Effect of an Antioxidant Supplement Combination on Boar Sperm
Abstract
Simple Summary
Abstract
1. Introduction
2. Materials and Methods
2.1. Animals, Semen Collection and Preparation
2.2. Determination of the Antioxidative System in Seminal Plasma
2.3. Spermatozoa Motility Determination
2.4. Determination of Spermatozoa DNA Status
2.5. Data Analyses
3. Results
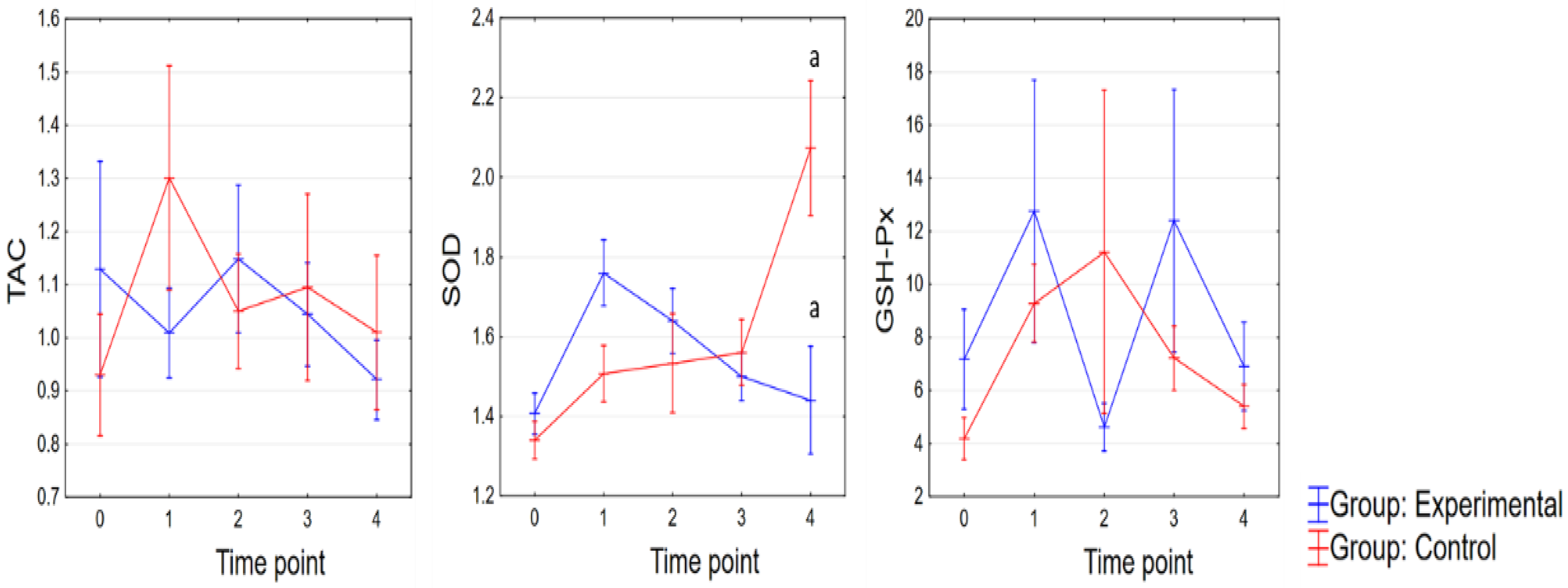
3.1. Determination of the Antioxidative System in Seminal Plasma
3.2. Determination of Spermatozoa Motility
3.2.1. Parameters of Spermatozoa Kinematics
3.2.2. The Total Number of Motile Spermatozoa
3.3. Determination of Spermatozoa DNA Status
4. Discussion
5. Conclusions
Author Contributions
Funding
Institutional Review Board Statement
Informed Consent Statement
Data Availability Statement
Acknowledgments
Conflicts of Interest
References
- Stančić, I.; Zdraveski, I.; Dragin, S.; Apić, J.; Vakanjac, S.; Dodovski, P.; Krstović, S.; Galić, I. The influence of different molecular weight seminal plasma protein content on some fertility parameters in boar’s ejaculates. Slov. Vet. Res. 2019, 56, 163–171. [Google Scholar] [CrossRef]
- Apić, J.; Stančić, I.; Vakanjac, S.; Radović, I.; Milovanović, A.; Barna, T.; Maletić, M. Influence of the protein content of boar seminal plasma on spermatozoa viability, motility and acrosome integrity in diluted semen stored for 3 days. Anim. Reprod. 2016, 13, 36–41. [Google Scholar]
- Apić, J.; Vakanjac, S.; Stančić, I.; Radović, I.; Jotanović, S.; Kanački, Z.; Stanković, B. Sow fertility after insemination with varying doses of volume and spermatozoa count. Turk. J. Vet. Anim. Sci. 2015, 39, 709–713. [Google Scholar] [CrossRef]
- Betteridge, D.J. What is oxidative stress? Metabolism 2000, 49, 3–8. [Google Scholar] [CrossRef]
- Agarwal, A.; Virk, G.; Ong, C.; Plessis, S.S. Effect of oxidative stress on male reproduction. World J. Mens Health 2014, 32, 1–17. [Google Scholar] [CrossRef]
- Betarelli, R.P.; Rocco, M.; Yeste, M.; Fernández-Novell, J.M.; Placci, A.; Azevedo Pereira, B.; Castillo-Martín, M.; Estrada, E.; Peña, A.; Zangeronimo, M.G.; et al. The achievement of boar sperm in vitro capacitation is related to an increase of disrupted disulphide bonds and intracellular reactive oxygen species levels. Andrology 2018, 6, 781–797. [Google Scholar] [CrossRef]
- Bansal, A.K.; Bilaspuri, G.S. Effect of ferrous ascorbate on in vitro capacitation of crossbred cattle bull spermatozoa. Onl. J. Vet. Res. 2018, 22, 87–93. [Google Scholar]
- Pintus, E.; Kadlec, M.; Jovičić, M.; Sedmíková, M.; Ros-Santaella, J.L. Aminoguanidine Protects Boar Spermatozoa against the Deleterious Effects of Oxidative Stress. Pharmaceutics 2018, 10, 212. [Google Scholar] [CrossRef]
- Liu, Q.; Duan, R.J.; Zhou, Y.F.; Wei, H.K.; Peng, J.; Li, J.L. Supplementing oregano essential oil to boar diet with strengthened fish oil: Effects on semen antioxidant status and semen quality parameters. Andrologia 2017, 49, e12764. [Google Scholar] [CrossRef]
