burnet, P.W.J. A single administration of the antibiotic, minocycline, reduces fear processing and improves implicit learning in healthy volunteers: Analysis of the serum metabolome. Transl. Psychiatry 2020, 10, 148. [Google Scholar] [CrossRef]
- Vester, B.M.; Dalsing, B.L.; Middelbos, I.S.; Apanavicius, C.J.; Lubbs, D.C.; Swanson, K. Faecal microbial populations of growing kittens fed high- or moderate-protein diets. Arch. Anim. Nutr. 2009, 3, 254–265. [Google Scholar] [CrossRef]
- Jia, J.; Frantz, N.; Khoo, C.; Gibson, G.R.; Rastall, R.A.; McCartney, A.L. Investigation of the faecal microbiota of kittens: Moni-toring bacterial succession and effect of diet. FEMS Microbiol. Ecol. 2011, 2, 395–404. [Google Scholar] [CrossRef] [PubMed]
- Hooda, S.; Boler, B.M.V.; Kerr, K.R.; Dowd, S.E.; Swanson, K.S. The gut microbiome of kittens is affected by dietary protein: Carbohydrate ratio and associated with blood metabolite and hormone concentrations. Br. J. Nutr. 2012, 9, 1637–1646. [Google Scholar] [CrossRef]
- Bermingham, E.N.; Kittelmann, S.; Young, W.; Kerr, K.R.; Swanson, K.; Roy, N.C.; Thomas, D.G. Post-weaning diet affects faecal microbial composition but not selected adipose gene expression in the cat (Felis catus). PLoS ONE 2013, 11, e80992. [Google Scholar] [CrossRef] [PubMed][Green Version]
- Deusch, O.; O’Flynn, C.; Colyer, A.; Morris, P.; Allaway, D.; Jones, P.G.; Swanson, K.S. Deep Illumina-based shotgun sequencing reveals dietary effects on the structure and function of the fecal microbiome of growing kittens. PLoS ONE 2014, 7, e101021. [Google Scholar] [CrossRef] [PubMed]
- Deusch, O.; O’Flynn, C.; Colyer, A.; Swanson, K.S.; Allaway, D.; Morris, P. A longitudinal study of the feline faecal microbiome identifies changes into early adulthood irrespective of sexual development. PLoS ONE 2015, 12, e0144881. [Google Scholar] [CrossRef]
- Young, W.; Moon, C.D.; Thomas, D.G.; Cave, N.J.; Bermingham, E.N. Pre- and post-weaning diet alters the faecal metagenome in the cat with differences in vitamin and carbohydrate metabolism gene abundances. Sci. Rep. 2016, 6, 34668. [Google Scholar] [CrossRef]
- Bermingham, E.N.; Young, W.; Butowski, C.F.; Moon, C.D.; Maclean, P.; Rosendale, D.; Cave, N.; Thomas, D.G. The fecal microbiota in the domestic cat (Felis catus) is influenced by interactions between age and diet; a five year longitudinal study. Front. Microbiol. 2018, 9, 1231. [Google Scholar] [CrossRef]
- Colyer, A.; Gilham, M.S.; Kamlage, B.; Rein, D.; Allaway, D. Identification of intra- and inter-individual metabolite variation in plasma metabolite profiles of cats and dogs. Br. J. Nutr. 2011, 106, S146–S149. [Google Scholar] [CrossRef]
- Allaway, D.; Gilham, M.S.; Colyer, A.; Jönsson, T.J.; Swanson, K.; Morris, P.J. Metabolic profiling reveals effects of age, sexual development and neutering in plasma of young male cats. PLoS ONE 2016, 12, e0168144. [Google Scholar] [CrossRef]
- Gottlieb, S.; Rand, J.; Anderson, S.T.; Morton, J.M.; Dias, D.A.; Boughton, B.A.; Roessner, U.; Ramadan, Z. Metabolic profiling of diabetic cats in remission. Front. Vet. Sci. 2020, 7, 218. [Google Scholar] [CrossRef] [PubMed]
- Hall, J.A.; Jackson, M.; Vondran, J.C.; Vanchina, M.A.; Jewell, D.E. Comparison of circulating metabolite concentrations in dogs and cats when allowed to freely choose macronutrient intake. Biol. Open 2018, 11, bio036228. [Google Scholar] [CrossRef] [PubMed]
- Jackson, M.I.; Waldy, C.; Jewell, D.E. Dietary resistant starch preserved through mild extrusion of grain alters fecal microbiome metabolism of dietary macronutrients while increasing immunoglobulin A in the cat. PLoS ONE 2020, 11, e0241037. [Google Scholar] [CrossRef]
- Floerchinger, A.M.; Jackson, M.I.; Jewell, D.E.; MacLeay, J.M.; Paetau-Robinson, I.; Hahn, K.A. Effect of feeding a weight loss food beyond a caloric restriction period on body composition and resistance to weight gain in dogs. J. Am. Vet. Med. Assoc. 2015, 4, 375–384. [Google Scholar] [CrossRef] [PubMed]
- Zheng, J.-S.; Wei, R.-Y.; Wang, Z.; Song, J.; Ge, Y.-S.; Wu, R. Serum metabolomic analysis of feline mammary carcinomas based on LC-MS and MRM techniques. J. Vet. Res. 2020, 4, 581–588. [Google Scholar] [CrossRef] [PubMed]
- Hall, J.A.; Jackson, M.I.; Jewell, D.E.; Ephraim, E. Chronic kidney disease in cats alters response of the plasma metabolome and fecal microbiome to dietary fiber. PLoS ONE 2020, 7, e0235480. [Google Scholar] [CrossRef] [PubMed]
