Effects of Ferulic Acid Supplementation on Growth Performance, Carcass Traits and Histochemical Characteristics of Muscle Fibers in Finishing Pigs
Abstract
Simple Summary
Abstract
1. Introduction
2. Materials and Methods
2.1. Animals and Treatments
2.2. Growth Performance
2.3. Slaughter and Carcass Evaluation
2.4. Sample Collection
2.5. Histomorphometric and Histochemical Analysis
2.6. Histological Data Analysis
2.7. Statistical Analysis
3. Results
3.1. Growth Performance and Carcass Traits
3.2. Histochemical Analysis
3.3. Fiber Type Percentage
3.4. Cross-Sectional Area (CSA)
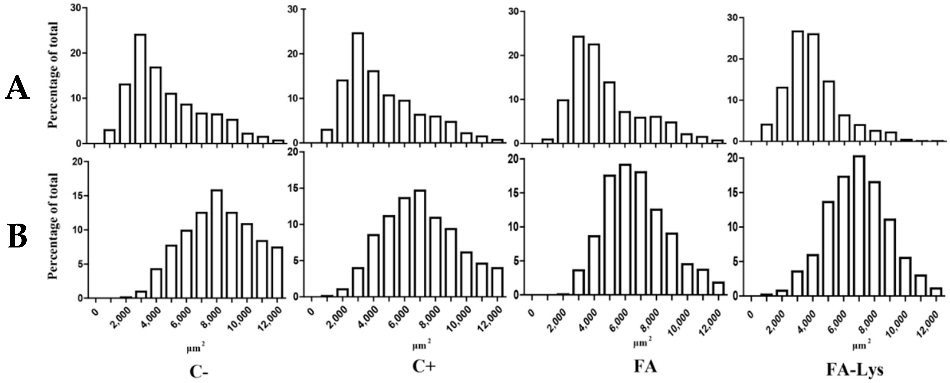
3.5. Histograms
3.6. Muscle Fiber Density
4. Discussion
4.1. Growth Performance and Carcass Traits
4.2. Histochemical Characteristics
5. Conclusions
Author Contributions
Funding
Institutional Review Board Statement
Informed Consent Statement
Data Availability Statement
Acknowledgments
Conflicts of Interest
References
- Beermann, D. Beta-adrenergic receptor agonist modulation of skeletal muscle growth. J. Anim. Sci. 2002, 80, E18–E23. [Google Scholar]
- Miller, E.; Chung, K.; Hutcheson, J.; Yates, D.; Smith, S.; Johnson, B. Zilpaterol hydrochloride alters abundance of β-adrenergic receptors in bovine muscle cells but has little effect on de novo fatty acid biosynthesis in bovine subcutaneous adipose tissue explants. J. Anim. Sci. 2012, 90, 1317–1327. [Google Scholar] [CrossRef] [PubMed]
- Rikard-Bell, C.; Pluske, J.R.; Van Barneveld, R.J.; Mullan, B.P.; Edwards, A.C.; Gannon, N.J.; Henman, D.; Dunshea, F.R. Current recommended levels of dietary lysine in finisher pig diets are sufficient to maximise the response to ractopamine over 28 days but are insufficient in the first 7 days. Anim. Prod. Sci. 2012, 53, 38–45. [Google Scholar] [CrossRef]
- Liao, S.F.; Wang, T.; Regmi, N. Lysine nutrition in swine and the related monogastric animals: Muscle protein biosynthesis and beyond. SpringerPlus 2015, 4, 147. [Google Scholar] [CrossRef]
- Andretta, I.; Kipper, M.; Lehnen, C.; Demori, A.B.; Remus, A.; Lovatto, P.A. Meta-analysis of the relationship between ractopamine and dietary lysine levels on carcass characteristics in pigs. Livest. Sci. 2012, 143, 91–96. [Google Scholar] [CrossRef]
- Mariezcurrena-Berasain, M.A.; Braña-Varela, D.; Mariezcurrena-Berasain, M.D.; Domínguez-Vara, I.A.; Méndez-Medina, D.; Rubio-Lozano, M.S. Características químicas y sensoriales de la carne de cerdo, en función del consumo de dietas con ractopamina y diferentes concentraciones de lisina. Revista Mexicana Ciencias Pecuarias 2012, 3, 427–438. [Google Scholar] [CrossRef]