- Audet, I.; Laforest, J.P.; Martineau, G.P.; Matte, J.J. Effect of vitamin supplements on some aspects of performance, vitamin status, and semen quality in boars. J. Anim. Sci. 2004, 82, 626–633. [Google Scholar] [CrossRef]
- Brzezińska-Ślebodzińska, E.; Ślebodziński, A.B.; Pietras, B.; Wieczorek, G. Antioxidant effect of vitamin E and glutathione on lipid peroxidation in boar semen plasma. Biol. Trace Elem. Res. 1995, 47, 69–74. [Google Scholar] [CrossRef] [PubMed]
- Horky, P.; Jancikova, P.; Sochor, J.; Hynek, D.; Chavis, G.J.; Ruttkay-Nedecky, B.; Cernei, N.; Zitka, O.; Zeman, L.; Adam, V.; et al. Effect of organic and inorganic form of selenium on antioxidant status of breeding boars ejaculate revealed by electrochemistry. Int. J. Electrochem. 2012, 7, 9643–9657. [Google Scholar]
- Yun, S.J.; Bea, G.S.; Park, J.H.; Song, T.H.; Choi, A.; Ryu, B.Y.; Pang, M.G.; Kim, E.J.; Yoon, M.; Chang, M.B. Antioxidant effects of cultured wild ginseng root extracts on the male reproductive function of boars and guinea pigs. Anim. Reprod. Sci. 2016, 170, 51–60. [Google Scholar] [CrossRef] [PubMed]
- Ogbuewu, I.P.; Aladi, N.O.; Etuk, I.F.; Opara, M.N.; Uchegbu, M.C.; Okoli, I.C.; Iloeje, M.U. Relevance of oxygen free radicals and antioxidants in sperm production and function. Res. Vet. Sci. 2010, 3, 138–164. [Google Scholar] [CrossRef]
- Vallorani, C.; Spinaci, M.; Bucci, D.; Tamanini, C.; Galeati, G. Effects of antioxidants on boar spermatozoa during sorting and storage. Anim. Reprod. Sci. 2010, 122, 58–65. [Google Scholar] [CrossRef]
- Fridovich, I. Superoxide radical and superoxide dismutases. Annu. Rev. Biochem. 1995, 64, 97–112. [Google Scholar] [CrossRef]
- Noblanc, A.; Peltier, M.; Damon-Soubeyrand, C.; Kerchkove, N.; Chabory, E.; Vernet, P.; Saez, F.; Cadet, R.; Janny, L.; Pons-Reyraji, H.; et al. Epididymis response partially compensates for spermatozoa oxidative defects in snGPx4 and GPx5 double mutant mice. PLoS ONE 2012, 7, e38565. [Google Scholar] [CrossRef]
- Bromfield, J.J. Seminal fluid and reproduction: Much more than previously thought. J. Assist. Reprod. Genet. 2014, 31, 627–636. [Google Scholar] [CrossRef]
- Evenson, D.P.; Larson, K.L.; Jost, L.K. Sperm chromatin structure assay: Its clinical use for detecting sperm DNA fragmentation in male infertility and comparisons with other techniques. J. Androl. 2002, 23, 25–43. [Google Scholar] [CrossRef]
- Barna, T.; Apić, J.; Milovanovi, A.; Maksimović, N.; Mašić, A.; Lazarević, M.; Pavlović, M. Quality and fertility of extended boar semen after prolonged transport. Turk. J. Vet. Anim. Sci. 2021, 45, 920–929. [Google Scholar] [CrossRef]
- Didion, B.A.; Kasperson, K.M.; Wixon, R.L.; Evenson, D.P. Boar fertility and sperm chromatin structure status: A retrospective report. J. Androl. 2009, 30, 655–660. [Google Scholar] [CrossRef] [PubMed]