- Hall, J.A.; Jewell, D.E.; Ephraim, E. Changes in the fecal metabolome are associated with feeding fiber not health status in cats with chronic kidney disease. Metabolites 2020, 7, 281. [Google Scholar] [CrossRef]
- Marsilio, S.; Chow, B.; Hill, S.L.; Ackermann, M.R.; Estep, J.S.; Sarawichitr, B.; Pilla, R.; Lidbury, J.A.; Steiner, J.M.; Suchodolski, J.S. Untargeted metabolomic analysis in cats with naturally occurring inflammatory bowel disease and alimentary small cell lymphoma. Sci. Rep. 2021, 1, 9198. [Google Scholar] [CrossRef]
- Pallotto, M.; Oba, P.; de Godoy, M.; Pappan, K.; Buff, P.; Swanson, K. Effects of weight loss and moderate-protein, high-fiber diet consumption on the fasted serum metabolome of cats. Metabolites 2021, 5, 324. [Google Scholar] [CrossRef]
- Schmid, S.M.; Suchodolski, J.S.; Price, J.M.; Tolbert, M.K. Omeprazole minimally alters the fecal microbial community in six cats: A pilot study. Front. Vet. Sci. 2018, 5, 79. [Google Scholar] [CrossRef]
- Whittemore, J.C.; Stokes, J.E.; Laia, N.L.; Price, J.; Suchodolski, J.S. Short and long-term effects of a synbiotic on clinical signs, the fecal microbiome, and metabolomic profiles in healthy research cats receiving clindamycin: A randomized, controlled trial. PeerJ 2018, 6, e5130. [Google Scholar] [CrossRef] [PubMed]
- Whittemore, J.C.; Stokes, J.E.; Price, J.M.; Suchodolski, J.S. Effects of a synbiotic on the fecal microbiome and metabolomic profiles of healthy research cats administered clindamycin: A randomized, controlled trial. Gut Microbes 2019, 4, 521–539. [Google Scholar] [CrossRef] [PubMed]
- Broughton-Neiswanger, L.E.; Rivera-Velez, S.M.; Suarez, M.A.; Slovak, J.E.; Hwang, J.K.; Villarino, N.F. Pharmacometabolomics with a combination of PLS-DA and random forest algorithm analyses reveal meloxicam alters feline plasma metabolite profiles. J. Vet. Pharmacol. Ther. 2020, 6, 591–601. [Google Scholar] [CrossRef] [PubMed]
- Ohlund, M.; Mullner, E.; Moazzami, A.; Hermansson, U.; Pettersson, A.; Anderson, F.; Häggström, J.; Hansson-Hamlin, H.; Holst, B.S. Differences in metabolic profiles between the Burmese, the Maine coon and the Birman cat-three breeds with varying risk for diabetes mellitus. PLoS ONE 2021, 4, e0249322. [Google Scholar]
- Chaitman, J.; Ziese, A.-L.; Pilla, R.; Minamoto, Y.; Blake, A.B.; Guard, B.C.; Isaiah, A.; Lidbury, J.A.; Steiner, J.M.; Unterer, S.; et al. Fecal microbial and metabolic profiles in dogs with acute diarrhea receiving either fecal microbiota transplantation or oral metronidazole. Front. Vet. Sci. 2020, 7, 192. [Google Scholar] [CrossRef] [PubMed]
- Pilla, R.; Gaschen, F.; Barr, J.W.; Olson, E.; Honneffer, J.; Guard, B.C.; Blake, A.B.; Villanueva, D.; Khattab, M.R.; Alshawaqfeh, M.K.; et al. Effects of metronidazole on the fecal microbiome and metabolome in healthy dogs. J. Vet. Intern. Med. 2020, 34, 1853–1866. [Google Scholar] [CrossRef] [PubMed]
- Whittemore JC, J.C.; Price, J.M.; Moyers, T.; Suchodolski, J.S. Effects of synbiotics on the fecal microbiome and metabolomic profiles of healthy research dogs administered antibiotics: A randomized, controlled trial. Front. Vet. Sci. 2021, 8, 665713. [Google Scholar] [CrossRef]
- Manchester, A.C.; Webb, C.B.; Blake, A.B.; Sarwar, F.; Lidbury, J.A.; Steiner, J.M.; Suchodolski, J.S. Long-term impact of tylosin on fecal microbiota and fecal bile acids of healthy dogs. J. Vet. Intern. Med. 2019, 6, 2605–2617. [Google Scholar] [CrossRef]
- Yang, J.; Wright, S.N.; Hamblin, M.; McCloskey, D.; Alcantar, M.A.; Schrübbers, L.; Lopatkin, A.J.; Satish, S.; Nili, A.; Palsson, B.O.; et al. A white-box machine learning approach for revealing antibiotic mechanisms of Action. Cell 2019, 177, 1649–1661.e9. [Google Scholar] [CrossRef]
- Hoerr, V.; Duggan, G.E.; Zbytnuik, L.; Poon, K.K.; Grosse, C.; Neugebauer, U.; Methling, K.; Löffler, B.; Vogel, H.J. Characterization and prediction of the mechanism of action of antibiotics through NMR metabolomics. BMC Microbiol. 2016, 16, 82. [Google Scholar] [CrossRef]
- Ye, J.-Z.; Lin, X.-M.; Cheng, Z.-X.; Su, Y.-B.; Li, W.-X.; Ali, F.-M.; Zheng, J.; Peng, B. Identification and efficacy of glycine, serine and threonine metabolism in potentiating kanamycin-mediated killing of Edwardsiella piscicida. J. Proteom. 2018, 183, 34–44. [Google Scholar] [CrossRef] [PubMed]
