Osteotropic Effect of Parenteral Obesity in Programmed Male Rats Fed a Calorically Differentiated Diet during Growth and Development
Abstract
Simple Summary
Abstract
1. Introduction
2. Materials and Methods
2.1. Animal Procedures
- Control (S/S)—parents fed S diet—male offspring treated with the S diet (n = 16);
- Group (S/F)—parents fed the S diet—male offspring treated with the F diet (n = 16);
- Group (F/S)—parents fed the F diet—male offspring treated with the S diet (n = 16);
- Group (F/F)—parents fed the F diet—male offspring treated with the F diet (n = 16).
2.2. Mechanical Analysis of the Femur
2.3. Dual X-ray Absorptiometry (DXA) Measurements of the Total Skeleton and Isolated Tibiae
2.4. Peripheral Quantitative Computed Tomography (pQCT)
2.5. Biochemical Analysis
2.6. Statistical Analysis
3. Results
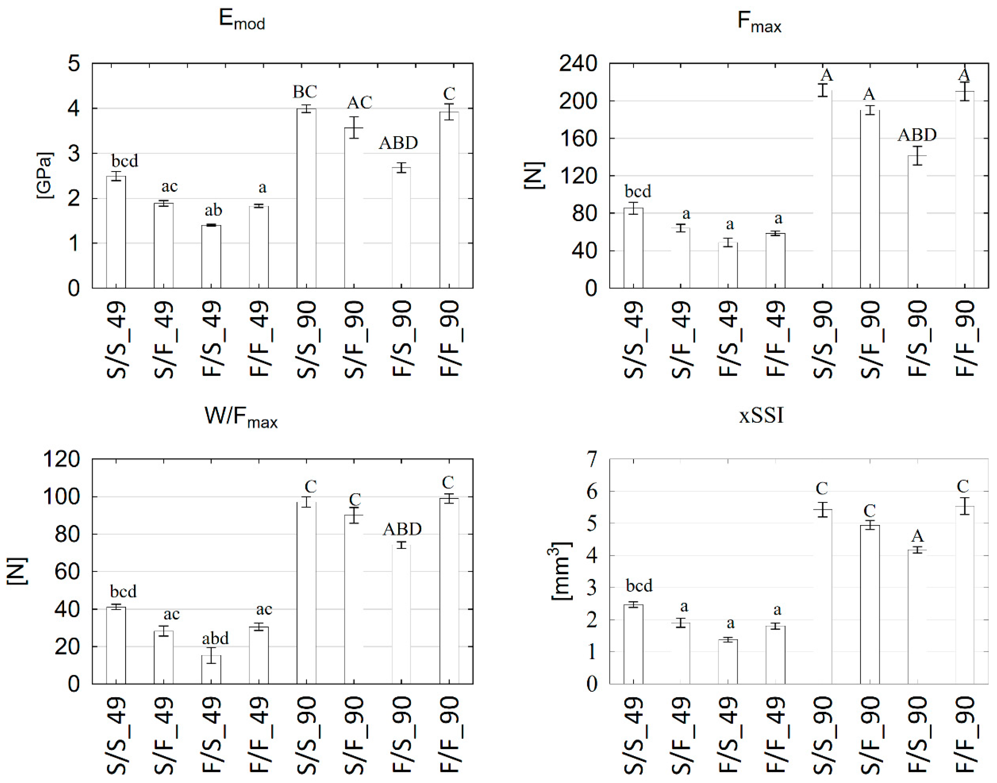
3.1. Mechanical Strength
3.2. DXA Analysis of Femur
3.3. DXA Analysis of Body Composition and Body Weight
3.4. pQCT Analysis—Trabecular Bone Tissue in the Proximal Metaphysis
3.5. pQCT Analysis—Cortical Bone Tissue in the Mid-Shaft Diaphysis
3.6. Biochemical Analysis
4. Discussion
5. Conclusions
Supplementary Materials
Author Contributions
Funding
Institutional Review Board Statement
Informed Consent Statement
Data Availability Statement
Acknowledgments
Conflicts of Interest
References
- Kim, K.B.; Shin, Y.A. Males with Obesity and Overweight. J. Obes. Metab. Syndr. 2020, 29, 18–25. [Google Scholar] [CrossRef] [PubMed]
- World Health Organization. Obesity and Overweight-Key Facts; WHO: Geneva, Switzerland, 2021. [Google Scholar]
- Simeoni, U.; Armengaud, J.B.; Siddeek, B.; Tolsa, J.F. Perinatal Origins of Adult Disease. Neonatology 2018, 113, 393–399. [Google Scholar] [CrossRef]
- Nguyen, T.V.; Howard, G.M.; Kelly, P.J.; Eisman, J.A. Bone mass, lean mass, and fat mass: Same genes or same environments? Am. J. Epidemiol. 1998, 147, 3–16. [Google Scholar] [CrossRef] [PubMed]
- Gueguen, R.; Jouanny, P.; Guillemin, F.; Kuntz, C.; Pourel, J.; Siest, G. Segregation analysis and variance components analysis of bone mineral density in healthy families. J. Bone Min. Res. 1995, 10, 2017–2022. [Google Scholar] [CrossRef] [PubMed]
- Lim, S.; Joung, H.; Shin, C.S.; Lee, H.K.; Kim, K.S.; Shin, E.K.; Kim, H.Y.; Lim, M.K.; Cho, S.I. Body composition changes with age have gender-specific impacts on bone mineral density. Bone 2004, 35, 792–798. [Google Scholar] [CrossRef]