- Lillehoj, H.; Liu, Y.; Calsamiglia, S.; Fernández-Miyakawa, M.E.; Chi, F.; Cravens, R.L.; Oh, S.; Gay, C. Phytochemicals as antibiotic alternatives to promote growth and enhance host health. Vet. Res. 2018, 49, 1–18. [Google Scholar] [CrossRef]
- Mohsen Mohammadi Gheisar, M.M.; Kim, I.H. Phytobiotics in poultry and swine nutrition—A review. Italian J. Anim. Sci. 2018, 17, 92–99. [Google Scholar] [CrossRef]
- Kikuzaki, H.; Hisamoto, M.; Hirose, K.; Akiyama, K.; Taniguchi, H. Antioxidant properties of ferulic acid and its related compounds. J. Agric. Food Chem. 2002, 50, 2161–2168. [Google Scholar] [CrossRef]
- Li, Y.J.; Li, L.Y.; Li, J.L.; Zhang, L.; Gao, F.; Zhou, G.H. Effects of dietary supplementation with ferulic acid or vitamin E individually or in combination on meat quality and antioxidant capacity of finishing pigs. Asian Australas. J. Anim. Sci. 2015, 28, 374–381. [Google Scholar] [CrossRef]
- Perez-Ternero, C.; Macià, A.; de Sotomayor, M.A.; Parrado, J.; Motilva, M.J.; Herrera, M.D. Bioavailability of the ferulic acid-derived phenolic compounds of a rice bran enzymatic extract and their activity against superoxide production. Food Funct. 2017, 8, 2165–2174. [Google Scholar] [CrossRef]
- Valadez-García, K.M.; Avendaño-Reyes, L.; Díaz-Molina, R.; Mellado, M.; Meza-Herrera, C.A.; Correa-Calderón, A.; Macías-Cruz, U. Free ferulic acid supplementation of heat-stressed hair ewe lambs: Oxidative status, feedlot performance, carcass traits and meat quality. Meat Sci. 2021, 173, 108395. [Google Scholar] [CrossRef]
- Peña-Torres, E.F.; González-Ríos, H.; Avendaño-Reyes, L.; Valenzuela-Grijalva, N.V.; Pinelli-Saavedra, A.; Muhlia-Almazán, A.; Peña-Ramos, E.A. Hydroxycinnamic acids in animal production: Pharmacokinetics, pharmacodynamics and growth promoting effects. Review. Revista Mexicana Ciencias Pecuarias 2019, 10, 391–415. [Google Scholar] [CrossRef]
- Herrera, R.; Alejo, M.L.; Asaff, A.J. Methods to Accelerate Muscle Development, Decrease Fat Deposits, and Enhance Feeding Efficiency in Pigs. U.S. Patent 20110046224, 24 February 2011. Available online: https://patents.google.com/patent/US20110046224A1/en (accessed on 12 March 2021).
- González-Ríos, H.; Lozano-Gil, D.A.; Berrondo-Mir, A. Ferulic Acid as Feed Supplement in Beef Cattle to Promote Animal Growth and Improve the Meat Quality of the Carcass and the Meat. U.S. Patent Application 2013/0041036A1, 14 February 2013. Available online: https://patents.google.com/patent/US20130041036/zh-TW (accessed on 17 March 2021).