- Stone, A.E.; Brummet, G.O.; Carozza, E.M.; Kass, P.H.; Petersen, E.P.; Sykes, J.; Westman, M.E. 2020 AAHA/AAFP feline vaccination guidelines. J. Feline Med. Surg. 2020, 9, 813–830. [Google Scholar] [CrossRef] [PubMed]
- Lappin, M.; Blondeau, J.; Boothe, D.; Breitschwerdt, E.; Guardabassi, L.; Lloyd, D.; Papich, M.; Rankin, S.; Sykes, J.; Turnidge, J.; et al. Antimicrobial use guidelines for treatment of respiratory tract disease in dogs and cats: Antimicrobial guidelines working group of the International Society for Companion Animal Infectious Diseases. J. Vet. Intern. Med. 2017, 2, 279–294. [Google Scholar] [CrossRef] [PubMed]
- Fiehn, O.; Garvey, W.T.; Newman, J.W.; Lok, K.H.; Hoppel, C.L.; Adams, S.H. Plasma metabolomic profiles reflective of glucose homeostasis in non-diabetic and type 2 diabetic obese African-American women. PLoS ONE 2010, 12, e15234. [Google Scholar] [CrossRef]
- Minamoto, Y.; Otoni, C.C.; Steelman, S.M.; Büyükleblebici, O.; Steiner, J.M.; Jergens, A.E.; Suchodolski, J.S. Alteration of the fecal microbiota and serum metabolite profiles in dogs with idiopathic inflammatory bowel disease. Gut Microbes 2015, 1, 33–47. [Google Scholar] [CrossRef]
- Lawrence, Y.A.; Bishop, M.A.; Honneffer, J.B.; Cook, A.K.; Rodrigues-Hoffmann, A.; Steiner, J.M.; Suchodolski, J.S.; Lidbury, J.A. Untargeted metabolomic profiling of serum from dogs with chronic hepatic disease. J. Vet. Intern. Med. 2019, 3, 1344–1352. [Google Scholar] [CrossRef]
- Blake, A.B.; Guard, B.C.; Honneffer, J.B.; Lidbury, J.A.; Steiner, J.M.; Suchodolski, J.S. Altered microbiota, fecal lactate, and fecal bile acids in dogs with gastrointestinal disease. PLoS ONE 2019, 10, e0224454. [Google Scholar] [CrossRef]
- Honneffer, J. Microbiota and metabolomic changes across various canine gastrointestinal diseases. Ph.D. Thesis, Texas A&M University, College Station, TX, USA, April 2017. [Google Scholar]
- Sanchez, S.; Rodríguez-Sanoja, R.; Ramos, A.; Demain, A.L. Our microbes not only produce antibiotics, they also overproduce amino acids. J. Antibiot. 2017, 71, 26–36. [Google Scholar] [CrossRef]
- Liu, Y.-K.; Kuo, H.-C.; Lai, C.-H.; Chou, C.-C. Single amino acid utilization for bacterial categorization. Sci. Rep. 2020, 10, 12686. [Google Scholar] [CrossRef]
- Dong, X.; Quinn, P.J.; Wang, X. Microbial metabolic engineering for L-threonine production. Subcell. Biochem. 2012, 64, 283–302. [Google Scholar] [CrossRef]
- Lu, S.; Huang, Q.; Wei, B.; Chen, Y. Effects of beta-lactam antibiotics on gut microbiota colonization and metabolites in late pre-term infants. Curr. Microbiol. 2020, 12, 3888–3896. [Google Scholar] [CrossRef] [PubMed]
- Behr, C.; Kamp, H.; Fabian, E.; Krennrich, G.; Mellert, W.; Peter, E.; Strauss, V.; Walk, T.; Rietjens, I.M.C.M.; van Ravenzwaay, B. Gut microbiome-related metabolic changes in plasma of antibiotic-treated rats. Arch. Toxicol. 2017, 10, 3439–3454. [Google Scholar] [CrossRef] [PubMed]
- Chiu, C.-Y.; Cheng, M.-L.; Wong, K.-S.; Lai, S.-H.; Chiang, M.-H.; Tsai, M.-H.; Lin, G. Metabolomics reveals anaerobic bacterial fermentation and hypoxanthine accumulation for fibrinous pleural effusions in children with pneumonia. J. Proteome Res. 2019, 3, 1248–1254. [Google Scholar] [CrossRef] [PubMed]
- Yi, Y.; Sheng, H.; Li, Z.; Ye, Q. Biosynthesis of trans-4-hydroxyproline by recombinant strains of Corynebacterium glutamicum and Escherichia coli. BMC Biotechnol. 2014, 14, 44. [Google Scholar] [CrossRef] [PubMed]
- Wu, Z.; Hou, Y.; Dai, Z.; Hu, C.-A.A.; Wu, G. Metabolism, nutrition, and redox signaling of hydroxyproline. Antioxid. Redox Signal. 2019, 4, 674–682. [Google Scholar] [CrossRef] [PubMed]
- Liang, X.; Kaya, A.; Zhang, Y.; Le, D.T.; Hua, D.; Gladyshev, V.N. Characterization of methionine oxidation and methionine sul-foxide reduction using methionine-rich cysteine-free proteins. BMC Biochem. 2012, 13, 21. [Google Scholar] [CrossRef] [PubMed]
- Kenez, A.; Warnken, T.; Feige, K.; Huber, K. Lower plasma trans-4-hydroxyproline and methionine sulfoxide levels are as-sociated with insulin dysregulation in horses. BMC Vet. Res. 2018, 1, 146. [Google Scholar]