- Evans, A.L.; Paggiosi, M.A.; Eastell, R.; Walsh, J.S. Bone density, microstructure and strength in obese and normal weight men and women in younger and older adulthood. J. Bone Min. Res. 2015, 30, 920–928. [Google Scholar] [CrossRef]
- Jurimae, J.; Jurimae, T.; Leppik, A.; Kums, T. The influence of ghrelin, adiponectin, and leptin on bone mineral density in healthy postmenopausal women. J. Bone Min. Metab. 2008, 26, 618–623. [Google Scholar] [CrossRef]
- Hamrick, M.W.; Della-Fera, M.A.; Choi, Y.H.; Pennington, C.; Hartzell, D.; Baile, C.A. Leptin treatment induces loss of bone marrow adipocytes and increases bone formation in leptin-deficient ob/ob mice. J. Bone Min. Res. 2005, 20, 994–1001. [Google Scholar] [CrossRef]
- Halade, G.V.; El Jamali, A.; Williams, P.J.; Fajardo, R.J.; Fernandes, G. Obesity-mediated inflammatory microenvironment stimulates osteoclastogenesis and bone loss in mice. Exp. Gerontol. 2011, 46, 43–52. [Google Scholar] [CrossRef]
- Halade, G.V.; Rahman, M.M.; Williams, P.J.; Fernandes, G. High fat diet-induced animal model of age-associated obesity and osteoporosis. J. Nutr. Biochem. 2010, 21, 1162–1169. [Google Scholar] [CrossRef]
- Lopez-Gomez, J.J.; Perez Castrillon, J.L.; de Luis Roman, D.A. Impact of obesity on bone metabolism. Endocrinol. Nutr. 2016, 63, 551–559. [Google Scholar] [CrossRef]
- Ellulu, M.S.; Patimah, I.; Khaza’ai, H.; Rahmat, A.; Abed, Y. Obesity and inflammation: The linking mechanism and the complications. Arch. Med. Sci. 2017, 13, 851–863. [Google Scholar] [CrossRef]
- Radzki, R.P.; Bienko, M.; Wolski, D.; Ostapiuk, M.; Polak, P.; Manastyrska, M.; Kimicka, A.; Wolska, J. Programming Effect of the Parental Obesity on the Skeletal System of Offspring at Weaning Day. Animals 2021, 11, 424. [Google Scholar] [CrossRef] [PubMed]
- Radzki, R.P.; Bienko, M.; Wolski, D.; Polak, P. The programming effect of parenteral obesity on the structural and mechanical properties of femora in female rats fed a varied calorie diet during puberty. J. Anim. Physiol. Anim. Nutr. 2022. [Google Scholar] [CrossRef] [PubMed]
- Saxon, L.K.; Turner, C.H. Estrogen receptor beta: The antimechanostat? Bone 2005, 36, 185–192. [Google Scholar] [CrossRef]