- Gorewit, R.C. Pituitary and thyroid hormone responses of heifers after ferulic acid administration. J. Dairy Sci. 1983, 66, 624–633. [Google Scholar] [CrossRef]
- Wang, S.; Zhao, K.; Zang, W.; Zhang, Q.; Zhao, X.; Zhao, M.; Zheng, X. Highly selective screening of the bioactive compounds in Huoxue capsule using immobilized β 2-adrenoceptor affinity chromatography. Anal. Biochem. 2014, 457, 1–7. [Google Scholar] [CrossRef]
- Mersmann, H.J. Overview of the effects of β-adrenergic receptor agonists on animal growth including mechanisms of action. J. Anim. Sci. 1998, 76, 160–172. [Google Scholar] [CrossRef]
- Johnson, B.; Smith, S.B.; Chung, K.Y. Historical Overview of the Effect of β-Adrenergic Agonists on Beef Cattle Production. Asian Australas. J. Anim. Sci. 2014, 27, 757–766. [Google Scholar]
- NOM-051-ZOO-1995. Trato Humanitario En La Movilización De Animales; SAGARPA: Mexico City, Mexico, 1995. [Google Scholar]
- NOM-033-ZOO. Sacrificio Humanitario De Los Animales Domésticos Y Silvestres; SAGARPA: Mexico City, Mexico, 1995. [Google Scholar]
- NRC. Nutrient Requirements of Swine, 10th ed.; National Academy Press: Washington, DC, USA, 1998. [Google Scholar]
- NPPC. Pork Quality Standards; National Pork Producers Council: Des Moines, IA, USA, 1999. [Google Scholar]
- Nachlas, M.M.; Walker, D.G.; Seligman, A.M. A histochemical method for the demonstration of DPN-diaphorase. J. Biophys. Biochem. Cyt. 1958, 1958, 29–38. [Google Scholar] [CrossRef] [PubMed]
- Guth, L.; Samaha, F.J. Procedure for the histochemical demonstration of actomyosin ATPase. Exp. Neurol. 1970, 28, 365–367. [Google Scholar] [CrossRef]
- NCSS. Number Cruncher Statistical System Software, version 11; NCSS LLC.: Kaysville, UT, USA, 2011. [Google Scholar]
- Valenzuela-Grijalva, N.V.; Pinelli-Saavedra, A.; Muhlia-Almazan, A.; Domínguez-Díaz, D.; González-Ríos, H. Dietary inclusion effects of phytochemicals as growth promoters in animal production. J. Anim. Sci. Technol. 2017, 59, 8. [Google Scholar] [CrossRef] [PubMed]
- Serra, V.; Salvatori, G.; Pastorelli, G. Dietary Polyphenol Supplementation in Food Producing Animals: Effects on the Quality of Derived Products. Animals 2021, 11, 401. [Google Scholar] [CrossRef]
- Apple, J.K.; Rincker, P.J.; McKeith, F.K.; Carr, S.; Armstrong, T.A.; Matzat, P.D. Meta-analysis of the ractopamine response in finishing swine. Prof. Anim. Sci. 2007, 23, 179–196. [Google Scholar] [CrossRef]
- Costa, O.A.D.; Feddern, V.; Athayde, N.B.; Manzke, N.E.; Roça, R.D.O.; Lopes, L.D.S.; De Lima, G.J.M.M. Ractopamine supplementation improves leanness and carcass yield, affecting pork quality in immunocastrated pigs. Sci. Agric. 2018, 75, 197–207. [Google Scholar] [CrossRef]
- Macías-Cruz, U.; Perard, S.; Vicente, R.; Álvarez, F.D.; Torrentera-Olivera, N.G.; González-Ríos, H.; Avendaño-Reyes, L. Effects of free ferulic acid on productive performance, blood metabolites, and carcass characteristics of feedlot finishing ewe lambs. J. Anim. Sci. 2014, 92, 5762–5768. [Google Scholar] [CrossRef]