- Giesbertz, P.; Padberg, I.; Rein, D.; Ecker, J.; Höfle, A.S.; Spanier, B.; Daniel, H. Metabolite profiling in plasma and tissues of ob/ob and db/db mice identifies novel markers of obesity and type 2 diabetes. Diabetologia 2015, 9, 2133–2143. [Google Scholar] [CrossRef]
- Lobritz, M.A.; Belenky, P.; Porter, C.B.; Gutierrez, A.; Yang, J.H.; Schwarz, E.G.; Dwyer, D.J.; Khalil, A.S.; Collins, J.J. Antibiotic efficacy is linked to bacterial cellular respiration. Proc. Natl. Acad. Sci. USA 2015, 27, 8173–8180. [Google Scholar] [CrossRef]
- Kalghatgi, S.; Spina, C.S.; Costello, J.C.; Liesa, M.; Morones-Ramirez, J.R.; Slomovic, S.; Molina, A.; Shirihai, O.S.; Collins, J.J. Bactericidal antibiotics induce mitochondrial dysfunction and oxidative damage in mammalian cells. Sci. Transl. Med. 2013, 5, 192ra85. [Google Scholar] [CrossRef]
- Li, J.; Zhang, L.; Wu, T.; Li, Y.; Zhou, X.; Ruan, Z. Indole-3-propionic acid improved the intestinal barrier by enhancing epithelial barrier and mucus barrier. J. Agric. Food Chem. 2021, 5, 1487–1495. [Google Scholar] [CrossRef]
- Konopelski, P.; Konop, M.; Gawrys-Kopczynska, M.; Podsadni, P.; Szczepanska, A.; Ufnal, M. Indole-3-propionic acid, a trypto-phan-derived bacterial metabolite, reduces weight gain in rats. Nutrients 2019, 3, 591. [Google Scholar] [CrossRef] [PubMed]
- Zampieri, M.; Zimmermann, M.; Claassen, M.; Sauer, U. Nontargeted metabolomics reveals the multilevel response to anti-biotic per-turbations. Cell Rep. 2017, 6, 1214–1228. [Google Scholar] [CrossRef] [PubMed]
- Lopatkin, A.J.; Yang, J.H. Digital insights into nucleotide metabolism and antibiotic treatment failure. Front. Digit. Health 2021, 3, 583468. [Google Scholar] [CrossRef] [PubMed]
- Garber, J.M.; Hennet, T.; Szymanski, C.M. Significance of fucose in intestinal health and disease. Mol. Microbiol. 2021, 6, 1086–1093. [Google Scholar] [CrossRef] [PubMed]
- Theriot, C.M.; Koenigsknecht, M.J.; Carlson, P.E.; Hatton, G.E.; Nelson, A.M.; Li, B.; Huffnagle, G.B.; Li, J.Z.; Young, V.B. Antibi-otic-induced shifts in the mouse gut microbiome and metabolome increase susceptibility to Clostridium difficile infection. Nat. Commun. 2014, 5, 3114. [Google Scholar] [CrossRef] [PubMed]
- Gutierrez, D.; Weinstock, A.; Antharam, V.C.; Gu, H.; Jasbi, P.; Shi, X.; Dirks, B.; Krajmalnik-Brown, R.; Maldonado, J.; Guinan, J.; et al. Antibiotic-induced gut metabolome and microbiome alterations increase the susceptibility to Candida albicans coloni-zation in the gastrointestinal tract. FEMS Microbiol. Ecol. 2020, 96, fiz187. [Google Scholar] [CrossRef] [PubMed]
- Ismail, I.T.; Fiehn, O.; Elfert, A.; Helal, M.; Salama, I.; El-Said, H. Sugar alcohols have a key role in pathogenesis of chronic liver disease and hepatocellular carcinoma in whole blood and liver tissues. Cancers 2020, 2, 484. [Google Scholar] [CrossRef] [PubMed]
- Hootman, K.C.; Trezzi, J.-P.; Kraemer, L.; Burwell, L.; Dong, X.; Guertin, K.; Jaeger, C.; Stover, P.J.; Hiller, K.; Cassano, P.A. Erythritol is a pentose-phosphate pathway metabolite and associated with adiposity gain in young adults. Proc. Natl. Acad. Sci. USA 2017, 21, E4233–E4240. [Google Scholar] [CrossRef]
- Chatree, S.; Thongmaen, N.; Tantivejkul, K.; Sitticharoon, C.; Vucenik, I. Role of inositols and inositol phosphates in energy metabolism. Molecules 2020, 21, 5079. [Google Scholar] [CrossRef]
- Lepore, E.; Lauretta, R.; Bianchini, M.; Mormando, M.; Di Lorenzo, C.; Unfer, V. Inositols depletion and resistance: Principal mechanisms and therapeutic strategies. Int. J. Mol. Sci. 2021, 13, 6796. [Google Scholar] [CrossRef] [PubMed]
- Laflamme, D.P.; Xu, H.; Cupp, C.J.; Kerr, W.W.; Ramadan, Z.; Long, G.M. Evaluation of canned therapeutic diets for the management of cats with naturally occurring chronic diarrhea. J. Feline Med. Surg. 2012, 10, 669–677. [Google Scholar] [CrossRef] [PubMed]
- Mihara, S.; Fujimoto, M.; Okabayashi, T. Suppression by beta-lactam antibiotics of thromboxane A2 generation and arachidonic acid release in rabbit platelets in vitro. Thromb. Res. 1986, 3, 265–275. [Google Scholar] [CrossRef]
- Yuan, D.; Pan, M.; Zou, Q.; Chen, C.; Chen, S.; Xu, A. The effect of antibiotic exposure on eicosanoid generation from arachidonic acid and gene expression in a primitive chordate, Branchiostoma belcheri. FEBS Open Biol. 2015, 5, 615–624. [Google Scholar] [CrossRef]
