Hemp in Animal Diets—Cannabidiol
Abstract
Simple Summary
Abstract
1. Introduction
- Hemp classification, laws and regulations on its use;
- CBD structure, extraction, and the mechanism of action in the body;
- CBD anti-inflammatory, hepatic and antioxidative effects;
- Hemp in livestock feeding.
2. Description of Cannabis
2.1. Categorization and Botanical Features
2.2. Laws and Legal Restrictions
2.3. Nutrients
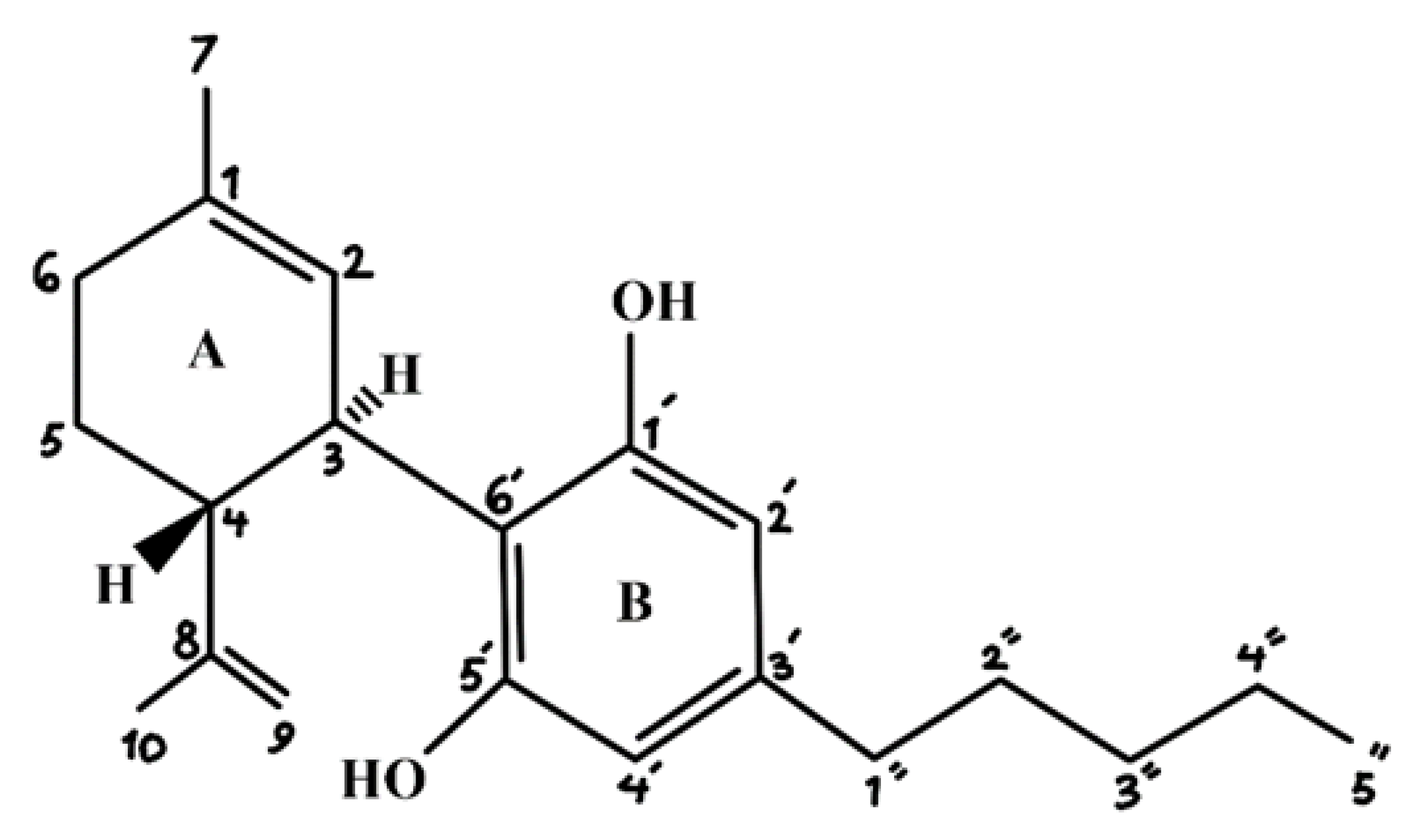
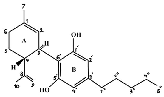
3. CBD Structure
3.1. Chemical Structure
- (1)
- In the cyclohexene ring at C-1 with a methyl group,
- (2)
- In the phenolic ring at C-1ʹ and C-5ʹ with a hydroxyl group, and
- (3)
- In the phenolic ring at C-3ʹ with the pentyl chain.
3.2. Biosynthesis
4. Methods of Extraction
4.1. Soxhlet Method
4.2. Immersion Method (Maceration)
4.3. Supercritical Fluids Extraction (SFE)
4.4. Supercritical Hot Water Extraction
4.5. High-Performance Liquid Chromatography (HPLC)
5. Mechanism of Action
Endocannabinoid System (ECS)
6. Analgesic and Anti-Inflammatory Effects of CBD
7. Hepatotoxicity and Tolerability
8. CBD Health Benefits
8.1. Direct Antioxidant Activity
8.2. Indirect Antioxidant Activity
9. Hemp Use in Livestock Diet
10. Conclusions
Author Contributions
Funding
Institutional Review Board Statement
Informed Consent Statement
Data Availability Statement
Acknowledgments
Conflicts of Interest
References
- Small, E.; Cronquist, A. A practical and natural taxonomy for Cannabis. Taxon 1976, 25, 405–435. [Google Scholar] [CrossRef]
- Rehman, M.; Fahad, S.; Du, G.; Cheng, X.; Yang, Y.; Tang, K.; Liu, L.; Liu, F.; Deng, G. Evaluation of hemp (Cannabis sativa L.) as an industrial crop: A review. Environ. Sci. Pollut. Res. Int. 2021, 28, 52832–52843. [Google Scholar] [CrossRef] [PubMed]
- Vasantha Rupasinghe, H.P.; Davis, A.; Kumar, S.K.; Murray, B.; Zheljazkov, V.D. Industrial Hemp (Cannabis sativa subsp. sativa) as an Emerging Source for Value-Added Functional Food Ingredients and Nutraceuticals. Molecules 2020, 25, 4078. [Google Scholar] [CrossRef] [PubMed]
- Callaway, J.C. Hempseed as a nutritional resource: An overview. Euphytica 2004, 140, 65–72. [Google Scholar] [CrossRef]
- Della Rocca, G.; Di Salvo, A. Hemp in Veterinary Medicine: From Feed to Drug. Front. Vet. Sci. 2020, 7, 387. [Google Scholar] [CrossRef]
- Russo, E.B. Taming THC: Potential cannabis synergy and phytocannabinoid-terpenoid entourage effects. Br. J. Pharmacol. 2011, 163, 1344–1364. [Google Scholar] [CrossRef]
- Shannon, S.; Opila-Lehman, J. Effectiveness of Cannabidiol Oil for Pediatric Anxiety and Insomnia as Part of Posttraumatic Stress Disorder: A Case Report. Perm. J. 2016, 20, 16-005. [Google Scholar] [CrossRef]
- Rajesh, M.; Mukhopadhyay, P.; Bátkai, S.; Patel, V.; Saito, K.; Matsumoto, S.; Kashiwaya, Y.; Horváth, B.; Mukhopadhyay, B.; Becker, L.; et al. Cannabidiol attenuates cardiac dysfunction, oxidative stress, fibrosis, and inflammatory and cell death signaling pathways in diabetic cardiomyopathy. J. Am. Coll. Cardiol. 2010, 56, 2115–2125. [Google Scholar] [CrossRef]
- Yamauchi, T.; Shoyama, Y.; Matsuo, Y.; Nishioka, I. Cannabigerol Monomethyl Ether, a New Component of Hemp. Chem. Pharm. Bull. 1968, 16, 1164–1165. [Google Scholar] [CrossRef]
- Valizadehderakhshan, M.; Shahbazi, A.; Kazem-Rostami, M.; Todd, M.S.; Bhowmik, A.; Wang, L. Extraction of Cannabinoids from Cannabis sativa L. (Hemp)—Review. Agriculture 2021, 11, 384. [Google Scholar] [CrossRef]
- McPartland, J.M.; Clarke, R.C.; Watson, D.P. Hemp Diseases and Pests: Management and Biological Control—An Advanced Treatise; CABI: Wallingford, UK, 2000. [Google Scholar]
- Aiello, G.; Fasoli, E.; Boschin, G.; Lammi, C.; Zanoni, C.; Citterio, A.; Arnoldi, A. Proteomic characterization of hempseed (Cannabis sativa L.). J. Proteom. 2016, 147, 187–196. [Google Scholar] [CrossRef]
- Adesina, I.; Bhowmik, A.; Sharma, H.; Shahbazi, A. A review on the current state of knowledge of growing conditions, agro-nomic soil health practices and utilities of hemp in the United States. Agriculture 2020, 10, 129. [Google Scholar] [CrossRef]
- Amaducci, S.; Scordia, D.; Liu, F.H.; Zhang, Q.; Guo, H.; Testa, G.; Cosentino, S.L. Key cultivation techniques for hemp in Europe and China. Ind. Crops Prod. 2015, 68, 2–16. [Google Scholar] [CrossRef]
- García-Tejero, I.F.; Durán-Zuazo, V.H.; Pérez-Álvarez, R.; Hernández, A.; Casano, S.; Morón, M.; Muriel-Fernández, J.L. Impact of plant density and irrigation on yield of hemp (Cannabis sativa L.) in a Mediterranean Semi-arid Environment. J. Agric. Sci. Technol. 2014, 16, 887–895. [Google Scholar]