- Boe-Hansen, G.B.; Christensen, P.; Vibjerg, D.; Nielsen, M.B.; Hedeboe, A.M. Sperm chromatin structure integrity in liquid stored boar semen and its relationships with field fertility. Theriogenology 2008, 69, 728–736. [Google Scholar] [CrossRef] [PubMed]
- Greco, E.; Iacobelli, M.; Rienzi, L.; Ubaldi, F.; Ferrero, S.; Tesarik, J. Reduction of the incidence of sperm DNA fragmentation by oral antioxidant treatment. J. Androl. 2005, 26, 349–353. [Google Scholar] [CrossRef] [PubMed]
- Tunc, O.; Thompson, J.; Tremellen, K. Improvement in sperm DNA quality using an oral antioxidant therapy. Reprod. Biomed. Online 2009, 18, 761–768. [Google Scholar] [CrossRef]
- Bansal, A.K.; Bilaspuri, G. Impacts of oxidative stress and antioxidants on semen functions. Vet. Med. Int. 2011, 2011, 686137. [Google Scholar] [CrossRef] [PubMed]
- Zhang, X.G.; Yan, G.J.; Hong, J.Y.; Su, Z.Z.; Yang, G.S.; Li, Q.W.; Hu, J.H. Effects of bovine serum albumin on boar sperm quality during liquid storage at 17 °C. Reprod. Domest. Anim. 2015, 50, 263–269. [Google Scholar] [CrossRef] [PubMed]
- Zhu, Z.; Kawai, T.; Umehara, T.; Hoque, S.M.; Zeng, W.; Shimada, M. Negative effects of ROS generated during linear sperm motility on gene expression and ATP generation in boar sperm mitochondria. Free Radic. Biol. Med. 2019, 141, 159–171. [Google Scholar] [CrossRef]
- Guthrie, H.; Welch, G. Effects of reactive oxygen species on sperm function. Theriogenology 2012, 78, 1700–1708. [Google Scholar] [CrossRef]
- Cerolini, S.; Maldjian, A.; Surai, P.; Noble, R. Viability: Susceptibility to peroxidation and fatty acid composition of boar semen during liquid storage. Anim. Reprod. Sci. 2000, 58, 99–111. [Google Scholar] [CrossRef]
- Kowalowka, M.; Wysocki, P.; Fraser, L.; Strzezek, J. Extracellular superoxide dismutase of boar seminal plasma. Reprod. Domest. Anim. 2008, 43, 490–496. [Google Scholar] [CrossRef]
- Koziorowka-Gilun, M.; Koziorowski, M.; Strzeżek, J.; Fraser, L. Seasonal changes in antioxidant defence systems in seminal plasma and fluids of the boar reproductive tract. Reprod. Biol. 2011, 11, 37–47. [Google Scholar] [CrossRef]
- Marklund, S.L. Extracellular superoxide dismutase and other superoxide dismutase isoenzymes in tissues from nine mammalian species. Biochem. J. 1984, 222, 649–655. [Google Scholar] [CrossRef]
- Peeker, R.; Abramsson, L.; Marklund, S.L. Superoxide dismutase isoenzymes in human seminal plasma and spermatozoa. Mol. Hum. Reprod. 1997, 3, 1061–1066. [Google Scholar] [CrossRef]
- Garrido, N.; Meseguer, M.; Simon, C.; Pellicer, A.; Remohi, J. Pro-oxidative and anti-oxidative imbalance in human semen and its relation with male fertility. Asian J. Androl. 2004, 6, 59–65. [Google Scholar] [PubMed]