- Rosa, B.A.; Supali, T.; Gankpala, L.; Djuardi, Y.; Sartono, E.; Zhou, Y.; Fischer, K.; Martin, J.; Tyagi, R.; Bolay, F.K.; et al. Differential human gut microbiome assemblages during soil-transmitted helminth infections in Indonesia and Liberia. Microbiome 2018, 1, 33. [Google Scholar] [CrossRef]
- Blake, A.B.; Cigarroa, A.; Klein, H.L.; Khattab, M.R.; Keating, T.; Van De Coevering, P.; Lidbury, J.A.; Steiner, J.M.; Suchodolski, J.S. Developmental stages in microbiota, bile acids, and clostridial species in healthy puppies. J. Vet. Intern. Med. 2020, 6, 2345–2356. [Google Scholar] [CrossRef]
- Kuno, T.; Hirayama-Kurogi, M.; Ito, S.; Ohtsuki, S. Reduction in hepatic secondary bile acids caused by short-term antibiotic-induced dysbiosis decreases mouse serum glucose and triglyceride levels. Sci. Rep. 2018, 1, 1253. [Google Scholar] [CrossRef]
- Vrieze, A.; Out, C.; Fuentes, S.; Jonker, L.; Reuling, I.; Kootte, R.S.; van Nood, E.; Holleman, F.; Knaapen, M.; Romijn, J.A.; et al. Impact of oral vancomycin on gut microbiota, bile acid metabolism, and insulin sensitivity. J. Hepatol. 2014, 4, 824–831. [Google Scholar] [CrossRef]
- Lavelle, A.; Sokol, H. Gut microbiota-derived metabolites as key actors in inflammatory bowel disease. Nat. Rev. Gastroenterol. Hepatol. 2020, 4, 223–237. [Google Scholar] [CrossRef]
- Winston, J.A.; Theriot, C.M. Impact of microbial derived secondary bile acids on colonization resistance against Clostridium difficile in the gastrointestinal tract. Anaerobe 2016, 41, 44–50. [Google Scholar] [CrossRef]
- Tizard, I.R.; Jones, S.W. The microbiota regulates immunity and immunologic diseases in dogs and cats. Vet. Clin. North. Am. Small Anim. Pract. 2018, 2, 307–322. [Google Scholar] [CrossRef] [PubMed]
- Ducarmon, Q.R.; Zwittink, R.D.; Hornung, B.V.H.; Van Schaik, W.; Young, V.B.; Kuijper, E.J. Gut microbiota and colonization resistance against bacterial enteric infection. Microbiol. Mol. Biol. Rev. 2019, 3, e00007-19. [Google Scholar] [CrossRef] [PubMed]
- Kenny, D.J.; Plichta, D.R.; Shungin, D.; Koppel, N.; Hall, A.B.; Fu, B.; Vasan, R.S.; Shaw, S.Y.; Vlamakis, H.; Balskus, E.P.; et al. Cholesterol metabolism by uncultured human gut bacteria influences host cholesterol level. Cell Host Microbe 2020, 2, 245–257. [Google Scholar] [CrossRef] [PubMed]
- Babaoğlu Aydaş, A.S.; Aslim, B. The cholesterol-lowering effects of probiotic bacteria on lipid metabolism. In Probiotics, Prebiotics, and Symbiotics, 1st ed.; Watson, R.R., Preedy, V.R., Eds.; Elsevier: New York, NY, USA, 2016; pp. 699–722. [Google Scholar]
- Cuevas-Tena, M.; Alegría, A.; Lagarda, M.J. Determination of fecal sterols following a diet with and without plant sterols. Lipids 2017, 10, 871–884. [Google Scholar] [CrossRef] [PubMed]
- Le Roy, T.; Lécuyer, E.; Chassaing, B.; Rhimi, M.; Lhomme, M.; Boudebbouze, S.; Ichou, F.; Haro Barceló, J.; Huby, T.; Guerin, M.; et al. The intestinal microbiota regulates host cholesterol homeostasis. BMC Biol. 2019, 1, 94. [Google Scholar] [CrossRef]
- Babawale, E.A.; Jones, P.J.; Mercer, K.E.; Lin, H.; Yeruva, L.; Yoseph, F.B.; Rutherfurd, S.M. Modulating sterol concentrations in infant formula influences cholesterol absorption and synthesis in the neonatal piglet. Nutrients 2018, 12, 1848. [Google Scholar] [CrossRef]
- Jenkins, D.J.; Kendall, C.W.; Hamidi, M.; Vidgen, E.; Faulkner, D.; Parker, T.; Irani, N.; Wolever, T.M.S.; Fong, I.; Kopplin, P.; et al. Effect of antibiotics as cholesterol-lowering agents. Metabolism 2005, 1, 103–112. [Google Scholar] [CrossRef]
- Wandro, S.; Osborne, S.; Enriquez, C.; Bixby, C.; Arrieta, A.; Whiteson, K. The microbiome and metabolome of preterm infant stool are personalized and not driven by health outcomes, including necrotizing enterocolitis and late-onset sepsis. mSphere 2018, 3, e00104–e00118. [Google Scholar] [CrossRef]









| Metabolite | Classification | AMC Group | CON Group | DOX Group |
|---|---|---|---|---|
| Day 0 | ||||
| Glutamine | Amino acid | 552,948 a ± 263,874 | 872,940 a ± 336,986 | 735,477 ± 296,472 |
| Asparagine | Amino acid | 28,024 a,b ± 8064 | 39,820 a ± 14,906 | 37,632 b ± 9713 |
| Alanine | Amino acid | 1,571,042 a ± 777,177 | 2,077,072 a ± 473,101 | 1,921,038 ± 581,830 |
| Citric acid | Organic acid | 257,011 a,b ± 124,738 | 332,840 a ± 112,121 | 346,138 b ± 99,573 |
| Trans-4- hydroxyproline | Antioxidant | 255,037 a ± 192,296 | 362,099 a ± 180,627 | 256,459 ± 126,726 |