- Iffland, K.; Grotenhermen, F. An Update on Safety and Side Effects of Cannabidiol: A Review of Clinical Data and Relevant Animal Studies. Cannabis Cannabinoid Res. 2017, 2, 139–154. [Google Scholar] [CrossRef]
- Lim, K.; See, Y.M.; Lee, J. A Systematic Review of the Effectiveness of Medical Cannabis for Psychiatric, Movement and Neu-rodegenerative Disorders. Clin. Psychopharmacol. Neurosci. 2017, 15, 301–312. [Google Scholar] [CrossRef]
- Smeriglio, A.; Giofrè, S.; Galati, E.M.; Monforte, M.T.; Cicero, N.; D’Angelo, V.; Grassi, G.; Circosta, C. Inhibition of aldose re-ductase activity by Cannabis sativa chemotypes extracts with high content of cannabidiol or cannabigerol. Fitoterapia 2018, 127, 101–108. [Google Scholar] [CrossRef]
- Grotenhermen, F.; Russo, E.; Zuardi, A.W. Even high doses of oral cannabidol do not cause THC-like effects in humans: Comment on Merrick et al. Cannabis and Cannabinoid Research 1:102–112. https://doi.org/10.1089/can.2015.0004. Cannabis. Cannabinoid. Res. 2017, 2, 36. [Google Scholar] [CrossRef]
- De Meijer, E.P.M.; Bagatta, M.; Carboni, A.; Crucitti, P.; Moliterni, V.M.C.; Ranalli, P.; Mandolino, G. The inheritance of chem-ical phenotype in Cannabis sativa L. Genetics 2003, 163, 335–346. [Google Scholar] [CrossRef]
- Van Bakel, H.; Stout, J.M.; Cote, A.G.; Tallon, C.M.; Sharpe, A.G.; Hughes, T.R.; Page, J.E. The draft genome and transcriptome of Cannabis sativa. Genome Biol. 2011, 12, R102. [Google Scholar] [CrossRef]
- Russo, E.B. History of cannabis and its preparations in saga, science, and sobriquet. Chem. Biodivers 2007, 4, 1614–1648. [Google Scholar] [CrossRef]
- Sawler, J.; Stout, J.; Gardner, K.M.; Hudson, D.; Vidmar, J.; Butler, L.; Page, J.E.; Myles, S. The genetic structure of marijuana and hemp. PLoS ONE 2015, 10, e0133292. [Google Scholar] [CrossRef]
- Agriculture and Agri-Food Canada. Crop profile for Industrial Hemp in Canada. 2020. Available online: https://www.publications.gc.ca/site/eng/9.903431/publication.html (accessed on 12 September 2022).
- Shahzad, A. Hemp fiber and its composites—A review. J. Compos. Mater. 2012, 46, 973–986. [Google Scholar] [CrossRef]
- Deitch, R. Hemp: American History Revisited; Algora Publishing: New York, NY, USA, 2003. [Google Scholar]
- Johnson, R. Hemp as an Agricultural Commodity. Available online: https://fas.org/sgp/crs/misc/RL32725.pdf (accessed on 16 January 2022).
- Abuhasira, R.; Shbiro, L.; Landschaft, Y. Medical use of cannabis and cannabinoids containing products-Regulations in Eu-rope and North America. Eur. J. Intern. Med. 2018, 49, 2–6. [Google Scholar] [CrossRef]
- EFSA Panel on Additives and Products or Substances used in Animal Feed, (FEEDAP). Scientific opinion on the safety of hemp (Cannabis genus) for use as animal feed. EFSA J. 2011, 9, 41. [Google Scholar] [CrossRef]
- Commission Regulation (EU) No 2017/1017 of 15 June 2017 Amending Regulation (EU) No 68/2013 on the Catalogue of Feed Materials. OJEU. 2017; Volume 159, pp. 48–119. Available online: https://eur-lex.europa.eu/legal-content/EN/TXT/?uri=CELEX%3A32017R1017 (accessed on 12 September 2022).
- Vonapartis, E.; Aubin, M.; Seguin, P.; Mustafa, A.F.; Charron, J.-B. Seed composition of ten industrial hemp cultivars approved for production in Canada. J. Food. Compost. Anal. 2015, 39, 8–12. [Google Scholar] [CrossRef]
- Mierlita, D. Effects of diets containing hempseeds or hemp cakes on fatty acid composition and oxidative stability of sheep milk. S. Afr. J. Anim. Sci. 2018, 48, 504–515. [Google Scholar] [CrossRef]
- Devi, V.; Khanam, S. Comparative study of different extraction processes for hemp (Cannabis sativa) seed oil considering physical, chemical and industrial-scale economic aspects. J. Clean. Prod. 2019, 207, 645–657. [Google Scholar] [CrossRef]
- Yu, L.L.; Zhou, K.K.; Parry, J. Antioxidant properties of cold-pressed black caraway, carrot, cranberry, and hemp seed oils. Food Chem. 2005, 91, 723–729. [Google Scholar] [CrossRef]
- Atalay, S.; Jarocka-Karpowicz, I.; Skrzydlewska, E. Antioxidative and Anti-Inflammatory Properties of Cannabidiol. Antioxi-dants 2020, 9, 21. [Google Scholar] [CrossRef] [PubMed]
- United Nations Office on Drugs and Crime. World Drug Report. 2005. Available online: https://www.unodc.org/unodc/en/data-and-analysis/WDR-2005.html (accessed on 12 September 2022).