- Argenti, L.E.; Parmeggiani, B.S.; Leipnitz, G.; Weber, A.; Pereira, G.R.; Bustamante-Filho, I.C. Effects of season on boar semen parameters and antioxidant enzymes in the south subtropical region in Brazil. Andrologia 2018, 50, e12951. [Google Scholar] [CrossRef] [PubMed]
- Strzeżek, J.; Fraser, L.; Demianowicz, W.; Kordan, W.; Wysocki, P.; Holody, D. Effect of depletion tests (DT) on the composition of boar semen. Theriogenology 2000, 54, 949–963. [Google Scholar] [CrossRef]
- Barranco, I.; Padilla, L.; Tvarijonaviciute, A.; Parrilla, I.; Martínez, E.A.; RodriguezMartinez, H.; Yeste, M.; Jordi-Roca, J. Levels of activity of superoxide dismutase in seminal plasma do not predict fertility of pig AI-semen doses. Theriogenology 2019, 140, 18–24. [Google Scholar] [CrossRef]
- Žaja, I.Ž.; Samardžija, M.; Vince, S.; Vilić, M.; Majić-Balić, I.; Đuričić, D.; Milinković-Tur, S. Differences in seminal plasma and spermatozoa antioxidative systems and seminal plasma lipid and protein levels among boar breeds and hybrid genetic traits. Anim. Reprod. Sci. 2016, 170, 75–82. [Google Scholar] [CrossRef]
- Khosravi, F.; Valojerdi, M.R.; Amanlou, M.; Karimian, L.; Abolhassani, F. Relationship of seminal reactive nitrogen and oxygen species and total antioxidant capacity with sperm DNA fragmentation in infertile couples with normal and abnormal sperm parameters. Andrologia 2014, 46, 17–23. [Google Scholar] [CrossRef]
- Surai, P.F.; Fisinin, V.I. Selenium in Pig Nutrition and reproduction: Boars and semen quality—A Review. Asian-Australas. J. Anim. Sci. 2015, 28, 730–746. [Google Scholar] [CrossRef]
- Audet, I.; Bérubé, N.; Bailey, J.L.; Laforest, J.P.; Quesnel, H.; Matte, J.J. Effects of dietary vitamin supplementation and semen collection frequency on hormonal profile during ejaculation in the boar. Theriogenology 2009, 71, 334–341. [Google Scholar] [CrossRef] [PubMed]
- Lasota, B.; Błaszczyk, B.; Seremak, B.; Udała, J. Selenium status and GSH-Px Activity in Semen and Blood of Boars at Different Ages Used for Artificial Insemination. Reprod. Domest. Anim. 2004, 39, 309–314. [Google Scholar] [CrossRef]
- Aitken, R.J.; Bronson, R.; Smith, T.B.; De Iuliis, G.N. The source and significance of DNA damage in human spermatozoa; a commentary on diagnostic strategies and straw man fallacies. Mol. Hum. Reprod. 2013, 19, 475–485. [Google Scholar] [CrossRef] [PubMed]
- Peña, S.J.T.; Gummow, B.; Parker, A.J.; Paris, D.B.B.P. Revisiting summer infertility in the pig: Could heat stress-induced sperm DNA damage negatively affect early embryo development? Anim. Prod. Sci. 2017, 57, 1975–1983. [Google Scholar] [CrossRef]
- Aitken, R.J.; Koppers, A.J. Apoptosis and DNA damage in human spermatozoa. Asian J. Androl. 2011, 13, 36–42. [Google Scholar] [CrossRef] [PubMed]
- Aitken, R.J.; De Iuliis, G.N. Origins and consequences of DNA damage in male germ cells. Reprod. Biomed. Online 2007, 14, 727–733. [Google Scholar] [CrossRef]
