Assessment of Nasal Structure Using CT Imaging of Brachycephalic Dog Breeds
Abstract
:Simple Summary
Abstract
1. Introduction
2. Materials and Methods
2.1. Animals
2.2. Exclusion Criteria
2.3. Measurement Method
2.3.1. 2D Region Growing
2.3.2. Measurement of the AA/NC Ratio
2.4. Statistical Analyses
3. Results
3.1. Study Population
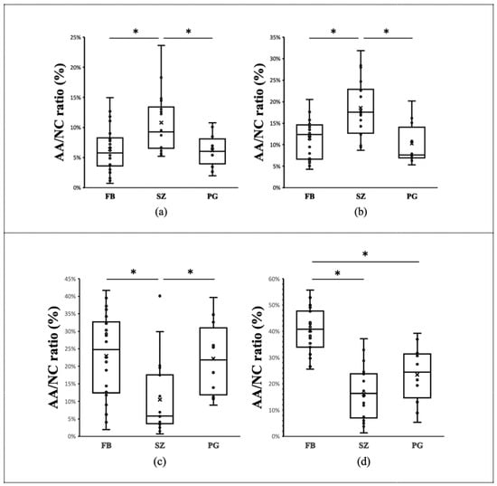
3.2. The AA/NC Ratio
4. Discussion
5. Conclusions
Author Contributions
Funding
Institutional Review Board Statement
Informed Consent Statement
Data Availability Statement
Acknowledgments
Conflicts of Interest
References
- Brehm, H.; Loeffler, K.; Komeyli, H. Skull forms in dogs. Anat. Histol. Embryol. 1985, 14, 324–331. [Google Scholar] [CrossRef] [PubMed]
- Regodón, S.; Vivo, J.M.; Franco, A.; Guillén, M.T.; Robina, A. Craniofacial angle in dolicho-, meso- and brachycephalic dogs. radiological determination and application. Ann. Anat. 1993, 175, 361–363. [Google Scholar] [CrossRef]
- Hendricks, J.C. Brachycephalic airway syndrome. Vet. Clin. N. Am. Small Anim. Pract. 1992, 22, 1145–1153. [Google Scholar] [CrossRef]
- Pink, J.J.; Doyle, R.S.; Hughes, J.M.; Tobin, E.; Bellenger, C.R. Laryngeal collapse in seven brachycephalic puppies. J. Small Anim. Pract. 2006, 47, 131–135. [Google Scholar] [CrossRef] [PubMed]
- Poncet, C.M.; Dupre, G.P.; Freiche, V.G.; Bouvy, B.M. Long-term results of upper respiratory syndrome surgery and gastrointestinal tract medical treatment in 51 brachycephalic dogs. J. Small Anim. Pract. 2006, 47, 137–142. [Google Scholar] [CrossRef]
- DeLorenzi, D.; Bertoncello, D.; Drigo, M. Bronchial abnormalities found in a consecutive series of 40 brachycephalic dogs. J. Am. Vet. Med. Assoc. 2009, 235, 835–840. [Google Scholar] [CrossRef]
- Liu, N.C. Conformational risk factors of brachycephalic obstructive airway syndrome (BOAS) in pugs, French bulldogs, and bulldogs. PLoS ONE 2017, 12, e0181928. [Google Scholar] [CrossRef] [Green Version]
- Knecht, C.D. Upper airway obstruction in brachycephalic dogs. Compend. Contin. Educ. Pract. Vet. 1979, 1, 25–31. [Google Scholar]
- Burbidge, H.M.; Goulden, B.E.; Jones, B.R. Laryngeal paralysis in dogs: An evaluation of the bilateral arytenoid lateralisation procedure. J. Small Anim. Pract. 1993, 34, 515–519. [Google Scholar] [CrossRef]
- Hedlund, C. Clinical Atlas of Ear, Nose and Throat Diseases in Small Animals: The Case-Based Approach; Schlütersche: Hannover, Germany, 2002. [Google Scholar]
- Monnet, E. Brachycephalic airway syndrome. In Textbook of Small Animal Surgery, 3rd ed.; Slatter, D., Ed.; WB Saunders: Philadelphia, PA, USA, 2003; pp. 808–813. [Google Scholar]
- Poncet, C.M.; Dupre, G.P.; Freiche, V.G.; Estrada, M.M.; Poubanne, Y.A.; Bouvy, B.M. Prevalence of gastrointestinal tract lesions in 73 brachycephalic dogs with upper respiratory syndrome. J. Small Anim. Pract. 2005, 46, 273–279. [Google Scholar] [CrossRef]