- Moreno, T.; Montanes, F.; Tallon, S.J.; Fenton, T.; King, J.W. Extraction of cannabinoids from hemp (Cannabis sativa L.) using high pressure solvents: An overview of different processing options. J. Supercrit. Fluids. 2020, 161, 104850. [Google Scholar] [CrossRef]
- Aladić, K. Cold Pressing and Supercritical CO2 Extraction of Hemp (Cannabis sativa) Seed Oil. Chem. Biochem. Eng. Q. 2015, 28, 481–490. [Google Scholar] [CrossRef]
- Whittle, B.C.A.; Hill, I.R.; Flockhart, D.V.D.; Gibson, P.; Whittle, G.W.W.; Brian, A.; Hill, C.A.; Flockhart, I.R.; Downs, D.V.; Gibson, P. et al. Extraction of Pharmaceutically Active Components from Plant Materials. U.S. Patent 7344736 B2, 18 March 2008. [Google Scholar]
- Rosenthal, E. Beyond Buds: Marijuana Extracts-Hash, Vaping, Dabbing, Edibles & Medicines; Quick Trading Company: Oakland, CA, USA, 2014; ISBN 9781936807239. [Google Scholar]
- Rutz, A. CPC Distribution Chromatography of Cannabinoids. U.S. Patent WO2016135346A1, 1 September 2016. [Google Scholar]
- Soxhlet, F. Scopus—Document details. Dinglers. Polytech. J. 1879, 232, 461–465. [Google Scholar]
- Jadhav, D.; Rekha, B.N.; Gogate, P.R.; Rathod, V.K. Extraction of vanillin from vanilla pods: A comparison study of conven-tional soxhlet and ultrasound assisted extraction. J. Food Eng. 2009, 93, 421–426. [Google Scholar] [CrossRef]
- Cheng, H.F. Green Engineering: Green Composite Material, Biodiesel from Waster Coffee Grounds, and Polyurethane Bio-Foam; Cali-fornia State University: Long Beach, CA, USA, 2012. [Google Scholar]
- Nakahara, Y.; Sekine, H. Studies on Confirmation of Cannabis Use. I. Determination of the Cannabinoid Contents in Mariju-ana Cigarette, Tar, and Ash Using High Performance Liquid Chromatography with Electrochemical Detection. J. Anal. Toxicol. 1985, 9, 121–124. [Google Scholar] [CrossRef]
- Chawankul, N.; Chuaprasert, S.; Douglas, P.; Luewisutthichat, W. Simulation of an agitated thin film evaporator for concen-trating orange juice using AspenPlus. J. Food Eng. 2001, 47, 247–253. [Google Scholar] [CrossRef]
- Halim, R.; Danquah, M.K.; Webley, P.A. Extraction of oil from microalgae for biodiesel production: A review. Biotechnol. Adv. 2012, 30, 709–732. [Google Scholar] [CrossRef]
- Wang, L.; Weller, C.L. Recent advances in extraction of nutraceuticals from plants. Trends Food Sci. Technol. 2006, 17, 300–312. [Google Scholar] [CrossRef]
- Pandohee, J.; Holland, B.J.; Li, B.; Tsuzuki, T.; Stevenson, P.G.; Barnett, N.W.; Pearson, J.R.; Jones, O.A.H.; Conlan, X.A. Screening of cannabinoids in industrial-grade hemp using two-dimensional liquid chromatography coupled with acidic po-tassium permanganate chemiluminescence detection. J. Sep. Sci. 2015, 38, 2024–2032. [Google Scholar] [CrossRef]
- Chang, C.W.; Yen, C.C.; Wu, M.T.; Hsu, M.C.; Wu, T.Y. Microwave-assisted extraction of cannabinoids in hemp nut using response surface methodology: Optimization and comparative study. Molecules 2017, 22, 1894. [Google Scholar] [CrossRef]
- Herrero, M.; Cifuentes, A.; Ibañez, E. Sub- and supercritical fluid extraction of functional ingredients from different natural sources: Plants, food-by-products, algae and microalgae—A review. Food Chem. 2006, 98, 136–148. [Google Scholar] [CrossRef]
- Cunha, V.M.B.; da Silva, M.P.; da Costa, W.A.; de Oliveira, M.S.; Bezerra, F.W.F.; de Melo, A.C.; Pinto, R.H.H.; Machado, N.T.; Araujo, M.E.; de Junior, R.N.C. Carbon Dioxide Use in High-Pressure Extraction Processes. In Carbon Dioxide Chemistry, Cap-ture and Oil Recovery; InTechOpen: London, UK, 2018. [Google Scholar]
- Moslavac, T.; Joki´c, S.; Šubari´c, D.; Aladi´c, K.; Vukoja, J.; Prce, N. Pressing and supercritical CO2 extraction of Camelina sativa oil. Ind. Crops. Prod. 2014, 54, 122–129. [Google Scholar] [CrossRef]
- Rovetto, L.J.; Aieta, N.V. Supercritical carbon dioxide extraction of cannabinoids from Cannabis sativa L. J. Supercrit. Fluids. 2017, 129, 16–27. [Google Scholar] [CrossRef]
- Smith, R.; Inomata, H.; Peters, C. Introduction to Supercritical Fluids, 1st ed.; Elsevier Science: Amsterdam, The Netherlands, 2013; ISBN 9780080931302. [Google Scholar]
- Aladi´c, K.; Jarni, K.; Barbir, T.; Vidovi´c, S.; Vladi´c, J.; Bili´c, M.; Joki´c, S. Supercritical CO2 extraction of hemp (Cannabis sati-va L.) seed oil. Ind. Crops. Prod. 2015, 76, 472–478. [Google Scholar] [CrossRef]
- Plaza, M.; Turner, C. Pressurized hot water extraction of bioactives. Trends. Analyt. Chem. 2015, 71, 39–54. [Google Scholar] [CrossRef]
- Nuapia, Y.; Tutu, H.; Chimuka, L.; Cukrowska, E. Selective extraction of cannabinoid compounds from cannabis seed using pressurized hot water extraction. Molecules 2020, 25, 1335. [Google Scholar] [CrossRef]
- Nahar, L.; Onder, A.; Sarker, S.D. A review on the recent advances in HPLC, UHPLC and UPLC analyses of naturally occur-ring cannabinoids (2010–2019). Phytochem. Anal. 2020, 31, 413–457. [Google Scholar] [CrossRef]
- Gul, W.; Gul, S.W.; Radwan, M.M.; Wanas, A.S.; Mehmedic, Z.; Khan, I.I.; Sharaf, M.H.; ElSohly, M.A. Determination of 11 cannabinoids in biomass and extracts of different varieties of cannabis using high-performance liquid chromatography. J. AOAC Int. 2015, 98, 1523–1528. [Google Scholar] [CrossRef]
- Mandrioli, M.; Tura, M.; Scotti, S.; Toschi, T.G. Fast detection of 10 cannabinoids by RP-HPLC-UV method in Cannabis sativa L. Molecules 2019, 24, 2113. [Google Scholar] [CrossRef]
- Madej, K.; Kózka, G.; Winiarski, M.; Piekoszewski, W. A Simple, Fast, and Green Oil Sample Preparation Method for Deter-mination of Cannabidioloic Acid and Cannabidiol by HPLC-DAD. Separations 2020, 7, 60. [Google Scholar] [CrossRef]
- Salzet, M.; Stefano, G.B. The endocannabinoid system in invertebrates. Prostaglandins Leukot. Essent. Fatty Acids 2002, 66, 353–361. [Google Scholar] [CrossRef]
- Oltrabella, F.; Melgoza, A.; Nguyen, B.; Guo, S. Role of the endocannabinoid system in vertebrates: Emphasis on the zebrafish model. Dev. Growth Differ. 2017, 59, 194–210. [Google Scholar] [CrossRef]
- Breivogel, C.S.; McPartland, J.M.; Parekh, B. Investigation of non-CB 1, non-CB 2 WIN55212-2-sensitive G-protein-coupled receptors in the brains of mammals, birds, and amphibians. J. Recept. Signal Transduct. Res. 2018, 38, 316–326. [Google Scholar] [CrossRef]
- Chiocchetti, R.; Galiazzo, G.; Tagliavia, C.; Stanzani, A.; Giancola, F.; Menchetti, M.; Militerno, G.; Bernardini, C.; Forni, M.; Mandrioli, L. Cellular distribution of canonical and putative cannabinoid receptors in canine cervical dorsal root ganglia. Front. Vet. Sci. 2019, 6, 313. [Google Scholar] [CrossRef]
- Dall’aglio, C.; Mercati, F.; Pascucci, L.; Boiti, C.; Pedini, V.; Ceccarelli, P. Immunohistochemical localization of CB1 receptor in canine salivary glands. Vet. Res. Commun. 2010, 34 (Suppl. S1), S9–S12. [Google Scholar] [CrossRef]