| Ribose | Sugar | 17,584 ± 10,043 | 21,027 a ± 12,089 | 31,123 a ± 16,217 |
| Threitol | Sugar alcohol | 6119 a ± 8254 | 1801 a ± 585 | 2897 ± 2568 |
| 3-hydroxybutyric acid | Fatty acid | 1,192,909 a ± 2,274,124 | 112,391 a ± 80,512 | 311,592 ± 407,090 |
| Beta-sitosterol | Sterol | 2458 a ± 1340 | 4459 a ± 2159 | 2766 ± 1602 |
| Dehydrocholesterol | Zoosterol | 2775 a ± 1484 | 5023 a ± 3152 | 3991 ± 1571 |
| Phenylethylamine | Polyamine | 86,072 ± 12,733 | 49,633 a ± 59,675 | 28,350 a ± 23,642 |
| Glyceric acid | Trionic acid | 27,312 a ± 11,511 | 18,797 a,b ± 5325 | 31,637 b ± 16,222 |
| 2-hydroxyglutaric acid | Glutaric acid | 9528 a ± 4490 | 12,753 a ± 5398 | 10,048 ± 3521 |
| 2-hydroxybutanoic acid | Hydroxybutyric acid | 193,658 a ± 170,262 | 93,973 a ± 61,660 | 123,541 ± 69,982 |
| 2-deoxypentitol | Tetrol | 3796 a,b ± 5408 | 1187 a ± 292 | 1388 b ± 404 |
| Day 20/28 | ||||
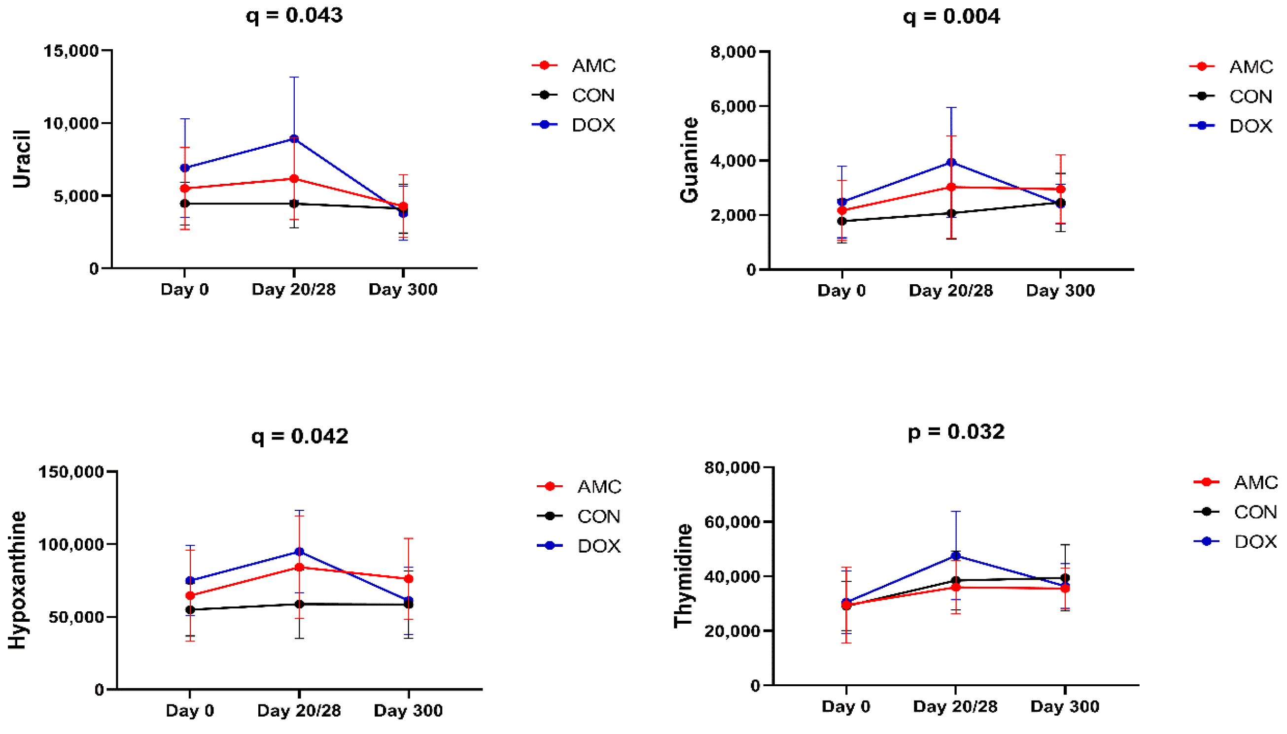
| Uracil | Pyrimidine | 6180 ± 2823 | 4458 a ± 1647 | 8912 a ± 4261 |
| Hypoxanthine | Purine | 84,182 ± 35,210 | 58,815 a ± 23,693 | 94,958 a ± 28,239 |
| Guanine | Purine | 3031 ± 1878 | 2071 a ± 946 | 3936 a ± 2018 |
| Inositol-4- monophosphate | Inositol phosphate | 1289 a,b ± 466 | 2072 a ± 653 | 2058 b ± 872 |
| Indole-3- propionic acid | Antioxidant | 2624 a,b ± 3382 | 8815 a ± 3066 | 7491 b ± 3823 |
| Glycolic acid | Lipid | 16,124 a ± 2687 | 17,618 ± 4914 | 27,515 a ± 19,908 |
| Metabolites | Classification | Day 0 | Day 28 | Day 300 |
|---|---|---|---|---|
| Tryptophan | Amino acid | 255,630 a ± 96,825 | 344,259 ± 139,221 | 441,120 a ± 137,367 |
| Glycine | Amino acid | 883,554 ± 378,246 | 887,547 b ± 233,365 | 546,185 b ± 165,401 |
| 4-hydroxyphenylacetic Acid | Acetic acid | 3015 b ± 1602 | 2829 ± 2052 | 1252 b ± 525 |
| 2-hydroxyglutaric Acid | Glutaric acid | 12,753 c ± 5398 | 10,301 d ± 3394 | 4327 c,d ± 906 |
| Pseudo uridine | Pyrimidine | 15,377 ± 6106 | 17,688 c ± 2482 | 12,642 c ± 3254 |
| Trans-4- Hydroxyproline | Antioxidant | 362,099 ± 180,627 | 463,524 b ± 154,783 | 229,341 b ± 113,943 |
| Methionine sulfoxide | Antioxidant | 107,175 b ± 52,419 | 93,536 ± 35,520 | 59,856 b ± 33,237 |
| Maltose | Sugar | 15,491 b ± 7688 | 10,346 ± 4911 | 6515 b ± 2847 |
| Erythritol | Sugar alcohol | 12,511 a ± 4017 | 12,764 ± 1622 | 1048 a ± 1623 |
| Arabitol | Sugar alcohol | 9453 ± 3557 | 13,775 c ± 3221 | 8836 c ± 2273 |
| Threonic acid | Sugar acid | 31,888 a ± 21,050 | 16,298 ± 9022 | 13,589 a ± 7100 |
| Putrescine | Polyamine | 8201 c ± 2687 | 7366 ± 3102 | 5258 c ± 1630 |
| Phenylethylamine | Polyamine | 49,633 ± 59,675 | 31,497 a ± 119,931 | 11,004 a ± 8318 |
| Serotonin | Hormone | 83,366 c ± 36,347 | 85,772 ± 40,067 | 54,524 c ± 32,985 |
| Phosphate | Ester | 658,084 b ± 154,258 | 740,668 a ± 228,235 | 474,287 a,b ± 128,407 |
| 2-hydroxy- 2-methylbutanoic acid | Organic acid | 11,851 a ± 5531 | 9429 ± 3784 | 6686 a ± 1321 |
| Creatinine | 107,839 b ± 52,332 | 119,931 ± 39,720 | 188,484 b ± 41,887 |
| Metabolites | Classification | Day 0 | Day 20 | Day 300 |
|---|---|---|---|---|
| Tryptophan | Amino acid | 250,388 d ± 119,739 | 389,432 c,d ± 66,866 | 486,581 d ± 95,354 |
| Threonine | Amino acid | 200,577 a ± 108,054 | 317,721 ± 255,426 | 277,046 a ± 109,534 |
| Oxoproline | Amino acid | 721,708 a ± 174,709 | 815,968 ± 134,778 | 981,791 a ± 184,254 |
| Isoleucine | Amino acid | 514,101 ± 188,354 | 503,052 b ± 83,031 | 404,230 b ± 72,426 |
| Tartaric acid | Organic acid | 455 ± 348 | 380 b ± 139 | 1108 b ± 706 ± 882 |
| Aconitic acid | Organic acid | 2615 a ± 1457 | 1594 a ± 837 | 1614 |
| 2-hydroxyglutaric acid | Glutaric acid | 9528 c ± 4490 | 12,206 d ± 3939 | 4244 c,d ± 1019 |
| Trans-4-hydroxyproline | Antioxidant | 255,037 b ± 192,296 | 460,027 b ± 112,402 | 291,014 ± 128,520 |
| Glucose | Sugar | 3,145,429 ± 643,471 | 3,215,996 b ± 497,544 | 4,251,770 b ± 1,155,169 |
| Fucose | Sugar | 7136 ± 1408 | 7344 a ± 1362 | 9371 a ± 2347 |
| Phosphate | Ester | 585,752 ± 180,423 | 724,383 d ± 135,884 | 461,411 d ± 112,401 |
| Beta-sitosterol | Sterol | 2458 c ± 1340 | 5775 ± 3217 | 6342 c ± 3243 |
| Arachidonic acid | Fatty acid | 20,304 b ± 7954 | 12,796 a,b ± 4318 | 19,069 a ± 5576 |
| 5-aminovaleric acid | Fatty acid | 27,554 a ± 25,615 | 12,374 ± 10,395 | 4658 a ± 2946 |
| 5-hydroxymethyl- 2-furoic acid | Furoic acid | 5903 ± 9134 | 993 b ± 256 | 1571 b ± 388 |