- Hobson, H.P. Brachycephalic syndrome. Semin. Vet. Med. Surg. Small Anim. 1995, 10, 109–114. [Google Scholar] [PubMed]
- Harvey, C.E. Upper airway obstruction surgery. 3. Everted laryngeal saccule surgery in brachycephalic dogs. JAAHA 1982, 18, 545–547. [Google Scholar]
- Downing, F.; Gibson, S. Anaesthesia of brachycephalic dogs. J. Small Anim. Pract. 2018, 59, 725–733. [Google Scholar] [CrossRef] [PubMed] [Green Version]
- Riecks, T.W.; Birchard, S.J.; Stephens, J.A. Surgical correction of brachycephalic syndrome in dogs: 62 cases (1991–2004). J. Am. Vet. Med. Assoc. 2007, 230, 1324–1328. [Google Scholar] [CrossRef] [PubMed]
- Lorison, D.; Bright, R.M.; White, R.A.S. Brachycephalic airway obstructions syndrome: A review of 118 cases. Canine Pract. 1997, 22, 18–21. [Google Scholar]
- Torrez, C.V.; Hunt, G.B. Results of surgical correction of abnormalities associated with brachycephalic airway obstruction syndrome in dogs in Australia. J. Small Anim. Pract. 2006, 47, 150–154. [Google Scholar] [CrossRef]
- Fasanella, F.J.; Shivley, J.M.; Wardlaw, J.L.; Givaruangsawat, S. Brachycephalic airway obstructive syndrome in dogs: 90 cases (1991–2008). J. Am. Vet. Med. Assoc. 2010, 237, 1048–1051. [Google Scholar] [CrossRef]
- Grand, J.G.; Bureau, S. Structural characteristics of the soft palate and meatus nasopharyngeus in brachycephalic and non-brachycephalic dogs analysed by CT. J. Small Anim. Pract. 2011, 52, 232–239. [Google Scholar] [CrossRef]
- Vilaplana Grosso, F.; Ter Haar, G.; Boroffka, S.A.E.B. Gender, weight, and age effects on prevalence of caudal aberrant nasal turbinates in clinically healthy English bulldogs: A computed tomographic study and classification. Vet. Radiol. Ultrasound 2015, 56, 486–493. [Google Scholar] [CrossRef]
- Auger, M.; Alexander, K.; Beauchamp, G.; Dunn, M. Use of CT to evaluate and compare intranasal features in brachycephalic and normocephalic dogs. J. Small Anim. Pract. 2016, 57, 529–536. [Google Scholar] [CrossRef]
- Oechtering, G.U.; Pohl, S.; Schlueter, C.; Lippert, J.P. A novel approach to brachycephalic syndrome. 1. Evaluation of anatomical intranasal airway obstruction. Vet. Surg. 2016, 45, 165–172. [Google Scholar] [CrossRef] [PubMed]
- Ginn, J.A.; Kumar, M.S.A.; McKiernan, B.C.; Powers, B.E. Nasopharyngeal turbinates in brachycephalic dogs and cats. J. Am. Anim. Hosp. Assoc. 2008, 44, 243–249. [Google Scholar] [CrossRef] [PubMed]
- Ibrahim, N.N.; Maxime, H.; Vincent, P.; Johann, D. The influence of phylogenic origin on the occurrence of brachycephalic airway obstruction syndrome in a large retrospective study. Intern. J. Appl. Res. Vet. Med. 2009, 7, 138–143. [Google Scholar]
- Huck, J.L.; Stanly, B.J.; Hauptman, J.G. Technique and outcome of nares amputation (Trader’s technique) in immature shih tzus. J. Am. Anim. Hosp. Assoc. 2008, 44, 82–85. [Google Scholar] [CrossRef] [PubMed]