- Pirone, A.; Lenzi, C.; Coli, A.; Giannessi, E.; Stornelli, M.R.; Miragliotta, V. Preferential epithelial expression of type-1 canna-binoid receptor (CB1R) in the developing canine embryo. SpringerPlus 2015, 4, 804. [Google Scholar] [CrossRef]
- Galiazzo, G.; Giancola, F.; Stanzani, A.; Fracassi, F.; Bernardini, C.; Forni, M.; Pietra, M.; Chiocchetti, R. Localization of cannabinoid receptors CB1, CB2, GPR55, and PPARa in the canine gastrointestinal tract. Histochem. Cell Biol. 2018, 150, 187–205. [Google Scholar] [CrossRef]
- Gebremedhin, D.; Lange, A.R.; Campbell, W.B.; Hillard, C.J.; Harder, D.R. Cannabinoid CB1 receptor of cat cerebral arterial muscle functions to inhibit L-type Ca2+ channel current. Am. J. Physiol. 1999, 276, H2085–H2093. [Google Scholar] [CrossRef]
- Miragliotta, V.; Ricci, P.L.; Albanese, F.; Pirone, A.; Tognotti, D.; Abramo, F. Cannabinoid receptor types 1 and 2 and peroxi-some proliferatoractivated receptor-a: Distribution in the skin of clinically healthy cats and cats with hypersensitivity derma-titis. Vet. Dermatol. 2018, 29, 316-e111. [Google Scholar] [CrossRef]
- Pirone, A.; Lenzi, C.; Briganti, A.; Abbate, F.; Levanti, M.; Abramo, F.; Miragliotta, V. Spatial distribution of cannabinoid receptor 1 and fatty acid amide hydrolase in the cat ovary and oviduct. Acta Histochem. 2017, 119, 417–422. [Google Scholar] [CrossRef]
- Corroon, J.; Felice, J.F. The endocannabinoid system and its modulation by cannabidiol (CBD). Altern. Ther. Health Med. 2019, 25, 6–14. [Google Scholar]
- Kumar, A.; Premoli, M.; Aria, F.; Bonini, S.A.; Maccarinelli, G.; Gianoncelli, A.; Memo, M.; Mastinu, A. Cannabimimetic plants: Are they new cannabinoidergic modulators? Planta 2019, 249, 1681–1694. [Google Scholar] [CrossRef]
- Andre, C.M.; Hausman, J.F.; Guerriero, G. Cannabis sativa: The plant of the thousand and one molecules. Front. Plant Sci. 2016, 7, 19. [Google Scholar] [CrossRef]
- Mastinu, A.; Premoli, M.; Ferrari-Toninelli, G.; Tambaro, S.; Maccarinelli, G.; Memo, M.; Bonini, S.A. Cannabinoids in health and disease: Pharmacological potential in metabolic syndrome and neuroinflammation. Horm. Mol. Biol. Clin. Investig. 2018, 36, 13. [Google Scholar] [CrossRef]
- Han, K.H.; Lim, S.; Ryu, J.; Lee, C.W.; Kim, Y.; Kang, J.H.; Kang, S.S.; Ahn, Y.K.; Park, C.S.; Kim, J.J. CB1 and CB2 cannabinoid receptors differentially regulate the production of reactive oxygen species by macrophages. Cardiovasc. Res. 2009, 84, 378–386. [Google Scholar] [CrossRef]
- Massi, P.; Vaccani, A.; Ceruti, S.; Colombo, A.; Abbracchio, M.P.; Parolaro, D. Antitumor effects of cannabidiol, a nonpsycho-active cannabinoid, on human glioma cell lines. J. Pharmacol. Exp. Ther. 2004, 308, 838–845. [Google Scholar] [CrossRef]
- Sánchez, C.; de Ceballos, M.L.; Del Pulgar, T.G.; Rueda, D.; Corbacho, C.; Velasco, G.; Galve-Roperh, I.; Human, J.W.; Cajal, S.R.Y.; Guzmán, M. Inhibition of glioma growth in vivo by selective activation of the CB (2) cannabinoid receptor. Cancer Res. 2001, 61, 5784–5789. [Google Scholar]
- Freeman, A.M.; Petrilli, K.; Lees, R.; Hindocha, C.; Mokrysz, C.; Curran, H.V.; Saunders, R.; Freeman, T.P. How does canna-bidiol (CBD) influence the acute effects of delta-9-tetrahydrocannabinol (THC) in humans? A systematic review. Neurosci. Bi-obehav. Rev. 2019, 7, 696–712. [Google Scholar] [CrossRef]
- Mlost, J.; Bryk, M.; Starowicz, K. Cannabidiol for Pain Treatment: Focus on Pharmacology and Mechanism of Action. Int. J. Mol. Sci. 2020, 21, 8870. [Google Scholar] [CrossRef]
- Tham, M.; Yilmaz, O.; Alaverdashvili, M.; Kelly, M.E.M.; Denovan-Wright, E.M.; Laprairie, R.B. Allosteric and orthosteric pharmacology of cannabidiol and cannabidiol- dimethylheptyl at the type 1 and type 2 cannabinoid receptors. Br. J. Pharma-col. 2019, 176, 1455–1469. [Google Scholar] [CrossRef]
- Gallelli, C.A.; Calcagnini, S.; Romano, A.; Koczwara, J.B.; De Ceglia, M.; Dante, D.; Villani, R.; Giudetti, A.M.; Cassano, T.; Gaetani, S. Modulation of the Oxidative Stress and Lipid Peroxidation by Endocannabinoids and Their Lipid Analogues. An-tioxidants 2018, 7, 93. [Google Scholar] [CrossRef] [PubMed]
- O’Sullivan, S.E. An update on PPAR activation by cannabinoids. Br. J. Pharmacol. 2016, 173, 1899–1910.64. [Google Scholar] [CrossRef] [PubMed]
- Bujak, J.K.; Kosmala, D.; Szopa, I.M.; Majchrzak, K.; Bednarczyk, P. Inflammation, Cancer and Immunity—Implication of TRPV1 Channel. Front. Oncol. 2019, 9, 1087. [Google Scholar] [CrossRef] [PubMed]
- Hartsel, J.A.; Boyar, K.; Pham, A.; Silver, R.J.; Makriyannis, A. Cannabis in veterinary medicine: Cannabinoid therapies for animals. In Nutraceuticals in Veterinary Medicine; Gupta, R., Srivastava, A., Lall, R., Eds.; Springer Nature: Cham, Switzerland, 2019; pp. 121–155. [Google Scholar] [CrossRef]
- Kogan, L.; Schoenfeld-Tacher, R.; Hellyer, P.; Rishniw, M. US veterinarians’ knowledge, experience, and perception regarding the use of Cannabidiol for canine medical conditions. Front. Vet. Sci. 2019, 5, 338. [Google Scholar] [CrossRef]
- Taylor, L.; Gidal, B.; Blakey, G.; Tayo, B.; Morrison, G. A Phase I, Randomized, Double-Blind, Placebo-Controlled, Single As-cending Dose, Multiple Dose, and Food Effect Trial of the Safety, Tolerability and Pharmacokinetics of Highly Purified Can-nabidiol in Healthy Subjects. CNS Drugs 2018, 32, 1053–1067. [Google Scholar] [CrossRef]
- Devinsky, O.; Patel, A.D.; Thiele, E.A.; Wong, M.H.; Appleton, R.; Harden, C.L.; Greenwood, S.; Morrison, G.; Sommerville, K. Randomized, dose-ranging safety trial of cannabidiol in Dravet syndrome. Neurology 2018, 90, e1204–e1211. [Google Scholar] [CrossRef]
- Manini, A.F.; Yiannoulos, G.; Bergamaschi, M.M.; Hernandez, S.; Olmedo, R.; Barnes, A.J.; Winkel, G.; Sinha, R.; Jutras-Aswad, D.; Huestis, M.A.; et al. Safety and pharmacokinetics of oral Cannabidiol when administered concomitantly with intravenous Fentanyl in humans. J. Addict. Med. 2015, 9, 204. [Google Scholar] [CrossRef]
- Gamble, L.J.; Boesch, J.M.; Frye, C.W.; Schwark, W.S.; Mann, S.; Wolfe, L.; Brown, H.; Berthelsen, E.S.; Wakshlag, J.J. Pharmacokinetics, safety, and clinical efficacy of cannabidiol treatment in osteoarthritic dogs. Front. Vet. Sci. 2018, 5, 165. [Google Scholar] [CrossRef]
- Kogan, L.; Hellyer, P.; Downing, R. The Use of Cannabidiol-Rich Hemp Oil Extract to Treat Canine Osteoarthritis-Related Pain: A Pilot Study. Available online: https://www.researchgate.net/publication/339698157_The_Use_of_Cannabidiol-Rich_Hemp_Oil_Extract_to_Treat_Canine_Osteoarthritis_Related_Pain_A_Pilot_Study (accessed on 11 February 2022).