- Radzki, R.P.; Bienko, M.; Polak, P.; Szkucik, K.; Ziomek, M.; Ostapiuk, M.; Bienias, J. Is the consumption of snail meat actually healthy? An analysis of the osteotropic influence of snail meat as a sole source of protein in growing rats. J. Anim. Physiol. Anim. Nutr. 2018, 102, e885–e891. [Google Scholar] [CrossRef] [PubMed]
- Puzio, I.; Kapica, M.; Filip, R.; Bieńko, M.; Radzki, R.P. Fundectomy evokes elevated gastrin and lowered serum of ghrelin levels accompanied by decrease in geometrical and mechanical properties of femora in the rats. Bull. Vet. Inst. 2005, 49, 69–73. [Google Scholar]
- Bienko, M.; Radzki, R.P.; Wolski, D. The peripheral quantitative computed tomographic and densitometric analysis of skeletal tissue in male Wistar rats after chromium sulfate treatment. Ann. Agric. Environ. Med. 2017, 24, 446–452. [Google Scholar] [CrossRef]
- Radzki, R.P.; Bienko, M.; Filip, R.; Pierzynowski, S.G. The Protective and Therapeutic Effect of Exclusive and Combined Treatment with Alpha-ketoglutarate Sodium Salt and Ipriflavone on Bone Loss in Orchidectomized Rats. J. Nutr. Health Aging 2016, 20, 628–636. [Google Scholar] [CrossRef]
- Topolska, K.; Radzki, R.P.; Filipiak-Florkiewicz, A.; Florkiewicz, A.; Leszczynska, T.; Cieslik, E. Fructan-Enriched Diet Increases Bone Quality in Female Growing Rats at Calcium Deficiency. Plant Foods Hum. Nutr. 2018, 73, 172–179. [Google Scholar] [CrossRef]
- Edvardsson, K.; Ivarsson, A.; Eurenius, E.; Garrvare, R.; Nystrom, M.E.; Small, R.; Mogren, I. Giving offspring a healthy start: Parents’ experiences of health promotion and lifestyle change during pregnancy and early parenthood. BMC Public Health 2011, 11, 936. [Google Scholar] [CrossRef] [PubMed]
- Wallis, N.; Raffan, E. The Genetic Basis of Obesity and Related Metabolic Diseases in Humans and Companion Animals. Genes 2020, 11, 1378. [Google Scholar] [CrossRef] [PubMed]
- Chandler, M.; Cunningham, S.; Lund, E.M.; Khanna, C.; Naramore, R.; Patel, A.; Day, M.J. Obesity and Associated Comorbidities in People and Companion Animals: A One Health Perspective. J. Comp. Pathol. 2017, 156, 296–309. [Google Scholar] [CrossRef] [PubMed]
- Burkholder, W.J.; Bauer, J.E. Foods and techniques for managing obesity in companion animals. J. Am. Vet. Med. Assoc. 1998, 212, 658–662. [Google Scholar]