- Limberg, T. Osirix as a resource. In MS, Biomedical Visualization; University of Illinois: Champaign, IL, USA, 2008; pp. 1–23. [Google Scholar]
- Hostnik, E.T.; Scansen, B.A.; Zielinski, R.; Ghadiali, S.N. Quantification of nasal airflow resistance in English bulldogs using computed tomography and computational fluid dynamics. Vet. Radiol. Ultrasound 2017, 58, 542–551. [Google Scholar] [CrossRef]
- Berger-Groch, J.; Thiesen, D.M.; Ntalos, D. Determination of bone density in patients with sacral fractures via CT scan. Orthop. Traumatol. Surg. Res. 2018, 104, 1037–1041. [Google Scholar] [CrossRef]
- Riggs, J.; Liu, N.C.; Sutton, D.R.; Sargan, D.; Ladlow, J.F. Validation of exercise testing and laryngeal auscultation for grading brachycephalic obstructive airway syndrome in pugs, French bulldogs, and English bulldogs by using whole-body barometric plethysmography. Vet. Surg. 2019, 48, 488–496. [Google Scholar] [CrossRef]
- Mielke, B.; Lam, R.; Ter Haar, G. Computed tomographic morphometry of tympanic bulla shape and position in brachycephalic and mesaticephalic dog breeds. Vet. Radiol. Ultrasound 2017, 58, 552–558. [Google Scholar] [CrossRef] [Green Version]
- Khoa, N.D.; Phuong, N.L.; Tani, K.; Inthavong, K.; Ito, K. Computational fluid dynamics comparison of impaired breathing function in French bulldogs with nostril stenosis and an examination of the efficacy of rhinoplasty. Comput. Biol. Med. 2021, 134, 104398. [Google Scholar] [CrossRef]




| FB | SZ | PG | |
|---|---|---|---|
| First incisor teeth level | 5.79 | 9.26 | 6.06 |
| Canine teeth level | 12.38 | 17.58 | 7.63 |
| Palatal horizontal plate level | 24.77 | 5.84 | 21.80 |
| Suborbital foramen level | 40.82 | 16.30 | 24.44 |
Publisher’s Note: MDPI stays neutral with regard to jurisdictional claims in published maps and institutional affiliations. |
© 2022 by the authors. Licensee MDPI, Basel, Switzerland. This article is an open access article distributed under the terms and conditions of the Creative Commons Attribution (CC BY) license (https://creativecommons.org/licenses/by/4.0/).
Share and Cite
Oshita, R.; Katayose, S.; Kanai, E.; Takagi, S. Assessment of Nasal Structure Using CT Imaging of Brachycephalic Dog Breeds. Animals 2022, 12, 1636. https://doi.org/10.3390/ani12131636
Oshita R, Katayose S, Kanai E, Takagi S. Assessment of Nasal Structure Using CT Imaging of Brachycephalic Dog Breeds. Animals. 2022; 12(13):1636. https://doi.org/10.3390/ani12131636
Chicago/Turabian StyleOshita, Ryo, Sakie Katayose, Eiichi Kanai, and Satoshi Takagi. 2022. "Assessment of Nasal Structure Using CT Imaging of Brachycephalic Dog Breeds" Animals 12, no. 13: 1636. https://doi.org/10.3390/ani12131636
APA StyleOshita, R., Katayose, S., Kanai, E., & Takagi, S. (2022). Assessment of Nasal Structure Using CT Imaging of Brachycephalic Dog Breeds. Animals, 12(13), 1636. https://doi.org/10.3390/ani12131636