- Verrico, C.D.; Wesson, S.; Konduri, V.; Hofferek, C.J.; Vazquez-Perez, J.; Blair, E.; Dunner, K.; Salimpour, P.; Decker, W.K.; Halpert, M.M. A Randomized, Double-Blind, Placebo-Controlled Study of Daily Cannabidiol for the Treatment of Canine Osteoarthritis Pain. Pain 2020, 61, 2191–2202. [Google Scholar] [CrossRef]
- Hammell, D.C.; Zhang, L.P.; Ma, F.; Abshire, S.M.; McIlwrath, S.L.; Stinchcomb, A.L.; Westlund, K.N. Transdermal cannabidi-ol reduces inflammation and pain-related behaviours in a rat model of arthritis. Eur. J. Pain 2016, 20, 936–948. [Google Scholar] [CrossRef]
- De Gregorio, D.; McLaughlin, R.J.; Posa, L.; Ochoa-Sanchez, R.; Enns, J.; Lopez-Canul, M.; Aboud, M.; Maione, S.; Comai, S.; Gobbi, G. Cannabidiol modulates serotonergic transmission and reverses both allodynia and anxiety-like behavior in a mod-el of neuropathic pain. Pain 2019, 160, 136–150. [Google Scholar] [CrossRef]
- Maione, S.; Piscitelli, F.; Gatta, L.; Vita, D.; De Petrocellis, L.; Palazzo, E.; De Novellis, V.; Di Marzo, V. Non-psychoactive can-nabinoids modulate the descending pathway of antinociception in anaesthetized rats through several mechanisms of action. Br. J. Pharmacol. 2011, 162, 584–596. [Google Scholar] [CrossRef]
- Abraham, A.D.; Leung, E.J.Y.; Wong, B.A.; Rivera, Z.M.G.; Kruse, L.C.; Clark, J.J.; Land, B.B. Orally consumed cannabinoids provide long-lasting relief of allodynia in a mouse model of chronic neuropathic pain. Neuropsychopharmacology 2020, 45, 1105–1114. [Google Scholar] [CrossRef]
- Lehmann, C.; Fisher, N.B.; Tugwell, B.; Szczesniak, A.; Kelly, M.; Zhou, J. Experimental cannabidiol treatment reduces early pancreatic inflammation in type 1 diabetes. Clin. Hemorheol. Microcirc. 2016, 64, 655–662. [Google Scholar] [CrossRef]
- Li, H.; Kong, W.; Chambers, C.R.; Yu, D.; Ganea, D.; Tuma, R.F.; Ward, S.J. The non-psychoactive phytocannabinoid canna-bidiol (CBD) attenuates pro-inflammatory mediators, T cell infiltration, and thermal sensitivity following spinal cord injury in mice. Cell. Immunol. 2018, 329, 16. [Google Scholar] [CrossRef]
- Xu, D.H.; Cullen, B.D.; Tang, M.; Fang, Y. The Effectiveness of Topical Cannabidiol Oil in Symptomatic Relief of Peripheral Neuropathy of the Lower Extremities. Curr. Pharm. Biotechnol. 2019, 21, 390–402. [Google Scholar] [CrossRef]
- Szaflarski, J.P.; Bebin, E.M.; Cutter, G.; DeWolfe, J.; Dure, L.S.; Gaston, T.E.; Kankirawatana, P.; Liu, Y.; Singh, R.; Standaert, D.G.; et al. Cannabidiol improves frequency and severity of seizures and reduces adverse events in an open-label add-on prospective study. Epilepsy Behav. 2018, 87, 131–136. [Google Scholar] [CrossRef]
- Laux, L.C.; Bebin, E.M.; Checketts, D.; Chez, M.; Flamini, R.; Marsh, E.D.; Miller, I.; Nichol, K.; Park, Y.; Segal, E.; et al. Long-term safety and efficacy of cannabidiol in children and adults with treatmentresistant Lennox-Gastaut syndrome or Dravet syndrome: Expanded access program results. Epilepsy Res. 2019, 154, 13–20. [Google Scholar] [CrossRef]
- Devinsky, O.; Cross, J.H.; Laux, L.; Marsh, E.; Miller, I.; Nabbout, R.; Scheffer, I.E.; Thiele, E.A.; Wright, S. Trial of cannabidiol for drug-resistant seizures in the dravet syndrome. N. Engl. J. Med. 2017, 376, 2011–2020. [Google Scholar] [CrossRef]
- Choy, E. Understanding the dynamics: Pathways involved in the pathogenesis of rheumatoid arthritis. Rheumatology 2012, 51 (Suppl. S5), v3–v11. [Google Scholar] [CrossRef]
- Julian, R.J. Rapid Growth Problems: Ascites and Skeletal Deformities in Broilers. Poult. Sci. 1998, 77, 1773–1780. [Google Scholar] [CrossRef] [PubMed]
- Sandilands, V. The laying hen and bone fractures. Vet. Rec. 2011, 169, 411–412. [Google Scholar] [CrossRef] [PubMed]
- Gakhar, N.; Goldberg, E.; Jing, M.; Gibson, R.; House, J.D. Effect of feeding hemp seed and hemp seed oil on laying hen per-formance and egg yolk fatty acid content: Evidence of their safety and efficacy for laying hen diets. Poult. Sci. 2012, 91, 701–711. [Google Scholar] [CrossRef] [PubMed]
- Neijat, M.; Gakhar, N.; Neufeld, J.; House, J.D. Performance, egg quality, and blood plasma chemistry of laying hens fed hempseed and hempseed oil. Poult. Sci. 2014, 93, 2827–2840. [Google Scholar] [CrossRef] [PubMed]
- Skřivan, M.; Englmaierova, M.; Taubner, T.; Skřivanova, E. Effects of Dietary Hemp Seed and Flaxseed on Growth Perfor-mance, Meat Fatty Acid Compositions, Liver Tocopherol Concentration and Bone Strength of Cockerels. Animals 2020, 10, 458. [Google Scholar] [CrossRef] [PubMed]
- Vispute, M.M.; Sharma, D.; Mandal, A.B.; Rokade, J.J.; Tyagi, P.K.; Yadav, A.S. Effect of dietary supplementation of hemp (Cannabis sativa) and dill seed (Anethum graveolens) on performance, serum biochemicals and gut health of broiler chickens. J. Anim. Physiol. Anim. Nutr. 2019, 103, 525–533. [Google Scholar] [CrossRef]
- Lekanich, C.O.; Noble, R.C. Manipulation of the n-3 polyunsaturated fatty acid composition of avian eggs and meat. Worlds. Poult. Sci. J. 1997, 53, 155–183. [Google Scholar] [CrossRef]
- Hermier, D. Lipoprotein Metabolism and Fattening in Poultry. J. Nutr. 1997, 127, 805S–808S. [Google Scholar] [CrossRef]
- Bensadoun, A.; Rothfeld, A. The Form of Absorption of Lipids in the Chicken, Gallus domesticus. Proc. Soc. Exp. Biol. Med. 1972, 141, 814–817. [Google Scholar] [CrossRef]
- Jiang, S.; Cui, L.; Shi, C.; Ke, X.; Luo, J.; Hou, J. Effects of dietary energy and calcium levels on performance, egg shell quality and bone metabolism in hens. Vet. J. 2013, 198, 252–258. [Google Scholar] [CrossRef]
- Fernandez, A.; Verde, M.T.; Gascon, M.; Ramos, J.; Gomez, J.; Luco, D.F.; Chavez, D. Variations of clinical biochemical param-eters of laying hens and broiler chickens fed aflatoxin-containing feed. Avian Pathol. 1994, 23, 37–47. [Google Scholar] [CrossRef]
- Diaz, G.J.; Squires, E.J.; Julian, R.J. The Use of Selected Plasma Enzyme Activities for the Diagnosis of Fatty LiverHemorrhag-ic Syndrome in Laying Hens. Avian Dis. 1999, 43, 768–773. [Google Scholar] [CrossRef]
- McGrath, S.; Bartner, L.R.; Rao, S.; Pacher, R.A.; Gustafson, D.L. Randomized blinded controlled clinical trial to assess the ef-fect of oral cannabidiol administration in addition to conventional antiepileptic treatment on seizure frequency in dogs with intractable idiopathic epilepsy. J. Am. Vet. Med. Assoc. 2019, 254, 1301–1308. [Google Scholar] [CrossRef]
- Deabold, K.A.; Schwark, W.S.; Wolf, L.; Wakshlag, J.J. Single-Dose Pharmacokinetics and preliminary safety assessment with use of CBD rich Hemp nutraceutical in healthy dogs and cats. Animals 2019, 9, 832. [Google Scholar] [CrossRef]