| Creatinine | 169,183 ± 97,973 | 110,233 a ± 39,656 | 181,369 a ± 57,411 |
| Metabolites | Classification | Day 0 | Day 28 | Day 300 |
|---|---|---|---|---|
| Tryptophan | Amino acid | 267,090 d ± 124,026 | 393,276 ± 108,905 | 534,822 d ± 126,493 |
| Threonine | Amino acid | 155,280 d ± 71,885 | 233,122 ± 125,192 | 232,976 d ± 55,123 |
| Glutamine | Amino acid | 735,477 ± 296,473 | 685,995 a ± 270,345 | 1,058,116 a ± 241,969 |
| Aspartic acid | Amino acid | 26,034 ± 7550 | 30,308 a ± 6213 | 22,840 a ± 4077 |
| 2-hydroxyglutaric acid | Glutaric acid | 10,048 c ± 3521 | 12,499 d ± 3377 | 4425 c,d ± 1062 |
| Uracil | Pyrimidine | 6916 a ± 3400 | 8912 c ± 4261 | 3795 a,c ± 1863 |
| Thymidine | Pyrimidine | 30,479 a ± 11403 | 47,596 a ± 16,194 | 36,446 ± 8196 |
| Pseudo uridine | Pyrimidine | 18,234 a ± 4993 | 18,167 ± 7313 | 13,255 a ± 2608 |
| Hypoxanthine | Purine | 74,971 ± 24,171 | 94,958 a ± 28,239 | 61,218 a ± 23,140 |
| Trans-4-hydroxyproline | Antioxidant | 256,459 b,c ± 126,726 | 483,290 c ± 125,486 | 290,840 b ± 112,972 |
| Fructose | Sugar | 270,389 a ± 100,509 | 253,463 ± 69,322 | 446,898 a ± 206,582 |
| Myo-inositol | Sugar alcohol | 328,115 ± 196,034 | 404,677 a ± 133,018 | 265,394 a ± 128,091 |
| Isothreonic acid | Sugar acid | 12,508 c ± 3518 | 12,359 b ± 3379 | 7674 c,b ± 1083 |
| Gluconic acid | Sugar acid | 104,628 a ± 61,378 | 90,441 ± 47,982 | 43,425 a ± 43,335 |
| Tocopherol alpha | Vitamin | 41,000 a ± 22,358 | 20,256 a ± 8868 | 26,884 ± 12,928 |
| Phosphate | Ester | 646,227 ± 185,512 | 803,778 b ± 194,685 | 506,265 b ± 107,415 |
| Lanosterol | Lanosterol | 372 ± 180 | 257 a ± 60 | 344 a ± 66 |
| Beta-sitosterol | Sterol | 2766 a,b ± 1602 | 6238 a ± 2606 | 5392 b ± 2244 |
| Arachidonic acid | Fatty acid | 21,507 ± 8645 | 15,391 a ± 4627 | 21,035 a ± 4419 |
| 5-hydroxymethyl- 2-furoic acid | Furoic acid | 1799 ± 1639 | 980 d ± 267 | 1628 d ± 417 |
| Creatinine | 144,622 ± 108,647 | 117,559 d ± 42,094 | 207,931 d ± 51,552 |
| Metabolites | Classification | Day 0 | Day 28 | Day 60 | Day 120 | Day 300 |
|---|---|---|---|---|---|---|
| Lithocholic acid | BA | 244 a ± 346 | 313 ± 268 | 380 ± 236 | 355 ± 229 | 507 a ± 377 |
| Deoxycholic acid | BA | 1282 a,d ± 1576 | 1882 ± 1245 | 2082 ± 934 | 2281 a ± 781 | 3025 d ± 1705 |
| Linoleic acid | Fatty Acid | 6.54 b ± 3.87 | 7.92 ± 3.81 | 10.20 b ± 4.80 | 9.08 ± 4.69 | 7.95 ± 2.90 |
| Coprostanol | Sterol | 0.17 a,b,c ± 0.09 | 0.43 ± 0.75 | 0.91 c ± 1.21 | 0.90 a ± 1.31 | 0.68 b ± 0.93 |
| Campesterol | Sterol | 0.24 b ± 0.15 | 0.34 ± 0.17 | 0.42 b ± 0.19 | 0.38 ± 0.15 | 0.42 ± 0.17 |
| Stigmasterol | Sterol | 0.12 b,c,d ± 0.07 | 0.17 ± 0.08 | 0.20 c ± 0.06 | 0.20 b ± 0.09 | 0.21 d ± 0.05 |
| Fucosterol | Sterol | 0.03 a,c ± 0.04 | 0.06 ± 0.04 | 0.07 a ± 0.04 | 0.06 ± 0.04 | 0.07 c ± 0.04 |
| Beta-sitosterol | Sterol | 0.66 c ± 0.38 | 0.92 ± 0.47 | 1.05 ± 0.43 | 0.97 ± 0.40 | 1.17 c ± 0.43 |
| Sitostanol | Sterol | 0.37 b,c,d ± 0.27 | 0.63 ± 0.33 | 0.78 b ± 0.28 | 0.80 c ± 0.30 | 0.88 d ± 0.27 |
| Secondary BAs | BA | 1622 a,c ± 2003 | 2282 ± 1566 | 2636 a ± 1147 | 2761 ± 1027 | 3629 c ± 2086 |
| Chenodeoxycholic acid (%) | BA | 13.03 b ± 15.78 | 7.07 ± 5.70 | 5.06 ± 3.19 | 3.95 ± 1.78 | 3.52 b ± 2.15 |
| Ursodeoxycholic acid (%) | BA | 2.42 a ± 3.45 | 2.60 ± 2.87 | 4.94 a ± 4.05 | 3.62 ± 2.36 | 2.58 ± 1.64 |
| Zoosterols | Sterol | 1.42 b,c,d ± 0.86 | 2.13 ± 1.08 | 2.53 c ± 0.97 | 2.41 b ± 0.90 | 2.76 d ± 0.94 |
| Sterols | Sterol | 3.83 a ± 1.76 | 4.26 ± 1.57 | 5.63 a ± 2.20 | 5.12 ± 1.80 | 4.98 ± 1.43 |
| Metabolites | Classification | Day 0 | Day 20 | Day 60 | Day 120 | Day 300 |
|---|---|---|---|---|---|---|
| Lithocholic acid | BA | 374 ± 359 | 184 c ± 319 | 325 ± 200 | 349 ± 198 | 458 c ± 364 |
| Deoxycholic acid | BA | 1968 ± 1652 | 1041 b,c,d ± 1392 | 2073 b ± 742 | 2584 c ± 1151 | 2783 d ± 1549 |
| Palmitic acid | Fatty acid | 12.61 b ± 5.95 | 9.15 ± 3.73 | 7.49 b ± 3.11 | 10.00 ± 4.90 | 9.81 ± 4.16 |
| Stearic acid | Fatty acid | 9.94 c,d ± 6.35 | 4.20 d ± 1.20 | 4.17 c ± 1.60 | 6.31 ± 4.34 | 6.29 ± 4.58 |
| Nervonic acid | Fatty acid | 0.49 a ± 0.62 | 0.28 ± 0.46 | 0.16 a ± 0.05 | 0.19 ± 0.09 | 0.20 ± 0.13 |
| Campesterol | Sterol | 0.19 a,c,d ± 0.11 | 0.30 ± 0.15 | 0.34 a ± 0.15 | 0.38 c ± 0.14 | 0.38 d ± 0.13 |
| Stigmasterol | Sterol | 0.11 a,c,d ± 0.07 | 0.18 ± 0.08 | 0.19 a ± 0.06 | 0.21 d ± 0.09 | 0.20 c ± 0.05 |