- Peña-Torres, E.F.; Dávila-Ramírez, J.L.; Peña-Ramos, E.A.; Valenzuela-Melendres, M.; Pinelli-Saavedra, A.; Avendaño-Reyes, L.; González-Ríos, H. Effects of dietary ferulic acid on growth performance, carcass traits and meat quality of heifers. J. Sci. Food Agric. 2021, 101, 548–554. [Google Scholar] [CrossRef] [PubMed]
- Peña, E.; Gonzalez, H.; Rosales, F.; Jiménez, I.; Valenzuela, M.; Peña, A.; Castillo, C. PSII-21 Fiber type characterization and meat quality of hair lambs supplemented with ferulic acid. J. Anim. Sci. 2018, 96 (Suppl. 3), 75. [Google Scholar] [CrossRef]
- Dávila-Ramírez, J.L.; Munguía-Acosta, L.L.; Morales-Coronado, J.G.; García-Salinas, A.D.; González-Ríos, H.; Celaya-Michel, H.; Barrera-Silva, M.A. Addition of a mixture of plant extracts to diets for growing-finishing pigs on growth performance, blood metabolites, carcass traits, organ weight as a percentage of live weight, quality and sensorial analysis of meat. Animals 2020, 10, 1229. [Google Scholar] [CrossRef]
- Brewer, M.S. Consumer Attitudes: What They Say and What They Do. An Update. National Pork Producers Council, Des Moines, IA. 2010. Available online: http://porkgateway.org/resource/consumer-attitudes-what-they-say-and-what-they-do (accessed on 15 March 2021).
- Hunter-Beasley, E.N.; Kerth, C.R.; Bratcher, C.L.; Anderson, L.K.; Brandebourg, T.D.; Rowe, C.W. Ractopamine hydrochloride did not impact carcass traits, muscle fiber types, or sensory traits of long-fed yearling heifers. Meat Muscle Biol. 2018, 2, 83–91. [Google Scholar] [CrossRef][Green Version]
- Henckel, P.; Oksbjerg, N.; Erlandsen, E.; Barton-Gade, P.; Bejerholm, C. Histo- and biochemical characteristics of the longissimus dorsi muscle in pigs and their relationships to performance and meat quality. Meat Sci. 1997, 47, 311–321. [Google Scholar] [CrossRef]
- Lefaucheur, L.; Hoffman, R.K.; Gerrard, D.E.; Okamura, C.S.; Rubinstein, N.; Kelly, A. Evidence for three adult fast myosin heavy chain isoforms in type II skeletal muscle fibers in pigs. J. Anim. Sci. 1998, 76, 1584–1593. [Google Scholar] [CrossRef]
- Pette, D.; Staron, R.S. Myosin isoforms, muscle fiber types, and transitions. Microsc. Res. Tech. 2000, 50, 500–509. [Google Scholar] [CrossRef]
- Li, H.; Gariépy, C.; Jin, Y.; Font Furnols, M.; Fortin, J.; Rocha, L.M.; Faucitano, L. Effects of ractopamine administration and castration method on muscle fiber characteristics and sensory quality of the longissimus muscle in two Piétrain pig genotypes. Meat Sci. 2015, 102, 27–34. [Google Scholar] [CrossRef]
- Paulk, C.B.; Tokach, M.D.; Nelssen, J.L.; Burnett, D.D.; Vaughn, M.A.; Phelps, K.J.; Dritz, S.S.; Derouchey, J.M.; Goodband, R.D.; Woodworth, J.C.; et al. Effect of dietary zinc and ractopamine hydrochloride on pork chop muscle fiber type distribution, tenderness, and color characteristics. J. Anim. Sci. 2014, 92, 2325–2335. [Google Scholar] [CrossRef]