- Peña, S.T.; Gummow, B.; Parker, A.J.; Paris, D.B.B.P.; Drevet, J.R. Antioxidant supplementation mitigates DNA damage in boar (Sus scrofa domesticus) spermatozoa induced by tropical summer. PLoS ONE 2019, 14, e0216143. [Google Scholar] [CrossRef] [PubMed]
- Echeverria-Alonzo, S.; Santos-Ricalde, R.; Centurión-Castro, F.; Ake-Lopez, R.; Alfaro-Gamboa, M.; Rodriguez-Buenfil, J. Effects of dietary selenium and vitamin E on semen quality and sperm morphology of young boars during warm and fresh season. J. Anim. Vet. Adv. 2009, 8, 2311–2317. [Google Scholar]
- Szcześniak-Fabiańczyk, B.; Bochenek, M.; Smorag, Z.; Ryszka, F. Effect of antioxidants added to boar semen extender on the semen survival time and sperm chromatin structure. Reprod. Biol. 2003, 3, 81–87. [Google Scholar]
- García-Contreras, A.; De Loera, Y.; García-Artiga, C.; Palomo, A.; Guevara, J.A.; Herrera-Haro, J.; López-Fernández, C.; Johnston, S.; Gosálvez, J. Elevated dietary intake of Zn-methionate is associated with increased sperm DNA fragmentation in the boar. Reprod. Toxicol. 2011, 31, 570–573. [Google Scholar] [CrossRef]
- Lechowski, J. Effect of vitamin C on semen quality of duroc breed boars and their crossbreds with hampshire and pietrain. Ann. UMCS Zootech. 2009, 27, 12–18. [Google Scholar] [CrossRef]
- Liao, C.; Chyr, S.C.; Shen, T.F. Effect of dietary zinc content on reproductive performance of the boars. In Proceedings of the 3rd AAAP Animal Science Congress, Seoul, Korea, 6–10 May 1985; Volume 2, pp. 613–615. [Google Scholar]
- Park, J.C.; Cho, K.H.; Ryu, J.W.; Hong, J.K.; Lee, S.D.; Sa, S.J.; Kim, I.C.; Lee, S.C. Effects of dietary supplementation of whole garlic powder on semen characteristics and blood antioxidant level in boars. J. Anim. Sci. Technol. 2010, 52, 407–412. [Google Scholar] [CrossRef][Green Version]
- Ros-Santaella, J.L.; Kadlec, M.; Pintus, E. Pharmacological Activity of Honeybush (Cyclopia intermedia) in Boar Spermatozoa during Semen Storage and under Oxidative Stress. Animals 2020, 10, 463. [Google Scholar] [CrossRef] [PubMed]
- França, L.R.; Avelar, G.F.; Almeida, F.F. Spermatogenesis and sperm transit through the epididymis in mammals with emphasis on pigs. Theriogenology 2005, 63, 300–318. [Google Scholar] [CrossRef] [PubMed]
- Barquero, V.; Soler, C.; Sevilla, F.; Calderón-Calderón, J.; Valverde, A. A Bayesian analysis of boar spermatozoa kinematics and head morphometrics and their relationship with litter size fertility variables. Reprod. Domest. Anim. 2021, 56, 1024–1033. [Google Scholar] [CrossRef] [PubMed]
- Marin-Guzman, J.; Mahan, D.C.; Whitmoyer, R. Effect of dietary selenium and vitamin E on the ultrastructure and ATP concentration of boar spermatozoa, and the efficacy of added sodium selenite in extended semen on sperm motility. J. Anim. Sci. 2000, 78, 1544–1550. [Google Scholar] [CrossRef]