| Fucosterol | Sterol | 0.02 a ± 0.03 | 0.06 ± 0.06 | 0.10 a ± 0.10 | 0.07 ± 0.05 | 0.07 ± 0.03 |
| Beta-sitosterol | Sterol | 0.49 b,c,d ± 0.35 | 0.92 ± 0.53 | 1.00 b ± 0.42 | 1.04 d ± 0.45 | 1.03 c ± 0.35 |
| Sitostanol | Sterol | 0.29 a,d ± 0.33 | 0.61 a ± 0.34 | 0.77 d ± 0.19 | 0.82 d ± 0.25 | 0.81 ± 0.33 |
| Secondary BA | BA | 2463 ± 2002 | 1316 c,d ± 1688 | 2565 c ± 878 | 3109 d ± 1362 | 3387 d ± 1964 |
| Chenodeoxycholic acid (%) | BA | 9.15 ± 7.95 | 13.83 b ± 11.72 | 6.86 ± 5.35 | 6.31 ± 5.92 | 4.59 b ± 3.19 |
| Zoosterols | Sterol | 1.10 c,d ± 0.86 | 2.07 c ± 1.13 | 2.38 d ± 0.85 | 2.52 d ± 0.90 | 2.49 ± 0.81 |
| Metabolites | Classification | Day 0 | Day 28 | Day 60 | Day 120 | Day 300 |
|---|---|---|---|---|---|---|
| Lithocholic acid | BA | 355 ± 415 | 166 b ± 198 | 352 ± 302 | 373 ± 233 | 474 b ± 278 |
| Deoxycholic acid | BA | 1798 ± 1562 | 985 a,d ± 988 | 1740 ± 1110 | 2065 a ± 1092 | 2702 d ± 1219 |
| Myristic acid | Fatty acid | 0.54 a,d ± 0.28 | 0.25 d ± 0.07 | 0.25 d ± 0.09 | 0.32 a ± 0.15 | 0.39 ± 0.25 |
| Palmitic acid | Fatty acid | 14.65 b,c,d ± 4.60 | 9.61 b ± 4.35 | 8.49 d ± 4.17 | 8.87 c ± 2.72 | 10.69 ± 5.05 |
| Stearic acid | Fatty acid | 11.73 c,d ± 6.10± 6.10 | 4.34 d ± 1.67 | 4.71 d ± 2.67 | 4.93 c ± 2.01 | 6.25 ± 3.80 |
| Docosanoic acid | Fatty acid | 0.29 a,c,d ± 0.21 | 0.12 d ± 0.03 | 0.13 c ± 0.04 | 0.16 a ± 0.08 | 0.16 ± 0.07 |
| Gondoic acid | Fatty acid | 0.60 a,b ± 0.44 | 0.26 b ± 0.08 | 0.27 a ± 0.14 | 0.33 ± 0.17 | 0.37 ± 0.25 |
| Nervonic acid | Fatty acid | 0.45 b,c,d ± 0.38 | 0.15 d ± 0.05 | 0.17 c ± 0.06 | 0.22 ± 0.11 | 0.21 b ± 0.09 |
| Cholesterol | Sterol | 3.15 b,c,d ± 2.28 | 1.05 d ± 0.47 | 1.26 c ± 0.69 | 1.40 c ± 0.77 | 1.51 b ± 0.58 |
| Lathosterol | Sterol | 0.02 a,b ± 0.00 | 0.02 a ± 0.00 | 0.02 b ± 0.00 | 0.02 ± 0.00 | 0.02 ± 0.00 |
| Sitostanol | Sterol | 0.34 b,c ± 0.37 | 0.75 ± 0.43 | 0.63 ± 0.24 | 0.83 b ± 0.31 | 0.82 c ± 0.50 |
| Secondary ΒA | BA | 2277 ± 1919 | 1307 a,d ± 1322 | 2212 ± 1405 | 2592 a ± 1352 | 3299 d ± 1471 |
| Secondary BA (%) | BA | 64.10 ± 40.69 | 49.94 a ± 38.40 | 76.56 ± 31.54 | 79.12 ± 27.13 | 84.76 a ± 20.83 |
| Primary BA (%) | BA | 35.90 ± 40.69 | 50.06 a ± 38.40 | 23.44 ± 31.54 | 20.88 ± 27.13 | 15.24 a ± 20.83 |
| Chenodeoxycholic acid (%) | BA | 6.84 ± 5.30 | 10.43 c ± 5.56 | 6.43 ± 4.08 | 5.80 ± 4.85 | 4.77 c ± 6.34 |
| Deoxycholic acid (%) | BA | 52.07 ± 35.48 | 39.43 b ± 33.36 | 60.77 ± 26.68 | 63.05 ± 22.05 | 69.04 b ± 19.09 |
| Phytosterols | Sterol | 4.02 b,c ± 2.78 | 1.57 c ± 0.74 | 1.78 b ± 0.73 | 2.48 ± 1.43 | 2.49 ± 1.41 |
| Zoosterols | Sterol | 1.37 a ± 0.97 | 2.40 ± 1.31 | 2.07 ± 0.74 | 2.56 a ± 0.86 | 2.52 a ± 1.34 |
Publisher’s Note: MDPI stays neutral with regard to jurisdictional claims in published maps and institutional affiliations. |
© 2022 by the authors. Licensee MDPI, Basel, Switzerland. This article is an open access article distributed under the terms and conditions of the Creative Commons Attribution (CC BY) license (https://creativecommons.org/licenses/by/4.0/).
Share and Cite
Stavroulaki, E.M.; Suchodolski, J.S.; Pilla, R.; Fosgate, G.T.; Sung, C.-H.; Lidbury, J.; Steiner, J.M.; Xenoulis, P.G. The Serum and Fecal Metabolomic Profiles of Growing Kittens Treated with Amoxicillin/Clavulanic Acid or Doxycycline. Animals 2022, 12, 330. https://doi.org/10.3390/ani12030330
Stavroulaki EM, Suchodolski JS, Pilla R, Fosgate GT, Sung C-H, Lidbury J, Steiner JM, Xenoulis PG. The Serum and Fecal Metabolomic Profiles of Growing Kittens Treated with Amoxicillin/Clavulanic Acid or Doxycycline. Animals. 2022; 12(3):330. https://doi.org/10.3390/ani12030330
Chicago/Turabian StyleStavroulaki, Evangelia M., Jan S. Suchodolski, Rachel Pilla, Geoffrey T. Fosgate, Chi-Hsuan Sung, Jonathan Lidbury, Jörg M. Steiner, and Panagiotis G. Xenoulis. 2022. "The Serum and Fecal Metabolomic Profiles of Growing Kittens Treated with Amoxicillin/Clavulanic Acid or Doxycycline" Animals 12, no. 3: 330. https://doi.org/10.3390/ani12030330
APA StyleStavroulaki, E. M., Suchodolski, J. S., Pilla, R., Fosgate, G. T., Sung, C.-H., Lidbury, J., Steiner, J. M., & Xenoulis, P. G. (2022). The Serum and Fecal Metabolomic Profiles of Growing Kittens Treated with Amoxicillin/Clavulanic Acid or Doxycycline. Animals, 12(3), 330. https://doi.org/10.3390/ani12030330