- Depreux, F.F.; Grant, A.L.; Anderson, D.B.; Gerrard, D.E. Paylean alters myosin heavy chain isoform content in pig muscle. J. Anim. Sci. 2002, 80, 1888–1894. [Google Scholar] [CrossRef]
- Sosnicki, A. Association of micrometric traits on meat quality, fattening and slaughter traits in the pig. J. Anim. Sci. 1987, 64, 1412–1418. [Google Scholar] [CrossRef]
- Parr, T.; Mareko, M.H.; Ryan, K.J.; Hemmings, K.M.; Brown, D.M.; Brameld, J.M. The impact of growth promoters on muscle growth and the potential consequences for meat quality. Meat Sci. 2016, 120, 93–99. [Google Scholar] [CrossRef]
- Kim, Y.S.; Sainz, R.D. Beta-adrenergic agonists and hypertrophy of skeletal muscles. Life Sci. 1992, 50, 397–407. [Google Scholar] [CrossRef]
- Mizunoya, W.; Okamoto, S.; Miyahara, H.; Akahoshi, M.; Suzuki, T.; Do, M.K.; Ohtsubo, H.; Komiya, Y.; Qahar, M.; Waga, T.; et al. Fast-to-slow shift of muscle fiber-type composition by dietary apple polyphenols in rats: Impact of the low-dose supplementation. Anim. Sci. J. 2017, 88, 489–499. [Google Scholar] [CrossRef]
- Mizunoya, W.; Miyahara, H.; Okamoto, S.; Akahoshi, M.; Suzuki, T.; Do, M.K.; Ohtsubo, H.; Komiya, Y.; Lan, M.; Waga, T.; et al. Improvement of endurance based on muscle fiber-type composition by treatment with dietary apple polyphenols in rats. PLoS ONE. 2015, 10, e0134303. [Google Scholar] [CrossRef] [PubMed]
- Gil, F.; Albors, O.L.; Vázquez, J.M.; Latorre, R.; Zarzosa, G.R.; Moreno, F. The histochemical profiles of fiber types in porcine skeletal muscle. Histol. Histopathol. 2001, 16, 439–442. [Google Scholar]
- Zeman, R.J.; Ludemann, R.; Easton, T.G.; Etlinger, J.D. Slow to fast alterations in skeletal muscle fibers caused by clenbuterol, a β2-receptor agonist. Am. J. Physiol. 1988, 254, E724–E732. [Google Scholar]
- Hwang, Y.H.; Kim, G.D.; Jeong, J.Y.; Hur, S.J.; Joo, S.T. The relationship between muscle fiber characteristics and meat quality traits of highly marbled Hanwoo (Korean native cattle) steers. Meat Sci. 2010, 86, 456–461. [Google Scholar] [CrossRef]
- Kelley, G. Mechanical overload and skeletal muscle fiber hyperplasia: A meta-analysis. J. Appl. Physiol. 1996, 81, 1584–1588. [Google Scholar] [CrossRef] [PubMed]
- Kutzler, L.W. Effects of Ractopamine and Muscle Fiber Number on Swine Growth Performance, Carcass Traits, and Meat Quality. Ph.D. Thesis, University of Illinois at Urbana-Champaign, Champaign, IL, USA, 2010. [Google Scholar]
- Larzul, C.; Lefaucheur, L.; Ecolan, P.; Gogue, J.; Talmant, A.; Sellier, P.; Le Roy, P.; Monin, G. Phenotypic and genetic parameters for Longissimus muscle fiber characteristics in relation to growth, carcass, and meat quality traits in Large White pigs. J. Anim. Sci. 1997, 75, 3126–3137. [Google Scholar] [CrossRef]