- Peña, S.J.T.; Stone, F.; Gummow, B.; Parker, A.J.; Paris, D. Tropical summer induces DNA fragmentation in boar spermatozoa: Implications for evaluating seasonal infertility. Reprod. Fertil. Dev. 2019, 31, 590–601. [Google Scholar] [CrossRef]
- Apić, J.; Vakanjac, S.; Radović, I.; Jotanović, S.; Stanković, B.; Kanački, Z. Effect of season on boar semen quality. Contemp. Agric. 2015, 53, 9–13. [Google Scholar]




| Group | Parameter | Mean | Median | Lower Quartile | Upper Quartile | 1st Percentile | 99th Percentile | Standard Deviation | 
|---|---|---|---|---|---|---|---|---|
| TAC | 1.08 | 0.95 | 0.73 | 1.35 | 0.29 | 3.97 | 0.60 | |
| Control | SOD | 1.60 | 1.40 | 1.30 | 1.80 | 1.00 | 3.60 | 0.48 | 
| GSH-Px | 7.46 | 5.60 | 3.50 | 8.60 | 0.10 | 95.70 | 11.19 | |
| TAC | 1.05 | 0.96 | 0.72 | 1.30 | 0.32 | 3.66 | 0.49 | |
| Experimental | SOD | 1.55 | 1.50 | 1.30 | 1.70 | 0.10 | 2.70 | 0.35 | 
| GSH-Px | 8.77 | 5.90 | 2.90 | 9.50 | 0.10 | 78.60 | 13.00 | 
| Group | Parameter | Mean | Median | Lower Quartile | Upper Quartile | 1st Percentile | 99th Percentile | Standard Deviation | 
|---|---|---|---|---|---|---|---|---|
| VCL | 60.46 | 62.88 | 46.62 | 71.94 | 31.00 | 89.16 | 15.22 | |
| Control | VSL | 43.26 | 42.74 | 31.64 | 53.65 | 18.01 | 73.33 | 14.20 | 
| VAP | 51.06 | 53.02 | 37.45 | 63.01 | 23.41 | 83.62 | 15.25 | |
| VCL | 64.62 | 64.80 | 55.38 | 73.92 | 32.76 | 96.29 | 15.44 | |
| Experimental | VSL | 47.93 | 47.21 | 38.11 | 56.84 | 17.86 | 75.08 | 13.69 | 
| VAP | 56.05 | 56.53 | 45.92 | 66.83 | 21.97 | 87.61 | 15.08 | 
| Publisher’s Note: MDPI stays neutral with regard to jurisdictional claims in published maps and institutional affiliations. | 
© 2022 by the authors. Licensee MDPI, Basel, Switzerland. This article is an open access article distributed under the terms and conditions of the Creative Commons Attribution (CC BY) license (https://creativecommons.org/licenses/by/4.0/).
Share and Cite
Galić, I.; Dragin, S.; Stančić, I.; Maletić, M.; Apić, J.; Kladar, N.; Spasojević, J.; Grba, J.; Kovačević, Z. Effect of an Antioxidant Supplement Combination on Boar Sperm. Animals 2022, 12, 1301. https://doi.org/10.3390/ani12101301
Galić I, Dragin S, Stančić I, Maletić M, Apić J, Kladar N, Spasojević J, Grba J, Kovačević Z. Effect of an Antioxidant Supplement Combination on Boar Sperm. Animals. 2022; 12(10):1301. https://doi.org/10.3390/ani12101301
Chicago/Turabian StyleGalić, Ivan, Saša Dragin, Ivan Stančić, Milan Maletić, Jelena Apić, Nebojša Kladar, Jovan Spasojević, Jovana Grba, and Zorana Kovačević. 2022. "Effect of an Antioxidant Supplement Combination on Boar Sperm" Animals 12, no. 10: 1301. https://doi.org/10.3390/ani12101301
APA StyleGalić, I., Dragin, S., Stančić, I., Maletić, M., Apić, J., Kladar, N., Spasojević, J., Grba, J., & Kovačević, Z. (2022). Effect of an Antioxidant Supplement Combination on Boar Sperm. Animals, 12(10), 1301. https://doi.org/10.3390/ani12101301
 
         
                                                


 
       