- Ewing, L.E.; Skinner, C.M.; Quick, C.M.; Kennon-McGill, S.; McGill, M.R.; Walker, L.A.; ElSohly, M.A.; Gurley, B.J.; Kotur-bash, I. Hepatotoxicity of a Cannabidiol-Rich Cannabis Extract in the Mouse Model. Molecules 2019, 24, 1694. [Google Scholar] [CrossRef]
- Samara, E.; Brown, N.K.; Harvey, D.J. Microsomal metabolism of the 1”,1”-dimethylheptyl analogue of cannabidiol: Relative percentage of monohydroxy metabolites in four species. Drug Metab. Dispos. 1990, 18, 548–549. [Google Scholar]
- Bornheim, L.M.; Everhart, E.T.; Li, J.; Almira Correia, M. Induction and genetic regulation of mouse hepatic cytochrome P450 by cannabidiol. Biochem. Pharmacol. 1994, 48, 161–171. [Google Scholar] [CrossRef]
- Grotenhermen, F.; Muller-Vahl, K. Cannabis und Cannabinoide in der Medizin: Fakten und Ausblick. Suchttherapie 2016, 17, 71–76. [Google Scholar] [CrossRef]
- Castillo, A.; Tolón, M.R.; Fernández-Ruiz, J.; Romero, J.; Martinez-Orgado, J. The neuroprotective effect of cannabidiol in an in vitro model of newborn hypoxic-ischemic brain damage in mice is mediated by CB(2) and adenosine receptors. Neurobiol. Dis. 2010, 37, 434–440. [Google Scholar] [CrossRef]
- Mori, M.A.; Meyer, E.; Soares, L.M.; Milani, H.; Guimarães, F.S.; de Oliveira, R.M.W. Cannabidiol reduces neuroinflammation and promotes neuroplasticity and functional recovery after brain ischemia. Prog. Neuropsychopharmacol. Biol. Psychiatry 2017, 75, 94–105. [Google Scholar] [CrossRef]
- Bitencourt, R.M.; Takahashi, R.N. Cannabidiol as a therapeutic alternative for post-traumatic stress disorder: From bench research to confirmation in human trials. Front. Neurosci. 2018, 12, 502. [Google Scholar] [CrossRef]
- Shbiro, L.; Hen-Shoval, D.; Hazut, N.; Rapps, K.; Dar, S.; Zalsman, G.; Mechoulam, R.; Weller, A.; Shoval, G. Effects of canna-bidiol in males and females in two different rat models of depression. Physiol. Behav. 2019, 201, 59–63. [Google Scholar] [CrossRef]
- Salim, S. Oxidative Stress and the Central Nervous System. J. Pharmacol. Exp. Ther. 2017, 360, 201–205. [Google Scholar] [CrossRef]
- Peres, F.F.; Lima, A.C.; Hallak, J.E.C.; Crippa, J.A.; Silva, R.H.; Abílio, V.C. Cannabidiol as a Promising Strategy to Treat and Prevent Movement Disorders? Front. Pharmacol. 2018, 9, 482. [Google Scholar] [CrossRef]
- Costa, B.; Trovato, A.E.; Comelli, F.; Giagnoni, G.; Colleoni, M. The non-psychoactive cannabis constituent cannabidiol is an orally effective therapeutic agent in rat chronic inflammatory and neuropathic pain. Eur. J. Pharmacol. 2007, 556, 75–83. [Google Scholar] [CrossRef]
- Juknat, A.; Pietr, M.; Kozela, E.; Rimmerman, N.; Levy, R.; Gao, F.; Coppola, G.; Geschwind, D.; Vogel, Z. Microarray and pathway analysis reveal distinct mechanisms underlying cannabinoid-mediated modulation of LPS-induced activation of BV-2 microglial cells. PLoS ONE 2013, 8, e61462. [Google Scholar] [CrossRef]
- Vomund, S.; Schäfer, A.; Parnham, M.J.; Brüne, B.; von Knethen, A. Nrf2, the Master Regulator of Anti-Oxidative Responses. Int. J. Mol. Sci. 2017, 18, 12. [Google Scholar] [CrossRef]
- Borges, R.S.; Batista, J., Jr.; Viana, R.B.; Baetas, A.C.; Orestes, E.; Andrade, M.A.; Honório, K.M.; Da Silva, A.B. Understanding the Molecular Aspects of Tetrahydrocannabinol and Cannabidiol as Antioxidants. Molecules 2013, 18, 12663–12674. [Google Scholar] [CrossRef]
- Wu, H.Y.; Goble, K.; Mecha, M.; Wang, C.C.; Huang, C.H.; Guaza, C.; Jan, T.R. Cannabidiol-induced apoptosis in murine mi-croglial cells through lipid raft. GLIA 2012, 60, 1182–1190. [Google Scholar] [CrossRef]
- Gęgotek, A.; Ambrożewicz, E.; Jastrząb, A.; Jarocka-Karpowicz, I.; Skrzydlewska, E. Rutin and ascorbic acid cooperation in antioxidant and antiapoptotic effect on human skin keratinocytes and fibroblasts exposed to UVA and UVB radiation. Arch. Dermatol. Res. 2019, 311, 203–219. [Google Scholar] [CrossRef]
- Gaschler, M.M.; Stockwell, B.R. Lipid peroxidation in cell death. Biochem. Biophys. Res. Commun. 2017, 482, 419–425. [Google Scholar] [CrossRef] [PubMed]
- Ayala, A.; Muñoz, M.F.; Argüelles, S. Lipid peroxidation: Production, metabolism, and signaling mechanisms of malondial-dehyde and 4-hydroxy-2-nonenal. Oxid. Med. Cell. Longev. 2014, 2014, 360438. [Google Scholar] [CrossRef] [PubMed]
- Sun, S.; Hu, F.; Wu, J.; Zhanga, S. Cannabidiol attenuates OGD/R-induced damage by enhancing mitochondrial bioenergetics and modulating glucose metabolism via pentose-phosphate pathway in hippocampal neurons. Redox Biol. 2017, 11, 577–585. [Google Scholar] [CrossRef]
- Bih, C.I.; Chen, T.; Nunn, A.V.W.; Bazelot, M.; Dallas, M.; Whalley, B.J. Molecular Targets of Cannabidiol in Neurological Dis-orders. Neurotherapeutics 2015, 12, 699–730. [Google Scholar] [CrossRef]
- Wang, Y.; Mukhopadhyay, P.; Cao, Z.; Wang, H.; Feng, D.; Haskó, G.; Mechoulam, R.; Gao, B.; Pacher, P. Cannabidiol attenu-ates alcohol-induced liver steatosis, metabolic dysregulation, inflammation and neutrophil-mediated injury. Sci. Rep. 2017, 7, 12064. [Google Scholar] [CrossRef] [PubMed]
- Jing, M.; Zhao, S.; House, J.D. Performance and tissue fatty acid profile of broiler chickens and laying hens fed hemp oil and HempOmegaTM. Poult. Sci. 2017, 96, 1809–1819. [Google Scholar] [CrossRef] [PubMed]
- Kasula, R.; Solis, F.; Shaffer, B.; Connett, F.; Barrett, C.; Cocker, R.; Willinghan, E. Effect of dietary hemp seed cake on the per-formance of commercial laying hens. Int. J. Livest. Prod. 2021, 12, 17–27. [Google Scholar] [CrossRef]
- Kasula, R.; Solis, F.; Shaffer, B.; Connett, F.; Barrett, C.; Cocker, R.; Willinghan, E. Hemp seed cake increases fatty acids but does not transfer cannabinoids in eggs and tissues of laying hens. Int. J. Livest. Prod. 2021, 12, 98–111. [Google Scholar] [CrossRef]
- Skřivan, M.; Englmaierova´, M.; Vı´t, T.; Skřivanova, E. Hempseed increases gamma-tocopherol in egg yolks and the breaking strength of tibias in laying hens. PLoS ONE 2019, 14, e0217509. [Google Scholar] [CrossRef]
- Konieczka, P.; Szkopek, D.; Kinsner, M.; Fotschki, B.; Juśkiewicz, J.; Banach, J. Cannabis-derived cannabidiol and nanoseleni-um improve gut barrier function and affect bacterial enzyme activity in chickens subjected to C. perfringens challenge. Vet. Res. 2020, 51, 141. [Google Scholar] [CrossRef]
- Mahmoudi, M.; Farhoomand, P.; Nourmohammadi, R. Effects of different levels of hempseed (Cannabis sativa L.) and dextran oligosaccharide on growth performance and antibody titer response of broiler chickens. Ital. J. Anim. Sci. 2015, 14, 3473. [Google Scholar] [CrossRef]
- Yalcin, H.; Konca, Y.; Durmuscelebi, F. Effect of dietary supplementation of hemp seed (Cannabis sativa L.) on meat quality and egg fatty acid composition of Japanese quail (Coturnix coturnix japonica). J. Anim. Physiol. Anim. Nutr. 2018, 102, 131–141. [Google Scholar] [CrossRef]