- Hinkle, R.T.; Hodge, K.; Cody, D.B.; Sheldon, R.; Kobilka, B.K.; Isfort, R. Skeletal muscle hypertrophy and anti-atrophy effects of clenbuterol are mediated by the β2-adrenergic receptor. Muscle Nerve 2002, 25, 729–734. [Google Scholar] [CrossRef] [PubMed]
- Shi, H.; Zeng, C.; Ricome, A.; Hannon, K.M.; Grant, A.L.; Gerrard, D.E. Extracellular signal-regulated kinase pathway is differentially involved in β-agonist-induced hypertrophy in slow and fast muscles. Am. J. Physiol. Cell Physiol. 2007, 292, C1681–C1689. [Google Scholar] [CrossRef] [PubMed]


| Treatment a | ||||
|---|---|---|---|---|
| Item | C− | C+ | FA | FA-Lys |
| Sorghum | 899 | 796 | 899 | 796 |
| Soybean meal (47% PC) | 75 | 177 | 75 | 177 |
| Soybean oil | 5 | 7 | 5 | 7 |
| Calcium carbonate | 7.5 | 6 | 7.5 | 6 |
| Dicalcium phosphate | 5.3 | 5.7 | 5.3 | 5.7 |
| Salt | 3.5 | 3.5 | 3.5 | 3.5 |
| Threonine | 1.2 | 1.1 | 1.2 | 1.1 |
| Methionine | 0.3 | 0.5 | 0.3 | 0.5 |
| Vitamin premix b | 2.4 | 2.4 | 2.4 | 2.4 |
| Mineral premix c | 0.8 | 0.8 | 0.8 | 0.8 |
| Ferulic acid, ppm | - | - | 25 | 25 |
| Ractopamine hydrochloride, ppm | - | 10 | - | - |
| Calculated composition | ||||
| Dry matter | 893.8 | 894.2 | 893.8 | 894.2 |
| ME (MCal/Kg) | 3.341 | 3.341 | 3.341 | 3.341 |
| Protein | 139.5 | 168 | 139.5 | 168 |
| Total Lysine | 6.5 | 9.7 | 6.5 | 9.7 |
| Calcium | 6.2 | 6.6 | 6.2 | 6.6 |
| Phosphorus | 5.7 | 6.1 | 5.7 | 6.1 |
| Item a | Treatment c | Significance | ||||||
|---|---|---|---|---|---|---|---|---|
| Contrast e | ||||||||
| C− | C+ | FA | FA-Lys | SEM d | C1 | C2 | C3 | |
| IBW, kg | 64.39 | 67.94 | 70.11 | 68.01 | 2.96 | 0.596 | 0.472 | 0.348 |
| FBW, kg | 96.06 | 99.86 | 99.62 | 100.22 | 0.99 | 0.004 | 0.967 | 0.672 |
| ADG, kg | 1.05 | 1.19 | 1.18 | 1.20 | 0.03 | 0.004 | 0.960 | 0.677 |
| Feed intake, kg DM | 2.31 | 2.45 | 2.40 | 2.12 | 0.06 | 0.145 | 0.395 | 0.427 |
| Feed conversion, kg DM | 2.21 | 2.09 | 2.02 | 1.98 | 0.07 | 0.071 | 0.396 | 0.431 |
| LM area, cm2 | 44.96 | 54.64 | 52.45 | 54.90 | 1.55 | <0.001 | 0.605 | 0.286 |
| 12th-rib fat depth, mm | 14.11 | 8.0 | 6.44 | 6.62 | 0.90 | <0.001 | 0.184 | 0.891 |
| Marbling score b | 3.11 | 2.66 | 3.0 | 2.87 | 0.25 | 0.374 | 0.392 | 0.736 |
| Item | Treatment a | Significance | ||||||
|---|---|---|---|---|---|---|---|---|
| Contrast c | ||||||||
| C− | C+ | FA | FA-Lys | SEM b | C1 | C2 | C3 | |
| Percentage | ||||||||
| ATPase | ||||||||
| Slow | 11.38 | 9.82 | 10.47 | 8.33 | 0.85 | 0.056 | 0.988 | 0.113 |
| Intermediate | 73.24 | 86.56 | 86.11 | 89.58 | 0.75 | <0.001 | 0.286 | 0.004 |
| Fast | 14.92 | 3.84 | 3.95 | 2.31 | 0.86 | <0.001 | 0.359 | 0.189 |
| NADH-TR | ||||||||
| Oxidative | 22.11 | 13.28 | 12.54 | 11.63 | 0.88 | <0.001 | 0.110 | 0.209 |
| Glycolytic | 77.89 | 86.71 | 87.45 | 88.37 | 0.87 | <0.001 | 0.117 | 0.214 |
| CSA | ||||||||
| ATPase | ||||||||
| Slow | 9256.37 | 6245.05 | 7425.88 | 7101.65 | 187.40 | <0.001 | <0.001 | 0.347 |