- Hart, N.H.; Nimphius, S.; Rantalainen, T.; Ireland, A.; Siafarikas, A.; Newton, R.U. Mechanical basis of bone strength: Influence of bone material, bone structure and muscle action. J. Musculoskelet Neuronal. Interact. 2017, 17, 114–139. [Google Scholar]
- Stagi, S.; Cavalli, L.; Iurato, C.; Seminara, S.; Brandi, M.L.; de Martino, M. Bone metabolism in children and adolescents: Main characteristics of the determinants of peak bone mass. Clin. Cases Min. Bone Metab. 2013, 10, 172–179. [Google Scholar]
- Nunes, H.M.V.; Pereira, A.D.A.; Brasil, S.C.; Armada, L.; Santos, R.; Boaventura, G.T.; Da Costa, C.A.S. Efeitos Da Dieta HiperlipÍdica, Contendo Gordura Saturada, Sobre a Qualidade Óssea De Ratos Wistar Machos Na Vida Adulta. DEMETRA Aliment. Nutr. Saúde 2019, 14, 34223. [Google Scholar] [CrossRef]
- Lanham, S.A.; Roberts, C.; Hollingworth, T.; Sreekumar, R.; Elahi, M.M.; Cagampang, F.R.; Hanson, M.A.; Oreffo, R.O. Maternal high-fat diet: Effects on offspring bone structure. Osteoporos. Int. 2010, 21, 1703–1714. [Google Scholar] [CrossRef]
- Bielohuby, M.; Matsuura, M.; Herbach, N.; Kienzle, E.; Slawik, M.; Hoeflich, A.; Bidlingmaier, M. Short-term exposure to low-carbohydrate, high-fat diets induces low bone mineral density and reduces bone formation in rats. J. Bone Min. Res. 2010, 25, 275–284. [Google Scholar] [CrossRef]
- Loundagin, L.L.; Haider, I.T.; Cooper, D.M.L.; Edwards, W.B. Association between intracortical microarchitecture and the compressive fatigue life of human bone: A pilot study. Bone Rep. 2020, 12, 100254. [Google Scholar] [CrossRef]
- Gasser, J.A. Bone measurements by peripheral quantitative computed tomography in rodents. Methods Mol. Med. 2003, 80, 323–341. [Google Scholar] [CrossRef] [PubMed]
- Costa, C.A.; Carlos, A.S.; dos Santos Ade, S.; Monteiro, A.M.; Moura, E.G.; Nascimento-Saba, C.C. Abdominal adiposity, insulin and bone quality in young male rats fed a high-fat diet containing soybean or canola oil. Clinics 2011, 66, 1811–1816. [Google Scholar] [CrossRef] [PubMed][Green Version]
- Pinar-Gutierrez, A.; Garcia-Fontana, C.; Garcia-Fontana, B.; Munoz-Torres, M. Obesity and Bone Health: A Complex Relationship. Int. J. Mol. Sci. 2022, 23, 8303. [Google Scholar] [CrossRef]
- Papageorgiou, M.; Elliott-Sale, K.J.; Parsons, A.; Tang, J.C.Y.; Greeves, J.P.; Fraser, W.D.; Sale, C. Effects of reduced energy availability on bone metabolism in women and men. Bone 2017, 105, 191–199. [Google Scholar] [CrossRef] [PubMed]