- Karlsson, L.; Finell, M.; Martinsson, K. Effects of increasing amounts of hempseed cakes in the diet of dairy cows on the pro-duction and composition of milk. Animal 2010, 4, 1854–1860. [Google Scholar] [CrossRef]
- Gibb, D.J.; Shah, M.A.; Mir, P.S.; McAllister, T.A. Effect of full-fat hemp seed on performance and tissue fatty acids of feedlot cattle. Can. J. Anim. Sci. 2005, 85, 223–230. [Google Scholar] [CrossRef]
- Kleinhenz, M.D.; Weeder, M.; Montgomery, S.; Martin, M.; Curtis, A.; Magnin, G.; Lin, Z.; Griffin, J.; Coetzee, J.F. Short term feeding of industrial hemp with a high cannabidiolic acid (CBDA) content increases lying behavior and reduces biomarkers of stress and inflammation in Holstein steers. Sci. Rep. 2022, 12, 3683. [Google Scholar] [CrossRef]
- Kleinhenz, M.D.; Magnin, G.; Lin, Z.; Griffin, J.; Kleinhenz, K.E.; Montgomery, S.; Curtis, A.; Martin, M.; Coetzee, J.F. Plasma concentrations of eleven cannabinoids in cattle following oral administration of industrial hemp (Cannabis sativa). Sci. Rep. 2020, 10, 12753. [Google Scholar] [CrossRef]
- Cozma, A.; Andrei, S.; Pintea, A.; Miere, D.; Filip, L.; Loghin, F.; Ferlay, A. Effect of hemp seed oil supplementation on plasma lipid profile, liver function, milk fatty acid, cholesterol, and vitamin A concentrations in Carpathian goats. Czech J. Anim. Sci. 2015, 60, 289–301. [Google Scholar] [CrossRef]
- Palade, L.M.; Habeanu, M.; Marin, D.M.; Sanda Chedea, V.; Cecilia Pistol, G.; Alexandru Grosu, I.; Gheorghe, A.; Ropota, M.; Taranu, I. Effect of Dietary Hemp Seed on Oxidative Status in Sows during Late Gestation and Lactation and Their Offspring. Animals 2019, 9, 194. [Google Scholar] [CrossRef]



| Species | Varieties | |
|---|---|---|
| Domesticated | Wild | |
| Cannabis sativa | sativa | spontanea |
| Cannabis indica | indica | kafiristanica |
| Main units | Description | Functions | Compounds |
|---|---|---|---|
| Endocannabinoids | Lipid compounds metabolized in multiple enzymatic pathways | Binds to the receptors, recovers homeostasis after cellular stress, interacts with the human endocannabinoid system [75,76] | Neurotransmitters: anandamide-N-arachidonylethanolamine (AEA) and 2-arachidonylglycerol (2-AG) |
| Cannabinoid receptors | Able to stimulate receptors, produces physiological responses | G protein-coupled receptors (GPCRs), also known as 7-transmembrane receptors (7-TM receptors) and their endogenous ligands [3] | |
| CB1 receptors | Found in the central nervous system, e.g., brain and spinal cord, some cells in the immune system, muscles, liver, kidney, lungs, reproductive system, and adipose tissues | Mediates the release of neurotransmitters: acetylcholine, noradrenaline, dopamine, gamma-aminobutyric acid (GABA), and glutamate Increases reactive oxygen species (ROS) production and pro-inflammatory responses such as tumor necrosis factor-alpha synthesis (TNF-α) [77] | |
| CB2 receptors | Active receptors in the peripheral nervous system, e.g., immune system, liver, kidney, adipose tissues, and spleen | Releases cytokines, adjusts immune cell migration [78,79,80] without psychoactive functions [53], decreases ROS, (TNF-α) levels, oxidative stress, and inflammation [77] | |
| Enzymes | Involved in synthesis and catabolism [81] | Fatty acid amide hydrolase (FAAH), monoacylglycerol lipase |
| Species | Type of Pain or Disorder | CBD Amount and Duration | Results | Reference |
|---|---|---|---|---|
| Dogs (16) | OA a pain and lameness | CBD oil b 2 mg/kg every 12 h, 4 weeks | Significant reduction in pain, no significant difference in lameness degree | [91] |
| Dogs (37) | Chronic maladaptive pain | CBD oil c 0.25 mg/kg once a day for 3 days, then every 12 hrs | Significant reduction in pain, increase in mobility and quality of life | [92] |
| Dogs (20) | OA pain | 20 mg/day (0.5 mg/kg) naked CBD d, 50 mg/day (1.2 mg/kg) naked CBD, 20 mg/day liposomal CBD e | Significant reduction in pain, increase in mobility | [93] |
| Rats | RA f pain | CBD gels g (0.6, 3.1, 6.2 or 62.3 mg/day) for 4 days after arthritis | Significant decrease in joint swelling, inflammation biomarkers, pain scores, and synovial membrane thickness | [94] |
| Rats | Spared nerve injury | Repeated CBD injections h (0.1–1.0 mg/kg) | Declined mechanical allodynia, anxiety-like behavior | [95] |
| Rats | Exposed to pain (paw pressure and tail-flick test) | Intra-ventrolateral periaqueductul grey (PAG) microinjections of CBD (1.5, 3 and 6 nmol) | Reduction in activity of ON and OFF neurons, anti-nociceptive responses in the tail-flick test | [96] |
| Mice | Sciatic nerve injury (neuropathic pain i) | CBD-containing gelatine j, orally ad libitum | Significant reduction in pain after 3 weeks of surgery | [97] |
| Mice | Type 1 diabetes | 5 mg/kg CBD k, 5 times weekly for 10 weeks | Significant reduction in leukocyte activation, increase in pancreatic microcirculation | [98] |
| Mice | Spinal cord injury | Intraperitoneal injections of CBD l 1.5 mg/kg, for 10 weeks following injury | Reduction in pro-inflammatory cytokine, prevented thermal sensitivity development | [99] |
| Human | Peripheral neuropathic pain | Transdermal CBD (250 mg CBD/3 fl. Oz) | Significant reduction in severe pain, cold and itchy sensations | [100] |
| Human (72 children, 60 adults) | Treatment-resistant epilepsy | 5 mg/kg/day CBD m, titrated up to 50 mg/kg/day | Reduction in seizure frequency and severity | [101] |
| Human | Dravet syndrome n | 100 mg/mL CBD o, oral solution at 2–10 mg/kg/day, titrated up to 25–50 mg/kg/day. Evaluating seizures at 12-week intervals through 96 weeks CBD p 20 mg/kg of body weight per day + standard antiepileptic treatment | Decrease in motor seizures and improved patients conditions | [102,103] |
| Species | Experiment Duration | Hemp Type and Amount | Results | Reference |
|---|---|---|---|---|
| 19-week-old Bovan White | 12 weeks | HS a: 10, 20% HSO b: 4, 8, 12% | Significant decrease in the expression of hepatic fatty acid desaturase 1 and 2 (genes for the desaturation of polyunsaturated fatty acids) | [107] |
| 19-week-old Lohmann LSL- Classic White | 12 weeks | HS: 10, 20, 30% HSO: 4.5, 9.0% | No significant effects on proteins, glucose, uric acid, and cholesterol plasma levels HS 10, 20% and HSO 4.5%: The significant lowest level of the gamma-glutamyl transferase, reduction in liver damage HS: Significant decrease in AST c levels, possible protective effect of HS (10, 20%) and HSO (4.5%) on liver damage | [108] |
| 1-day-old male Ross 308 | 35 days | EF d: 6% HS: 3, 4, 5% HS + EF: (3% and 6%, 4% and 6%, 5% and 6%) | HS + EF (5 and 6%): Positive increase in the vitamin E level in the liver | [109] |