| Intermediate | 4818.71 | 4494.67 | 3595.15 | 4042.73 | 128.89 | <0.001 | <0.001 | 0.025 |
| Fast | 3409.51 | 3291.65 | 3735.61 | 3909.43 | 102.69 | 0.013 | <0.001 | 0.284 |
| NADH-TR | ||||||||
| Oxidative | 8490.29 | 7907.06 | 6816.84 | 7000.20 | 578.19 | 0.071 | 0.120 | 0.567 |
| Glycolytic | 5050.46 | 3800.18 | 3720.56 | 3888.66 | 250.63 | <0.001 | 0.895 | 0.811 |
| Item | Treatment a | Significance | ||||||
|---|---|---|---|---|---|---|---|---|
| Contrast c | ||||||||
| C− | C+ | FA | FA-Lys | SEM b | C1 | C2 | C3 | |
| Density (40,000 μm2) | 51.92 | 72.42 | 70.78 | 66.30 | 1.13 | <0.001 | 0.015 | 0.016 |
| Number of fibers d | 5,913,047 | 10,016,050.21 | 9,237,457 | 8,916,402 | 134,083.26 | <0.001 | <0.001 | 0.368 |
Publisher’s Note: MDPI stays neutral with regard to jurisdictional claims in published maps and institutional affiliations. |
© 2021 by the authors. Licensee MDPI, Basel, Switzerland. This article is an open access article distributed under the terms and conditions of the Creative Commons Attribution (CC BY) license (https://creativecommons.org/licenses/by/4.0/).
Share and Cite
Valenzuela-Grijalva, N.; Jiménez-Estrada, I.; Mariscal-Tovar, S.; López-García, K.; Pinelli-Saavedra, A.; Peña-Ramos, E.A.; Muhlia-Almazán, A.; Zamorano-García, L.; Valenzuela-Melendres, M.; González-Ríos, H. Effects of Ferulic Acid Supplementation on Growth Performance, Carcass Traits and Histochemical Characteristics of Muscle Fibers in Finishing Pigs. Animals 2021, 11, 2455. https://doi.org/10.3390/ani11082455
Valenzuela-Grijalva N, Jiménez-Estrada I, Mariscal-Tovar S, López-García K, Pinelli-Saavedra A, Peña-Ramos EA, Muhlia-Almazán A, Zamorano-García L, Valenzuela-Melendres M, González-Ríos H. Effects of Ferulic Acid Supplementation on Growth Performance, Carcass Traits and Histochemical Characteristics of Muscle Fibers in Finishing Pigs. Animals. 2021; 11(8):2455. https://doi.org/10.3390/ani11082455
Chicago/Turabian StyleValenzuela-Grijalva, Nidia, Ismael Jiménez-Estrada, Silvia Mariscal-Tovar, Kenia López-García, Araceli Pinelli-Saavedra, Etna Aida Peña-Ramos, Adriana Muhlia-Almazán, Libertad Zamorano-García, Martín Valenzuela-Melendres, and Humberto González-Ríos. 2021. "Effects of Ferulic Acid Supplementation on Growth Performance, Carcass Traits and Histochemical Characteristics of Muscle Fibers in Finishing Pigs" Animals 11, no. 8: 2455. https://doi.org/10.3390/ani11082455
APA StyleValenzuela-Grijalva, N., Jiménez-Estrada, I., Mariscal-Tovar, S., López-García, K., Pinelli-Saavedra, A., Peña-Ramos, E. A., Muhlia-Almazán, A., Zamorano-García, L., Valenzuela-Melendres, M., & González-Ríos, H. (2021). Effects of Ferulic Acid Supplementation on Growth Performance, Carcass Traits and Histochemical Characteristics of Muscle Fibers in Finishing Pigs. Animals, 11(8), 2455. https://doi.org/10.3390/ani11082455