| Item | S/S 49 | S/F 49 | F/S 49 | F/F 49 | S/S 90 | S/F 90 | F/S 90 | F/F 90 |
|---|---|---|---|---|---|---|---|---|
| Densitometry of whole skeleton | ||||||||
| Ts.BMD (g/cm2) | 0.108 ± 0.003 bcd | 0.096 ± 0.003 a | 0.093 ± 0.003 a | 0.092 ± 0.001 a | 0.151 ± 0.001 BC | 0.142 ± 0.001 AD | 0.134 ± 0.001 AD | 0.159 ± 0.003 BC |
| Ts.BMC (g) | 5.32 ± 0.49 cd | 4.50 ± 0.48 | 3.15 ± 0.27 a | 4.20 ± 0.18 a | 13.3 ± 0.06 C | 12.3 ± 0.1 C | 10.6 ± 0.5 ABD | 13.1 0.5 C |
| Ts.Ar (mm2) | 52.0 ± 1.7 cd | 46.1 ± 4.1 c | 37.3 ± 2.6 abd | 45.2 ± 1.3 ac | 91.3 ± 1.26 C | 86.6 ± 1.3 C | 75.8 ± 2.2 ABD | 86.7 ± 1.0 C |
| Densitometry of isolated femur | ||||||||
| f.BMD (g/cm2) | 0.075 ± 0.003 cd | 0.071 ± 0.003 c | 0.058 ± 0.002 ab | 0.064 ± 0.001 a | 0.134 ± 0.002 D | 0.124 ± 0.002 CD | 0.116 ± 0.002 BD | 0.113 ± 0.002 ABC |
| f.BMC (g) | 0.206 ± 0.016 cd | 0.184 ± 0.015 cd | 0.123 ± 0.005 abd | 0.158 ± 0.006 abc | 0.503 ± 0.007 CD | 0.460 ± 0.011 CD | 0.407 ± 0.003 ABD | 0.498 ± 0.014 ABC |
| f.Ar (mm2) | 2.89 ± 0.09 cd | 2.56 ± 0.10 c | 2.12 ± 0.07 abd | 2.45 ± 0.05 ac | 3.90 ± 0.07 D | 3.68 ± 0.06 D | 3.52 ± 0.06 D | 3.95 ± 0.09 ABC |
| Item | S/S 49 | S/F 49 | F/S 49 | F/F 49 | S/S 90 | S/F 90 | F/S 90 | F/F 90 |
|---|---|---|---|---|---|---|---|---|
| Body weight (g) | 302.00 ± 23.2 bcd | 234.42 ±13.41 ac | 192.43 ± 7.96 abd | 236.23 ± 8.73 ac | 549.75 ± 9.67 BCD | 509.55 ± 14.68 AD | 496.67 ± 11.12 AD | 620.50 ± 8.76 ABC |
| Soft tissue (g) | 278.6 ± 22.2 bcd | 214.9 ± 19.1 a | 173.6 ± 8.2 a | 212.3 ± 8.4 a | 518.7 ± 4.7 CD | 477.0 ± 14.9 D | 459.5 ± 2.6 AD | 587.7 ± 12.0 ABC |
| Fat mass (g) | 16.9 ± 2.2 c | 19.7 ± 2.5 | 11.4 ± 2.9 a | 17.4 ± 3.0 | 75.9 ± 4.8 D | 81.5 ± 5.1 D | 72.9 ± 4.1 D | 101.7 ± 2.8 ABC |
| Lean mass (g) | 254.4 ± 14.9 bcd | 198.8 ± 15.8 a | 171.3 ± 4.8 a | 194.9 ± 5.9 a | 449.8 ± 7.2 BC | 395.6 ± 13.2 AD | 397.5 ± 14.0 AD | 486.1 ±18.1 BC |
| Item | S/S 49 | S/F 49 | F/S 49 | F/F 49 | S/S 90 | S/F 90 | F/S 90 | F/F 90 |
|---|---|---|---|---|---|---|---|---|
| Total cross-section parameters | ||||||||
| Tot.BMC (mg/mm) | 9.7 ± 0.3 bcd | 8.4 ± 0.2 a | 6.9 ± 0.15 a | 7.8 ± 0.2 a | 17.5 ± 0.4 BCD | 14.3 ± 0.6 ACD | 12.9 ± 0.2 ABD | 16.2 ± 0.2 ABC |