| 1-day-old Caribro-Vishal | 42 days | HS: 0.2% HS + DS: e (0.2% and 0.3) HS: 0.3% HS + DS: (0.3% and 0.3) BMD f: 0.025% | Significant reduction in triglyceride, LDL g and total cholesterol levels, significant decrease in AST and ALT h, improvement in serum lipid and liver enzyme levels | [110] |
| Species | Health Status | CBD Amount and Duration | Results | Reference |
|---|---|---|---|---|
| Dogs | OA pain and lameness | CBD oil: 2, 8 mg/kg every 12 h 4 weeks | A significant increase in serum ALP a No observable side effects | [91] |
| Dogs | Idiopathic epilepsy | CBD-infused oil: 2.5 mg/kg twice daily 12 weeks | A significant increase in serum ALP | [117] |
| Dogs and cats | Healthy | CBD chews: 2 mg/kg orally twice daily 12 weeks | No significant changes in serum chemistry Safe in dogs Adverse effects of excessive licking and head shaking for cats | [118] |
| 8-week-old mice | Healthy | CBD extract: (acute toxicity, 24 h) 246, 738, or 2460 mg/kg (sub-acute toxicity, daily doses) 61.5, 184.5, or 615 mg/kg for 10 days | 2460 mg/kg: A significant increase in LBW b, plasma ALT c, AST d, and total bilirubin, evidence of hepatotoxicity 615 mg/kg: A moderate increase in LBW, ALT, AST, and total bilirubin | [119] |
| Laying Hens | Experiment Duration | Hemp Type and Amount | Results | Reference |
|---|---|---|---|---|
| 19-week-old Lohmann white | 6 weeks | HO a or HΩ b: 4 or 8% | Significant increase in total n-3 PUFAs c and a significant reduction in MUFAs d (both in egg yolks) in all groups No effect on performance and egg yolk n-6 PUFAs | [140] |
| 19-week-old Bovan white | 12 weeks | HO: 4, 8, 12% HS e: 10, 20% | 20% HS: Significantly increased egg weight Significant increase in the total egg yolk n-3 fatty acid content No effect on average hen-day egg production | [107] |
| 30-week-old Bovan white | 19 weeks | HSC f: 10, 20, 30% | Significant reduction in body weight in all treatments No effect on performance | [141] |
| 30-week-old Bovan white | 3-week acclimation phase + 16 weeks | HSC: 10, 20, 30% | Significant increase in egg PUFAs No detectable cannabinoid residue level in eggs, blood, breast meat, body fat, liver, kidneys and spleen | [142] |
| Lohmann Brown | 12 weeks | HS: 3, 6, 9% | 3% HS: Significantly increased egg production and mass 9% HS: Significantly decreased egg shell thickness Positive effect on tibia Ca g concentration Significant decrease in egg yolk cholesterol Significant increase in breaking strength of tibia in all groups | [143] |
| Broilers | Experiment Duration | Hemp Type and Amount | Results | Reference |
|---|---|---|---|---|
| 1-day-old male Ross 308 | From days 9 to 35 (challenge with Clostridium perfringens) | HE a: 15 g/kg (12% CBD) | Upregulation in gene expression involved in gut barrier function Increase in the activity of gut bacterial enzyme | [144] |
| 150-day-old mixed-sex Ross 308 | 21 days | HO or HΩ: 3 or 6% | Significant increase in total n-3 PUFAs in thighs and breasts Significant reduction in MUFAs in thighs No effect on performance and meat n-6 PUFAs | [140] |
| 1-day-old male Ross 308 | 35 days | EF b: 6% HS: 3, 4, 5% HS + EF: (3% and 6%, 4% and 6%, 5% and 6%) | HS + EF (4% and 6%): Significantly increased body weight, decreased n-6/n-3 fatty acid ratio in breast meat HS, HS + EF (40 and 60 g/kg), HS + EF (50 and 60 g/kg): Positive effect on bone strength | [109] |
| 1-day-old male Ross 308 | 6 weeks | HS: 2.5, 5, 7.5% DOS c: 0.1% | HS 2.5%: Significant reduction in average daily feed intake and ADG d HS and DOS: No significant effect on complete blood count, antibody production and relative weight of bursa and spleen | [145] |
| 1-day-old Caribro-Vishal | 42 days | HS: 0.2%, HS + DS e: (0.2% and 0.3) HS: 0.3% HS + DS: (0.3% and 0.3) BMD f:0.025% | Significant reduction in Coliform count in caecum and jejunum No effect on performance, jejunal villus height and crypt depth | [110] |
| Other Species | Experiment Duration | Hemp Type and Amount | Results | Reference |
|---|---|---|---|---|
| 7-day-old Japanese quails | 5 weeks | HS: 5%, 10%, 20% | 20% HS: Significant decrease in breast meat cooking loss Significant reduction in palmitoleic and oleic FAs in breast meat Significant increase in meat linoleic and linolenic acid | [146] |
| 8-week-old laying quails | 6 weeks | HS: 5%, 10%, 20% | Significant linear increase in egg linoleic and linolenic FAs Significant decrease in egg palmitoleic and oleic FAs | [146] |
| Swedish red dairy cows | 5 weeks, 1 week (pre-experimental period) | HSC: 14.3, 23.3, 31.8% (dry matter) | 14.3% HSC: Higher milk yield 23.3 or 31.8% HSC: No benefits in milk performance | [147] |
| Steers | 166 days | Full-fat HS: 9 or 14% | Significant increase in CLA a level, also trans and saturated fats in tissues No effect on DMI b, ADG, carcass traits | [148] |
| Male Holstein cattle | 14 days | IH c: 25 g mixed in 200 g of grain (target daily dose of 5.5 mg/kg CBDA d) | Significant increase in lying behavior Significant decrease in cortisol level and PGE2 e | [149] |
| Male Holstein calves | Single oral dose, 4 days | IH: 35 g (target dose of 5.4 mg/kg CBDA) | No significant changes in serum parameters | [150] |
| Carpathian goats | 31 days | HSO f: 93 g/day | Higher milk fat content, increase in conjugated fatty acid and PUFAs No effect on milk yield | [151] |
| Pregnant sows | 10 days (before farrowing), 21 days (lactation period) | HS: 2% (10 days) 5% (21 days) | Significant improvement in sows oxidative status during lactation Positive effect on antioxidant enzyme activities (TAC g, NO h) Significant decrease in plasma lipid peroxidation until weaning | [152] |
Publisher’s Note: MDPI stays neutral with regard to jurisdictional claims in published maps and institutional affiliations. |
© 2022 by the authors. Licensee MDPI, Basel, Switzerland. This article is an open access article distributed under the terms and conditions of the Creative Commons Attribution (CC BY) license (https://creativecommons.org/licenses/by/4.0/).
Share and Cite
Fallahi, S.; Bobak, Ł.; Opaliński, S. Hemp in Animal Diets—Cannabidiol. Animals 2022, 12, 2541. https://doi.org/10.3390/ani12192541
Fallahi S, Bobak Ł, Opaliński S. Hemp in Animal Diets—Cannabidiol. Animals. 2022; 12(19):2541. https://doi.org/10.3390/ani12192541
Chicago/Turabian StyleFallahi, Sepideh, Łukasz Bobak, and Sebastian Opaliński. 2022. "Hemp in Animal Diets—Cannabidiol" Animals 12, no. 19: 2541. https://doi.org/10.3390/ani12192541
APA StyleFallahi, S., Bobak, Ł., & Opaliński, S. (2022). Hemp in Animal Diets—Cannabidiol. Animals, 12(19), 2541. https://doi.org/10.3390/ani12192541