| Tot.vBMD (mg.mm3) | 505.8 ± 8.7 bcd | 475.4 ± 8.5 ac | 435.8 ± 9.3 abd | 475.0 ± 6.9 ac | 644.4 ± 11.6 BC | 616.6 ± 11.0 AC | 574.0 ± 13.2 ABD | 625.1 ± 16.5 C |
| Tot.Ar (mm2) | 19.1 ± 0.8 c | 17.9 ± 0.9 c | 14.5 ± 0.6 abd | 16.2 ± 0.7 c | 27.2 ± 0.8 BC | 23.4 ± 0.8 AD | 21.1 ± 0.9 AD | 25.7 ± 0.8 BC |
| Trabecular bone tissue parameters | ||||||||
| Tb.BMC (mg.mm) | 2.8 ± 0.2 bcd | 2.0 ± 0.1 a | 1.6 ± 0.1 a | 2.0 ± 0.1 a | 5.6 ± 0.2 BCD | 3.8 ± 0.1 ACD | 3.3 ± 0.1 ABD | 4.4 ± 0.1 ABC |
| Tb.vBMD (mg.mm3) | 318.8 ± 5.1 bcd | 278.9 ± 5.1 acd | 200.4 ± 5.1 abd | 246.9 ± 7.8 abc | 457.5 ± 8.2 BCD | 318.1 ± 6.3 A | 358.37 ± 12.2 A | 422.6 ± 10.5 A |
| Tb.Ar (mm2) | 8.6 ± 0.4 c | 8.1 ± 0.4 c | 6. ± 0.3 abd | 7.3 ± 0.3 c | 12.2 ± 0.4 BC | 10.5 ± 0.4 AD | 9.5 ± 0.4 AD | 11.6 ± 0.4 BC |
| Item | S/S 49 | S/F 49 | F/S 49 | F/F 49 | S/S 90 | S/F 90 | F/S 90 | F/F 90 |
|---|---|---|---|---|---|---|---|---|
| Total cross-section parameters | ||||||||
| Tot.BMC (mg/mm) | 6.0 ± 0.3 bcd | 5.3 ± 0.1 | 4.0 ± 0.2 a | 4.8 ± 0.1 a | 11.2 ± 0.1 C | 10.7 ± 0.2 C | 9.9 ± 0.2 ABD | 11.2 ± 0.1 C |
| Tot.vBMD (mg/mm3) | 678.6 ± 6.9 cd | 630.2 ± 20.9 c | 513.6 ± 8.7 ab | 582.9 ± 14.2 a | 889.5 ± 14.5 | 844.9 ± 12.6 | 776.8 ± 12.4 D | 893.2 ± 5.8 C |
| Tot.Ar (mm2) | 8.7 ± 0.1 c | 8.0 ± 0.1 c | 6.5 ± 0.3 abd | 7.7 ± 0.2 c | 12.5 ± 0.2 BC | 11.9 ± 0.2 C | 11.5 ± 0.3 ABD | 13.0 ± 0.2 C |
| Cortical bone tissue parameters | ||||||||
| Ct.BMC (mg/mm) | 5.0 ± 0.1 bcd | 4.4 ± 0.1 ac | 3.6 ± 0.1 abd | 4.0 ± 0.1 ac | 10.0 ± 0.2 C | 9.6 ± 0.1 C | 8.7 ± 0.1 ABD | 10.5 ± 0.1 C |
| Ct.vBMD (mg/mm3) | 1244.8 ± 9.0 bc | 1187.9 ± 10.2 a | 1150.0 ± 11.0 ad | 1195.5 ± 6.9 c | 1389.9 ± 8.6 C | 1380.8 ± 5.2 C | 1335.7 ± 9.7 AB | 1369.3 ± 15.6 |
| Ct.Ar (mm2) | 4.3 ±0.1 bcd | 3.7 ± 0.1 ac | 3.0 ± 0.1 abd | 3.5 ± 0.1 ac | 7.2 ± 0.1 CD | 6.9 ± 0.1 CD | 6.5 ± 0.1 ABD | 7.7 ± 0.1 ABC |
| Ct.Th (mm) | 0.5 ± 0.01 bcd | 0.4 ± 0.01 acd | 0.4 ± 0.01 ab | 0.4 ± 0.01 ab | 0.7 ± 0.01 C | 0.7 ± 0.01 C | 0.6 ± 0.01 AB | 0.7 ± 0.01 |
| Peri.C (mm) | 10.2 ± 0.2 c | 10.1 ± 0.1 c | 9.1 ± 0.1 abd | 9.8 ± 0.1 c | 12.5 ± 0.2 | 12.2 ± 0.2 D | 12.0 ± 0.1 D | 12.8 ± 0.1 BC |
| Endo.C (mm) | 7.1 ± 0.1 | 7.4 ± 0.1 c | 6.6 ± 0.1 bd | 7.5 ± 0.1 c | 8.1 ± 0.1 | 7.9 ± 0.2 | 7.9 ± 0.1 | 8.2 ± 0.2 |
| Item | S/S 49 | S/F 49 | F/S 49 | F/F 49 | S/S 90 | S/F 90 | F/S 90 | F/F 90 |
|---|---|---|---|---|---|---|---|---|
| ALP (U/L) | 432.0 ± 12.1 bc | 359.1 ± 13.4 ad | 329.9 ± 17.1 ad | 445.0 ± 15.1 bc | 203.0 ± 15.0 D | 179.0 ± 17.5 D | 188.3 ± 14.9 D | 306.6 ± 29.3 ABC |
| P (mg/dL) | 11.48 ± 0.69 | 11.62 ± 0.24 d | 11.70 ± 0.38 | 10.30 ± 0.24 b | 8.80 ± 0.19 BD | 10.98 ± 0.33 A | 9.95 ± 0.30 D | 10.90 ± 0.43 AC |
| Ca (mmol/L) | 10.96 ± 0.32 cd | 10.39 ± 0.28 cd | 8.06 ± 0.13 abd | 9.64 ± 0.18 abc | 10.54 ± 0.12 BCD | 9.42 ± 0.11 ACD | 7.48 ± 0.12 ABD | 8.68 ± 0.21 ABC |
| OC (ng/mL) | 10.97 ± 0.28 bc | 9.64 ± 0.33 ad | 9.05 ± 0.26 ad | 10.70 ± 0.14 bc | 10.38 ± 0.13 CD | 9.8 ± 0.13 D | 9.00 ± 0.29 AD | 11.68 ± 0.29 ABC |
| CTX-I (ng/mL) | 19.50 ± 0.35 bc | 21.55 ± 0.36 ac | 23.38 ± 0.39 ab | 19.45 ± 0.45 bc | 18.62 ± 0.95 CD | 19.22 ± 0.34 D | 21.55 ± 0.55 AD | 14.93 ± 0.83 ABC |
Publisher’s Note: MDPI stays neutral with regard to jurisdictional claims in published maps and institutional affiliations. |
© 2022 by the authors. Licensee MDPI, Basel, Switzerland. This article is an open access article distributed under the terms and conditions of the Creative Commons Attribution (CC BY) license (https://creativecommons.org/licenses/by/4.0/).
Share and Cite
Radzki, R.P.; Bienko, M.; Wolski, D.; Polak, P.; Topolska, K.; Wereszczynski, M. Osteotropic Effect of Parenteral Obesity in Programmed Male Rats Fed a Calorically Differentiated Diet during Growth and Development. Animals 2022, 12, 2314. https://doi.org/10.3390/ani12182314
Radzki RP, Bienko M, Wolski D, Polak P, Topolska K, Wereszczynski M. Osteotropic Effect of Parenteral Obesity in Programmed Male Rats Fed a Calorically Differentiated Diet during Growth and Development. Animals. 2022; 12(18):2314. https://doi.org/10.3390/ani12182314
Chicago/Turabian StyleRadzki, Radoslaw Piotr, Marek Bienko, Dariusz Wolski, Pawel Polak, Kinga Topolska, and Mateusz Wereszczynski. 2022. "Osteotropic Effect of Parenteral Obesity in Programmed Male Rats Fed a Calorically Differentiated Diet during Growth and Development" Animals 12, no. 18: 2314. https://doi.org/10.3390/ani12182314
APA StyleRadzki, R. P., Bienko, M., Wolski, D., Polak, P., Topolska, K., & Wereszczynski, M. (2022). Osteotropic Effect of Parenteral Obesity in Programmed Male Rats Fed a Calorically Differentiated Diet during Growth and Development. Animals, 12(18), 2314. https://doi.org/10.3390/ani12182314

